4-(2,5-Dimethyl-1H-pyrrol-1-yl)-1,2,5-oxadiazol-3-amine
Abstract
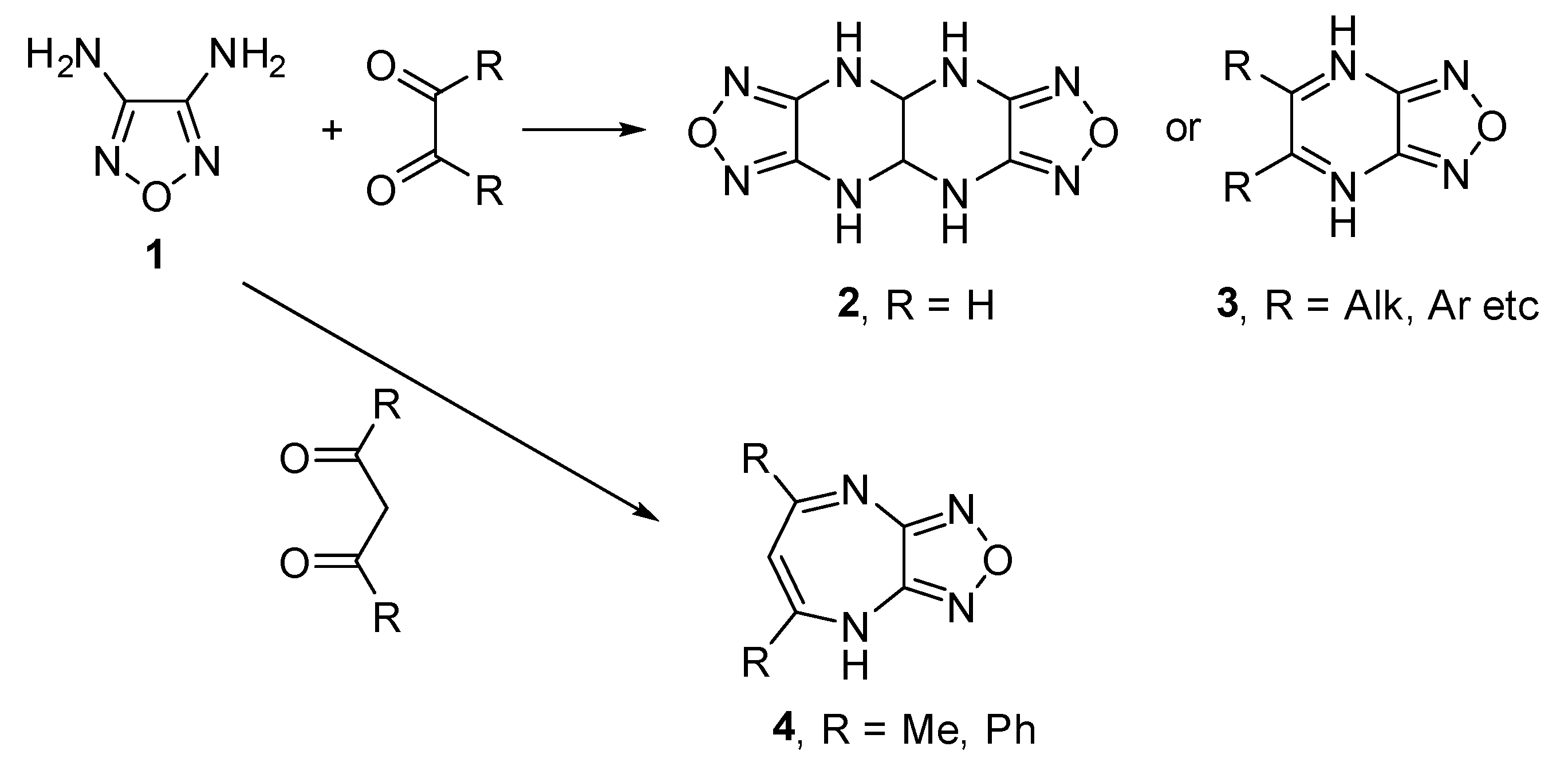
1. Introduction
2. Results and Discussion
3. Materials and Methods
Supplementary Materials
Author Contributions
Funding
Institutional Review Board Statement
Informed Consent Statement
Data Availability Statement
Conflicts of Interest
Sample Availability
References
- Makhova, N.N.; Fershtat, L.L. 1,2,5-Oxadiazoles. In Comprehensive Heterocyclic Chemistry IV; Elsevier: Amsterdam, The Netherlands, 2022; pp. 190–251. [Google Scholar] [CrossRef]
- Sheremetev, A.B.; Makhova, N.N.; Friedrichsen, W. Monocyclic furazans and furoxans. Adv. Heterocycl. Chem. 2001, 78, 65–188. [Google Scholar] [CrossRef]
- Fershtat, L.L.; Makhova, N.N. 1,2,5-Oxadiazole-Based High-Energy-Density Materials: Synthesis and Performance. Chempluschem 2020, 85, 13–42. [Google Scholar] [CrossRef]
- Willer, R.L.; Moore, D.W. Synthesis and chemistry of some furazano- and furoxano[3,4-b]piperazines. J. Org. Chem. 1985, 50, 5123–5127. [Google Scholar] [CrossRef]
- Gasco, A.; Ruà, G.; Menziani, E.; Nano, G.M.; Tappi, G. Studies in the chemistry of 1,2,5-oxadiazole. I. Synthesis of some furazanopyrazines from 3,4-diamino-1,2,5-oxadiazole. J. Heterocycl. Chem. 1969, 6, 769–770. [Google Scholar] [CrossRef]
- Ignat’Ev, N.V.; Schulte, M.; Koppe, K.; Barthen, P.; Zlotin, S.G.; Makhova, N.N.; Sheremetev, A.B.; Valente, A.A. Ionic Liquids—Advanced Reaction Media for Organic Synthesis. Phosphorus Sulfur Silicon Relat. Elem. 2011, 186, 1205–1216. [Google Scholar] [CrossRef]
- Gasco, A.; Ruá, G.; Menziani, E.; Nano, G.M.; Tappi, G. Studies in the chemistry of 1,2,5-oxadiazole (II). Synthesis and properties of furazanodiazepines. J. Heterocycl. Chem. 1970, 7, 131–133. [Google Scholar] [CrossRef]
- Guo, L.; Zhou, M.; Guo, H.; Xu, W.; Li, Z. Dilithium complex incorporating phenyl bridged neutral pyrrolyl-arylamide ligand: Synthesis, characterization, reaction, and catalytic activity. Inorg. Chem. Commun. 2020, 119, 108036. [Google Scholar] [CrossRef]
- Akbaşlar, D.; Demirkol, O.; Giray, S. Paal–Knorr Pyrrole Synthesis in Water. Synth. Commun. 2014, 44, 1323–1332. [Google Scholar] [CrossRef]
- Stepanov, A.I.; Astrat’Ev, A.A.; Sheremetev, A.B.; Lagutina, N.K.; Palysaeva, N.V.; Tyurin, A.Y.; Aleksandrova, N.S.; Sadchikova, N.P.; Suponitsky, K.Y.; Atamanenko, O.P.; et al. A facile synthesis and microtubule-destabilizing properties of 4-(1H-benzo[d]imidazol-2-yl)-furazan-3-amines. Eur. J. Med. Chem. 2015, 94, 237–251. [Google Scholar] [CrossRef] [PubMed]
- Kulikov, A.S.; Epishina, M.A.; Batog, L.V.; Rozhkov, V.Y.; Makhova, N.N.; Konyushkin, L.D.; Semenova, M.N.; Semenov, V.V. Synthesis and antineoplastic properties of (1H-1,2,3-triazol-1-yl)furazans. Russ. Chem. Bull. 2013, 62, 836–843. [Google Scholar] [CrossRef] [PubMed]
- Li, Q.; Chen, Y.; Xing, S.; Liao, Q.; Xiong, B.; Wang, Y.; Lu, W.; He, S.; Feng, F.; Liu, W.; et al. Highly Potent and Selective Butyrylcholinesterase Inhibitors for Cognitive Improvement and Neuroprotection. J. Med. Chem. 2021, 64, 6856–6876. [Google Scholar] [CrossRef]
- Wlodarchak, N.; Teachout, N.; Beczkiewicz, J.; Procknow, R.; Schaenzer, A.J.; Satyshur, K.; Pavelka, M.; Zuercher, W.; Drewry, D.; Sauer, J.-D.; et al. In Silico Screen and Structural Analysis Identifies Bacterial Kinase Inhibitors which Act with β-Lactams to Inhibit Mycobacterial Growth. Mol. Pharm. 2018, 15, 5410–5426. [Google Scholar] [CrossRef]
- Schaenzer, A.J.; Wlodarchak, N.; Drewry, D.H.; Zuercher, W.J.; Rose, W.E.; Striker, R.; Sauer, J.-D. A screen for kinase inhibitors identifies antimicrobial imidazopyridine aminofurazans as specific inhibitors of the Listeria monocytogenes PASTA kinase PrkA. J. Biol. Chem. 2017, 292, 17037–17045. [Google Scholar] [CrossRef] [PubMed]
- Pyrkov, T.V.; Sevostyanova, I.A.; Schmalhausen, E.V.; Shkoporov, A.N.; Vinnik, A.A.; Muronetz, V.I.; Severin, F.F.; Fedichev, P.O. Structure-Based Design of Small-Molecule Ligands of Phosphofructokinase-2 Activating or Inhibiting Glycolysis. ChemMedChem 2013, 8, 1322–1329. [Google Scholar] [CrossRef] [PubMed]
- Bandarage, U.; Hare, B.; Parsons, J.; Pham, L.; Marhefka, C.; Bemis, G.; Tang, Q.; Moody, C.S.; Rodems, S.; Shah, S.; et al. 4-(Benzimidazol-2-yl)-1,2,5-oxadiazol-3-ylamine derivatives: Potent and selective p70S6 kinase inhibitors. Bioorganic Med. Chem. Lett. 2009, 19, 5191–5194. [Google Scholar] [CrossRef] [PubMed]


Disclaimer/Publisher’s Note: The statements, opinions and data contained in all publications are solely those of the individual author(s) and contributor(s) and not of MDPI and/or the editor(s). MDPI and/or the editor(s) disclaim responsibility for any injury to people or property resulting from any ideas, methods, instructions or products referred to in the content. |
© 2023 by the authors. Licensee MDPI, Basel, Switzerland. This article is an open access article distributed under the terms and conditions of the Creative Commons Attribution (CC BY) license (https://creativecommons.org/licenses/by/4.0/).
Share and Cite
Obruchnikova, N.V.; Rakitin, O.A. 4-(2,5-Dimethyl-1H-pyrrol-1-yl)-1,2,5-oxadiazol-3-amine. Molbank 2023, 2023, M1700. https://doi.org/10.3390/M1700
Obruchnikova NV, Rakitin OA. 4-(2,5-Dimethyl-1H-pyrrol-1-yl)-1,2,5-oxadiazol-3-amine. Molbank. 2023; 2023(3):M1700. https://doi.org/10.3390/M1700
Chicago/Turabian StyleObruchnikova, Natalia V., and Oleg A. Rakitin. 2023. "4-(2,5-Dimethyl-1H-pyrrol-1-yl)-1,2,5-oxadiazol-3-amine" Molbank 2023, no. 3: M1700. https://doi.org/10.3390/M1700
APA StyleObruchnikova, N. V., & Rakitin, O. A. (2023). 4-(2,5-Dimethyl-1H-pyrrol-1-yl)-1,2,5-oxadiazol-3-amine. Molbank, 2023(3), M1700. https://doi.org/10.3390/M1700

