Methyl-4-hydroxy-2-(2-hydroxypropan-2-yl)-6-methyl-2,3-dihydrobenzofuran-5-carboxylate
Abstract
1. Introduction
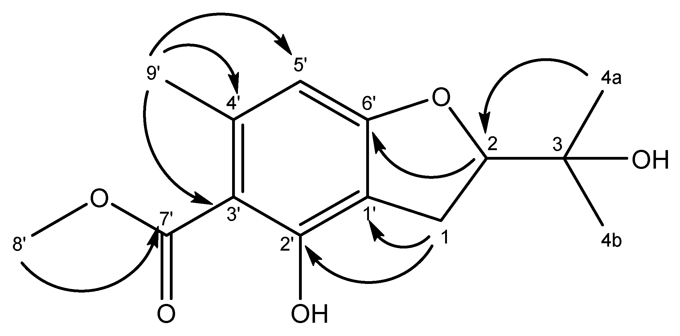
2. Results and Discussion
3. Materials and Methods
3.1. Isolation and Cultivation of Fungus
3.2. Isolation and Structural Characterisation of Compound 1
4. Conclusions
Supplementary Materials
Author Contributions
Funding
Data Availability Statement
Acknowledgments
Conflicts of Interest
References
- Gómez-Silva, B.; Rainey, F.A.; Warren-Rhodes, K.A.; McKay, C.P.; Navarro-González, R. Atacama Desert Soil Microbiology. In Microbiology of Extreme Soils; Springer: Berlin/Heidelberg, Germany, 2008; pp. 117–132. [Google Scholar] [CrossRef]
- Rateb, M.E.; Houssen, W.E.; Arnold, M.; Abdelrahman, M.H.; Deng, H.; Harrison, W.T.A.; Okoro, C.K.; Asenjo, J.A.; Andrews, B.A.; Ferguson, G.; et al. Chaxamycins A–D, Bioactive Ansamycins from a Hyper-arid Desert Streptomyces sp. J. Nat. Prod. 2011, 74, 1491–1499. [Google Scholar] [CrossRef] [PubMed]
- Wichner, D.; Idris, H.; Houssen, W.; McEwan, A.R.; Bull, A.T.; Asenjo, J.A.; Goodfellow, M.; Jaspars, M.; Ebel, R.; Rateb, M.E. Isolation and anti-HIV-1 integrase activity of lentzeosides A–F from extremotolerant Lentzea sp. H45, a strain isolated from a high-altitude Atacama Desert soil. J. Antibiot. 2017, 70, 448–453. [Google Scholar] [CrossRef] [PubMed]
- Rateb, M.E.; Ebel, R.; Jaspars, M. Natural product diversity of actinobacteria in the Atacama Desert. Antonie Van Leeuwenhoek 2018, 111, 1467–1477. [Google Scholar] [CrossRef] [PubMed]
- Zhang, C.-Y.; Gao, Y.; Zhu, R.-X.; Qiao, Y.-N.; Zhou, J.-C.; Zhang, J.-Z.; Li, Y.; Li, S.-W.; Fan, S.-H.; Lou, H.-X. Prenylated Bibenzyls from the Chinese Liverwort Radula constricta and Their Mitochondria-Derived Paraptotic Cytotoxic Activities. J. Nat. Prod. 2019, 82, 1741–1751. [Google Scholar] [CrossRef] [PubMed]
- Janzen, J. Economic Losses Resulting from Mastitis. A Review. J. Dairy Sci. 1970, 53, 1151–1160. [Google Scholar] [CrossRef] [PubMed]
- Guzmán-Luna, P.; Nag, R.; Martínez, I.; Mauricio-Iglesias, M.; Hospido, A.; Cummins, E. Quantifying current and future raw milk losses due to bovine mastitis on European dairy farms under climate change scenarios. Sci. Total Environ. 2022, 833, 155149. [Google Scholar] [CrossRef] [PubMed]
- Carro, L.; Razmilic, V.; Nouioui, I.; Richardson, L.; Pan, C.; Golinska, P.; Asenjo, J.A.; Bull, A.T.; Klenk, H.-P.; Goodfellow, M. Hunting for cultivable Micromonosporas strains in soils of the Atacama Desert. Antonie Van Leeuwenhoek 2018, 111, 1375–1387. [Google Scholar] [CrossRef] [PubMed]
- Kupchan, S.M. Recent advances in the chemistry of terpenoid tumor inhibitors. Pure Appl. Chem. 1970, 21, 227–246. [Google Scholar] [CrossRef] [PubMed]



| Position | δC (mult) | δH (J/Hz) | COSY | HMBC (H→C) |
|---|---|---|---|---|
| 1 | 27.6 CH2 | 3.00 (d, 8.2) | 2 | 1′, 2, 2′, 3, 6′ |
| 2 | 90.9 CH | 4.62 (t, 8.5) | 1 | 4a/b, 6′ |
| 3 | 70.5 C | |||
| 3-OH | 4.63 (br s) | 2, 3, 4a/b | ||
| 4a | 25.1 CH3 | 1.10 (s) | 2, 3, 4b | |
| 4b | 26.4 CH3 | 1.11 (s) | 2, 3, 4a | |
| 1′ | 111.5 C | |||
| 2′ | 157.1 C | |||
| 2′-OH | 10.85 (s) | 1′,2′, 3′ | ||
| 3′ | 108.4 C | |||
| 4′ | 141.5 C | |||
| 5′ | 104.7 CH | 6.25 (s) | 1‘,3′,6′,9‘ | |
| 6′ | 164.4 C | |||
| 7′ | 171.0 C | |||
| 8′ | 52.39 CH3 | 3.83 (s) | 7‘ | |
| 9′ | 23.1 CH3 | 2.34 (s) | 3′, 4′, 5′ |
Disclaimer/Publisher’s Note: The statements, opinions and data contained in all publications are solely those of the individual author(s) and contributor(s) and not of MDPI and/or the editor(s). MDPI and/or the editor(s) disclaim responsibility for any injury to people or property resulting from any ideas, methods, instructions or products referred to in the content. |
© 2023 by the authors. Licensee MDPI, Basel, Switzerland. This article is an open access article distributed under the terms and conditions of the Creative Commons Attribution (CC BY) license (https://creativecommons.org/licenses/by/4.0/).
Share and Cite
Astakala, R.V.; Preet, G.; Ebel, R.; Jaspars, M. Methyl-4-hydroxy-2-(2-hydroxypropan-2-yl)-6-methyl-2,3-dihydrobenzofuran-5-carboxylate. Molbank 2023, 2023, M1697. https://doi.org/10.3390/M1697
Astakala RV, Preet G, Ebel R, Jaspars M. Methyl-4-hydroxy-2-(2-hydroxypropan-2-yl)-6-methyl-2,3-dihydrobenzofuran-5-carboxylate. Molbank. 2023; 2023(3):M1697. https://doi.org/10.3390/M1697
Chicago/Turabian StyleAstakala, Rishi Vachaspathy, Gagan Preet, Rainer Ebel, and Marcel Jaspars. 2023. "Methyl-4-hydroxy-2-(2-hydroxypropan-2-yl)-6-methyl-2,3-dihydrobenzofuran-5-carboxylate" Molbank 2023, no. 3: M1697. https://doi.org/10.3390/M1697
APA StyleAstakala, R. V., Preet, G., Ebel, R., & Jaspars, M. (2023). Methyl-4-hydroxy-2-(2-hydroxypropan-2-yl)-6-methyl-2,3-dihydrobenzofuran-5-carboxylate. Molbank, 2023(3), M1697. https://doi.org/10.3390/M1697

