Sign in to use this feature.

Years

Between: -

Subjects

remove_circle_outline
remove_circle_outline
remove_circle_outline
remove_circle_outline
remove_circle_outline
remove_circle_outline
remove_circle_outline
remove_circle_outline

Journals

remove_circle_outline
remove_circle_outline
remove_circle_outline
remove_circle_outline
remove_circle_outline
remove_circle_outline

Article Types

Countries / Regions

remove_circle_outline
remove_circle_outline
remove_circle_outline
remove_circle_outline
remove_circle_outline

Search Results (422)

Search Parameters:
Keywords = bovine mastitis

Order results
Result details
Results per page
Select all
Export citation of selected articles as:
22 pages, 10038 KB  
Article
Genomic Evidence Supporting a One Health Perspective on Staphylococcus aureus Bovine Mastitis
by Gabriele Meroni, Valerio Massimo Sora, Giulia Laterza, Alessio Soggiu, Piera Anna Martino, Francesca Zaghen, Luigi Bonizzi, Luciana Colombo and Alfonso Zecconi
Antibiotics 2026, 15(1), 98; https://doi.org/10.3390/antibiotics15010098 (registering DOI) - 18 Jan 2026
Abstract
Background/Objectives: Staphylococcus aureus is a multifaceted pathogen responsible for diseases in humans and in several animal species, including dairy cows. This study aimed to characterize and compare the genetic diversity, lineage distribution, and antimicrobial resistance profiles of S. aureus isolates from bovine [...] Read more.
Background/Objectives: Staphylococcus aureus is a multifaceted pathogen responsible for diseases in humans and in several animal species, including dairy cows. This study aimed to characterize and compare the genetic diversity, lineage distribution, and antimicrobial resistance profiles of S. aureus isolates from bovine milk with human-derived reference genomes to investigate host adaptation and inter-species transmission. Methods: Genomic analyses were performed on S. aureus isolates from quarter milk samples of dairy cows together with human-derived sequences from public databases. Whole-genome sequencing and multi-locus sequence typing (MLST) were used to determine sequence type (ST) distribution, and the presence of key antibiotic resistance genes and mobile genetic elements (MGEs) was assessed. Comparative genomics was applied to evaluate gene content, phylogenetic relationships, and lineage–host associations. Results: The dataset encompassed bovine-adapted lineages (CC97, CC133, CC151) and human-associated lineages (CC1, CC5, CC8, CC30, CC45), as well as livestock-associated ST398 in bovine samples and human-adapted ST5 and ST6 in animals. ST8 was the only ST shared between animal and human isolates and showed differing resistance profiles, with animal ST8 carrying resistance determinants absent from human ST8. Bovine-adapted strains were characterized by recurrent loss of human-associated virulence genes and acquisition of bovine-associated mobile genetic elements, and blaZ and mecA were rarely detected in bovine-adapted CC97 but were frequently present in human CC5 and CC8. Overall, animal isolates carried fewer resistance genes than human isolates. Conclusions: S. aureus from dairy cows and humans displayed substantial genetic diversity, with evidence of host-associated lineages and dynamic changes in gene and mobile element content. These findings support the need for integrated One Health surveillance to track shared and host-adapted lineages and their antibiotic resistance determinants. Full article
Show Figures

Figure 1

16 pages, 3633 KB  
Article
Temporal Dynamics and Integrative Characterization of Streptococcus uberis Biofilm Development
by Melina Vanesa Moliva, María Florencia Cerioli, Ignacio Velzi, María Alejandra Molina, Carina Maricel Pereyra, Ayelen Nigra, Andrea Lorena Cristofolini, Cecilia Inés Merkis, Pablo Bogino and Elina Beatriz Reinoso
Bacteria 2026, 5(1), 6; https://doi.org/10.3390/bacteria5010006 - 15 Jan 2026
Viewed by 65
Abstract
Streptococcus uberis is a bovine mastitis pathogen with a demonstrated ability to form biofilms. However, the dynamics of this process remain poorly characterized. This study aimed to comprehensively characterize biofilm formation in four S. uberis strains that differed in their biofilm-forming capacity, from [...] Read more.
Streptococcus uberis is a bovine mastitis pathogen with a demonstrated ability to form biofilms. However, the dynamics of this process remain poorly characterized. This study aimed to comprehensively characterize biofilm formation in four S. uberis strains that differed in their biofilm-forming capacity, from weak to strong producers, and in the presence of key virulence-associated genes, such as sua, hasA and hasC. To achieve this, we integrated structural, biochemical, physiological and transcriptional analyses using scanning electron microscopy (SEM), Fourier-transform infrared spectroscopy (FT-IR), spectral flow cytometry and qRT-PCR. The multi-faceted analysis revealed a coordinated maturation peak at 48 h, characterized by a structured architecture with water channels, a distinct biochemical signature rich in polysaccharides and proteins, and a predominantly viable bacterial population. This peak coincided with a marked upregulation of key virulence-associated genes, with sua expression increasing 2.5-fold and hasA increasing 3-fold at 48 h. This mature biofilm conferred high tolerance to antibiotics, with eradication concentrations (>256 µg/mL) exceeding planktonic MICs, although tetracycline was notably effective. At 72 h, the biofilm entered a dispersion phase characterized by structural collapse and reduced viability. These findings establish S. uberis biofilm maturation as a highly coordinated process, providing new insights into the biofilm lifecycle of this important pathogen and identifying key temporal and molecular targets for future interventions. Full article
Show Figures

Figure 1

26 pages, 7456 KB  
Article
Multicellular Model Reveals the Mechanism of AEE Alleviating Vascular Endothelial Cell Injury via Anti-Inflammatory and Antioxidant Effects
by Ji Feng, Qi Tao, Meng-Zhen Li, Zhi-Jie Zhang, Qin-Fang Yu and Jian-Yong Li
Int. J. Mol. Sci. 2026, 27(2), 877; https://doi.org/10.3390/ijms27020877 - 15 Jan 2026
Viewed by 227
Abstract
Vascular endothelial injury is a key pathological characteristic of multiple diseases, such as atherosclerosis, stroke, and mastitis. Aspirin eugenol ester (AEE) has been confirmed to exert a significant protective effect on vascular endothelial injury. However, the universal action patterns and underlying mechanisms of [...] Read more.
Vascular endothelial injury is a key pathological characteristic of multiple diseases, such as atherosclerosis, stroke, and mastitis. Aspirin eugenol ester (AEE) has been confirmed to exert a significant protective effect on vascular endothelial injury. However, the universal action patterns and underlying mechanisms of AEE across different pathological scenarios have not been systematically elucidated. This study aimed to investigate the effect and mechanism of AEE in alleviating multiple vascular endothelial injury models. Nine vascular endothelial injury models were established by treating bovine aortic endothelial cells (BAECs), mouse aortic endothelial cells (MAECs), and human umbilical vein endothelial cells (Huvecs) with ethanol (EtOH), hydrogen peroxide (H2O2), and copper sulfate (CuSO4), respectively. The protective effects of AEE were systematically evaluated via morphological observation, detection of inflammatory responses, and oxidative stress markers. Furthermore, metabolomics was employed to identify and analyze differentially expressed metabolites between the nine model groups and AEE groups. AEE exerted protective effects on all nine vascular endothelial injury models, inhibiting inflammation and oxidative stress induced by all inducers. Metabolomic analysis revealed that the differentially expressed metabolites modulated by AEE in most models were primarily enriched in lipid metabolism, amino acid metabolism, coenzyme biosynthesis, and other related pathways. AEE could improve vascular endothelial injury by upregulating antioxidant substance which included eicosapentaenoic acid (EPA), choline, coenzyme A (CoA), glutathione (GSH), catalase (CAT) and superoxide dismutase (SOD), as well as downregulating substances that cause endothelial oxidative damage, including phytosphingosine (PS), palmitic acid (PA), and arachidonic acid (AA). Full article
Show Figures

Figure 1

20 pages, 1167 KB  
Review
One Health Perspective on Antimicrobial Resistance in Bovine Mastitis Pathogens—A Narrative Review
by Bigya Dhital, Rameshwor Pudasaini, Jui-Chun Hsieh, Ramchandra Pudasaini, Ying-Tsong Chen, Day-Yu Chao and Hsin-I Chiang
Antibiotics 2026, 15(1), 84; https://doi.org/10.3390/antibiotics15010084 - 14 Jan 2026
Viewed by 533
Abstract
Background/Objectives: Bovine mastitis, a significant global concern in dairy farming, results in substantial economic losses and poses considerable risks to both animal and human health. With the increasing prevalence of antimicrobial resistance (AMR) in mastitis pathogens, the potential for resistant infections to [...] Read more.
Background/Objectives: Bovine mastitis, a significant global concern in dairy farming, results in substantial economic losses and poses considerable risks to both animal and human health. With the increasing prevalence of antimicrobial resistance (AMR) in mastitis pathogens, the potential for resistant infections to spread from livestock to humans and the environment is becoming a critical public health issue. This narrative review summarizes the current evidence on antimicrobial resistance in pathogens causing bovine mastitis and examines it from a One Health perspective, encompassing animal, human, and environmental interfaces. Results: By examining the complex interplay among animal, human, and environmental health, we highlight key factors that drive resistance, including the overuse of antimicrobials, poor farm management, and environmental contamination. We also discuss innovative strategies, such as enhanced surveillance, pathogen-specific diagnostics, alternatives to antimicrobials, and sustainable farm practices, that can mitigate the emergence of resistance. Key knowledge gaps include a limited understanding of antimicrobial residues, resistant pathogens, and gene transmission pathways and inconsistent implementation of antimicrobial stewardship practices. Conclusions: This review emphasizes the need for a coordinated, multidisciplinary effort to reduce the burden of AMR in bovine mastitis pathogens, ensuring the continued efficacy of antimicrobials and safeguarding public health through responsible management and policy interventions. Full article
(This article belongs to the Section The Global Need for Effective Antibiotics)
Show Figures

Figure 1

21 pages, 7425 KB  
Article
Oxidative-Stress-Mediated AMPK/mTOR Signaling in Bovine Mastitis: An Integrative Analysis Combining 16S rDNA Sequencing and Molecular Pathology
by Yuanyuan Zhang, Min Zhang, Daqing Wang, Feifei Zhao, Luofei Jia, Zhiwei Sun, Guifang Cao and Yong Zhang
Biology 2026, 15(2), 115; https://doi.org/10.3390/biology15020115 - 6 Jan 2026
Viewed by 232
Abstract
The bovine mammary gland, the exclusive site of milk synthesis, is a structurally specialized tissue that houses distinct cellular subsets, yet it remains highly susceptible to major mastitis pathogens, including Staphylococcus aureus, Streptococcus agalactiae, and Escherichia coli. Infection disrupts redox [...] Read more.
The bovine mammary gland, the exclusive site of milk synthesis, is a structurally specialized tissue that houses distinct cellular subsets, yet it remains highly susceptible to major mastitis pathogens, including Staphylococcus aureus, Streptococcus agalactiae, and Escherichia coli. Infection disrupts redox homeostasis, leading to excessive accumulation of reactive oxygen species (ROS) and rapid activation of antioxidant pathways. In this study, we integrated 16S DNA sequencing, histopathology (hematoxylin and eosin), and immunohistochemistry to map the mastitis-associated microbiota and visualize oxidative-damage foci in mammary tissues challenged by Staphylococcus aureus, Streptococcus agalactiae, or Escherichia coli. Quantitative reverse transcription polymerase chain reaction and Western blot analyses were subsequently performed on the same samples to measure the kinetic response of six oxidative-stress-related signalling nodes: adenosine 5′-monophosphate-activated protein kinase, cytochrome P450 1A1, heme oxygenase 1, nitric oxide synthase, mammalian target of rapamycin, and superoxide dismutase. By correlating the temporal expression patterns of these genes/proteins with ROS accumulation and histological severity, this study delineates the molecular cascade linking oxidative imbalance to mastitis pathology, providing data-driven targets for future preventive and therapeutic strategies. Full article
Show Figures

Figure 1

11 pages, 325 KB  
Article
Randomized, Negative-Controlled Pilot Study on the Treatment of Intramammary Staphylococcus aureus Infections in Dairy Cows with a Bacteriophage Cocktail
by Volker Krömker, Stefanie Leimbach, Anne Tellen, Nicole Wente, Janina Schmidt, Hansjörg Lehnherr and Franziska Nankemann
Antibiotics 2026, 15(1), 32; https://doi.org/10.3390/antibiotics15010032 - 1 Jan 2026
Viewed by 247
Abstract
Background/Objectives: Staphylococcus (S.) aureus is a major pathogen causing bovine mastitis and is often refractory to antibiotic therapies due to virulence factors and resistance mechanisms. In this pilot study, the safety and efficacy of an intramammary phage cocktail, in naturally S. aureus [...] Read more.
Background/Objectives: Staphylococcus (S.) aureus is a major pathogen causing bovine mastitis and is often refractory to antibiotic therapies due to virulence factors and resistance mechanisms. In this pilot study, the safety and efficacy of an intramammary phage cocktail, in naturally S. aureus-infected dairy cows, were investigated. Methods: The initial part of the study on farm 1 confirmed tolerability and safety, as there were no observed systemic side effects of treatment. The subsequent efficacy study on farm 2 included 23 with S. aureus infected udder quarters, which were randomly divided into a treatment group (n = 16) and a control group (n = 7). The quarters in the treatment group received five intramammary infusions of the phage cocktail at 12-h intervals. Results: This resulted in a bacteriological cure rate of 81.3% (13/16) for the treatment group, compared to 28.6% (2/7) in the control group (p = 0.026). Conclusions: These results indicate that phage therapy is well-tolerated and may be a promising alternative to antibiotics for treating S. aureus mastitis, although confirmation in larger-scale, multicenter studies is required. Full article
(This article belongs to the Section Antibiotics in Animal Health)
Show Figures

Figure 1

19 pages, 4816 KB  
Article
Milk-Derived Extracellular Vesicles Inhibit Staphylococcus aureus Growth and Biofilm Formation
by Peng Liu, Zhaoyuan Wang, Ziqiang Gao, Juan Liu, Yutong Zhang, Yangyang Song, Xiaolin Li, Huaxue Song, Xingli He, Fanzhi Kong, Changyuan Wang and Binglei Shen
Animals 2026, 16(1), 123; https://doi.org/10.3390/ani16010123 - 1 Jan 2026
Viewed by 299
Abstract
Staphylococcus aureus is a key pathogen in bovine mastitis, and antibiotic therapy is challenged by resistance and residue concerns. Milk-derived extracellular vesicles emerge as promising natural antimicrobials. This study aimed to evaluate the antimicrobial activity and explore potential associated mechanisms of milk-derived extracellular [...] Read more.
Staphylococcus aureus is a key pathogen in bovine mastitis, and antibiotic therapy is challenged by resistance and residue concerns. Milk-derived extracellular vesicles emerge as promising natural antimicrobials. This study aimed to evaluate the antimicrobial activity and explore potential associated mechanisms of milk-derived extracellular vesicles against S. aureus. Milk-derived EV-enriched fractions (mEVs) from healthy (HmEVs) and mastitic (MmEVs) bovine milk suppressed S. aureus growth in vitro and were associated with oxidative imbalance, with MmEVs showing stronger inhibition. In addition, MmEVs significantly reduced biofilm biomass, extracellular matrix production, and the expression of key biofilm-associated genes (sarA, icaB, fnbA, clfB, cidA). Small RNA sequencing revealed distinct miRNA profiles between HmEVs and MmEVs; in particular, MmEVs were enriched in miRNAs predicted to target the S. aureus biofilm-associated gene clfB. Although we did not directly demonstrate uptake of mEV-derived miRNAs by bacteria or their regulation of bacterial gene expression in this study, our small RNA sequencing data together with subsequent bioinformatic predictions suggest that vesicular miRNAs should be regarded as candidate contributors, rather than demonstrated mediators, of the observed antibacterial and antibiofilm effects. Taken together, these findings indicate the potential of mEVs as residue-free adjuncts for controlling bovine mastitis, while recognizing that the present conclusions are mainly derived from in vitro experiments with S. aureus and bioinformatic analyses. Therefore, functional validation of candidate miRNAs, in vivo studies, and evaluation of activity against other mastitis-associated pathogens are still required to clarify the underlying mechanisms, therapeutic potential, and spectrum of activity of mEVs. Full article
(This article belongs to the Section Cattle)
Show Figures

Figure 1

18 pages, 1235 KB  
Article
Ten-Year Monitoring of Bovine Mastitis-Causing Bacteria in Northern Italy and Evaluation of Antimicrobial Resistance in Raw Milk
by Arianna Guaita, Franco Paterlini, Antonella Posante, Monica Boldini, Cinzia Rolfi and Paolo Daminelli
Microorganisms 2026, 14(1), 46; https://doi.org/10.3390/microorganisms14010046 - 25 Dec 2025
Viewed by 278
Abstract
Bovine mastitis is a multifactorial disease defined by the inflammation of the udder in cattle. It can be caused by different factors, but contagious or environmental pathogens play a major role in the onset of this disease. The main treatment for this condition [...] Read more.
Bovine mastitis is a multifactorial disease defined by the inflammation of the udder in cattle. It can be caused by different factors, but contagious or environmental pathogens play a major role in the onset of this disease. The main treatment for this condition is the administration of antibiotics, either parenterally or via the intramammary route. The samples were processed by the National Reference Centre for Bovine Milk Quality (CRNQLB) and bacteriologically examined by the IZSLER Primary Production Department (BS, Italy) over the period from 2015 to 2024. Moreover, this study presents the minimum inhibitory concentrations (MICs) obtained from all the bacterial pathogens isolated in the last three years of the study (2022–2024). This study aimed to describe the main frequencies recorded during the decade, in order to provide an enumeration of pathogens circulating in the IZSLER jurisdiction and to estimate trends in antimicrobial resistance, highlighting increases or decreases in observed resistance levels. Results show an increased prevalence of Streptococcus uberis, Escherichia coli, and Enterococcus faecium, with a decrease in Prototheca, yeasts, Staphylococcus aureus, and Streptococcus agalactiae. The general increase in antimicrobial resistance to trimethoprim needs to be highlighted to express the need for a targeted therapy based on accurate diagnosis to limit the spread of resistance in dairy farms. Full article
(This article belongs to the Section Antimicrobial Agents and Resistance)
Show Figures

Figure 1

17 pages, 3537 KB  
Article
Prevalence, Risk Factors, and Antibiogram Analysis of Bovine Mastitis in Northern Bangladesh
by Md. Ashraf Zaman Faruk, Md. Mizanur Rahman Manu, Farzana Afroz, Md. Wajed Ali, Md Atiqul Haque, Danishuddin and Md Azizul Haque
Vet. Sci. 2025, 12(12), 1201; https://doi.org/10.3390/vetsci12121201 - 15 Dec 2025
Viewed by 421
Abstract
Mastitis remains a major constraint to dairy production in Bangladesh, particularly in high-demand regions. This study investigated the prevalence, risk factors, and antimicrobial resistance patterns of major pathogens associated with bovine mastitis in Northern Bangladesh. A total of 488 milk samples from 122 [...] Read more.
Mastitis remains a major constraint to dairy production in Bangladesh, particularly in high-demand regions. This study investigated the prevalence, risk factors, and antimicrobial resistance patterns of major pathogens associated with bovine mastitis in Northern Bangladesh. A total of 488 milk samples from 122 randomly selected milking cows were tested through clinical inspection and the California Mastitis Test (CMT). Positive samples were subjected to bacterial culture and antimicrobial susceptibility testing using the disc diffusion method. The overall cow-level prevalence was 35.24%, with 27.86% sub-clinical and 7.37% clinical cases. At the quarter level, prevalence was 21.72%. Among 166 bacterial isolates, Staphylococcus spp. (41.56%) was predominant, followed by Streptococcus spp. (23.49%), E. coli (17.47%), Klebsiella spp. (12.65%) and Bacillus spp. (4.82%). Gentamicin (100%) and Streptomycin (92.20%) were the most effective antibiotics, whereas Cefixime (100%) and Amoxicillin (87.40%) showed the highest resistance rates. Major risk factors included late lactation stage, high milk yield, previous mastitis history, and poor hygiene. In contrast, breed, age, and parity were not significant. These findings highlight a high prevalence of mastitis, predominance of Staphylococcus spp., and rising antimicrobial resistance, identify associated risk factors, and rising antimicrobial resistance profiles in Northern Bangladesh. Full article
Show Figures

Figure 1

16 pages, 538 KB  
Article
mecA and mecC Positive Strains of Staphylococcus aureus Detected and Isolated from Raw Milk of Ecuador
by Anthony Loor-Giler, Camila Sanchez-Castro, Byron Puga-Torres, Silvana Santander-Parra and Luis Nuñez
Antibiotics 2025, 14(12), 1255; https://doi.org/10.3390/antibiotics14121255 - 12 Dec 2025
Viewed by 558
Abstract
Background: Milk is a highly nutritious food, but its composition makes it an ideal medium for microbial growth, particularly for bacteria like Staphylococcus aureus (S. aureus). In Ecuador, raw milk consumption is culturally rooted, and contamination risks are heightened, especially [...] Read more.
Background: Milk is a highly nutritious food, but its composition makes it an ideal medium for microbial growth, particularly for bacteria like Staphylococcus aureus (S. aureus). In Ecuador, raw milk consumption is culturally rooted, and contamination risks are heightened, especially in informal markets. Staphylococcus aureus, a Gram-positive, coagulase-positive bacterium, commonly colonizes mucous membranes and can cause a range of infections due to its production of thermostable toxins. Its impact extends to bovine mastitis, severely affecting dairy production. Of particular concern is the emergence of methicillin-resistant S. aureus (MRSA) strains, associated with the acquisition of the mecA gene located on the “staphylococcal chromosomal cassette mec” (SCCmec) element and identification of a mecA homologue, mecC, further complicates detection and monitoring efforts. Objectives: This study evaluated the prevalence of S. aureus and MRSA strains in raw milk from Ecuadorian provinces Pichincha and Manabí. Methods: A total of 633 samples were collected and analyzed via real-time PCR (qPCR) and bacterial isolation methods, complemented by endpoint PCR assays for mecA and mecC genes detection. Results: A high prevalence of S. aureus (84%) was observed, with significant differences between regions. MRSA was detected in 23% of all samples, with mecA being more prevalent than mecC among isolates. Sequencing of 16S rDNA confirmed the identity of isolates, while phylogenetic analysis of mecA and mecC genes validated their presence. The findings suggest that suboptimal hygiene practices and varied biosecurity protocols, especially among small and medium dairy producers, may contribute to the persistence of resistant strains. Conclusions: This study highlights the presence of S. aureus and MRSA in raw milk, underscoring the need for strengthened surveillance, improved hygiene practices, the use of molecular diagnostic tools, and proper heat treatments to reduce the public health risks associated with contaminated milk and its derivatives. Full article
Show Figures

Figure 1

15 pages, 634 KB  
Article
Evaluation of Antimicrobial and Antibiofilm Activity of Eucalyptus urograndis (Clone I144) Pyroligneous Extract on Bovine Mastitis Isolate of Multiple-Drug-Resistant Staphylococcus aureus Strains
by Isadora Karoline de Melo, Caio Sergio Santos, Nilza Dutra Alves, Gustavo Lopes Araujo, Aline Maciel Clarindo, Alexandre Santos Pimenta, Denny Parente de Sá Barreto Maia Leite, Rinaldo Aparecido Mota and Francisco Marlon Carneiro Feijó
Microorganisms 2025, 13(12), 2771; https://doi.org/10.3390/microorganisms13122771 - 5 Dec 2025
Viewed by 452
Abstract
Milk is an important agricultural product and is consumed worldwide. However, the dairy sector faces a significant challenge due to bovine mastitis, a common disease that has a substantial impact on the dairy industry. In more severe cases, it leads to the culling [...] Read more.
Milk is an important agricultural product and is consumed worldwide. However, the dairy sector faces a significant challenge due to bovine mastitis, a common disease that has a substantial impact on the dairy industry. In more severe cases, it leads to the culling of chronically infected cows. Mastitis poses a risk due to the frequent use of antibiotics in treatment, which contributes to the spread of bacteria with antimicrobial resistance. The present study aimed to evaluate the antimicrobial and antibiofilm potential of a pyroligneous extract of Eucalyptus urograndis (clone I144) against multidrug-resistant Staphylococcus aureus, the causative agent of mastitis. Sensitivity profiles to various conventional antibiotics were assessed, including the minimum inhibitory concentration (MIC), the minimum bactericidal concentration (MBC), and biofilm inhibition, in ten Staphylococcus aureus strains using the crystal violet method. The results showed that the multidrug-resistant strains were sensitive to the pyroligneous extract of Eucalyptus urograndis (clone I144) at a concentration of 12.5% and exhibited antibiofilm activity starting at a concentration of 3.13%. In conclusion, our findings show that the pyroligneous extract of Eucalyptus urograndis (clone I144), at 12.5%, inhibited different multidrug-resistant S. aureus and MRSA strains isolated from bovine mastitis. These results indicate that the extract represents an effective preventive strategy against mastitis-causing pathogens that are difficult to treat, making it a promising alternative to reduce the dependence on synthetic antibiotics. In vivo studies are needed to confirm these findings and provide a basis for evidence-based clinical guidelines. Full article
(This article belongs to the Special Issue Advances in Veterinary Microbiology)
Show Figures

Figure 1

21 pages, 355 KB  
Review
Antibiotic Residues in Milk as a Consequence of Mastitis Treatment: Balancing Animal Welfare and One Health Risks
by Dragana Tomanić, Nebojša Kladar and Zorana Kovačević
Vet. Sci. 2025, 12(12), 1159; https://doi.org/10.3390/vetsci12121159 - 4 Dec 2025
Cited by 1 | Viewed by 1107
Abstract
Bovine mastitis is a prevalent infectious disease in dairy cattle, causing inflammation, pain, reduced milk yield, and economic losses. Antibiotic therapy is the mainstay of treatment, yet irresponsible use can lead to the presence of antibiotic residues in milk and contribute to the [...] Read more.
Bovine mastitis is a prevalent infectious disease in dairy cattle, causing inflammation, pain, reduced milk yield, and economic losses. Antibiotic therapy is the mainstay of treatment, yet irresponsible use can lead to the presence of antibiotic residues in milk and contribute to the emergence of antimicrobial resistance (AMR), posing significant risks to public health and food safety. This review aims to provide a comprehensive synthesis of current knowledge on mastitis management, antibiotic use and resulting residues in milk, their public health and environmental impacts, and alternative strategies to reduce antibiotic dependence, framed within a One Health–One Welfare perspective. Antibiotic residues in milk are closely linked to treatment practices, withdrawal period compliance, and regulatory oversight, with prevalence ranging from <1% in some European countries to over 80% in parts of Africa. Residues, particularly from β-lactams, tetracyclines, and quinolones, can disrupt human intestinal microbiota, promote resistant bacterial strains, trigger immunological reactions, and interfere with dairy processing. Environmental contamination through excreted antibiotics further facilitates the spread of resistance. Sustainable alternatives, including probiotics, phytotherapy, vaccines, and improved farm biosecurity, show promise in reducing antibiotic use while maintaining animal welfare and productivity. Antibiotic therapy remains essential for mastitis control, but its consequences on milk safety, public health, and AMR require prudent management. Integrating monitoring, adherence to withdrawal periods, and sustainable alternatives within a One Health–One Welfare framework is critical for ensuring safe, responsible, and environmentally sustainable dairy production. Full article
(This article belongs to the Special Issue Multidimensional Impacts of Infectious Diseases on Animal Welfare)
28 pages, 3686 KB  
Article
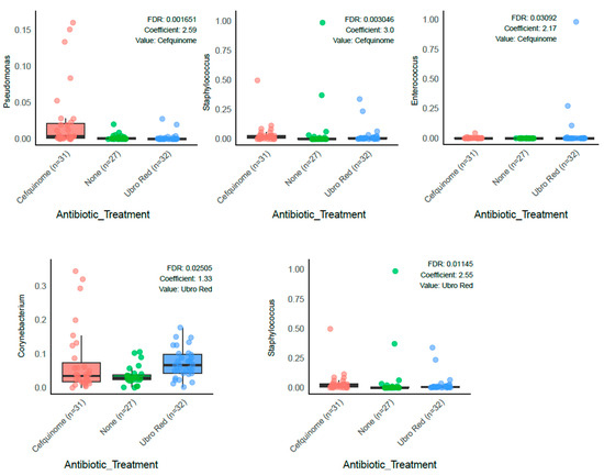
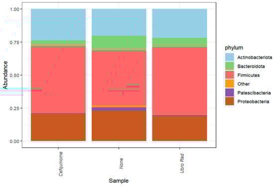
The Microbial Composition of Bovine Colostrum as Influenced by Antibiotic Treatment
by Ruth Conboy-Stephenson, Dhrati Patangia, Kevin Linehan, R. Paul Ross and Catherine Stanton
Antibiotics 2025, 14(12), 1217; https://doi.org/10.3390/antibiotics14121217 - 3 Dec 2025
Viewed by 612
Abstract
Background/Objectives: Bovine colostrum, the initial milk produced by cows postpartum, contains an array of key nutritional, immune, and microbial components that support the calf’s physiological development, immune maturation, and intestinal colonization. The composition and quality of colostrum can be influenced by multiple [...] Read more.
Background/Objectives: Bovine colostrum, the initial milk produced by cows postpartum, contains an array of key nutritional, immune, and microbial components that support the calf’s physiological development, immune maturation, and intestinal colonization. The composition and quality of colostrum can be influenced by multiple factors, including seasonal variation, breed, parity, and farm management practices. This study investigated the microbial profile of Irish bovine colostrum and the influence of antibiotic therapy and parity. Methods: Bovine colostrum samples were collected from five Irish dairy farms that implemented different methods of dry cow therapy (DCT): natural or blanket. For blanket DCT, four of the five farms administered intramammary antibiotics at the start of the drying off period. Two farms administered a fourth-generation cephalosporin, cefquinome, and two farms used an antibiotic of the penicillin class, with the active ingredients consisting of procaine benzylpenicillin, penethamate hydriodide, and framycetin sulphate. One farm did not administer antibiotics but applied a teat sealant (natural DCT). Following calving, colostrum samples from 90 healthy dairy cows were analysed. Results: 16S rRNA sequence analysis revealed Firmicutes, Actinobacteriota, Bacteroidota, and Proteobacteria as the most abundant phyla across all treatment groups, with Acinetobacter, Corynebacterium, Facklamia, Jeotgalicoccus, Lactococcus, Leuconostoc, Psychrobacter, and Staphylococcus dominating at genus level. Parity did not significantly affect the microbial composition in this study, but antibiotic treatment did. Cows receiving no antibiotics showed distinct microbial clustering compared with antibiotic-treated cows (β-diversity, p < 0.001). Microbial diversity also differed between the antibiotic-treated groups, with significant changes in both α-diversity (p < 0.01) and β-diversity (p < 0.001), suggesting that the choice of antibiotic may also influence the microbiota. An influence of farm was also observed. Differential abundance analysis showed no increase in mastitis-associated genera in colostrum following natural DCT, although increased abundance was demonstrated with blanket DCT. Conclusions: Our findings substantiate the diverse and unique microbial composition of bovine colostrum. The data indicate that the microbial profile of bovine colostrum is influenced by antibiotic treatment administered during the dry period and affirms the latest policies inhibiting prophylactic antibiotic administration. Future studies should elucidate strain level changes in the colostrum microbiota following on-farm antibiotic use, assess the associated risks of antimicrobial resistance, and explore non-antibiotic alternatives for drying off cows. Evidently, the microbial composition of bovine colostrum is influenced by farm management strategies and optimizing these measures may further increase the valuable constituents of bovine colostrum and confer added health benefits to the new-born calf. Full article
(This article belongs to the Section Antibiotics in Animal Health)
Show Figures

Figure 1

21 pages, 2361 KB  
Article
Milk Disposition Kinetics, Residue and Efficacy of Rifaximin After Intramammary Administration in Lactating Cow
by Na Yu, Yaoxin Tang, Weifeng Zhao, Junhao Xiang, Jing Qu, Hao Wu and Yiming Liu
Antibiotics 2025, 14(12), 1203; https://doi.org/10.3390/antibiotics14121203 - 1 Dec 2025
Viewed by 439
Abstract
Background: Rifaximin is a non-aminoglycoside antibiotic utilized for the treatment of mastitis in cows, but its milk disposition kinetics, residue, and bacteriological status in lactating cow milk have hardly been reported. This study aimed to assess the milk disposition kinetics and residue of [...] Read more.
Background: Rifaximin is a non-aminoglycoside antibiotic utilized for the treatment of mastitis in cows, but its milk disposition kinetics, residue, and bacteriological status in lactating cow milk have hardly been reported. This study aimed to assess the milk disposition kinetics and residue of rifaximin in milk and to evaluate the bacteriological status in milk after intramammary treatment with rifaximin. Methods: An ultra-high-performance liquid chromatography–tandem mass spectrometry (UPLC–MS/MS) approach was developed to assess rifaximin concentrations in milk. Milk disposition kinetics parameters of rifaximin in cow milk were obtained by non-compartment model analysis. Rifaximin residues in milk were analyzed up to 108 h post-administration to estimate the withdrawal period. Clinically, the efficacy of Rifaximin Intramammary Infusion (Lactating Cow) was evaluated in mastitis cases caused by various pathogens and compared with lincomycin as the control drug, including clinical cure rate, bacteriological cure rate, and somatic cell count (SCC) at D21 post-treatment. Results: The Cmax of rifaximin in milk was 54,273.3 ± 12,421.32 ng/mL, the area under the curve (AUC) was 340,731.8 ± 43,968.82 h⋅ng/mL, the T1/2 was 5.57 ± 0.68 h, the mean resident time (MRT) was 7.3927 ± 1.34 h, and the area under the moment curve (AUMC) was 2,475,745 ± 230,305.1 h⋅h⋅ng/mL. Based on rifaximin residues in milk, the withdrawal period for cow milk was calculated to be 95.1 h. Clinically, Rifaximin Intramammary Infusion (Lactating Cow) demonstrated a clinical cure rate of 83.33% and a bacteriological cure rate of 76.67% in mastitis cases caused by various pathogens, with both rates being 10% higher than those of lincomycin. At D21 post-treatment, the rifaximin group had a significantly lower SCC than the lincomycin group (p < 0.05). Conclusions: Rifaximin exhibits favorable milk disposition kinetics, an acceptable withdrawal period of 95.1 h, and good clinical and bacteriological cure rates in bovine mastitis. These findings support rifaximin as a useful intramammary option and contribute to rational antimicrobial use and milk safety in dairy. Full article
Show Figures

Graphical abstract

15 pages, 663 KB  
Article
Nisin or Chitosan Enhance the Antimicrobial Activity of Ceftiofur Against Antibiotic-Resistant Staphylococcus aureus and Have Antibiofilm Effects
by Mónica G. Sánchez-Ceja, Jaime L. Esquivel-Alejo, Ricardo I. Medina-Estrada, Rafael Jiménez-Mejía, Gustavo Santoyo, Joel E. López-Meza and Pedro D. Loeza-Lara
Pathogens 2025, 14(12), 1217; https://doi.org/10.3390/pathogens14121217 - 29 Nov 2025
Viewed by 688
Abstract
Mastitis is one of the major diseases affecting dairy cattle worldwide. Antibiotic therapy remains the most widely used treatment. However, its effectiveness has been compromised due to the selection of antibiotic-resistant and biofilm-producing pathogenic bacteria. This promotes the search for alternatives that increase [...] Read more.
Mastitis is one of the major diseases affecting dairy cattle worldwide. Antibiotic therapy remains the most widely used treatment. However, its effectiveness has been compromised due to the selection of antibiotic-resistant and biofilm-producing pathogenic bacteria. This promotes the search for alternatives that increase the antibacterial and antibiofilm efficacy of antibiotics such ceftiofur (CFT). Nisin (N) and chitosan (CH) may possess these properties. The aim of this study was to evaluate whether N + CFT and CH + CFT combinations enhance the antibacterial activity of the antibiotic on Staphylococcus aureus associated with bovine mastitis, as well as its antibiofilm effect. Two clinical isolates of S. aureus (AMC-43 and AMC-48) and the reference strain ATCC 27543 resistant to CFT were used. Through the microdilution method in 96-well microplates, the combination of sub-inhibitory concentrations of N (320 µg/mL) and CH (400 µg/mL) with CFT (1, 2, 4, and 8 µg/mL) significantly reduced bacterial growth; however, the CH + CFT mixtures were the most efficient. The crystal violet staining method and live cell plating showed antibiofilm activity in biofilm synthesis and in the reduction in living bacterial cells located inside this preformed structure. These results highlight N and CH as potential agents for the prevention or control of bovine mastitis. Full article
(This article belongs to the Special Issue Fighting Pathogens with Natural Antimicrobials)
Show Figures

Figure 1

Back to TopTop