Epoxide-Based Synthetic Approaches toward Polypropionates and Related Bioactive Natural Products
Abstract
1. Introduction
1.1. Isolation, Structural Characterization, and Antimicrobial Activities of Polypropionates
1.1.1. Macrolides
1.1.2. Polyene Macrolides
1.2. Linear Polypropionates
1.2.1. Polyethers
1.2.2. Other Related Polypropionates
2. Polypropionate Epoxide-Based Approaches
2.1. Kishi (Pioneer)
2.2. Katsuki
2.3. Marshall
2.4. Miyashita
2.5. Prieto
2.6. Sarabia
2.7. Jung
2.8. McDonald
2.9. Lipshutz
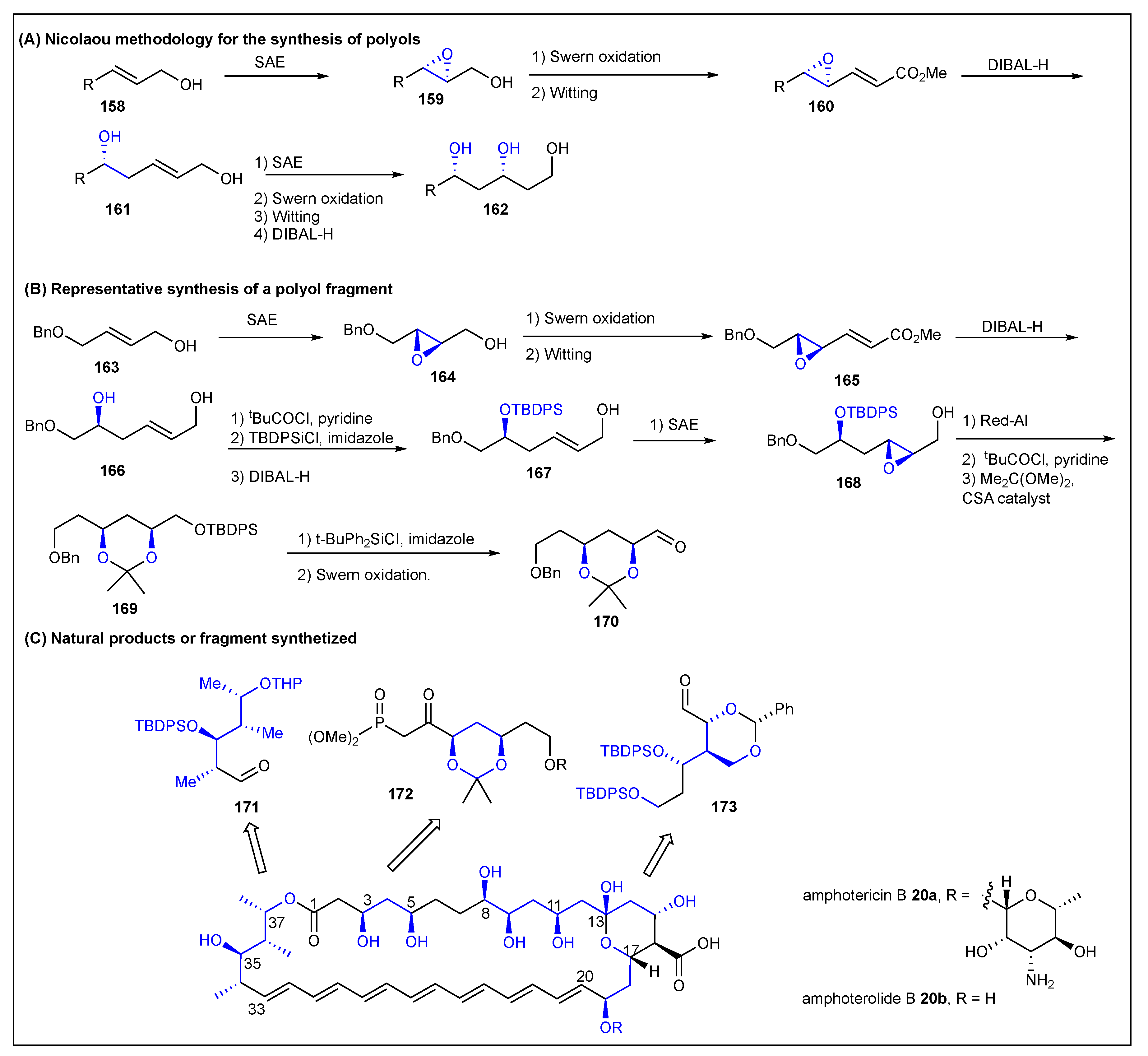
2.10. Nicolaou
2.11. Polypropionate Synthesis by Others
3. Other Epoxide Based-Syntheses of
Polyols and Polyethers
4. Conclusions
Author Contributions
Funding
Institutional Review Board Statement
Informed Consent Statement
Data Availability Statement
Acknowledgments
Conflicts of Interest
References
- Dewick, P.M. Medicinal Natural Products: A Biosynthetic Approach; John Wiley & Sons: Hoboken, NJ, USA, 2009. [Google Scholar]
- Birch, A.J. Biosynthesis of Polyketides and Related Compounds. Science 1967, 156, 202–206. [Google Scholar] [CrossRef]
- Koskinen, A.M.; Karisalmi, K. Polyketide Stereotetrads in Natural Products. Chem. Soc.Rev. 2005, 34, 677–690. [Google Scholar] [CrossRef]
- Rohr, J. A New Role for Polyketides. Angew. Chem. Int. Ed. 2000, 39, 2847–2849. [Google Scholar] [CrossRef]
- Cragg, G.M.; Grothaus, P.G.; Newman, D.J. Impact of Natural Products on Developing New Anti-Cancer Agents. Chem. Rev. 2009, 109, 3012–3043. [Google Scholar] [CrossRef] [PubMed]
- Hoffmann, R.W. Stereoselective Syntheses of Building Blocks with Three Consecutive Stereogenic Centers: Important Precursors of Polyketide Natural Products [New Synthetic Methods (68)]. Angew. Chem. Int. Ed. 1987, 26, 489–503. [Google Scholar] [CrossRef]
- Schetter, B.; Mahrwald, R. Modern Aldol Methods for the Total Synthesis of Polyketides. Angew. Chem. Int. Ed. 2006, 45, 7506–7525. [Google Scholar] [CrossRef]
- Li, J.; Menche, D. Direct Methods for Stereoselective Polypropionate Synthesis: A Survey. Synthesis 2009, 2009, 2293–2315. [Google Scholar]
- Paterson, I. New Methods and Strategies for the Stereocontrolled Synthesis of Polypropionate-Derived Natural Products. Pure Appl. Chem. 1992, 64, 1821–1830. [Google Scholar] [CrossRef]
- Chen, M.; Roush, W.R. Crotylboron-Based Synthesis of the Polypropionate Units of Chaxamycins A/D, Salinisporamycin, and Rifamycin S. J. Org. Chem. 2013, 78, 3–8. [Google Scholar] [CrossRef]
- Hoffmann, R.W.; Dresely, S. Stereoselective Synthesis of Alcohols, XXIX. Addition of (A-Methoxycrotyl) Boronates to Aldehydes. Chem. Ber. 1989, 122, 903–909. [Google Scholar] [CrossRef]
- Brown, H.; Bhat, K.S.; Randad, R.S. A Highly Diastereoselective Addition of [E]-and [Z]-Crotyldiisopinocampheylboranes to α-Substituted Aldehydes. J. Org. Chem. 1987, 52, 3701–3702. [Google Scholar] [CrossRef]
- Yamamoto, Y.; Asao, N. Selective Reactions Using Allylic Metals. Chem. Rev. 1993, 93, 2207–2293. [Google Scholar] [CrossRef]
- Denmark, S.E.; Fu, J. Catalytic Enantioselective Addition of Allylic Organometallic Reagents to Aldehydes and Ketones. Chem. Rev. 2003, 103, 2763–2794. [Google Scholar] [CrossRef] [PubMed]
- Masse, C.E.; Panek, J.S. Diastereoselective Reactions of Chiral Allyl and Allenyl Silanes with Activated C: X. Pi Bonds. Chem. Rev. 1995, 95, 1293–1316. [Google Scholar] [CrossRef]
- Guindon, Y.; Brazeau, J.-F. Diastereoselective Mukaiyama and Free Radical Processes for the Synthesis of Polypropionate Units. Org. Lett. 2004, 6, 2599–2602. [Google Scholar] [CrossRef] [PubMed]
- Kiyooka, S.; Shahid, K.A. A Divergent Synthesis of Essentially Enantiopure Syn-and Anti-Propionate Aldol Adducts Based on the Chiral 1, 3, 2-Oxazaborolidin-5-One-Promoted Asymmetric Aldol Reaction Followed by Diastereoselective Radical Reduction. Bull. Chem. Soc. Jpn. 2001, 74, 1485–1495. [Google Scholar] [CrossRef]
- Kiyooka, S.; Shahid, K.A. An Efficient Method for the Synthesis of Enantiopure 2, 3-Anti-Propionate Aldols Involving a 3, 5-Syn-or Anti-Diol Subunit through Chiral Borane-Mediated Enantioselective Aldol Reaction Coupled with Radical Reduction. Tetrahedron Lett. 2000, 41, 2633–2637. [Google Scholar] [CrossRef]
- Sibi, M.P.; Petrovic, G.; Zimmerman, J. Enantioselective Radical Addition/Trapping Reactions with α,β-Disubstituted Unsaturated Imides. Synthesis of a Nti-Propionate Aldols. J. Am. Chem. Soc. 2005, 127, 2390–2391. [Google Scholar] [CrossRef]
- Hanessian, S.; Gai, Y.; Wang, W. Stereocontrolled Functionalization in Acyclic Systems by Exploiting Internal 1, 2-Asymmetric Induction—Generation of Polypropionate and Related Motifs. Tetrahedron lett. 1996, 37, 7473–7476. [Google Scholar] [CrossRef]
- Whitehead, A.; McParland, J.P.; Hanson, P.R. Divalent Activation in Temporary Phosphate Tethers: Highly Selective Cuprate Displacement Reactions. Org. Lett. 2006, 8, 5025–5028. [Google Scholar] [CrossRef]
- Kumar, N.; Kiuchi, M.; Tallarico, J.A.; Schreiber, S.L. Small-Molecule Diversity Using a Skeletal Transformation Strategy. Org. Lett. 2005, 7, 2535–2538. [Google Scholar] [CrossRef]
- Sasaki, M.; Tanino, K.; Miyashita, M. Regioselective Alkyl and Alkynyl Substitution Reactions of Epoxy Alcohols by the Use of Organoaluminum Ate Complexes: Regiochemical Reversal of Nucleophilic Substitution Reactions. Org. Lett. 2001, 3, 1765–1767. [Google Scholar] [CrossRef]
- Jung, M.E.; D’Amico, D.C. Enantiospecific Synthesis of All Four Diastereomers of 2-Methyl-3-[(Trialkylsilyl)Oxy]Alkanals: Facile Preparation of Aldols by Non-Aldol Chemistry. J. Am. Chem. Soc. 1993, 115, 12208–12209. [Google Scholar] [CrossRef]
- Tirado, R.; Torres, G.; Torres, W.; Prieto, J.A. Regioselective Cleavage of Cis- and Trans-2-Methyl-3,4-Epoxy Alcohols with Diethylpropynyl Aluminum. Tetrahedron Lett. 2005, 46, 797–801. [Google Scholar] [CrossRef]
- Myles, D.C.; Danishefsky, S.J. The Synthesis of Polyoxygenated Natural Products via Fully Synthetic Branched Pyranose Derivatives: Application to the Erythronolide Problem. Pure Appl. Chem. 1989, 61, 1235–1242. [Google Scholar] [CrossRef]
- Yadav, J.S.; Rao, K.V.R.; Ravindar, K.; Reddy, B.V.S. Total Synthesis of (+)-Bourgeanic Acid Utilizing Desymmetrization Strategy. Eur. J. Org. Chem. 2011, 2011, 58–61. [Google Scholar] [CrossRef]
- Vogel, P.; Turks, M.; Bouchez, L.; Craita, C.; Murcia, M.C.; Fonquerne, F.; Didier, C.; Huang, X.; Flowers, C. Use of Sultines in the Asymmetric Synthesis of Polypropionate Antibiotics. Pure Appl. Chem. 2008, 80, 791–805. [Google Scholar] [CrossRef]
- Lautens, M.; Fagnou, K.; Hiebert, S. Transition Metal-Catalyzed Enantioselective Ring-Opening Reactions of Oxabicyclic Alkenes. Acc. Chem. Res. 2003, 36, 48–58. [Google Scholar] [CrossRef] [PubMed]
- Shen, X.; Wasmuth, A.S.; Zhao, J.; Zhu, C.; Nelson, S.G. Catalytic Asymmetric Assembly of Stereodefined Propionate Units: An Enantioselective Total Synthesis of (−)-Pironetin. J. Am. Chem. Soc. 2006, 128, 7438–7439. [Google Scholar] [CrossRef]
- Djerassi, C.; Zderic, J.A. The Structure of the Antibiotic Methymycin1. J. Am. Chem. Soc. 1956, 78, 6390–6395. [Google Scholar] [CrossRef]
- Barton, D.; Meth-Cohn, O. Comprehensive Natural Products Chemistry; Newnes: Oxford, UK, 1999; ISBN 0-08-091283-4. [Google Scholar]
- Gäumann, E.; Hütter, R.; Keller-Schierlein, W.; Neipp, L.; Prelog, V.; Zähner, H. Stoffwechselprodukte von Actinomyceten. 21. Mitteilung. Lankamycin Und Lankacidin. Helv. Chim. Acta 1960, 43, 601–606. [Google Scholar] [CrossRef]
- Namiki, S.; Omura, S.; Nakayoshi, H.; Sawada, J. Studies on the Antibiotics from Streptomyces Spinichromogenes Var. Kujimyceticus. I Taxonomic and Fermentation Studies with Streptomyces Spinichromogenes Var. Kujimyceticus. J. Antibiot. 1969, 22, 494–499. [Google Scholar] [CrossRef]
- Kinashi, H.; Mori, E.; Hatani, A.; Nimi, O. Isolation and Characterization of Linear Plasmids from Lankacidin-Producing Streptomyces Species. J. Antibiot. 1994, 47, 1447–1455. [Google Scholar] [CrossRef] [PubMed]
- Arakawa, K.; Kodama, K.; Tatsuno, S.; Ide, S.; Kinashi, H. Analysis of the Loading and Hydroxylation Steps in Lankamycin Biosynthesis in Streptomyces Rochei. Antimicrob. Agents Chemother. 2006, 50, 1946–1952. [Google Scholar] [CrossRef] [PubMed]
- Martin, J.R.; Egan, R.S.; Goldstein, A.W.; Mueller, S.L.; Keller-Schierlein, W.; Mitscher, L.A.; Foltz, R.L. 3 ″-De-O-methyl-2 ″, 3 ″-anhydro-lankamycin, a New Macrolide Antibiotic from Streptomyces Violaceoniger. Helv. Chim. Acta 1976, 59, 1886–1894. [Google Scholar] [CrossRef] [PubMed]
- Keller-Schierlein, W.; Roncari, G. Stoffwechselprodukte von Mikroorganismen 46. Mitteilung Die Konstitution Des Lankamycins. Helv. Chim. Acta 1964, 47, 78–103. [Google Scholar] [CrossRef]
- Keller-Schierlein, W.; Roncari, G. Stoffwechselprodukte von Actinomyceten. 33. Mitteilung. Hydrolyseprodukte von Lankamycin: Lankavose Und 4-O-Acetyl-arcanose. Helv. Chim. Acta 1962, 45, 138–152. [Google Scholar] [CrossRef]
- Arcamone, F.M.; Bertazzoli, C.; Ghione, M.; Scotti, T. Melanosporin and Elaiophylin, New Antibiotics from Streptomyces Melanosporus (Sive Melonsporofaciens) n. Sp. G. Microbiol. 1959, 7, 207–216. [Google Scholar]
- Ley, S.V.; Neuhaus, D.; Williams, D.J. A Conformational Study of Elaiophylin by X-Ray Crystallography and Difference 1H NMR Methods; Observation of a Selective Sign Reversal of the Nuclear Overhauser Effect. Tetrahedron Lett. 1982, 23, 1207–1210. [Google Scholar] [CrossRef]
- Gerlitz, M.; Hammann, P.; Thiericke, R.; Rohr, J. The Biogenetic Origin of the Carbon Skeleton and the Oxygen Atoms of Elaiophylin, a Symmetric Macrodiolide Antibiotic. J. Org. Chem. 1992, 57, 4030–4033. [Google Scholar] [CrossRef]
- Grigoriev, P.A.; Schlegel, R.; Gräfe, U. Cation Selective Ion Channels Formed by Macrodiolide Antibiotic Elaiophylin in Lipid Bilayer Membranes. Bioelectrochemistry 2001, 54, 11–15. [Google Scholar] [CrossRef]
- Werner, G.; Hagenmaier, H.; Albert, K.; Kohlshorn, H. The Structure of the Bafilomycins, a New Group of Macrolide Antibiotics. Tetrahedron Lett. 1983, 24, 5193–5196. [Google Scholar] [CrossRef]
- Baker, G.H.; Brown, P.J.; Dorgan, R.J.J.; Everett, J.R.; Ley, S.V.; Slawin, A.M.Z.; Williams, D.J. A Conformational Study of Bafilomycin A1 by X-Ray Crystallography and Nmr Techniques. Tetrahedron Lett. 1987, 28, 5565–5568. [Google Scholar] [CrossRef]
- Baker, G.H.; Brown, P.J.; Dorgan, R.J.J.; Everett, J.R. The Conformational Analysis of Bafilomycin A1. J. Chem. Soc. Perkin Trans. 2 1989, 8, 1073–1079. [Google Scholar] [CrossRef]
- Bowman, E.J.; Siebers, A.; Altendorf, K. Bafilomycins: A Class of Inhibitors of Membrane ATPases from Microorganisms, Animal Cells, and Plant Cells. Proc. Natl. Acad. Sci. USA 1988, 85, 7972–7976. [Google Scholar] [CrossRef] [PubMed]
- Kinoshita, K.; Takenaka, S.; Suzuki, H.; Yamamoto, T.; Morohoshi, T.; Hayashi, M. Mycinamicin Biosynthesis: Isolation and Structural Elucidation of Novel Macrolactones and a Seco Acid Produced by a Mutant of Micromonospora Griseorubida. J. Chem. Soc. Chem. Commun. 1992, 10, 957–959. [Google Scholar] [CrossRef]
- Kinoshita, K.; Takenaka, S.; Hayashi, M. Isolation of Proposed Intermediates in the Biosynthesis of Mycinamicins. J. Chem. Soc. Chem. Commun. 1988, 14, 943–945. [Google Scholar] [CrossRef]
- Polborn, K.; Steglich, W.; Connolly, J.D.; Huneck, S. Structure of the Macrocyclic Bis-Lactone Lepranthin from the Lichen Arthonia Impolita; an X-ray Analysis. Z. Fur Nat. B 1995, 50, 1111–1114. [Google Scholar] [CrossRef]
- Schmitz, F.J.; Gunasekera, S.P.; Yalamanchili, G.; Hossain, M.B.; Van der Helm, D. Tedanolide: A Potent Cytotoxic Macrolide from the Caribbean Sponge Tedania Ignis. J. Am. Chem. Soc. 1984, 106, 7251–7252. [Google Scholar] [CrossRef]
- McCarthy, M. Tedania Ignis. Available online: https://animaldiversity.org/accounts/Tedania_ignis/ (accessed on 23 December 2022).
- Smith, A.B.; Lee, D. Total Synthesis of (+)-Tedanolide. J. Am. Chem. Soc. 2007, 129, 10957–10962. [Google Scholar] [CrossRef]
- Brufani, M.; Cerrini, S.; Fedeli, W.; Musu, C.; Cellai, L.; Keller-Schierlein, W. Structures of the Venturicidins A and B. Experientia 1971, 27, 604–606. [Google Scholar] [CrossRef]
- Lardy, H.A. Antibiotic Inhibitors of Mitochondrial Energy Transfer. Pharmacol. Ther. 1980, 11, 649–660. [Google Scholar] [CrossRef] [PubMed]
- Ishibashi, M.; Moore, R.E.; Patterson, G.M.L.; Xu, C.; Clardy, J. Scytophycins, Cytotoxic and Antimycotic Agents from the Cyanophyte Scytonema Pseudohofmanni. J. Org. Chem. 1986, 51, 5300–5306. [Google Scholar] [CrossRef]
- Moore, R.E.; Patterson, G.M.L.; Mynderse, J.S.; Barchi, J.; Norton, T.R.; Furusawa, E.; Furusawa, S. Toxins from Cyanophytes Belonging to the Scytonemataceae. Pure Appl. Chem. 1986, 58, 263–271. [Google Scholar] [CrossRef]
- Kubanek, J.; Jensen, P.R.; Keifer, P.A.; Sullards, M.C.; Collins, D.O.; Fenical, W. Seaweed Resistance to Microbial Attack: A Targeted Chemical Defense against Marine Fungi. Proc. Natl. Acad. Sci. USA 2003, 100, 6916–6921. [Google Scholar] [CrossRef]
- Blain, J.C.; Mok, Y.-F.; Kubanek, J.; Allingham, J.S. Two Molecules of Lobophorolide Cooperate to Stabilize an Actin Dimer Using Both Their “Ring” and “Tail” Region. Chem. Biol. 2010, 17, 802–807. [Google Scholar] [CrossRef]
- Fusetani, N.; Yasumuro, K.; Matsunaga, S.; Hashimoto, K. Mycalolides A–C, Hybrid Macrolides of Ulapualides and Halichondramide, from a Sponge of the Genus Mycale. Tetrahedron Lett. 1989, 30, 2809–2812. [Google Scholar] [CrossRef]
- Kernan, M.R.; Molinski, T.F.; Faulkner, D.J. Macrocyclic Antifungal Metabolites from the Spanish Dancer Nudibranch Hexabranchus Sanguineus and Sponges of the Genus Halichondria. J. Org. Chem. 1988, 53, 5014–5020. [Google Scholar] [CrossRef]
- Matsunaga, S.; Liu, P.; Celatka, C.A.; Panek, J.S.; Fusetani, N. Relative and Absolute Stereochemistry of Mycalolides, Bioactive Macrolides from the Marine Sponge Mycale Magellanica. J. Am. Chem. Soc. 1999, 121, 5605–5606. [Google Scholar] [CrossRef]
- Hori, M.; Saito, S.; Shin, Y.Z.; Ozaki, H.; Fusetani, N.; Karaki, H. Mycalolide-B, a Novel and Specific Inhibitor of Actomyosin ATPase Isolated from Marine Sponge. FEBS Lett. 1993, 322, 151–154. [Google Scholar] [CrossRef]
- Carmely, S.; Kashman, Y. Structure of Swinholide-a, a New Macrolide from the Marine Sponge Theonella Swinhoei. Tetrahedron Lett. 1985, 26, 511–514. [Google Scholar] [CrossRef]
- Kitagawa, I.; Kobayashi, M.; Katori, T.; Yamashita, M.; Tanaka, J.; Doi, M.; Ishida, T. Absolute Stereostructure of Swinholide A, a Potent Cytotoxic Macrolide from the Okinawan Marine Sponge Theonella Swinhoei. J. Am. Chem. Soc. 1990, 112, 3710–3712. [Google Scholar] [CrossRef]
- Frontali, L.; Tecce, G. Rifamycins. In Antibiotics: Volume I Mechanism of Action; Gottlieb, D., Shaw, P.D., Eds.; Springer: Berlin/Heidelberg, Germany, 1967; pp. 415–426. ISBN 978-3-662-38439-8. [Google Scholar]
- Sensi, P.; Greco, A.M.; Ballotta, R. Rifomycin. I. Isolation and Properties of Rifomycin B and Rifomycin Complex. Antibiot. Annu. 1959, 7, 262–270. [Google Scholar] [PubMed]
- Floss, H.G.; Yu, T.-W. RifamycinMode of Action, Resistance, and Biosynthesis. Chem. Rev. 2005, 105, 621–632. [Google Scholar] [CrossRef]
- Siminoff, P.; Smith, R.M.; Sokolski, W.T.; Savage, G. Streptovaricin: I. Discovery and Biologic Activity. Am. Rev. Tuberc. Pulmonary Dis. 1957, 75, 576–583. [Google Scholar]
- Milavetz, B.I.; Carter, W.A. Streptovaricins. In Pharmacology & Therapeutics, Part A, Chemotherapy, Toxicology and Metabolic Inhibitors; Pergamon Press: Oxford, UK, 1977; Volume 1, pp. 289–305. [Google Scholar]
- Wang, A.H.; Paul, I.C.; Rinehart Jr, K.L.; Antosz, F.J. Chemistry of the Streptovaricins. IX. X-Ray Crystallographic Structure of a Streptovaricin C Derivative. J. Am. Chem. Soc. 1971, 93, 6275–6276. [Google Scholar] [CrossRef] [PubMed]
- Miyashita, M.; Yamasaki, T.; Shiratani, T.; Hatakeyama, S.; Miyazawa, M.; Irie, H. The Efficient and Regioselective Synthesis of the Naphthoquinonecore of Streptovaricin U. Chem. Commun. 1997, 18, 1787–1788. [Google Scholar] [CrossRef]
- Mizuno, S.; Yamazaki, H.; Nitta, K.; Umezawa, H. Inhibition of RNA Polymerase of Escherichia Coli by an Antimicrobial Substance B44P (Streptovaricin). J. Antibiot. 1968, 21, 66–67. [Google Scholar] [CrossRef]
- Knöll, W.M.; Rinehart, K.L., Jr.; Willey, P.F.; LI, L.H. Streptovaricin U, an Acyclic Ansamycin. J. Antibiot. 1980, 33, 249–251. [Google Scholar] [CrossRef]
- Deshmukh, P.V.; Kakinuma, K.; Ameel, J.J.; Rinehart, K.L., Jr.; Wiley, P.F.; Li, L.H. Chemistry and Biochemistry of the Streptovaricins. XV. Protostreptovaricins IV. J. Am. Chem. Soc. 1976, 98, 870–872. [Google Scholar] [CrossRef]
- Umezawa, I.; Funayama, S.; Okada, K.; Iwasaki, K.; Satoh, J.; Masuda, K.; Komiyama, K. Studies on a Novel Cytocidal Antibiotic, Trienomycin A Taxonomy, Fermentation, Isolation, and Physico-Chemical and Biological Characteristics. J. Antibiot. 1985, 38, 699–705. [Google Scholar] [CrossRef] [PubMed]
- Funayama, S.; Okada, K.; Komiyama, K.; Umezawa, I. Structure of Trienomycin A, a Novel Cytocidal Ansamycin Antibiotic. J. Antibiot. 1985, 38, 1107–1109. [Google Scholar] [CrossRef] [PubMed]
- Funayama, S.; Okada, K.; Iwasaki, K.; Komiyama, K.; Umezawa, I. Structures of Trienomycins A, B and C, Novel Cytocidal Ansamycin Antibiotics. J. Antibiot. 1985, 38, 1677–1683. [Google Scholar] [CrossRef]
- Hiramoto, S.; Ugita, M.; Ando, C.; Sasaki, T.; Furihata, K.; Seto, H.; Otake, N. Studies on Mycotrienin Antibiotics, a Novel Class of Ansamycins V. Isolation and Structure Determination of Novel Mycotrienin Congeners. J. Antibiot. 1985, 38, 1103–1106. [Google Scholar] [CrossRef] [PubMed]
- Kobinata, K.; Koshino, H.; Kudo, T.; Isono, K.; Osada, H. RK-397, a New Oxo Pentaene Antibiotic. J. Antibiot. 1993, 46, 1616–1618. [Google Scholar] [CrossRef] [PubMed]
- Koshino, H.; Kobinata, K.; Isono, K.; Osada, H. Structure of RK-397, a New Oxo Pentaene Antibiotic. J. Antibiot. 1993, 46, 1619–1621. [Google Scholar] [CrossRef] [PubMed]
- Schlegel, R.; Thrum, H. A New Polyene Antibiotic, Flavomycoin Structural Investigations. II. J. Antibiot. 1971, 24, 368–374. [Google Scholar] [CrossRef]
- Schlegel, R.; Thrum, H.; Zielinski, J.; Borowski, E. The Structure of Roflamycoin, a New Polyene Macrolide Antifungal Antibiotic. J. Antibiot. 1981, 34, 122–123. [Google Scholar] [CrossRef]
- Rychnovsky, S.D.; Griesgraber, G.; Schlegel, R. Stereochemical Determination of Roflamycoin: 13C Acetonide Analysis and Synthetic Correlation. J. Am. Chem. Soc. 1995, 117, 197–210. [Google Scholar] [CrossRef]
- Grigorjev, P.; Schlegel, R.; Thrum, H.; Ermishkin, L. Roflamycoin—A New Channel-Forming Antibiotic. Biochim. Biophys. Acta (BBA) Biomembr. 1985, 821, 297–304. [Google Scholar] [CrossRef]
- Cereghetti, D.M.C.; Erick, M. Amphotericin B: 50 Years of Chemistry and Biochemistry. Synthesis 2006, 2006, 0914–0942. [Google Scholar]
- Waugh, C.D. Amphotericin B. In xPharm: The Comprehensive Pharmacology Reference; Enna, S.J., Bylund, D.B., Eds.; Elsevier: New York, NY, USA, 2007; pp. 1–5. ISBN 978-0-08-055232-3. [Google Scholar]
- Cope, A.C.; Axen, U.; Burrows, E.P.; Weinlich, J. Amphotericin B. I. Carbon Skeleton, Ring Size, and Partial Structure1. J. Am. Chem. Soc. 1966, 88, 4228–4235. [Google Scholar] [CrossRef]
- Ganis, P.; Avitabile, G.; Mechlinski, W.; Schaffner, C.P. Polyene Macrolide Antibiotic Amphotericin B. Crystal Structure of the N-Iodoacetyl Derivative. J. Am. Chem. Soc. 1971, 93, 4560–4564. [Google Scholar] [CrossRef] [PubMed]
- Liu, Z.; Liu, H.; Zhang, W. Natural Polypropionates in 1999–2020: An Overview of Chemical and Biological Diversity. Mar. Drugs 2020, 18, 569. [Google Scholar] [CrossRef] [PubMed]
- Ruiz, C.; Valderrama, K.; Zea, S.; Castellanos, L. Mariculture and Natural Production of the Antitumoural (+)-Discodermolide by the Caribbean Marine Sponge Discodermia Dissoluta. Mar. Biotechnol. 2013, 15, 571–583. [Google Scholar] [CrossRef] [PubMed]
- Smith, A.B.; Freeze, B.S. (+)-Discodermolide: Total Synthesis, Construction of Novel Analogues, and Biological Evaluation. Tetrahedron 2007, 64, 261–298. [Google Scholar] [CrossRef]
- Gunasekera, S.P.; Gunasekera, M.; Longley, R.E.; Schulte, G.K. Discodermolide: A New Bioactive Polyhydroxylated Lactone from the Marine Sponge Discodermia Dissoluta. J. Org. Chem. 1990, 55, 4912–4915. [Google Scholar] [CrossRef]
- Brooks, H.A.; Gardner, D.; Poyser, J.P.; King, T. The Structure and Absolute Stereochemistry of Zincophorin (Antibiotic M144255): A Monobasic Carboxylic Acid Ionophore Having a Remarkable Specificity for Divalent Cations. J. Antibiot. 1984, 37, 1501–1504. [Google Scholar] [CrossRef]
- Danishefsky, S.J.; Selnick, H.G.; Zelle, R.E.; DeNinno, M.P. Total Synthesis of Zincophorin. J. Am. Chem. Soc. 1988, 110, 4368–4378. [Google Scholar] [CrossRef]
- Chuman, T.; Kohno, M.; Kato, K.; Noguchi, M. 4.6-Dimethyl-7-Hydroxy-Nonan-3-One, a Sex Pheromone of the Cigarette Beetle (Lasioderma Serricorne F.). Tetrahedron Lett. 1979, 20, 2361–2364. [Google Scholar] [CrossRef]
- Cheng, J.-F.; Lee, J.-S.; Sakai, R.; Jares-Erijman, E.A.; Silva, M.V.; Rinehart, K.L. Myriaporones 1−4, Cytotoxic Metabolites from the Mediterranean Bryozoan Myriapora Truncata. J. Nat. Prod. 2007, 70, 332–336. [Google Scholar] [CrossRef] [PubMed]
- Pérez, M.; del Pozo, C.; Reyes, F.; Rodríguez, A.; Francesch, A.; Echavarren, A.M.; Cuevas, C. Total Synthesis of Natural Myriaporones. Angew. Chem. Int. Ed. 2004, 43, 1724–1727. [Google Scholar] [CrossRef] [PubMed]
- Müller, S.; Rachid, S.; Hoffmann, T.; Surup, F.; Volz, C.; Zaburannyi, N.; Müller, R. Biosynthesis of Crocacin Involves an Unusual Hydrolytic Release Domain Showing Similarity to Condensation Domains. Chem. Biol. 2014, 21, 855–865. [Google Scholar] [CrossRef]
- Kunze, B.; Jansen, R.; Höfle, G.; Reichenbach, H. Crocacin, a New Electron Transport Inhibitor from Chondromyces Crocatus (Myxobacteria) Production, Isolation, Physico-Chemical and Biological Properties. J. Antibiot. 1994, 47, 881–886. [Google Scholar] [CrossRef]
- Jansen, R.; Washausen, P.; Kunze, B.; Reichenbach, H.; Höfle, G. The Crocacins, Novel Antifungal and Cytotoxic Antibiotics from Chondromyces Crocatus and Chondromyces Pediculatus (Myxobacteria): Isolation and Structure Elucidation. Eur. J. Org. Chem. 1999, 1999, 1085–1089. [Google Scholar] [CrossRef]
- Feutrill, J.T.; Lilly, M.J.; Rizzacasa, M.A. Total Synthesis of (+)-Crocacin D. Org. Lett. 2002, 4, 525–527. [Google Scholar] [CrossRef]
- Crowley, P.J.; Worthington, P.A.; Swanborough, J.; Sageot, O.-A.; Munns, G.R.; Devillers, I.M.; Godfrey, C.R.A.; Gillen, K.; Aspinall, I.H.; Williams, J. The Crocacins: Novel Natural Products as Leads for Agricultural Fungicides. Chimia 2003, 57, 685. [Google Scholar] [CrossRef]
- Ciavatta, M.L.; Gavagnin, M.; Puliti, R.; Cimino, G.; Martinez, E.; Ortea, J.; Mattia, C.A. Dolabriferol: A New Polypropionate from the Skin of the Anaspidean Mollusc Dolabrifera Dolabrifera. Tetrahedron 1996, 52, 12831–12838. [Google Scholar] [CrossRef]
- Jiménez-Romero, C.; González, K.; Rodríguez, A.D. Dolabriferols B and C, Non-Contiguous Polypropionate Esters from the Tropical Sea Hare Dolabrifera Dolabrifera. Tetrahedron Lett. 2012, 53, 6641–6645. [Google Scholar] [CrossRef]
- Sakuda, S.; Ono, M.; Furihata, K.; Nakayama, J.; Suzuki, A.; Isogai, A. Aflastatin A, a Novel Inhibitor of Aflatoxin Production of Aspergillus Parasiticus, from Streptomyces. J. Am. Chem. Soc. 1996, 118, 7855–7856. [Google Scholar] [CrossRef]
- Ikeda, H.; Matsumori, N.; Ono, M.; Suzuki, A.; Isogai, A.; Nagasawa, H.; Sakuda, S. Absolute Configuration of Aflastatin A, a Specific Inhibitor of Aflatoxin Production by Aspergillus Parasiticus. J. Org. Chem. 2000, 65, 438–444. [Google Scholar] [CrossRef] [PubMed]
- Sakuda, S.; Matsumori, N.; Furihata, K.; Nagasawa, H. Assignment of the Absolute Configuration of Blasticidin A and Revision of That of Aflastatin A. Tetrahedron Lett. 2007, 48, 2527–2531. [Google Scholar] [CrossRef]
- Rutkowski, J.; Brzezinski, B. Structures and Properties of Naturally Occurring Polyether Antibiotics. Biomed Res. Int. 2013, 2013, 162513. [Google Scholar] [CrossRef] [PubMed]
- Satake, M.; Shoji, M.; Oshima, Y.; Naoki, H.; Fujita, T.; Yasumoto, T. Gymnocin-A, a Cytotoxic Polyether from the Notorious Red Tide Dinoflagellate, Gymnodinium Mikimotoi. Tetrahedron Lett. 2002, 43, 5829–5832. [Google Scholar] [CrossRef]
- Sakai, T.; Matsushita, S.; Arakawa, S.; Mori, K.; Tanimoto, M.; Tokumasu, A.; Yoshida, T.; Mori, Y. Total Synthesis of Gymnocin-A. J. Am. Chem. Soc. 2015, 137, 14513–14516. [Google Scholar] [CrossRef]
- Roll, D.M.; Biskupiak, J.E.; Mayne, C.L.; Ireland, C.M. Muamvatin, a Novel Tricyclic Spiro Ketal from the Fijian Mollusk Siphonaria Normalis. J. Am. Chem. Soc. 1986, 108, 6680–6682. [Google Scholar] [CrossRef]
- Hoffmann, R.W.; Dahmann, G. The Absolute and Relative Configuration of Muamvatin. Tetrahedron Lett. 1993, 34, 1115–1118. [Google Scholar] [CrossRef]
- Paterson, I.; Perkins, M.V. Total Synthesis of the Marine Polypropionate (+)-Muamvatin. A Configurational Model for Siphonariid Metabolites. J. Am. Chem. Soc. 1993, 115, 1608–1610. [Google Scholar] [CrossRef]
- Suenaga, K.; Kigoshi, H.; Yamada, K. Auripyrones A and B, Cytotoxic Polypropionates from the Sea Hare Dolabella Auricularia: Isolation and Structures. Tetrahedron Lett. 1996, 37, 5151–5154. [Google Scholar] [CrossRef]
- Cheng, X.-C.; Kihara, T.; Kusakabe, H.; Magae, J.; Kobayashi, Y.; Fang, R.-P.; Ni, Z.-F.; Shent, Y.-C.; Keido, K.; Yamaguchi, I. A New Antibiotic, Tautomycin. J. Antibiot. 1987, 40, 907–909. [Google Scholar] [CrossRef]
- Suganuma, M.; Okabe, S.; Sueoka, E.; Nishiwaki, R.; Komori, A.; Uda, N.; Isono, K.; Fujiki, H. Tautomycin: An Inhibitor of Protein Phosphatases 1 and 2A but Not a Tumor Promoter on Mouse Skin and in Rat Glandular Stomach. J. Cancer Res. Clin. Oncol. 1995, 121, 621–627. [Google Scholar] [CrossRef] [PubMed]
- Cheng, X.-C.; Ubukata, M.; Isono, K. The Structure of Tautomycin, a Dialkylmaleic Anhydride Antibiotic. J. Antibiot. 1990, 43, 809–819. [Google Scholar] [CrossRef] [PubMed]
- Kato, Y.; Scheuer, P.J. The Aplysiatoxins. Pure Appl. Chem. 1975, 41, 1–14. [Google Scholar] [CrossRef]
- Moore, R.E.; Blackman, A.J.; Cheuk, C.E.; Mynderse, J.S.; Matsumoto, G.K.; Clardy, J.; Woodard, R.W.; Craig, J.C. Absolute Stereochemistries of the Aplysiatoxins and Oscillatoxin A. J. Org. Chem. 1984, 49, 2484–2489. [Google Scholar] [CrossRef]
- Fujiki, H.; Sugimura, T. New Classes of Tumor Promoters: Teleocidin, Aplysiatoxin, and Palytoxin. In Advances in Cancer Research; Klein, G., Weinhouse, S., Eds.; Academic Press: Cambridge, MA, USA, 1987; Volume 49, pp. 223–264. ISBN 0065-230X. [Google Scholar]
- Thale, Z.; Kinder, F.R.; Bair, K.W.; Bontempo, J.; Czuchta, A.M.; Versace, R.W.; Phillips, P.E.; Sanders, M.L.; Wattanasin, S.; Crews, P. Bengamides Revisited: New Structures and Antitumor Studies. J. Org. Chem. 2001, 66, 1733–1741. [Google Scholar] [CrossRef] [PubMed]
- Fernández, R.; Dherbomez, M.; Letourneux, Y.; Nabil, M.; Verbist, J.F.; Biard, J.F. Antifungal Metabolites from the Marine Sponge Pachastrissa Sp.: New Bengamide and Bengazole Derivatives. J. Nat. Prod. 1999, 62, 678–680. [Google Scholar] [CrossRef] [PubMed]
- Boonphong, S.; Kittakoop, P.; Isaka, M.; Pittayakhajonwut, D.; Tanticharoen, M.; Thebtaranonth, Y. Multiplolides A and B, New Antifungal 10-Membered Lactones from Xylaria Multiplex. J. Nat. Prod. 2001, 64, 965–967. [Google Scholar] [CrossRef]
- Ramana, C.V.; Khaladkar, T.P.; Chatterjee, S.; Gurjar, M.K. Total Synthesis and Determination of Relative and Absolute Configuration of Multiplolide A. J. Org. Chem. 2008, 73, 3817–3822. [Google Scholar] [CrossRef] [PubMed]
- Johnson, M.R.; Nakata, T.; Kishi, Y. Stereo- and Regioselective Methods for the Synthesis of Three Consecutive Asymmetric Units Found in Many Natural Products. Tetrahedron Lett. 1979, 20, 4343–4346. [Google Scholar] [CrossRef]
- Schmid, G.; Fukuyama, T.; Akasaka, K.; Kishi, Y. Synthetic Studies on Polyether Antibiotics. 4. Total Synthesis of Monensin. 1. Stereocontrolled Synthesis of the Left Half of Monensin. J. Am. Chem. Soc. 1979, 101, 259–260. [Google Scholar] [CrossRef]
- Hasan, I.; Kishi, Y. Further Studies on Stereospecific Epoxidation of Allylic Alcohols. Tetrahedron Lett. 1980, 21, 4229–4232. [Google Scholar] [CrossRef]
- Nagaoka, H.; Rutsch, W.; Schmid, G.; Iio, H.; Johnson, M.R.; Kishi, Y. Total Synthesis of Rifamycins. 1. Stereocontrolled Synthesis of the Aliphatic Building Block. J. Am. Chem. Soc. 1980, 102, 7962–7965. [Google Scholar] [CrossRef]
- Iio, H.; Nagaoka, H.; Kishi, Y. Total Synthesis of Rifamycins. 2. Total Synthesis of Racemic Rifamycin S. J. Am. Chem. Soc. 1980, 102, 7965–7967. [Google Scholar] [CrossRef]
- Nagaoka, H.; Kishi, Y. Further Synthetic Studies on Rifamycin s. Tetrahedron 1981, 37, 3873–3888. [Google Scholar] [CrossRef]
- Tino, J.A.; Lewis, M.D.; Kishi, Y. A New, Efficient Synthesis of the Left Half of Narasin. Heterocyles 1987, 25, 97–104. [Google Scholar]
- Katsuki, T.; Hanamoto, T.; Yamaguchi, M. Synthesi of C19–C27 Fragment of Ansa Chain Part of Rifamycin S. Chem. Lett. 1989, 18, 117–118. [Google Scholar] [CrossRef]
- Okamura, H.; Kuroda, S.; Ikegami, S.; Ito, Y.; Katsuki, T.; Yamaguchi, M. A Formal Total Synthesis of Aplysiatoxin. Tetrahedron Lett. 1991, 32, 5141–5142. [Google Scholar] [CrossRef]
- Marshall, J.A.; Palovich, M.R. Synthesis of Stereopentad Subunits of Zincophorin and Rifamycin-S through Use of Chiral Allenyltin Reagents. J. Org. Chem. 1998, 63, 3701–3705. [Google Scholar] [CrossRef]
- Marshall, J.A.; Johns, B.A. Total Synthesis of (+)-Discodermolide. J. Org. Chem. 1998, 63, 7885–7892. [Google Scholar] [CrossRef]
- Marshall, J.A.; Adams, N.D. Progress toward the Total Synthesis of Bafilomycin A1: Stereoselective Synthesis of the C15−C25 Subunit by Additions of Nonracemic Allenylzinc Reagents to Aldehydes. Org. Lett. 2000, 2, 2897–2900. [Google Scholar] [CrossRef]
- Miyashita, M.; Hoshino, M.; Yoshikoshi, A. Stereospecific Methylation of γ,δ-Epoxy Acrylates by Trimethylaluminum: A Method for the Iterative Construction of Polypropionate Chains. J. Org. Chem. 1991, 56, 6483–6485. [Google Scholar] [CrossRef]
- Miyashita, M.; Hoshino, M.; Yoshikoshi, A.; Kawamine, K.; Yoshihara, K.; Irie, H. Synthesis of the Prelog-Djerassi Lactone and Protomycinolide IV Based on the Stereospecific Methylation of γ,δ-Epoxy Acrylates by Trimethylaluminum. Chem. Lett. 1992, 21, 1101–1104. [Google Scholar] [CrossRef]
- Miyashita, M.; Toshimitsu, Y.; Shiratani, T.; Irie, H. Enantioselective Synthesis of (−)-Serrieornina, Sex Pheromone of a Female Cigarette Beetle (Lasioderma Serricorne F.). Tetrahedron Asymmetry 1993, 4, 1573–1578. [Google Scholar] [CrossRef]
- Miyashita, M.; Yoshihara, K.; Kawamine, K.; Hoshino, M.; Irie, H. Synthetic Studies on Polypropionate Antibiotics Based on the Stereospecific Methylation of γ δ-Epoxy Acrylates by Trimethylaluminum. A Highly Stereoselective Construction of the Eight Contiguous Chiral Centers of Ansa-Chains of Rifamycins. Tetrahedron Lett. 1993, 34, 6285–6288. [Google Scholar] [CrossRef]
- Miyashita, M.; Shiratani, T.; Kawamine, K.; Hatakeyama, S.; Irie, H. Tandem Synthesis of Polypropionate Chains–Highly Stereoselective Synthesis of the Ansa Chain of Streptovaricin U and Protostreptovaricins Based on Stereospecific Methylation of γ,δ-Epoxy Acrylates by Trimethylaluminium. Chem. Commun. 1996, 9, 1027–1028. [Google Scholar] [CrossRef]
- Grieco, P.A.; Speake, J.D.; Yeo, S.K.; Miyashita, M. Synthesis of the C(19)-C(32) Fragment of Scytophycin C via Stereospecific Methylation of γ,δ-Epoxy Acrylates with Trimethylaluminum. Tetrahedron Lett. 1998, 39, 1125–1128. [Google Scholar] [CrossRef]
- Nakamura, R.; Tanino, K.; Miyashita, M. Total Synthesis of Scytophycin C. 1. Stereoselective Syntheses of the C(1)−C(18) Segment and the C(19)−C(31) Segment. Org. Lett. 2003, 5, 3579–3582. [Google Scholar] [CrossRef]
- Nakamura, R.; Tanino, K.; Miyashita, M. Total Synthesis of Scytophycin C. 2. Coupling Reaction of the C(1)−C(18) Segment and the C(19)−C(31) Segment, a Key Macrolactonization, and the Crucial Terminal Amidation Reaction. Org. Lett. 2003, 5, 3583–3586. [Google Scholar] [CrossRef]
- Hayakawa, H.; Miyashita, M. A Tandem Synthesis of Polypropionate Chains. Highly Stereo- Selective Construction of the C(13)–C(25) Segment Containing Nine Contiguous Chiral Centers of Swinholides A–C Based on the Stereo-Specific Methylation of, -Epoxy Acrylates by Trimethylaluminium. J. Chem. Perkin Trans. 1999, 23, 3399–3401. [Google Scholar] [CrossRef]
- Iwata, Y.; Tanino, K.; Miyashita, M. Synthetic Studies of Tedanolide, a Marine Macrolide Displaying Potent Antitumor Activity. Stereoselective Synthesis of the C(13)−C(23) Segment. Org. Lett. 2005, 7, 2341–2344. [Google Scholar] [CrossRef]
- Nagumo, S.; Miyashita, M.; Takada, H.; Yasui, E.; Mizukami, M. Synthetic Studies of Lepranthin, a Lichen-Produced Dimeric Macrolide. Stereoselective Synthesis of a Seco-Acid Based on Stereospecific Epoxide-Opening Reactions. Heterocycles 2011, 83, 293. [Google Scholar] [CrossRef]
- Suzuki, Y.; Nagumo, S.; Yasui, E.; Mizukami, M.; Miyashita, M. Synthetic Studies of Venturicidins: Stereoselective Synthesis of the C15–C27 Segment Based on Two Types of Stereospecific Epoxide Opening Reactions. Tetrahedron Lett. 2011, 52, 6948–6951. [Google Scholar] [CrossRef]
- Maruyama, K.; Ueda, M.; Sasaki, S.; Iwata, Y.; Miyazawa, M.; Mlyashita, M. Highly Stereoselective Epoxidation of a 4-Methyl-5-(Triethylsilyi)Oxyallyl Alcohol System with m.Chloroperoxybenzoic Acid. Tetrahedron Lett. 1998, 39, 4517–4520. [Google Scholar] [CrossRef]
- Miyashita, M.; Suzuki, T.; Hoshino, M.; Yoshikoshi, A. The Organoselenium-Mediated Reduction of α,β-Epoxy Ketones, α,β-Epoxy Esters, and Their Congeners to β-Hydroxy Carbonyl Compounds: Novel Methodologies for the Synthesis of Aldols and Their Analogues. Tetrahedron 1997, 53, 12469–12486. [Google Scholar] [CrossRef]
- Torres, W.; Torres, G.; Prieto, J.A. Synthesis of Stereotetrads by Regioselective Cleavage of Diastereomeric MEM-Protected 2-Methyl-3,4-Epoxy Alcohols with Diethylpropynyl Aluminum. Synlett 2012, 23, 2534–2538. [Google Scholar] [PubMed]
- Torres, G.; Torres, W.; Prieto, J.A. Microwave-Assisted Epoxidation of Hindered Homoallylic Alcohols Using VO(acac)2: Application to Polypropionate Synthesis. Tetrahedron 2004, 60, 10245–10251. [Google Scholar] [CrossRef]
- Katsuki, T.; Sharpless, K.B. The First Practical Method for Asymmetric Epoxidation. J. Am. Chem. Soc. 1980, 102, 5974–5976. [Google Scholar] [CrossRef]
- Torres, W.; Rodríguez, R.R.; Prieto, J.A. Stereoselective Construction of All-Anti Polypropionate Modules: Synthesis of the C5− C10 Fragment of Streptovaricin U. J. Org. Chem. 2009, 74, 2447–2451. [Google Scholar] [CrossRef]
- Tirado, R.; Prieto, J.A. Stereochemistry of the Iodocarbonatation of cis-and trans-3-Methyl-4-Pentene-1, 2-Diols: The Unusual Formation of Several Anti Iodo Carbonates. J. Org. Chem. 1993, 58, 5666–5673. [Google Scholar] [CrossRef]
- Rodríguez-Berríos, R.R.; Torres, G.; Prieto, J.A. Stereoselective VO (Acac) 2 Catalyzed Epoxidation of Acyclic Homoallylic Diols. Complementary Preparation of C2-Syn-3, 4-Epoxy Alcohols. Tetrahedron 2011, 67, 830–836. [Google Scholar] [CrossRef]
- Rodríguez, D.; Mulero, M.; Prieto, J.A. Highly Regioselective Copper-Catalyzed Cis-and Trans-1-Propenyl Grignard Cleavage of Hindered Epoxides. Application in Propionate Synthesis. J. Org. Chem. 2006, 71, 5826–5829. [Google Scholar] [CrossRef] [PubMed]
- Prieto, J.A.; Torres, J.R.; Rodríguez-Berrios, R. Regiocontrolled Ring Opening of Monoprotected 2,3-Epoxy-1,4-Diols by Using Alkynyl Aluminum Reagents: Synthesis of Differentially Monoprotected Alkynyl Triol Derivatives. Synlett 2014, 25, 433–437. [Google Scholar] [CrossRef] [PubMed]
- Dávila, W.; Torres, W.; Prieto, J.A. Regioselective Cleavage of 3,4-Epoxy Alcohols with Substituted Alkynylaluminum Reagents: Application to the Stereoselective Synthesis of Polypropionates. Tetrahedron 2007, 63, 8218–8226. [Google Scholar] [CrossRef] [PubMed]
- Cruz-Montañez, A.; Morales-Rivera, K.F.; Torres, W.; Valentín, E.M.; Rentas-Torres, J.; Prieto, J.A. Reiterative Epoxide-Based Strategies for the Synthesis of Stereo-n-Ads and Application to Polypropionate Synthesis. A Personal Account. Inorg. Chim. Acta 2017, 468, 28–37. [Google Scholar] [CrossRef] [PubMed]
- Valentín, E.M.; Mulero, M.; Prieto, J.A. Concise Epoxide-Based Synthesis of the C14–C25 Bafilomycin A1 Polypropionate Chain. Tetrahedron Lett. 2012, 53, 2199–2201. [Google Scholar] [CrossRef] [PubMed]
- Sarabia, F.; Martín-Gálvez, F.; García-Castro, M.; Chammaa, S.; Sánchez-Ruiz, A.; Tejón-Blanco, J.F. Epoxyamide-Based Strategy for the Synthesis of Polypropionate-Type Frameworks. J. Org. Chem. 2008, 73, 8979–8986. [Google Scholar] [CrossRef]
- Sarabia, F.; Sánchez-Ruiz, A.; Martín-Ortiz, L.; García-Castro, M.; Chammaa, S. Stereoselective Synthesis of Macrolide-Type Antibiotics from Epoxy Amides. Synthesis of the Polypropionate Chain of Streptovaricin U. Org. Lett. 2007, 9, 5091–5094. [Google Scholar] [CrossRef]
- Sarabia, F.; Martin-Galvez, F.; Chammaa, S.; Martin-Ortiz, L.; Sanchez-Ruiz, A. Chiral Sulfur Ylides for the Synthesis of Bengamide E and Analogues. J. Org. Chem. 2010, 75, 5526–5532. [Google Scholar] [CrossRef]
- Sarabia, F.; Martin-Galvez, F.; Garcia-Ruiz, C.; Sanchez-Ruiz, A.; Vivar-Garcia, C. Epi-, Epoxy-, and C2-Modified Bengamides: Synthesis and Biological Evaluation. J. Org. Chem. 2013, 78, 5239–5253. [Google Scholar] [CrossRef]
- Jung, M.E.; Marquez, R. Rearrangement of Epoxides in Non-Aldol Aldol Process: Allylic vs. Tertiary and Secondary Carbocationic Centers. Tetrahedron Lett. 1999, 40, 3129–3132. [Google Scholar] [CrossRef]
- Jung, M.E.; Salehi-Rad, R. Total Synthesis of Auripyrone A Using a Tandem Non-aldol Aldol/Paterson Aldol Process as a Key Step. Angew. Chem. Int. Ed. 2009, 48, 8766–8769. [Google Scholar] [CrossRef]
- Jung, M.E.; Chaumontet, M.; Salehi-Rad, R. Total Synthesis of Auripyrone B Using a Non-Aldol Aldol—Cuprate Opening Process. Org. Lett. 2010, 12, 2872–2875. [Google Scholar]
- Burova, S.A.; McDonald, F.E. Stereoselective Synthesis of a Family of Alternating Polyols from Six-Carbon Epoxyalkynol Modules. J. Am. Chem. Soc. 2002, 124, 8188–8189. [Google Scholar] [CrossRef] [PubMed]
- Robles, O.; McDonald, F.E. Modular Synthesis of the C9–C27 Degradation Product of Aflastatin A via Alkyne−Epoxide Cross-Couplings. Org. Lett. 2008, 10, 1811–1814. [Google Scholar] [CrossRef]
- Lipshutz, B.H.; Kozlowski, J.A. A Reiterative Route to Chiral All-Syn-1,3-Polyols. J. Org. Chem. 1984, 49, 1147–1149. [Google Scholar] [CrossRef]
- Lipshutz, B.H.; Kozlowski, J.A.; Parker, D.A.; Nguyen, S. More Highly Mixed, Higher Order Cyanocuprates “RT(24bienyl)Cu(CN)Li”. Efficient Reagents Which Promote Selective Ligand Transfer. J. Organomet. Chem. 1985, 285, 431–447. [Google Scholar] [CrossRef]
- Lipshutz, B.H.; Barton, J.C. Acyclic Control of Stereochemistry via a Reiterative (E or Z)-1-Propenyllithium-Derived Cuprate Opening of a Chiral Epoxide/Reepoxidation Sequence. J. Org. Chem. 1988, 53, 4495–4499. [Google Scholar] [CrossRef]
- Lipshutz, B.H.; Moretti, R.; Crow, R. Progress toward Roflamycoin; Synthesis of the C-12 to C-35 Section in Homochiral Form. Tetrahedron Lett. 1989, 30, 15–18. [Google Scholar] [CrossRef]
- Nicolaou, K.C.; Uenishi, J. Stereocontrolled Synthesis of 1, 3, 5… (2 N+ 1) Polyols. J. Chem. Soc. Chem. Commun. 1982, 1985, 1292–1293. [Google Scholar]
- Nicolaou, K.C.; Daines, R.A.; Uenishi, J.; Li, W.S.; Papahatjis, D.P.; Chakraborty, T.K. Total Synthesis of Amphoteronolide B and Amphotericin B. 1. Strategy and Stereocontrolled Construction of Key Building Blocks. J. Am. Chem. Soc. 1988, 110, 4672–4685. [Google Scholar] [CrossRef]
- Nicolaou, K.C.; Daines, R.A.; Chakraborty, T.K.; Ogawa, Y. Total Synthesis of Amphoteronolide B and Amphotericin B. 2. Total Synthesis of Amphoteronolide B. J. Am. Chem. Soc. 1988, 110, 4685–4696. [Google Scholar] [CrossRef]
- Corey, E.J.; Hase, T. Studies on the Total Synthesis of Rifamycin Highly Stereo Selective Synthesis of Intermediates for Construction of the Carbon 15 to Carbon 29 Chain. Tetrahedron Lett. 1979, 20, 335–338. [Google Scholar] [CrossRef]
- Corey, E.J.; Pan, B.C.; Hua, D.H.; Deardorff, D.R. Total Synthesis of Aplasmomycin. Stereocontrolled Construction of the C(3)-C(17) Fragment. J. Am. Chem. Soc. 1982, 104, 6816–6818. [Google Scholar] [CrossRef]
- Lipshutz, B.H.; Floyd, D.M.; Wilhelm, R.S. Chemistry of Higher Order, Mixed Organocuprates. 1. Substitution Reactions at Unactivated Secondary Centers. J. Am. Chem. Soc. 1981, 103, 7672–7674. [Google Scholar] [CrossRef]
- Lipshutz, B.H. Applications of Higher-Order Mixed Organocuprates to Organic Synthesis. Synthesis 1987, 1987, 325–341. [Google Scholar] [CrossRef]
- Lipshutz, B.H.; Kozlowski, J.; Wilhelm, R.S. Chemistry of Higher Order Mixed Organocuprates. 2. Reactions of Epoxides. J. Am. Chem. Soc. 1982, 104, 2305–2307. [Google Scholar] [CrossRef]
- Lipshutz, B.H.; Wilhelm, R.S.; Kozlowski, J.A.; Parker, D. Substitution Reactions of Secondary Halides and Epoxides with Higher Order, Mixed Organocuprates, R2Cu(CN)Li2: Synthetic, Stereochemical, and Mechanistic Aspects. J. Org. Chem. 1984, 49, 3928–3938. [Google Scholar] [CrossRef]
- Lipshutz, B.H.; Wilhelm, R.S.; Kozlowski, J.A. The Chemistry of Higher Order Organocuprates. Tetrahedron 1984, 40, 5005–5038. [Google Scholar] [CrossRef]
- Tone, H.; Hikota, M.; Hamada, T.; Nishi, T.; Oikawa, Y.; Yonemitzu, O. Alternative Syntheses of the C9–C15 and C1–C5 Segments of Erythronolide A via Regio- and Stereo-Selective Reductive Ring Opening of 2, 3-Epoxy Alcohols. Chem. Pharm. Bull. 1989, 37, 1155–1159. [Google Scholar] [CrossRef]
- Wang, Z.; Schreibet, S.L. Stereochemical Studies of Epoxides Relevant to the Ansa Chain of the Streptovaricins. Tetrahedron Lett. 1990, 31, 31–34. [Google Scholar] [CrossRef]
- Yadav, J.S.; Praveen, K.T.K.; Maniyan, P.P. Stereoconvergent Synthesis of C-9 to C-16 Fragment of Trienomycin Based on the Regioselective Opening of γ-δ-Poxy Acrylates with Trimethylaluminium. Tetrahedron Lett. 1993, 34, 2969–2972. [Google Scholar] [CrossRef]
- Kong, L.; Zhuang, Z.; Chen, Q.; Deng, H.; Tang, Z.; Jia, X.; Li, Y.; Zhai, H. A Facile Asymmetric Synthesis of (+)-Eldanolide. Tetrahedron Asymmetry 2007, 18, 451–454. [Google Scholar] [CrossRef]
- Haddad, N.; Brik, A.; Grishko, M. Studies towards Total Synthesis of Borrelidin, Regioselective Methylation of Bis-Epoxides and Structure Determination. Tetrahedron Lett. 1997, 38, 6079–6082. [Google Scholar] [CrossRef]
- Kobayashi, Y.; Uchiyama, H.; Kanbara, H.; Sato, F. Stereoselective Synthesis of Gamma, Delta-Epoxy-Beta-Methyl-Gamma-(Trimethylsilyl)Alkanols. Synthesis of the C(1)–C(7) Segment of 6-Deoxyerythronolide B. J. Am. Chem. Soc. 1985, 107, 5541–5543. [Google Scholar] [CrossRef]
- Mulzer, J.; Schöllhorn, B. Enantio- and Regiocontrolled Synthesis of a Central Ionophoric Antibiotic Building Block by Sequential Opening of Two Epoxide Rings with Cuprate Reagents. Angew. Chem. Int. Ed. Engl. 1990, 29, 1476–1478. [Google Scholar] [CrossRef]
- Shang, S.; Iwadare, H.; Macks, D.E.; Ambrosini, L.M.; Tan, D.S. A Unified Synthetic Approach to Polyketides Having Both Skeletal and Stereochemical Diversity. Org. Lett. 2007, 9, 1895–1898. [Google Scholar] [CrossRef]
- Bandaru, A.; Kaliappan, K.P. Synthesis of the C 1–C 10 Fragment of Muamvatin. Chem. Asian J. 2020, 15, 2208–2211. [Google Scholar] [CrossRef] [PubMed]
- Burova, S.A.; McDonald, F.E. Total Synthesis of the Polyene-Polyol Macrolide RK-397, Featuring Cross-Couplings of Alkynylepoxide Modules. J. Am. Chem. Soc. 2004, 126, 2495–2500. [Google Scholar] [CrossRef]
- Reddy, B.C.; Bangade, V.M.; Ramesh, P.; Meshram, H.M. Stereoselective Total Synthesis of Multiplolide A and of a Diastereoisomer. Helv. Chim. Acta 2013, 96, 266–274. [Google Scholar] [CrossRef]
- Tsuboi, K.; Ichikawa, Y.; Naganawa, A.; Isobe, M.; Ubukata, M.; Isono, K. Synthetic Studies on Tautomycin Synthesis of Segment B. Tetrahedron 1997, 53, 5083–5102. [Google Scholar] [CrossRef]
- Van Dyke, A.R.; Jamison, T.F. Functionalized Templates for the Convergent Assembly of Polyethers: Synthesis of the HIJK Rings of Gymnocin A. Angew. Chem. Int. Ed. 2009, 48, 4430–4432. [Google Scholar] [CrossRef] [PubMed]
- Evans, D.A.; Polniaszek, R.P.; DeVries, K.M.; Guinn, D.E.; Mathre, D.J. Synthetic Studies in the Lysocellin Family of Polyether Zyxwvu Antibiotics. The Total Synthesis of Ferensimycin B. J. Am. Chem. Soc. 1991, 113, 7613–7630. [Google Scholar] [CrossRef]
- Mori, Y.; Takeuchi, A.; Kageyama, H.; Suzuki, M. A Convergent General Synthetic Protocol for Syn-1,3-Polyols. Tetrahedron Lett. 1988, 29, 5423–5426. [Google Scholar] [CrossRef]
- Ma, P.; Martin, V.S.; Masamune, S.; Sharpless, K.B.; Viti, S.M. Synthesis of Saccharides and Related Polyhydroxylated Natural Products. 2. Simple Deoxyalditols. J. Org. Chem. 1982, 47, 1378–1380. [Google Scholar] [CrossRef]



















| Group | Year | Fragment | Natural Product | Ref. |
|---|---|---|---|---|
| Kishi | 1980 | C29–C15 | Rifamycin S 15 | [129] |
| 1980 | Total synthesis | Rifamycin S 15 | [130] | |
| 1981 | C29–C15 2nd generation | Rifamycin S 15 | [131] | |
| 1987 | Left half | Narasin | [132] | |
| Katsuki | 1989 | C19–C27 (Kishi’s intermediate) | Rifamycin S 15 | [133] |
| 1991 | C1–C21 (Kishi’s intermediate) | Aplysiatoxin 32 | [134] | |
| Marshall | 1998 | C7–C13 | Zincophorin 22 | [135] |
| C21–C27 | Rifamycin S 15 | |||
| 1998 | Total synthesis | (+)-Discodermolide 21 | [136] | |
| 2000 | C15–C25 | Bafilomycin A1 6 | [137] | |
| Miyashita | 1992 | Total synthesis | Prelog-Djerassi lactone 2 | [139] |
| Formal synthesis | Protomycinolide IV 7 | |||
| 1993 | Total synthesis | (−)-Serricornin 23 | [140] | |
| 1993 | C27–C20 | Rifamycins 15 | [141] | |
| 1996 | C17–C5 | Streptovaricin U 16e | [142] | |
| C17–C5 | Protostreptovaricin I & II (16c-d) | |||
| 1998 | C19–C32 | Scytophycin C 11 | [143] | |
| 1999 | C13–C25 | Swinholides A-C 14a-c | [146] | |
| 2003 | C1–C18 | Scytophycin C 11 | [144] | |
| 2003 | Total synthesis | Scytophycin C 11 | [145] | |
| 2005 | C13–C23 | Tedanolide 9 | [147] | |
| 2011 | C1–C10 | Lepranthin 8 | [148] | |
| 2011 | C15–C17 | Venturicidins 10 | [149] | |
| Prieto | 2004 | C5–C10 | Streptovaricin D 16b | [153] |
| C5–C12 | Streptovaricin U 16e | |||
| 2005 | C15–C10 | Streptovaricin D 16b | [158] | |
| C24–C27 | Rifamycin S 15 | |||
| 2007 | C5–C10 | Elaiophylin 5 | [160] | |
| 2009 | C6–C10 | Streptovaricin U 16e | [155] | |
| 2011 | C1–C4/C12–C15 | Lankanolide 4b | [157] | |
| 2012 | C14–C25 | Bafilomycin A1 6 | [162] | |
| 2014 | C14–C17 | Tedanolide 9 | [159] | |
| C6–C9 | Myraporone ¾ (24) | |||
| 2017 | C20–C15 | Crocacins 24a-d | [161] | |
| C3–C9/C12–C18 | Dolabriferol B 26b | |||
| C34–C22 and C22–C27 | Mycalolide A 13 | |||
| C19–C24 | Lobophorolide 12 | |||
| C5–C12 and C15–C8 | Streptovaricin D 16b | |||
| C12–C16 | Elaiophylin 5 | |||
| Sarabia | 2007 | C1–C13 | Streptovaricin U 16e | [164] |
| 2010 and 2013 | Total synthesis | Bengamide E 33 | [165,166] | |
| Jung | 2010 | Total synthesis | Auripyrone B 30b | [169] |
| McDonald | 2004 | C28–C11 | RK-397 (18) | [195] |
| 2008 | C9–C27 | Aflastatin A 27 | [171] | |
| Corey | 1979 | C15–C29 | Rifamycin S 15 | [179] |
| Yonemitzu | 1989 | C9–C15 and C1–C5 | Erythronolide A 3b | [186] |
| Lipshutz | 1989 | C12–C35 | Roflamycoin 19 | [176] |
| Schreiber | 1990 | C5–C15 | Streptovaricin A 16a | [187] |
| Evans | 1991 | Total synthesis | Ferensimycin B 176 | [196] |
| Yadav | 1993 | C9–C16 | Trienomycin 17 | [191] |
| Isobe | 1997 | C26–C27 | Tautomycin 1 (31) | [197] |
| Nicolaou | 1998 | Fragments 170, 171, 172, and 173 | Amphoterolide B 20b & Amphotericin B 20a | [177] |
| 1998 | Total synthesis | Amphoterolide B 20b & Amphotericin B 20a | [178] | |
| Jamison | 2009 | HIJK rings | Gymnocin A 28 | [198] |
| Meshram | 2013 | Total synthesis | Multiplolide A 34 | [196] |
| Kaliappan | 2020 | C1–C10 | Muamvatin 29 | [194] |
Disclaimer/Publisher’s Note: The statements, opinions and data contained in all publications are solely those of the individual author(s) and contributor(s) and not of MDPI and/or the editor(s). MDPI and/or the editor(s) disclaim responsibility for any injury to people or property resulting from any ideas, methods, instructions or products referred to in the content. |
© 2023 by the authors. Licensee MDPI, Basel, Switzerland. This article is an open access article distributed under the terms and conditions of the Creative Commons Attribution (CC BY) license (https://creativecommons.org/licenses/by/4.0/).
Share and Cite
Rodríguez-Berríos, R.R.; Isbel, S.R.; Bugarin, A. Epoxide-Based Synthetic Approaches toward Polypropionates and Related Bioactive Natural Products. Int. J. Mol. Sci. 2023, 24, 6195. https://doi.org/10.3390/ijms24076195
Rodríguez-Berríos RR, Isbel SR, Bugarin A. Epoxide-Based Synthetic Approaches toward Polypropionates and Related Bioactive Natural Products. International Journal of Molecular Sciences. 2023; 24(7):6195. https://doi.org/10.3390/ijms24076195
Chicago/Turabian StyleRodríguez-Berríos, Raúl R., Stephen R. Isbel, and Alejandro Bugarin. 2023. "Epoxide-Based Synthetic Approaches toward Polypropionates and Related Bioactive Natural Products" International Journal of Molecular Sciences 24, no. 7: 6195. https://doi.org/10.3390/ijms24076195
APA StyleRodríguez-Berríos, R. R., Isbel, S. R., & Bugarin, A. (2023). Epoxide-Based Synthetic Approaches toward Polypropionates and Related Bioactive Natural Products. International Journal of Molecular Sciences, 24(7), 6195. https://doi.org/10.3390/ijms24076195

