Sign in to use this feature.

Years

Between: -

Subjects

remove_circle_outline
remove_circle_outline
remove_circle_outline
remove_circle_outline
remove_circle_outline
remove_circle_outline
remove_circle_outline
remove_circle_outline
remove_circle_outline

Journals

remove_circle_outline
remove_circle_outline
remove_circle_outline
remove_circle_outline
remove_circle_outline
remove_circle_outline
remove_circle_outline
remove_circle_outline
remove_circle_outline
remove_circle_outline
remove_circle_outline

Article Types

Countries / Regions

remove_circle_outline
remove_circle_outline
remove_circle_outline
remove_circle_outline
remove_circle_outline
remove_circle_outline
remove_circle_outline

Search Results (1,418)

Search Parameters:
Keywords = epoxide

Order results
Result details
Results per page
Select all
Export citation of selected articles as:
13 pages, 10805 KB  
Article
Influence of Coffee Oil Epoxide as a Bio-Based Plasticizer on the Thermal, Mechanical, and Barrier Performance of PHBV/Natural Rubber Blends
by Rinky Ghosh, Xiaoying Zhao, Marie Genevieve Boushelle and Yael Vodovotz
Polymers 2026, 18(2), 240; https://doi.org/10.3390/polym18020240 - 16 Jan 2026
Abstract
This work evaluated the effect of coffee oil epoxide (COE), produced from coffee waste, on thermal, mechanical, barrier, and exudation resistance properties of poly(3-hydroxybutyrate-co-3-hydroxyvalerate)/natural rubber (PHBV/NR) blends. Building upon previously published 0.3% COE results, this study examined 0.4% and 0.75% concentrations to optimize [...] Read more.
This work evaluated the effect of coffee oil epoxide (COE), produced from coffee waste, on thermal, mechanical, barrier, and exudation resistance properties of poly(3-hydroxybutyrate-co-3-hydroxyvalerate)/natural rubber (PHBV/NR) blends. Building upon previously published 0.3% COE results, this study examined 0.4% and 0.75% concentrations to optimize performance. Thermal analysis revealed that COE incorporation significantly enhanced chain mobility, with glass transition temperature depressions of 6.1 °C and 7.4 °C for 0.4% and 0.75% COE formulations, respectively, compared to unplasticized PHBV/NR blends. Crystallinity decreased from 54.5% (PHBV/NR) to 52.6% and 51.9% with increasing plasticizer concentration, while melting temperatures decreased by 3.9% and 4.9%, confirming improved polymer chain mobility. Mechanical properties demonstrated COE’s plasticizing effectiveness, with tensile strength decreasing by 13.3% (0.4% COE) and 16.2% (0.75% COE) compared to PHBV/NR blends. Young’s modulus similarly decreased by 21.0% and 24.0%, while elongation at break improved slightly with increasing COE content. Barrier properties improved substantially across all concentrations: water vapor transmission rates decreased from 4.05 g/m2·h (PHBV/NR) to 1.55 g/m2·h (0.3% COE) and 0.67 g/m2·h for 0.4% and 0.75% COE, attributed to COE’s hydrophobic nature. SEM morphological analysis confirmed improved phase compatibility at 0.40% COE, with reduced rubber droplet size and homogeneous surface morphology. Exudation testing revealed excellent retention (0.21–0.53 wt% loss over 63 days). Results indicate 0.40% COE as optimal, achieving superior barrier properties while maintaining mechanical performance for sustainable packaging applications. Full article
(This article belongs to the Special Issue Degradation and Recycling of Polymer Materials, 2nd Edition)
Show Figures

Figure 1

11 pages, 2786 KB  
Systematic Review
Association Between VKORC1 Gene Polymorphisms and Osteopenia and Osteoporosis: A Systematic Review and Meta-Analysis
by Ştefan Cristian Vesa, Vlad-Mihai Ichim, Silvina Iluț, Stefano Miglietta, Mihai Lupu, Camelia Alexandra Coada, Antonia Eugenia Macarie, Ovidiu Chiroban, Anca Dana Buzoianu and Octavia Sabin
Medicina 2026, 62(1), 180; https://doi.org/10.3390/medicina62010180 - 15 Jan 2026
Viewed by 36
Abstract
Background and Objectives: The vitamin K epoxide reductase complex subunit 1 (VKORC1) plays a central role in the vitamin K cycle, which is essential for γ-carboxylation of multiple bone-related proteins. Genetic variants in VKORC1 may influence bone mineral density (BMD) and osteoporosis risk. [...] Read more.
Background and Objectives: The vitamin K epoxide reductase complex subunit 1 (VKORC1) plays a central role in the vitamin K cycle, which is essential for γ-carboxylation of multiple bone-related proteins. Genetic variants in VKORC1 may influence bone mineral density (BMD) and osteoporosis risk. Materials and Methods: A systematic review and meta-analysis were conducted to evaluate the association between VKORC1 polymorphisms and osteopenia and osteoporosis. Relevant studies were identified through PubMed, Scopus, and Web of Science databases. Data on study characteristics, genotypes, BMD measurement, ethnicity, sex, and menopausal status were extracted. Results: Six studies comprising 7335 participants were included. All studies assessed BMD using dual-energy X-ray absorptiometry (DXA). The mean participant age ranged from 41.9 to 63.7 years. The VKORC1 variants most frequently studied, which were included in the meta-analysis, were rs9923231 and rs9934438. The overall effect of VKORC1 risk alleles on osteopenia/osteoporosis was significant with a p = 0.041 (fixed effects OR = 1.16, 95% CI = 1.01–1.35). Heterogeneity among studies was insignificant (I2 = 0%, p = 0.893). Conclusions: A modest association was observed for the VKORC1 variants. The current body of evidence requires further studies to elucidate whether VKORC1 polymorphisms have a clinically meaningful role in bone health. Full article
(This article belongs to the Special Issue Bone Regeneration, Osteoporosis and Osteoarthritis)
Show Figures

Figure 1

11 pages, 1001 KB  
Article
Stereoselective Synthesis and Structural Confirmation of All Four 8-Hydroxyhexahydrocannabinol Stereoisomers
by Kei Ieuji, Kayo Nakamura and Hideyo Takahashi
Molecules 2026, 31(2), 289; https://doi.org/10.3390/molecules31020289 - 13 Jan 2026
Viewed by 172
Abstract
Hexahydrocannabinol (HHC), a hydrogenated derivative of Δ9-tetrahydrocannabinol (Δ9-THC), is a semi-synthetic cannabinoid marketed as an alternative to Δ9-THC. Its hydroxylated metabolite, 8-hydroxyhexahydrocannabinol (8-OH-HHC), exists as four stereoisomers: (6aR,8R,9R,10aR), (6a [...] Read more.
Hexahydrocannabinol (HHC), a hydrogenated derivative of Δ9-tetrahydrocannabinol (Δ9-THC), is a semi-synthetic cannabinoid marketed as an alternative to Δ9-THC. Its hydroxylated metabolite, 8-hydroxyhexahydrocannabinol (8-OH-HHC), exists as four stereoisomers: (6aR,8R,9R,10aR), (6aR,8S,9S,10aR), (6aR,8S,9R,10aR), and (6aR,8R,9S,10aR). However, the lack of reference standards has hindered pharmacokinetic and forensic studies. This work reports the first stereoselective synthesis and structural confirmation of all four 8-OH-HHC stereoisomers. Two strategies were employed: hydroboration–oxidation and epoxidation–reduction. Hydroboration of Δ8-THC with BH3·THF followed by oxidation predominantly produced anti-isomers (6aR,8R,9R,10aR) and (6aR,8S,9S,10aR) in moderate yields, along with small amounts of syn-isomer (6aR,8S,9R,10aR), suggesting an atypical mechanistic pathway. In contrast, syn-isomers (6aR,8S,9R,10aR) and (6aR,8R,9S,10aR) were accessed via epoxidation of Δ8-THC acetate using mCPBA and subsequent reduction with NaBH3CN/BF3·OEt2, affording the desired products with moderate selectivity. Absolute configurations were confirmed by nuclear Overhauser effect spectroscopy (NOESY). These methods will facilitate future pharmacokinetic and forensic research and support the development of improved detection strategies. Full article
(This article belongs to the Special Issue Application of Organic Synthesis to Bioactive Compounds, 3rd Edition)
Show Figures

Figure 1

10 pages, 2261 KB  
Article
Metalloenzyme-like Catalytic System for the Epoxidation of Olefins with Dioxygen Under Ambient Conditions
by Lin Lei, Linjian Wu, Yongjian Qiu and Yaju Chen
Organics 2026, 7(1), 4; https://doi.org/10.3390/org7010004 - 7 Jan 2026
Viewed by 230
Abstract
The development of a metalloenzyme-like catalytic system for the efficient oxidation of olefins under a dioxygen (O2) atmosphere at room temperature is of significant interest in the field of catalysis. Herein, we present a highly active and selective aerobic epoxidation of [...] Read more.
The development of a metalloenzyme-like catalytic system for the efficient oxidation of olefins under a dioxygen (O2) atmosphere at room temperature is of significant interest in the field of catalysis. Herein, we present a highly active and selective aerobic epoxidation of olefins using metalloenzyme-like catalysts based on a non-heme ligand, tris(2-pyridylmethyl)amine (TPA). Notably, manganese chloride complexed with TPA (Mn(TPA)Cl2) demonstrated excellent activity for the epoxidation of trans-stilbene using O2 as the oxidant in the presence of a co-reductant at 30 °C. A quantitative conversion of 99% and high yield of 98%, as determined by gas chromatography using an external standard method, were achieved under optimum reaction conditions. Furthermore, Mn(TPA)Cl2 exhibited a good substrate tolerance to styrene derivatives with electron-withdrawing or electron-donating groups, cyclic olefins with different substituents and substitution degrees, as well as long-chain olefins. Coupled with a high turnover frequency (TOF) of up to 30,720 h−1, these results underscore the potential of Mn(TPA)Cl2 as a promising metalloenzyme-like catalytic platform for the aerobic synthesis of diverse epoxides from olefins under ambient conditions. Full article
Show Figures

Graphical abstract

19 pages, 13086 KB  
Article
Sustainable Waterborne Polylactide Coatings Enabled by Hydrophobic Deep Eutectic Solvents Plasticization
by Denys Baklan, Victoria Vorobyova, Olena Sevastyanova, Taras Karavayev and Oleksiy Myronyuk
Polymers 2026, 18(2), 154; https://doi.org/10.3390/polym18020154 - 7 Jan 2026
Viewed by 190
Abstract
This work presents an approach to water-dispersible polylactide (PLA) particle fabrication and their application in low-temperature film formation using a combination of mechanical dispersion and ultrasonication techniques. Stable PLA dispersions were obtained after removal of surfactant and allowed for thin-film preparation, exhibiting a [...] Read more.
This work presents an approach to water-dispersible polylactide (PLA) particle fabrication and their application in low-temperature film formation using a combination of mechanical dispersion and ultrasonication techniques. Stable PLA dispersions were obtained after removal of surfactant and allowed for thin-film preparation, exhibiting a significantly reduced minimum film formation temperature (MFFT) from 128 °C to 80 °C after reducing the characteristic particle size from ~2.2 µm to ~140 nm. To tailor the interfacial behavior and mechanical flexibility of the resulting coatings, a set of conventional and bio-based plasticizers was evaluated, including epoxidized fatty acids, PEG-400, and several hydrophobic deep eutectic solvents (HDESs) synthesized from menthol and carboxylic acids. Compatibility between PLA and each plasticizer was predicted using Hansen solubility parameters. The efficiency of plasticization was assessed through glass transition temperature suppression in solvent-cast films. The combination of submicron PLA particles and selected plasticizers enabled film formation at temperatures as low as 48 °C, confirming the potential of these systems for energy-efficient coating technologies. Furthermore, composite coatings incorporating micro-sized cellulose fibers (L/D ≈ 10.5–11.5) regenerated from agricultural residues were successfully obtained, demonstrating the feasibility of integrating bio-derived fillers into waterborne PLA formulations. In this study, the use of water-insoluble deep eutectic solvents type plasticizers for PLA coatings from water dispersions was reported for the first time. This establishes a foundation for developing sustainable, low-VOC, and low film formation temperature PLA-based coating materials. Full article
(This article belongs to the Section Circular and Green Sustainable Polymer Science)
Show Figures

Figure 1

25 pages, 2002 KB  
Article
Potential Nutraceutical Properties of Vicia faba L: LC-ESI-HR-MS/MS-Based Profiling of Ancient Faba Bean Varieties and Their Biological Activity
by Francesca Fantasma, Gilda D’Urso, Alessandra Capuano, Ester Colarusso, Michela Aliberti, Francesca Grassi, Maria Chiara Brunese, Gabriella Saviano, Vincenzo De Felice, Gianluigi Lauro, Alfonso Reginelli, Maria Giovanna Chini, Agostino Casapullo, Giuseppe Bifulco and Maria Iorizzi
Molecules 2026, 31(1), 184; https://doi.org/10.3390/molecules31010184 - 4 Jan 2026
Viewed by 260
Abstract
Vicia faba L. is a widely cultivated legume known to contain numerous specialised metabolites. In this study, the seed coats and cotyledons of two ancient V. faba L. varieties, historically consumed in southern Italy and distinguished by black and purple seed coats, were [...] Read more.
Vicia faba L. is a widely cultivated legume known to contain numerous specialised metabolites. In this study, the seed coats and cotyledons of two ancient V. faba L. varieties, historically consumed in southern Italy and distinguished by black and purple seed coats, were extracted using 80% methanol and 80% ethanol. Extracts were analysed for total polyphenol, flavonoid and proanthocyanidin contents, and antioxidant activity using DPPH, ABTS, and FRAP assays. The purple seed coats exhibited the highest levels of phenolics and antioxidant capacity, exceeding those of black seed coats. Next, liquid chromatography coupled with high-resolution mass spectrometry (LC-ESI-HR-MS) was used to characterise the bioactive metabolites in both seed coats and cotyledons. The purple variety showed a higher phytochemical content, with a greater level of flavonoids and proanthocyanidins in methanolic extract. Furthermore, the purple seed coat exhibited in vitro anti-inflammatory activity by inhibiting soluble epoxide hydrolase (sEH), a key enzyme in the arachidonic acid cascade, with an IC50 of 31.51 ± 1.16 µg/µL. Elemental analysis was performed for both varieties to assess their nutritional value. Specifically, the purple seed coats were found to represent a valuable source of bioactive compounds and micronutrients, highlighting their potential applications in nutraceutical, cosmetic, and food supplement sectors. Full article
(This article belongs to the Special Issue Bioactive Food Compounds and Their Health Benefits)
Show Figures

Graphical abstract

20 pages, 3413 KB  
Article
Racemic and Enantiomeric Alkoxycyanobiphenyls Bearing Terminal Vicinal Fluorine Substituents: Synthesis and Mesogenic Behavior
by Kiran Agrahari, Evangelos Smith, Manos Mavrikakis, Jeffrey D. Mighion and Robert J. Twieg
Crystals 2026, 16(1), 26; https://doi.org/10.3390/cryst16010026 - 30 Dec 2025
Viewed by 343
Abstract
Fascinated by the influence of fluorine atom substitution in liquid crystal mesogens and building on our previous research on the influence of fluorination in liquid crystal mesogens, a novel project was undertaken where racemates and enantiomers of alkoxycyanobiphenyls with two adjacent fluorine atoms, [...] Read more.
Fascinated by the influence of fluorine atom substitution in liquid crystal mesogens and building on our previous research on the influence of fluorination in liquid crystal mesogens, a novel project was undertaken where racemates and enantiomers of alkoxycyanobiphenyls with two adjacent fluorine atoms, one on each of two terminal carbon atoms, were synthesized to study their phase properties. The compounds were synthesized via Mitsunobu reaction, alkylation, epoxidation, hydrolytic kinetic resolution, fluoride opening, and deoxyfluorination. Racemates showed a monotropic nematic phase, while enantiomers showed a monotropic cholesteric phase. The dipole moments of the final difluorinated mesogens were also evaluated. The phase behavior of all the epoxy and fluorohydrin intermediates was also measured. This article provides data on the phase behavior of a handful of racemic compounds and their enantiomers. Additionally, the phase behavior of the enantiomerically impure and enantiomerically pure compounds is compared. Full article
(This article belongs to the Section Liquid Crystals)
Show Figures

Graphical abstract

16 pages, 1635 KB  
Article
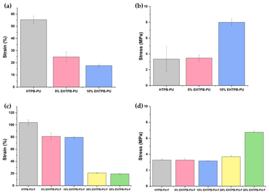
Systematic Control of Epoxidation in Low-cis Hydroxyl-Terminated Polybutadiene (HTPB) and Its Impact on Polyurethane Properties
by Sungyoung Yoon and Jongbok Lee
Polymers 2026, 18(1), 39; https://doi.org/10.3390/polym18010039 - 23 Dec 2025
Viewed by 286
Abstract
Hydroxyl-terminated polybutadiene (HTPB) is widely used in polyurethane binders, adhesives, and elastomers, but its low polarity and unsaturated backbone limit adhesion and long-term stability. Epoxidation presents a promising approach to addressing these limitations. However, most prior studies have focused on high-cis polybutadiene (PB), [...] Read more.
Hydroxyl-terminated polybutadiene (HTPB) is widely used in polyurethane binders, adhesives, and elastomers, but its low polarity and unsaturated backbone limit adhesion and long-term stability. Epoxidation presents a promising approach to addressing these limitations. However, most prior studies have focused on high-cis polybutadiene (PB), and systematic tuning of epoxidation in industrial low-cis HTPB has not been thoroughly examined. In this work, the epoxidation conversion of low-cis HTPB was systematically controlled by varying the equivalent amount of 3-chloroperbenzoic acid (m-CPBA). Conversion was governed solely by oxidant stoichiometry, while reaction time, concentration, and temperature had minimal effect, consistent with rapid, mixing-controlled epoxidation. Selective modification of 1,4-cis and 1,4-trans units enabled direct evaluation of how epoxidation degree influences polyurethane network formation and performance. Polyurethanes derived from epoxidized HTPB (EHTPB-PU) exhibited a clear correlation between epoxidation degree and network formation. Mechanical, adhesion, and chemical-resistance measurements revealed optimal performance at 10% epoxidation, where polarity and network compactness are effectively balanced. At this level, polyurethanes showed enhanced tensile strength, broad substrate adhesion, and increased resistance to acidic, basic, polar, and nonpolar environments, along with reduced water uptake. These results identify moderate epoxidation as a practical and efficient strategy for improving HTPB-based polyurethane materials. Full article
(This article belongs to the Special Issue Functional Epoxy Composites)
Show Figures

Graphical abstract

20 pages, 1881 KB  
Review
Aspergillus spp. As an Expression System for Industrial Biocatalysis and Kinetic Resolution
by Pedro Henrique Dias Garcia, Júlia Regagnin Montico, Alexssander Pontes Barichello, Cristiane Pilissão, Fabiano Jares Contesini, Uffe Hasbro Mortensen and Patrícia de Oliveira Carvalho
Catalysts 2025, 15(12), 1174; https://doi.org/10.3390/catal15121174 - 18 Dec 2025
Viewed by 598
Abstract
This review surveys literature from 2010 to 2025 on Aspergillus-derived enzymes for kinetic resolution (KR), using conventional databases and AI-assisted platforms. Among over 340 species, A. niger, A. oryzae, and A. terreus are widely recognized as safe and industrially relevant. [...] Read more.
This review surveys literature from 2010 to 2025 on Aspergillus-derived enzymes for kinetic resolution (KR), using conventional databases and AI-assisted platforms. Among over 340 species, A. niger, A. oryzae, and A. terreus are widely recognized as safe and industrially relevant. Lipases from these fungi exhibit high stability, broad substrate specificity, and enantioselectivity, enabling efficient resolution of racemic mixtures. Advances in enzyme immobilization, protein engineering, and reaction medium optimization have enhanced catalytic performance under diverse conditions. Complementary enzymes, including esterases and epoxide hydrolases, further expand biocatalytic applications. Despite increasing demand for enantiopure compounds, challenges in yield, scalability, and enzyme discovery call for integrated molecular and process strategies. Aspergillus spp. emerge as a promising system for high-level enzyme expression, offering robust secretion capacity, efficient post-translational processing, and strong adaptability for industrial biocatalysis. Full article
(This article belongs to the Special Issue Enzyme Engineering—the Core of Biocatalysis)
Show Figures

Graphical abstract

23 pages, 11065 KB  
Article
Eco-Friendly Coordination Polymers with Incorporated Nitrogen-Rich Heterocyclic Ligand and Their Hybrids with Gold Nanostructures for Catalytic Conversion of Carbon Dioxide
by Kinga Wasiluk, Gabriela Kopacka, Michał Kopyt, Piotr Kwiatkowski, Pawel W. Majewski and Elżbieta Megiel
Molecules 2025, 30(24), 4777; https://doi.org/10.3390/molecules30244777 - 15 Dec 2025
Viewed by 403
Abstract
This paper demonstrates the successful synthesis of novel hybrid heterogeneous catalysts for the sustainable conversion of CO2 into cyclic organic carbonates (COCs). The nanocat-alysts have been fabricated by encapsulating pre-formed ultra-small gold nanostructures into a nascent zinc-coordination polymer (ZnCP) framework formed from [...] Read more.
This paper demonstrates the successful synthesis of novel hybrid heterogeneous catalysts for the sustainable conversion of CO2 into cyclic organic carbonates (COCs). The nanocat-alysts have been fabricated by encapsulating pre-formed ultra-small gold nanostructures into a nascent zinc-coordination polymer (ZnCP) framework formed from two organic building blocks, 2,4-naphthalenedicarboxylic acid (1,4-NDC) and 5-amino-1H-tetrazole (5-Atz), which serves as a nitrogen-rich ligand. Applying the fabricated catalysts in the synthesis of COCs yields high yields (up to 97%) and high selectivity (up to 100%), with exceptionally high turnover frequencies (TOFs) (up to 408 h−1). The catalytic process can be carried out under mild conditions (80 °C, 1.5 MPa CO2) and without the use of solvents. Nitrogen-rich ligand molecules in the structure of ZnCPs enhance catalytic performance thanks to additional nucleophilic centres, which are effective in the epoxides’ ring-opening process. The hybrid catalysts with encapsulated gold nanostructures, which modify the liquid–gas interface between epoxide and CO2, give significantly higher yields and TOFs for less active epoxides. The designed hybrid nanocatalysts exhibit superior stability under the studied reaction conditions and can be reused without loss of activity. The developed coordination polymers are constructed from green components, and green chemistry principles are applied to prepare these catalytic materials. Full article
(This article belongs to the Section Green Chemistry)
Show Figures

Graphical abstract

18 pages, 1129 KB  
Article
Controlled Sequential Oxygenation of Polyunsaturated Fatty Acids with a Recombinant Unspecific Peroxygenase from Aspergillus niger
by Carlos Renato Carrillo Avilés, Marina Schramm, Sebastian Petzold, Miguel Alcalde, Martin Hofrichter and Katrin Scheibner
Catalysts 2025, 15(12), 1162; https://doi.org/10.3390/catal15121162 - 11 Dec 2025
Viewed by 506
Abstract
The metabolism of polyunsaturated fatty acids (PUFAs) is a broad research field, and the products identified so far offer potential medical and industrial applications. Epoxy fatty acids (EpFAs) act as lipid mediators that modulate renal function, angiogenesis, vascular dilatation and inflammation; moreover, they [...] Read more.
The metabolism of polyunsaturated fatty acids (PUFAs) is a broad research field, and the products identified so far offer potential medical and industrial applications. Epoxy fatty acids (EpFAs) act as lipid mediators that modulate renal function, angiogenesis, vascular dilatation and inflammation; moreover, they regulate monocyte aggregation and are involved in cardiovascular and metabolic diseases. On the other hand, EpFAs are precursors of environmentally friendly products for the plastics industry, in which the grade of epoxidation of the compounds gives the polymeric material different advantageous characteristics. The controlled chemical synthesis of poly epoxidized PUFAs is challenging as the reactions are non-selective. In contrast, the biosynthetic route based on cytochrome P450 monooxygenases and lipoxygenases is highly selective but ineffective due to the instability of the enzymes in cell-free systems. Fungal unspecific peroxygenases (UPOs, EC 1.11.2.1) with P450-like activity offer a suitable alternative for the selective synthesis of EpFAs from PUFAs. Here we demonstrate that a recombinant unspecific peroxygenase from Aspergillus niger (rAniUPO) is able to sequentially epoxidize eicosapentaenoic acid (EPA) and docosahexaenoic acid (DHA) to 14,15-17,18 diepoxyeicosatrienoic acid (14,15-17,18 diEpETrE) and 16,17-19,20-diepoxydocosatetraenoic acid (16,17-19,20 diEpDTE), respectively, while arachidonic acid is transformed into 13-hydroxy-14,15-epoxyeicosatrienoic acid (14,15-hepoxilin B3). Optimal production for these oxygenated derivatives (up to 15 mg) was achieved using 2 mM hydrogen peroxide as the co-substrate. The obtained molecules were identified using high-resolution mass spectrometry and their structure was verified by NMR. Our results demonstrate the suitability of UPOs for the synthesis of EpFAs that can be used in medical research and industrial applications. Full article
(This article belongs to the Special Issue 15th Anniversary of Catalysts: The Future of Enzyme Biocatalysis)
Show Figures

Graphical abstract

21 pages, 3599 KB  
Article
Design and Characterization of Silane-Modified Bio-Based Non-Isocyanate Polyurethane Coatings for Advanced Surface Applications
by Rutu Patel, Ajay Kumar, Mayankkumar L. Chaudhary and Ram K. Gupta
Materials 2025, 18(24), 5551; https://doi.org/10.3390/ma18245551 - 10 Dec 2025
Viewed by 616
Abstract
Non-isocyanate polyurethanes (NIPUs) represent a sustainable alternative to conventional isocyanate-based systems, eliminating toxic reagents while maintaining good performance. In this study, bio-based NIPU coatings were synthesized from carbonated soybean oil (CSBO) via the carbonation of epoxidized soybean oil (ESBO) using carbon dioxide (CO [...] Read more.
Non-isocyanate polyurethanes (NIPUs) represent a sustainable alternative to conventional isocyanate-based systems, eliminating toxic reagents while maintaining good performance. In this study, bio-based NIPU coatings were synthesized from carbonated soybean oil (CSBO) via the carbonation of epoxidized soybean oil (ESBO) using carbon dioxide (CO2), followed by polymerization with ethylenediamine (EDA) and varying concentrations of 3-aminopropyltriethoxysilane (APTES) (0–20 wt%). The amine groups of EDA and APTES participate in the ring-opening of cyclic carbonates to form β-hydroxyurethane linkages, while the triethoxysilane moieties of APTES may undergo hydrolysis–condensation to produce Si–O–Si domains, resulting in a β-hydroxyurethane–siloxane hybrid network. The optimized formulation CEA-5 exhibited the best, including a tensile strength of 3.3 MPa, elongation at break of ~150%, glass transition temperature (Tg) of ~7 °C, and thermal stability up to ~350 °C, where major thermal degradation happens. The synthesized coating material also shows adhesion (3.6 MPa on oak for CEA-10), hydrophobic behavior (water contact angle (WCA) ~102° for CEA-5), good chemical and ultraviolet (UV) resistance, and shape memory. The synergistic effect of urethane hydrogen bonding and siloxane crosslinking imparted enhanced toughness, flexibility, and durability. These findings express a scalable, eco-friendly strategy for producing silane-modified NIPU coatings with good mechanical, thermal, and coating performance suitable for sustainable industrial coating and adhesive applications. Full article
(This article belongs to the Special Issue Advances in the Synthesis and Properties of Novel Polymer Materials)
Show Figures

Figure 1

15 pages, 7709 KB  
Article
POSS with Vinyl and Epoxy Group to Enhance Dielectric and Thermal Properties of Bismaleimide–Triazine Resins
by Wencheng Gao, Xiaoye Gao, Haosheng Wang and Riwei Xu
Molecules 2025, 30(24), 4670; https://doi.org/10.3390/molecules30244670 - 5 Dec 2025
Viewed by 461
Abstract
Bismaleimide–triazine (BT) resins are widely utilized in various applications, with ongoing efforts to enhance their performance. In this work, a partially epoxidized polyhedral oligomeric silsesquioxane (PEOVS) containing vinyl and epoxy groups was successfully synthesized, and BT/PEOVS nanocomposites were prepared by blending PEOVS with [...] Read more.
Bismaleimide–triazine (BT) resins are widely utilized in various applications, with ongoing efforts to enhance their performance. In this work, a partially epoxidized polyhedral oligomeric silsesquioxane (PEOVS) containing vinyl and epoxy groups was successfully synthesized, and BT/PEOVS nanocomposites were prepared by blending PEOVS with BT resin. The results revealed that the unique structure of PEOVS significantly improved its dispersion within the resin matrix and enhanced the overall properties of the BT resin. The curing mechanism and properties of BT/PEOVS nanocomposites, with weight ratios of 99.5/0.5, 99/1, 98.5/1.5, 98/2, and 96/4, were analyzed using Fourier-transform infrared spectroscopy (FTIR), differential scanning calorimetry (DSC), X-ray diffraction (XRD), dynamic mechanical analysis (DMA), thermogravimetric analysis (TGA), and dielectric measurements. The addition of PEOVS markedly improved the dielectric performance, with a 2% PEOVS content achieving a dielectric constant of 2.39 and a dielectric loss of 0.0036 at 1 MHz. Furthermore, the glass transition temperature and storage modulus were significantly enhanced, with a PEOVS content of 1.5% resulting in a glass transition temperature of 279 °C. The results demonstrate that incorporating PEOVS, featuring dual reactive functional groups, effectively enhances the comprehensive properties of BT resins, providing valuable insights into their modification and practical applications. Full article
Show Figures

Figure 1

17 pages, 7322 KB  
Article
Development of 3D Printing Filament from Poly(Lactic Acid) and Cassava Pulp Composite with Epoxy Compatibilizer
by Thidarat Kanthiya, Pattraporn Changsuwan, Krittameth Kiattipornpithak, Pornchai Rachtanapun, Sarinthip Thanakkasaranee, Pensak Jantrawut, Nuttapol Tanadchangsaeng, Patnarin Worajittiphon, Thorsak Kittikorn and Kittisak Jantanasakulwong
Polymers 2025, 17(23), 3228; https://doi.org/10.3390/polym17233228 - 4 Dec 2025
Viewed by 440
Abstract
A 3D printing filament was fabricated from poly(lactic acid) (PLA), cassava pulp (CP), and epoxy using a twin-screw extruder. Several bio-composites were synthesized by varying the amount of epoxy (0.5, 1.0, 3.0, 5.0, and 10.0 wt.%). The size of the CP fibers significantly [...] Read more.
A 3D printing filament was fabricated from poly(lactic acid) (PLA), cassava pulp (CP), and epoxy using a twin-screw extruder. Several bio-composites were synthesized by varying the amount of epoxy (0.5, 1.0, 3.0, 5.0, and 10.0 wt.%). The size of the CP fibers significantly affected the surface quality, filament diameter, and mechanical properties of the final product. The smallest fiber size (45 µm) provided a smooth surface and consistent diameter. Incorporating 1 wt.% of epoxy into PLA/CP enhanced the tensile strength (56.6 MPa), elongation at break (6.2%), and hydrophobicity of the composite. The composite mechanical properties deteriorated at epoxy contents above 1 wt.% due to the amplified plasticizer effect of excessive epoxy. The optimized PLA/CP/epoxy formulation was used to generate the 3D filament. The resultant filament displayed a tensile strength of 64.6 MPa and elongation at break of 9.8%, attributed to the fine morphology achieved via thorough mixing provided by the twin-screw extruder. Epoxide-mediated crosslinking between PLA and CP enabled the development of a novel 3D printing filament with excellent mechanical properties. This research illustrates how agricultural residues can be upcycled into high-performance biomaterials with innovation in sustainable manufacturing, inclusive economic growth, reducing reliance on petroleum-based plastics and thus providing benefits regarding human health, climate change mitigation, plastic in the ocean, and environmental impacts. Full article
(This article belongs to the Special Issue Fiber-Reinforced Polymer Composites: Progress and Prospects)
Show Figures

Figure 1

15 pages, 2027 KB  
Article
The Influence of Chemical Structure on the Electronic Structure of Propylene Oxide
by David G. Matalon, Kate L. Nixon and Darryl B. Jones
Int. J. Mol. Sci. 2025, 26(23), 11729; https://doi.org/10.3390/ijms262311729 - 3 Dec 2025
Viewed by 595
Abstract
Propylene oxide is the first and only chiral molecule to have been observed in the interstellar medium. Given the mechanisms for forming chiral species, which are important for astrobiology in understanding the origins of life, we report here an experimental and theoretical investigation [...] Read more.
Propylene oxide is the first and only chiral molecule to have been observed in the interstellar medium. Given the mechanisms for forming chiral species, which are important for astrobiology in understanding the origins of life, we report here an experimental and theoretical investigation into the electronic structure of propylene oxide and its evolution from the methylation and epoxidation of ethene. Here, electron momentum spectroscopy is used as an orbital-imaging technique to probe experimental orbital momentum distributions. These are directly compared with theoretical orbital momentum distributions calculated at the equilibrium geometry, and those calculated by considering the vibrational motion of the propylene oxide target. This allows us to identify which molecular orbitals are sensitive to specific vibrational normal modes, thereby facilitating understanding and controlling chemical reactivity. By extending our investigation to include intermediate species along the evolution of ethene through methylation and epoxidation, we can develop an understanding of how the orbital electronic structure evolves through this series of important chemicals. Full article
(This article belongs to the Section Physical Chemistry and Chemical Physics)
Show Figures

Figure 1

Back to TopTop