Inhibition of Melanogenesis by Essential Oils from the Citrus Cultivars Peels
Abstract
1. Introduction
2. Results
2.1. Chemical Composition
2.2. Effects of Essential Oils
2.2.1. Cell Viability
2.2.2. Tyrosinase Activity
2.2.3. Melanin Content
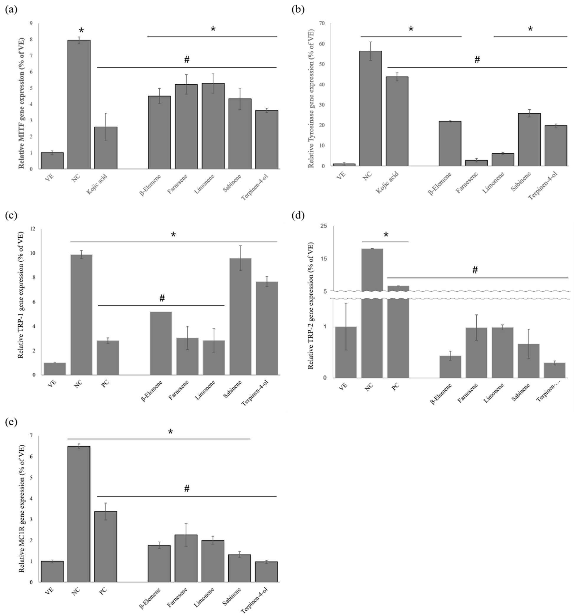
2.2.4. Gene Expression
2.3. Effects of Single Compounds
2.3.1. Cell Viability
2.3.2. Effects of Single Compounds on Tyrosinase Activity
2.3.3. Melanin Content
2.3.4. Gene Expression
3. Discussion
4. Materials and Methods
4.1. Plant Materials
4.2. Extraction of Essential Oils
4.3. Gas Chromatography–Mass Spectrometry
4.4. Cell Culture
4.5. Cytotoxicity
4.6. Tyrosinase Activity Assay
4.7. Determination of Melanin Content
4.8. Quantitative Real-Time Polymerase Chain Reaction
4.9. Statistical Analysis
5. Conclusions
Author Contributions
Funding
Institutional Review Board Statement
Informed Consent Statement
Data Availability Statement
Conflicts of Interest
References
- Peris, J.E.; Malara, T.M.; Borges, R.; Falconi, J.R.; Peṅa, L.; Fedriani, J.M. Reunion overseas: Introduced wild boars and cultivated orange trees interact in the Brazilian Atlantic Forest. Rev. Biol. Trop. 2019, 67, 901–912. [Google Scholar]
- Carbonell-Caballero, J.; Alonso, R.; Ibañez, V.; Terol, J.; Talon, M.; Dopazo, J. A phylogenetic analysis of 34 chloroplast genomes elucidates the relationships between wild and domestic species within the genus Citrus. Mol. Biol. Evol. 2015, 32, 2015–2035. [Google Scholar] [CrossRef]
- Lv, X.; Zhao, S.; Ning, Z.; Zeng, H.; Shu, Y.; Tao, O.; Xiao, C.; Lu, C.; Liu, Y. Citrus fruits as a treasure trove of active natural metabolites that potentially provide benefits for human health. Chem. Cent. J. 2015, 9, 68–81. [Google Scholar] [CrossRef] [PubMed]
- Sohi, S.; Shri, R. Neuropharmacological potential of the genus Citrus: A review. Res. Rev. J. Pharmacogn. Phytochem. 2018, 7, 1538–1548. [Google Scholar]
- Raghunath, R.S.; Venables, Z.C.; Millington, G.W.M. The menstrual cycle and the skin. Clin. Exp. Dermatol. 2015, 40, 111–115. [Google Scholar] [CrossRef]
- Singh, M.; Mukhopadhyay, K. Alpha-melanocyte stimulating hormone: An emerging anti-inflammatory antimicrobial peptide. Biomed Res. Int. 2014, 2014, 1–10. [Google Scholar] [CrossRef] [PubMed]
- D’Mello, S.; Finlay, G.; Baguley, B.; Askarian-Amiri, M. Signaling pathways in melanogenesis. Int. J. Mol. Sci. 2016, 17, 1144. [Google Scholar] [CrossRef] [PubMed]
- Hushca, Y.; Blo, I.; Oton-Gonzalez, L.; Mauro, G.; Martini, F.; Tognon, M.; Mattei, M. microRNAs in the regulation of melanogenesis. Int. J. Mol. Sci. 2021, 22, 6104. [Google Scholar] [CrossRef] [PubMed]
- Slominski, A.; Moellmann, G.; Kuklinska, E. L-Tyrosine, L-dopa, and tyrosinase as positive regulators of the subcellular apparatus of melanogenesis in Bomirski Ab amelanotic melanoma cells. Pigment Cell Res. 1989, 2, 109–116. [Google Scholar] [CrossRef]
- Kim, S.; Seo, H.; Mahmud, H.; Islam, M.; Sultana, O.; Lee, Y.; Kim, M.; Song, H. Melanin bleaching and melanogenesis inhibition effects of Pediococcus acidilactici PMC48 isolated from Korean Perilla leaf Kimchi. J. Microbiol. Biotechnol. 2020, 3, 1051–1059. [Google Scholar] [CrossRef] [PubMed]
- Pillaiyar, T.; Manickam, M.; Namasivayam, V. Skin whitening agents: Medicinal chemistry perspective of tyrosinase inhibitors. J. Enzyme Inhib. Med. Chem. 2017, 32, 403–425. [Google Scholar] [CrossRef] [PubMed]
- Ubeid, A.; Do, S.; Nye, C.; Hantash, B. Potent low toxicity inhibition of human melanogenesis by novel-indole-containing octapeptides. Biochim. Biophys. Acta Gen. Subj. 2012, 1820, 1481–1489. [Google Scholar] [CrossRef] [PubMed]
- Cheng, S.; Liu, R.; Sheu, J.; Chen, S.; Sinchaikul, S.; Tsay, G. Toxicogenomics of A375 human malignant melanoma cells treated with arbutin. J. Biomed. Sci. 2007, 14, 87–105. [Google Scholar] [CrossRef] [PubMed]
- Marfil, P.; Santos, E.; Telis, V. Ascorbic acid degradation kinetics in tomatoes at different drying conditions. LWT 2008, 41, 1642–1647. [Google Scholar] [CrossRef]
- Elkordy, A.; Haj-Ahmad, R.; Awaad, A.; Zaki, R. An overview on natural product drug formulations from conventional medicines to nanomedicines: Past, present and future. J. Drug Deliv. Sci. Technol. 2021, 63, 102459–102467. [Google Scholar] [CrossRef]
- Rathee, P.; Kumar, S.; Kumar, D.; Kumari, B.; Yadav, S. Skin hyperpigmentation and its treatment with herbs: An alternative method. Futur. J. Pharm. Sci. 2021, 7, 1–14. [Google Scholar] [CrossRef]
- Merecz-Sadowska, A.; Sitarek, P.; Stelmach, J.; Zajdel, K.; Kucharska, E.; Zajdel, R. Plants as modelators of melanogenesis: Role of extracts, pire compounds and patented compositions in therapy of pigmentation disorders. Int. J. Mol. Sci. 2022, 23, 14787. [Google Scholar] [CrossRef]
- Raut, J.; Karuppayil, S. A status review on the medicinal properties of essential oils. Ind. Crops Prod. 2014, 62, 250–264. [Google Scholar] [CrossRef]
- Guzmán, E.; Lucia, A. Essential oils and their individual components in cosmetic products. Cosmetics 2021, 8, 114. [Google Scholar] [CrossRef]
- Hsiao, W.; Kumar, K.J.S.; Lee, H.; Tsao, N.; Wang, S. Anti-melanogenic activity of Calocedrus formosana wood essential oil and its chemical composition analysis. Plants 2022, 11, 62. [Google Scholar] [CrossRef]
- Huang, H.; Ho, Y.; Li, J.; Chang, T.; Ho, C.; Chang, T. Investigation of the anti-melanogenic and antioxidant characteristics of Eucalyptus camaldulensis flower essential oil and determination of its chemical composition. Int. J. Mol. Sci. 2015, 16, 10470–10490. [Google Scholar] [CrossRef] [PubMed]
- Tu, P.; Tawata, S. Anti-oxidant, anti-agine, and anti-melanogenic properties of the essential oils from two varieties of Alpinia zerumbet. Molecules 2015, 20, 16723–16740. [Google Scholar] [CrossRef]
- Zhang, C.; Lu, Y.; Tao, L.; Tao, X.; Su, X.; Wei, D. Tyrosinase inhibitory effects and inhibition mechanisms of nobiletin and hesperidin from citrus peel crude extracts. J. Enzyme Inhib. Med. Chem. 2007, 22, 83–90. [Google Scholar] [CrossRef] [PubMed]
- Lucero, M.; Estell, R.; Tellez, M.; Fredrickson, E. A retention index calculator simplifies identification of plant volatile oreganic compounds. Phytochem. Anal. 2009, 20, 378–384. [Google Scholar] [CrossRef]
- Penjor, T.; Yamamoto, M.; Uehara, M.; Ide, M.; Matsumoto, N.; Matsumoto, R.; Nagano, Y. Phylogenotic relationships of Citrus and its relative based on matK gene sequences. PLoS ONE 2013, 8, e62574–e62586. [Google Scholar] [CrossRef]
- Shimizu, T.; Kitajima, A.; Nonaka, K.; Yoshioka, T.; Ohta, S.; Goto, S.; Toyoda, A.; Fujiyama, A.; Mochizuki, T.; Nagasaki, H.; et al. Hybrid origins of citrus varieties inferred from DNA marker analysis of nuclear and organelle genomes. PLoS ONE 2016, 11, e0166969–e0167026. [Google Scholar] [CrossRef] [PubMed]
- Lim, H.; Cho, N.; Yoon, M.; Cha, S.; Kim, K.; Park, Y.; Lee, J.; Lee, J.; Kim, C.; Sim, S. Effects of citrus essential oils on melanin production in B16 melanoma cells. J. Pharm. Soc. Korea 2003, 47, 25–30. [Google Scholar]
- UC Riverside. Available online: https://citrusvariety.ucr.edu (accessed on 3 February 2023).
- Shimizu, T. Breeding new premium quality cultivars by citrus breeding 2.0 in Japan: An intergrative approach suggested by genealogy. Horticulturae 2022, 8, 559. [Google Scholar] [CrossRef]
- Chen, Y.; Su, W.; Li, C.; Shi, Y.; Chen, Q.; Zheng, J.; Tang, D.; Chen, S.; Wang, Q. Anti-melanogenesis of novel kojic acid derivatives in B16F10 cells and zebrafish. Int. J. Bio. Macromol. 2019, 123, 723–731. [Google Scholar] [CrossRef]
- Kim, K.; Huh, Y.; Lim, K. Anti-pigmentary natural compounds and their mode of action. Int. J. Mol. Sci. 2021, 22, 6206. [Google Scholar] [CrossRef]
- Ahn, J.; Min, Y. Inhibitory effects of apricot seed essential oil on melanogenesis. Kor. J. Aesthet. Cosmetol. 2014, 12, 677–683. [Google Scholar]
- Tuerxuntayi, A.; Liu, Y.; Tulake, A.; Kabas, M.; Eblimit, A.; Aisa, H. Kaliziri extract upregulates tyrosinase, TRP-1, TRP-2 and MITF expression in murine B16 melanoma cells. BMC Complement. Altern. Med. 2014, 14, 166–174. [Google Scholar] [CrossRef] [PubMed]
- Slominski, A.; Zmijewski, M.; Pawelek, J. L-tyrosine and L-DOPA as hormone-like regulators of melanocytes functions. Pigment Cell Melanoma Res. 2012, 25, 14–27. [Google Scholar] [CrossRef] [PubMed]
- Brah, A.; Armah, F.; Obuah, C.; Akwetey, S.; Adokoh, C. Toxicity and therapeutic applications of citrus essential oils (CEOs): A review. Int. J. Food Prop. 2023, 26, 301–326. [Google Scholar] [CrossRef]
- Sharmeen, J.; Mahomoodally, F.; Zengin, G.; Maggi, F. Essential oils as natural sources of fragrance compounds for cosmetics and cosmeceuticals. Molecules 2021, 26, 666. [Google Scholar] [CrossRef]
- Ndayishimiye, J.; Lim, D.; Chun, B. Impact of extraction conditions on bergapten content and antimicrobial activity of oils obtained by a co-extraction of citrus by-products using supercritical carbon dioxide. Biotechnol. Bioprocess Eng. 2017, 22, 586–596. [Google Scholar] [CrossRef]
- Arena, M.; Alberto, M.; Cartagena, E. Potential use of Citrus essential oils against acute respiratory syndrome caused by coronavirus. J. Essent. Oil Res. 2021, 33, 330–341. [Google Scholar] [CrossRef]
- Sticher, O.; Heilmann, J.; Zündorf, I. Hänsel & Sticher Pharmakognosie-Phytopharmazie, 10th ed.; Wissenschaftliche Verlagsgesellschaft Press: Stuttgart, Germany, 2015; p. 673. [Google Scholar]
- The International Fragrance Association. Available online: http://www.ifraorg.org (accessed on 8 February 2023).
- Sarkic, A.; Stappenm, I. Essential oils and their single compounds in cosmetics-A critical review. Cosmetics 2018, 5, 11. [Google Scholar] [CrossRef]
- He, W.; Li, X.; Peng, Y.; He, X.; Pan, S. Anti-oxidant and anti-melanogenic properties of essential oil from peel of pomelo cv. Guan Xi. Molecules 2019, 24, 242. [Google Scholar] [CrossRef]
- Kim, S.; Kim, M.; Choi, Y.; Kim, B.; Kim, K.; Park, K.; Park, S.; Lee, N.; Hyun, C. Down-regulation of tyrosinase, TRP-1, TRP-2 and MITF expressions by Citrus presscakes in murine B16F10 melanoma. Asian Pac. J. Trop. Biomed. 2013, 3, 617–622. [Google Scholar] [CrossRef]
- Chutoprapat, R.; Malilas, W.; Rakkaew, R.; Udompong, S.; Boonpisuttinant, K. Collagen biosynthesis stimulation and anti-melanogenesis of Bambara groundnut (Vigna subterranean) extracts. Pharm. Biol. 2020, 58, 1023–1031. [Google Scholar] [CrossRef] [PubMed]
- Jung, S.; Heo, H.; Choe, J.; Kim, J.; Lee, K. Anti-melanogenic properties of velutin and its analogs. Molecules 2021, 26, 3033. [Google Scholar] [CrossRef] [PubMed]
- Jimenez-Lopez, C.; Carpena, M.; Lourenҫo-Lopes, C.; Gallardo-Gomez, M.; Lorenzo, J.; Barba, F.; Prieto, M.; Simal-Gandara, J. Bioactive compounds and quality of extra virgin olive oil. Foods 2020, 9, 1014. [Google Scholar] [CrossRef] [PubMed]
- Yubero-Serrano, E.; Lopez-Moreno, J.; Gomez-Delgado, F.; Lopez-Miranda, J. Extra virgin olive oil: More than a healthy fat. Eur. J. Clin. Nutr. 2019, 72, 8–17. [Google Scholar] [CrossRef] [PubMed]
- Katiki, L.M.; Barbieri, A.M.E.; Araujo, R.C.; Veríssimo, C.J.; Louvandini, H.; Ferreira, J.F.S. Synergistic interaction of ten essential oils against Haemonchus contortus in vitro. Vet. Parasitol. 2017, 243, 47–51. [Google Scholar] [CrossRef]
- Chang, T. Natural melanogenesis inhibitors acting through the down-regulation of tyrosinase activity. Materials 2012, 5, 1661–1685. [Google Scholar] [CrossRef]
- Qian, W.; Liu, W.; Zhu, D.; Cao, Y.; Tang, A.; Gong, G.; Su, H. Natural skin-whitening compounds for the treatment of melanogenesis (Review). Exp. Ther. Med. 2020, 20, 173–185. [Google Scholar] [CrossRef]
- Ando, H.; Itoh, A.; Mishima, Y.; Ichihashi, M. Correlation between the number of melanosomes, tyrosinase mRNA levels, and tyrosinase activity in cultured murine melanoma cells in response to various melanogenesis regulatory agents. J. Cell. Physiol. 1995, 163, 608–614. [Google Scholar] [CrossRef]
- Yang, J.; Choi, W.; Jeung, E.; Kim, K.; Park, M. Anti-inflammatory effect of essential oil extracted from Pinus densiflora (Sieb. et Zucc.) wood on RBL-2H3 cells. J. Wood Sci. 2021, 67, 52. [Google Scholar] [CrossRef]
- Yu, Y.; Chen, C.; Huang, M.; Yu, Q.; Du, D.; Mattia, M.; Gmitter, F. Genetic diversity and population structure analysis of citrus Germplasm with single nucleotide polymorphism markers. J. Am. Soc. Hortic. Sci. 2018, 143, 1–10. [Google Scholar] [CrossRef]









| KI a | Compound Name | Area % | ||||||||||||||||||||
|---|---|---|---|---|---|---|---|---|---|---|---|---|---|---|---|---|---|---|---|---|---|---|
| BY | DA | FC | JI | KA | KU | KY | LI | MW | NA | PL | PO | PU | SE | SH | SM | RU | ST | TS | YN | YU | ||
| 926 | α-Pinene | 0.30 | 0.26 | 2.00 | 0.45 | 0.41 | 0.32 | 0.32 | 1.05 | 0.61 | 0.46 | 1.64 | 0.68 | 0.19 | 0.55 | 0.42 | 0.67 | 0.38 | 0.49 | 0.61 | 0.34 | 1.06 |
| 965 | Sabinene | 0.05 | – | 0.07 | 0.11 | 0.03 | – | 0.03 | 0.13 | 0.01 | – | 0.21 | 0.08 | – | – | 0.16 | 0.02 | 0.29 | 0.63 | 0.20 | 0.04 | 0.01 |
| 970 | β-Pinene | 0.85 | – | 1.62 | 1.98 | 0.86 | – | – | 6.03 | 0.25 | 0.21 | 7.55 | 0.26 | 0.22 | 0.12 | 0.04 | 0.34 | 0.14 | 0.36 | 0.27 | – | 0.50 |
| 986 | β-Myrcene | 19.48 | 21.62 | – | 1.17 | 1.23 | 1.34 | 1.23 | 0.95 | 1.21 | 1.09 | 0.84 | 1.17 | 28.09 | 1.31 | 1.36 | 1.27 | 1.25 | 1.05 | 1.18 | 1.31 | 1.25 |
| 1034 | m-Cymene | – | – | 0.83 | – | – | – | – | 1.33 | 0.27 | 0.21 | 1.90 | 0.13 | 0.04 | 0.10 | – | 0.39 | 0.04 | 0.05 | 1.29 | 0.01 | 0.63 |
| 1041 | D-Limonene | 77.13 | 76.33 | 59.19 | 92.35 | 95.19 | 97.19 | 96.49 | 69.01 | 90.59 | 90.40 | 50.88 | 90.50 | 68.79 | 91.96 | 94.24 | 89.32 | 93.47 | 91.11 | 89.21 | 95.74 | 77.98 |
| 1047 | cis-β-Ocimene | 0.13 | 0.06 | 1.16 | 0.10 | 0.01 | – | – | 0.04 | – | – | 0.04 | – | – | – | 0.10 | – | – | – | – | – | – |
| 1058 | trans-β-Ocimene | 0.52 | 0.40 | 1.76 | 0.38 | 0.10 | 0.04 | 0.07 | 0.10 | 0.07 | 0.19 | 0.10 | 0.06 | 0.20 | 0.32 | 0.44 | 0.10 | 0.44 | 0.14 | 0.20 | 0.04 | 0.31 |
| 1068 | γ-Terpinene | 0.07 | 0.02 | 27.29 | 0.11 | 0.06 | 0.01 | 0.12 | 9.73 | 4.57 | 5.03 | 17.61 | 5.05 | 0.08 | 3.42 | 0.37 | 5.49 | 0.65 | 0.84 | 3.89 | 0.17 | 11.53 |
| 1090 | Terpinolene | 0.06 | 0.14 | 1.25 | 0.11 | 0.19 | 0.04 | 0.06 | 1.01 | 0.26 | 0.37 | 1.92 | 0.26 | 0.21 | 0.24 | 0.12 | 0.33 | 0.31 | 0.23 | 0.27 | 0.09 | 0.70 |
| 1099 | Linalool | 0.42 | 0.10 | 0.06 | 0.73 | 0.57 | 0.14 | 0.11 | 0.37 | 0.42 | 0.17 | 0.72 | 0.71 | 0.18 | 0.33 | 0.45 | 0.12 | 0.23 | 0.95 | 0.29 | 0.35 | 1.97 |
| 1146 | β-Terpineol | 0.02 | 0.03 | 0.01 | 0.03 | 0.09 | 0.05 | 0.08 | 0.11 | 0.05 | 0.12 | 0.13 | 0.02 | 0.06 | 0.17 | 0.10 | 0.03 | 0.07 | 0.06 | 0.04 | 0.12 | 0.10 |
| 1179 | Terpinen-4-ol | 0.13 | 0.04 | 0.46 | 0.24 | 0.13 | 0.03 | 0.21 | 1.19 | 0.11 | 0.15 | 1.69 | 0.17 | 0.08 | 0.13 | 0.71 | 0.11 | 1.14 | 1.78 | 0.66 | 0.31 | 0.34 |
| 1194 | α-Terpineol | 0.28 | 0.19 | 0.66 | 0.49 | 0.58 | 0.28 | 0.45 | 3.28 | 0.37 | 0.77 | 5.85 | 0.26 | 0.37 | 0.96 | 0.51 | 0.26 | 0.57 | 0.51 | 0.41 | 0.58 | 1.01 |
| 1243 | (Z)-Citral | – | – | 0.26 | – | – | – | – | 1.44 | – | – | 1.70 | – | 0.08 | – | – | – | – | – | – | – | – |
| 1273 | (E)-Citral | – | – | 0.26 | – | – | – | – | 2.17 | – | – | 2.43 | – | 0.07 | – | – | – | – | – | – | – | – |
| 1395 | β-Elemene | 0.03 | 0.01 | - | 0.97 | 0.05 | 0.03 | 0.02 | - | 0.49 | 0.09 | 0.10 | 0.01 | - | 0.01 | - | 0.72 | 0.02 | 0.06 | 0.14 | 0.01 | 0.05 |
| 1457 | β-Farnesene | 0.03 | – | – | – | – | – | – | – | – | – | – | – | – | – | – | – | 0.01 | 0.01 | 0.05 | – | 0.21 |
| Monoterpene hydrocarbons | 97.29 | 89.97 | 97.84 | 97.93 | 98.15 | 98.38 | 83.69 | 95.05 | 98.63 | 96.82 | 98.13 | 98.01 | 98.85 | 98.12 | 98.38 | 98.44 | 96.37 | 97.41 | 97.47 | 98.16 | 98.95 | |
| Oxygenated monoterpenes | 2.36 | 9.10 | 1.18 | 1.62 | 1.45 | 1.10 | 13.43 | 3.48 | 0.85 | 1.51 | 1.60 | 1.04 | 0.61 | 1.57 | 1.10 | 1.33 | 1.71 | 2.01 | 2.18 | 0.54 | 0.52 | |
| Sesquiterpene hydrocarbons | 0.16 | 0.29 | 0.02 | 0.37 | 0.21 | 0.09 | 1.46 | 0.96 | 0.22 | 1.35 | 0.10 | 0.81 | 0.18 | 0.11 | 0.09 | 0.04 | 0.53 | 0.25 | 0.13 | 1.11 | 0.23 | |
| Oxygenated sesquiterpenes | 0.02 | 0.49 | – | – | 0.06 | 0.06 | 1.17 | 0.16 | – | 0.08 | 0.04 | 0.03 | 0.01 | – | 0.06 | – | 0.03 | 0.10 | – | 0.02 | 0.08 | |
| Unknown compounds | 0.15 | 0.14 | 1.00 | 0.11 | 0.08 | 0.35 | 0.22 | 0.37 | 0.30 | 0.25 | 0.13 | 0.15 | 0.37 | 0.21 | 0.35 | 0.17 | 0.26 | 0.21 | 0.23 | 0.20 | 0.21 | |
| Total | 100 | 100 | 99 | 100 | 100 | 100 | 100 | 100 | 100 | 100 | 100 | 100 | 100 | 100 | 100 | 100 | 99 | 100 | 100 | 100 | 100 | |
| No. | Sample Name | Abbreviation | Voucher Specimen |
|---|---|---|---|
| 1 | Citrus japonica Thunb. | KU | WTFRC10032742 |
| 2 | Citrus junos Siebold ex Tanaka | YU | WTFRC10032743 |
| 3 | Citrus limon (L.) Osbeck ‘Lisbon’ | LI | WTFRC10033803 |
| 4 | Citrus maxima (Burm.) Merr. | DA | WTFRC10032725 |
| 5 | Citrus maxima (Burm.) Merr. a | PU | WTFRC10032744 |
| 6 | Citrus medica L. b | FC | WTFRC10033804 |
| 7 | Citrus paradisi Macfad. ‘Redblush’ | RU | WTFRC10032741 |
| 8 | Citrus platymamma hort. ex Tanaka | BY | WTFRC10032726 |
| 9 | Citrus reticulata Blanco c | MW | WTFRC10032727 |
| 10 | Citrus reticulata Blanco ‘Ponkan’ | PO | WTFRC10032734 |
| 11 | Citrus reticulata Blanco d | SM | WTFRC10032740 |
| 12 | Citrus sinensis (L.) Osbeck ‘Navel’ | YN | WTFRC10032732 |
| 13 | Citrus sunki (Hayata) Yu. Tanaka | JI | WTFRC10032733 |
| 14 | Citrus X aurantium L. e | NA | WTFRC10032737 |
| 15 | Citrus X aurantium L. f | KA | WTFRC10032735 |
| 16 | Citrus X aurantium L. g | SE | WTFRC10032729 |
| 17 | Citrus X latifolia (Yu. Tanaka) Yu. Tanaka | PL | WTFRC10032736 |
| 18 | Citrus unshiu X Citrus sinensis | KY | WTFRC10032739 |
| 19 | (Citrus unshiu X Citrus sinensis) X Citrus reticulata | SH | WTFRC10032728 |
| 20 | (Citrus unshiu X Citrus sinensis) X Citrus unshiu | TS | WTFRC10032731 |
| 21 | (Citrus unshiu X Citrus sinensis) X Citrus reticulata X Citrus reticulata | ST | WTFRC10032730 |
| Gene | Primer Sequence (5′–3′) | NCBI No. |
|---|---|---|
| TRP-1 | F: 5′-GCT GCA GGA GCC TTC TTT CTC-3′ R: 5′-AAG ACG CTG CAC TGC TGG TCT-3′ | AL670884 |
| TRP-2 | F: 5′-GGA TGA CCG TGA GCA ATG GCC-3′ R: 5′-CGG TTG TGA CCA ATG GGT GCC-3′ | X63349 |
| Tyrosinase | F: 5′-GGC CAG CTT TCA GGC AGA GGT-3′ R: 5′-TGG TGC TTC ATG GGC AAA ATC-3′ | D00131 |
| MITF | F: 5′-AGC GTG TAT TTT CCC CAC AG-3′ R: 5′-TAG CTC CTT AAT GCG GTC GT-3′ | BC108977 |
| MC1R | F: 5′-TGA CCT GAT GGT AAG TGT CAG C-3′ R: 5′-ATG AGC ACG TCA ATG AGG TT-3′ | NM_008559 |
| β-actin | F: CAG GTC ATC ACT ATT GGC AA R: AGG TCT TTA CGG ATG TCA AC | AY618569 |
Disclaimer/Publisher’s Note: The statements, opinions and data contained in all publications are solely those of the individual author(s) and contributor(s) and not of MDPI and/or the editor(s). MDPI and/or the editor(s) disclaim responsibility for any injury to people or property resulting from any ideas, methods, instructions or products referred to in the content. |
© 2023 by the authors. Licensee MDPI, Basel, Switzerland. This article is an open access article distributed under the terms and conditions of the Creative Commons Attribution (CC BY) license (https://creativecommons.org/licenses/by/4.0/).
Share and Cite
Yang, J.; Lee, S.-Y.; Jang, S.-K.; Kim, K.-J.; Park, M.-J. Inhibition of Melanogenesis by Essential Oils from the Citrus Cultivars Peels. Int. J. Mol. Sci. 2023, 24, 4207. https://doi.org/10.3390/ijms24044207
Yang J, Lee S-Y, Jang S-K, Kim K-J, Park M-J. Inhibition of Melanogenesis by Essential Oils from the Citrus Cultivars Peels. International Journal of Molecular Sciences. 2023; 24(4):4207. https://doi.org/10.3390/ijms24044207
Chicago/Turabian StyleYang, Jiyoon, Su-Yeon Lee, Soo-Kyeong Jang, Ki-Joong Kim, and Mi-Jin Park. 2023. "Inhibition of Melanogenesis by Essential Oils from the Citrus Cultivars Peels" International Journal of Molecular Sciences 24, no. 4: 4207. https://doi.org/10.3390/ijms24044207
APA StyleYang, J., Lee, S.-Y., Jang, S.-K., Kim, K.-J., & Park, M.-J. (2023). Inhibition of Melanogenesis by Essential Oils from the Citrus Cultivars Peels. International Journal of Molecular Sciences, 24(4), 4207. https://doi.org/10.3390/ijms24044207

