Novel Benzo[a]phenoxazinium Chlorides Functionalized with Sulfonamide Groups as NIR Fluorescent Probes for Vacuole, Endoplasmic Reticulum, and Plasma Membrane Staining
Abstract
1. Introduction
2. Results and Discussion
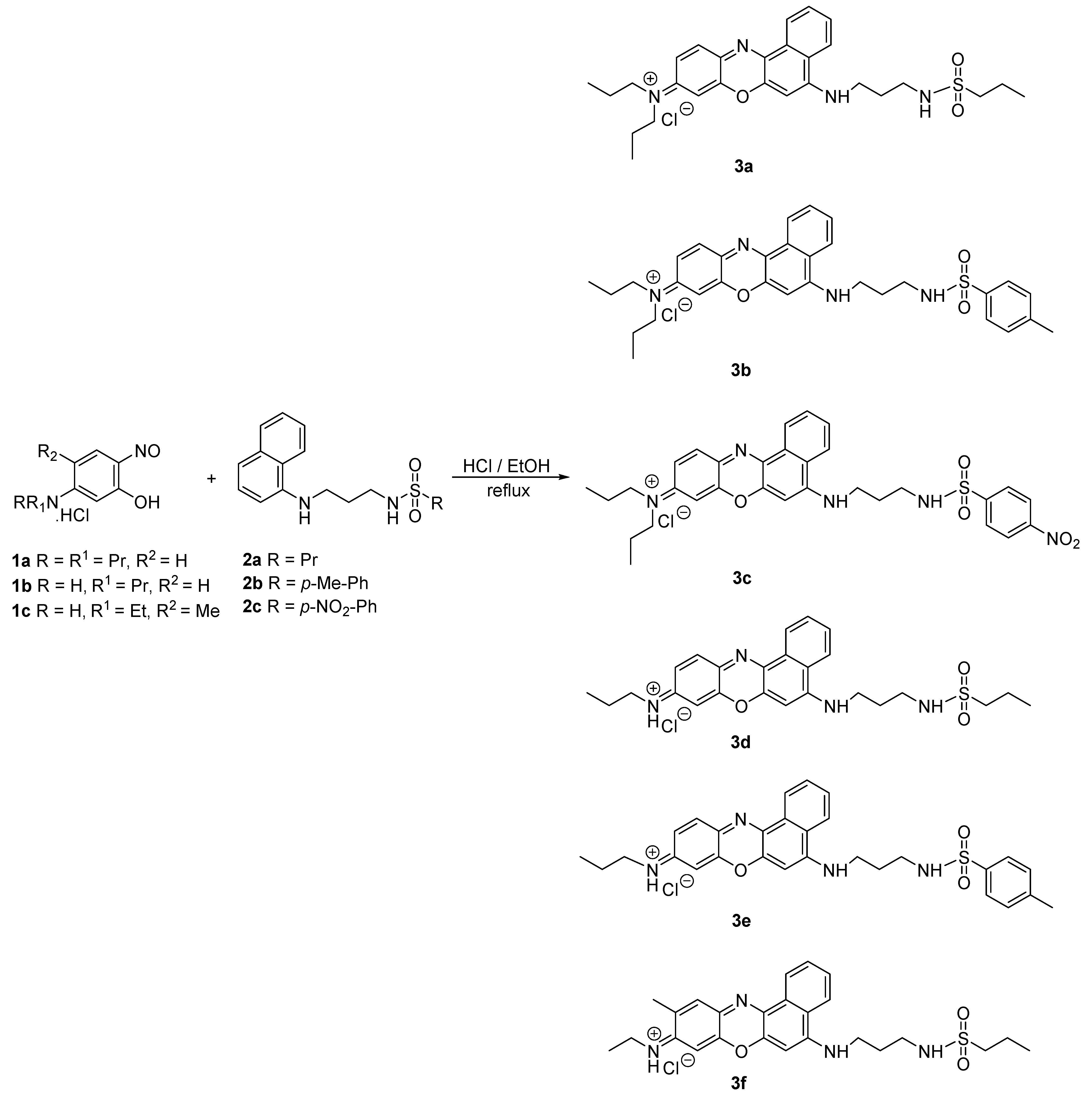
2.1. Chemistry
2.2. Photophysical Characterization
2.3. Biological Activity Evaluation
2.4. Fluorescence Microscopy Studies
2.4.1. General Observations
2.4.2. Vacuole, Perinuclear Membrane of the Endoplasmic Reticulum and Plasma Membrane Stain
3. Materials and Methods
3.1. Synthesis General
3.2. General Procedure for the Synthesis of N-Substituted Naphthylamine Derivatives 2a–c
3.2.1. N1-(3-(Naphthalen-1-ylamino)propyl)propane-1-sulfonamide 2a
3.2.2. 4-Methyl-N-(3-(naphthalen-1-ylamino)propyl)benzenesulfonamide 2b
3.2.3. N-(3-(Naphthalen-1-ylamino)propyl)-4-nitrobenzenesulfonamide 2c
3.3. General Procedure for the Synthesis of Benzo[a]phenoxazinium Chlorides 3a–f
3.3.1. N-Propyl-N-(5-((3-(propylsulfonamido)propyl)amino)-9H-benzo[a]phenoxazin-9-ylidene)propan-1-aminium Chloride 3a
3.3.2. N-(5-((3-(4-Methylphenylsulfonamido)propyl)amino)-9H-benzo[a]phenoxazin-9-ylidene)-N-propylpropan-1-aminium Chloride 3b
3.3.3. N-(5-((3-(4-Nitrophenylsulfonamido)propyl)amino)-9H-benzo[a]phenoxazin-9-ylidene)-N-propylpropan-1-aminium Chloride 3c
3.3.4. N-(5-((3-(Propylsulfonamido)propyl)amino)-9H-benzo[a]phenoxazin-9-ylidene)propan-1-aminium Chloride 3d
3.3.5. N-(5-((3-(4-Methylphenylsulfonamido)propyl)amino)-9H-benzo[a]phenoxazin-9-ylidene)propan-1-aminium Chloride 3e
3.3.6. N-(10-Methyl-5-((3-(propylsulfonamido)propyl)amino)-9H-benzo[a]phenoxazin-9-ylidene)ethanaminium Chloride 3f
3.4. Photophysical Studies
3.5. Antifungal Activity Assays
3.6. Evaluation as Fluorescent Probes
4. Conclusions
Supplementary Materials
Author Contributions
Funding
Institutional Review Board Statement
Informed Consent Statement
Data Availability Statement
Conflicts of Interest
References
- Lu, L.; Wu, Z.Y.; Li, X.; Han, F. State-of-the-art: Functional fluorescent probes for bioimaging and pharmacological research. Acta Pharmacol. Sin. 2019, 40, 717–723. [Google Scholar] [CrossRef] [PubMed]
- Liu, T.; Ning, J.; Wang, B.; Dong, B.; Li, S.; Tian, X.; Yu, Z.; Peng, Y.; Wang, C.; Zhao, X.; et al. Activatable Near-Infrared Fluorescent Probe for Dipeptidyl Peptidase IV and Its Bioimaging Applications in Living Cells and Animals. Anal. Chem. 2018, 90, 3965–3973. [Google Scholar] [CrossRef] [PubMed]
- Bi, A.; Yang, S.; Liu, M.; Wang, X.; Liao, W.; Zeng, W. Fluorescent probes and materials for detecting formaldehyde: From laboratory to indoor for environmental and health monitoring. RSC Adv. 2017, 7, 36421–36432. [Google Scholar] [CrossRef]
- Ueno, T.; Nagano, T. Fluorescent probes for sensing and imaging. Nat. Methods 2011, 8, 642–645. [Google Scholar] [CrossRef] [PubMed]
- Kobayashi, H.; Ogawa, M.; Alford, R.; Choyke, P.L.; Urano, Y. New strategies for fluorescent probe design in medical diagnostic imaging. Chem. Rev. 2010, 110, 2620–2640. [Google Scholar] [CrossRef]
- Yuan, L.; Lin, W.; Zheng, K.; Zhu, S. FRET-based small-molecule fluorescent probes: Rational design and bioimaging applications. Acc. Chem. Res. 2013, 46, 1462–1473. [Google Scholar] [CrossRef]
- Fu, Y.; Finney, N.S. Small-molecule fluorescent probes and their design. RSC Adv. 2018, 8, 29051–29061. [Google Scholar] [CrossRef]
- Neto, B.A.D.; Corrêa, J.R.; Silva, R.G. Selective mitochondrial staining with small fluorescent probes: Importance, design, synthesis, challenges and trends for new markers. RSC Adv. 2013, 3, 5291–5301. [Google Scholar] [CrossRef]
- Yang, J.; Li, J.; Hao, P.; Qiu, F.; Liu, M.; Zhang, Q.; Shi, D. Synthesis, optical properties of multi donor-acceptor substituted AIE pyridine derivatives dyes and application for Au3+ detection in aqueous solution. Dye. Pigment. 2015, 116, 97–105. [Google Scholar] [CrossRef]
- Alamudi, S.H.; Chang, Y.T. Advances in the design of cell-permeable fluorescent probes for applications in live cell imaging. Chem. Commun. 2018, 54, 13641–13653. [Google Scholar] [CrossRef]
- Gonçalves, M.S.T. Optimized UV/Visible Fluorescent Markers. Adv. Fluoresc. Reporters Chem. Biol. I Fundam. Mol. Des. 2010, 8, 27–64. [Google Scholar]
- Sameiro, M.; Gonçalves, T. Fluorescent labeling of biomolecules with organic probes. Chem. Rev. 2009, 109, 190–212. [Google Scholar]
- Frangioni, J.V. In vivo near-infrared fluorescence imaging. Curr. Opin. Chem. Biol. 2003, 7, 626–634. [Google Scholar] [CrossRef]
- Liu, W.; Sun, R.; Ge, J.F.; Xu, Y.J.; Xu, Y.; Lu, J.M.; Itoh, I.; Ihara, M. Reversible near-infrared pH probes based on benzo[a]phenoxazine. Anal. Chem. 2013, 85, 7419–7425. [Google Scholar] [CrossRef] [PubMed]
- Guo, Z.; Park, S.; Yoon, J.; Shin, I. Recent progress in the development of near-infrared fluorescent probes for bioimaging applications. Chem. Soc. Rev. 2014, 43, 16–29. [Google Scholar] [CrossRef] [PubMed]
- Li, H.; Kim, H.; Xu, F.; Han, J.; Yao, Q.; Wang, J.; Pu, K.; Peng, X.; Yoon, J. Activity-based NIR fluorescent probes based on the versatile hemicyanine scaffold: Design strategy, biomedical applications, and outlook. Chem. Soc. Rev. 2022, 51, 1795–1835. [Google Scholar] [CrossRef]
- Jose, J.; Burgess, K. Benzophenoxazine-based fluorescent dyes for labeling biomolecules. Tetrahedron 2006, 62, 11021–11037. [Google Scholar] [CrossRef]
- Martinez, V.; Henary, M. Nile Red and Nile Blue: Applications and Syntheses of Structural Analogues. Chem. A Eur. J. 2016, 22, 13764–13782. [Google Scholar] [CrossRef]
- Frade, V.H.J.; Sousa, M.J.; Moura, J.C.V.P.; Gonçalves, M.S.T. Synthesis of naphtho[2,3-a]phenoxazinium chlorides: Structure-activity relationships of these heterocycles and benzo[a]phenoxazinium chlorides as new antimicrobials. Bioorg. Med. Chem. 2008, 16, 3274–3282. [Google Scholar] [CrossRef]
- Raju, B.R.; Garcia, A.M.F.; Costa, A.L.S.; Coutinho, P.J.G.; Gonçalves, M.S.T. Synthesis of new benzo[a]phenoxazinium probes possessing carboxylic ester, hydroxyl and amino functional groups: Photophysical studies in dry ethanol and conjugation with CdTe quantum dots. Dye. Pigment. 2014, 110, 203–213. [Google Scholar] [CrossRef]
- Firmino, A.D.G.; Gonçalves, M.S.T. Bifunctionalised long-wavelength fluorescent probes for biological applications. Tetrahedron Lett. 2012, 53, 4946–4950. [Google Scholar] [CrossRef]
- Naik, S.; Alves, C.; Coutinho, P.; Gonçalves, M.S. N-(Di)icosyl-Substituted Benzo[a]phenoxazinium Chlorides: Synthesis and Evaluation as Near-Infrared Membrane Probes. Eur. J. Org. Chem. 2011, 2011, 2491–2497. [Google Scholar] [CrossRef]
- Sousa, R.P.C.L.; Ferreira, J.C.C.; Sousa, M.J.; Gonçalves, M.S.T. N-(5-Amino-9H-benzo[a]phenoxazin-9-ylidene)propan-1-aminium chlorides as antifungal agents and NIR fluorescent probes. New J. Chem. 2021, 45, 7808–7815. [Google Scholar] [CrossRef]
- Alves, C.M.A.; Naik, S.; Coutinho, P.J.G.; Gonçalves, M.S.T. Novel long alkyl side chain benzo[a]phenoxazinium chlorides: Synthesis, photophysical behaviour and DNA interaction. Tetrahedron 2009, 65, 10441–10452. [Google Scholar] [CrossRef]
- Frade, V.H.J.; Barros, S.A.; Moura, J.C.V.P.; Coutinho, P.J.G.; Gonçalves, M.S.T. Synthesis of short and long-wavelength functionalised probes: Amino acids’ labelling and photophysical studies. Tetrahedron 2007, 63, 12405–12418. [Google Scholar] [CrossRef]
- Alves, C.M.A.; Naik, S.; Coutinho, P.J.G.; Gonçalves, M.S.T. New long alkyl side-chain benzo[a]phenoxazines as micellisation probes. Tetrahedron Lett. 2009, 50, 4470–4474. [Google Scholar] [CrossRef]
- Rama Raju, B.; Naik, S.; Coutinho, P.J.G.; Gonçalves, M.S.T. Novel Nile Blue derivatives as fluorescent probes for DNA. Dye. Pigment. 2013, 99, 220–227. [Google Scholar] [CrossRef]
- Raju, B.R.; Firmino, A.D.G.; Costa, A.L.S.; Coutinho, P.J.G.; Gonçalves, M.S.T. Synthesis and photophysical properties of side-chain chlorinated benzo[a]phenoxazinium chlorides. Tetrahedron 2013, 69, 2451–2461. [Google Scholar] [CrossRef]
- Frade, V.H.J.; Gonçalves, M.S.T.; Moura, J.C.V.P. Synthesis and fluorescence properties of side-chain carboxylated 5,9-diaminobenzo[a]phenoxazinium salts. Tetrahedron Lett. 2005, 46, 4949–4952. [Google Scholar] [CrossRef]
- Alves, C.M.A.; Naik, S.; Coutinho, P.J.G.; Gonçalves, M.S.T. Novel DNA fluorescence probes based on N-[5-(11-functionalised-undecylamino)-9H-benzo[a]phenoxazin-9-ylidene]propan-1-aminium chlorides: Synthesis and photophysical studies. Tetrahedron Lett. 2011, 52, 112–116. [Google Scholar] [CrossRef]
- Madsen, J.; Canton, I.; Warren, N.J.; Themistou, E.; Blanazs, A.; Ustbas, B.; Tian, X.; Pearson, R.; Battaglia, G.; Lewis, A.L.; et al. Nile blue-based nanosized pH sensors for simultaneous far-red and near-infrared live bioimaging. J. Am. Chem. Soc. 2013, 135, 14863–14870. [Google Scholar] [CrossRef] [PubMed]
- Chen, Q.Y.; Li, D.H.; Zhao, Y.; Yang, H.H.; Zhu, Q.Z.; Xu, J.G. Interaction of a novel red-region fluorescent probe, Nile Blue, with DNA and its application to nucleic acids assay. Analyst 1999, 124, 901–906. [Google Scholar] [CrossRef] [PubMed]
- Wesolowska, O.; Molnar, J.; Westman, G.; Samuelsson, K.; Kawase, M.; Ocsovszki, I.; Motohashi, N.; Michalak, K. Benzo[a]phenoxazines: A new group of potent P-glycoprotein inhibitors. In Vivo 2006, 20, 109–114. [Google Scholar]
- Pal, S.; Salunke-gawali, S.; Konkimalla, V.B. Induction of Autophagic Cell Death in Apoptosis-resistant Pancreatic Cancer Cells using Benzo[a]phenoxazines Derivatives, 10-methyl-benzo[a]phenoxazine-5-one and benzo[a]phenoxazine-5-one. Anticancer Agents Med. Chem. 2017, 17, 115–125. [Google Scholar] [CrossRef] [PubMed]
- Ferreira, J.C.C.; Lopes, C.; Preto, A.; Gonçalves, M.S.T.; Sousa, M.J. Novel Nile Blue Analogue Stains Yeast Vacuolar Membrane, Endoplasmic Reticulum, and Lipid Droplets, Inducing Cell Death through Vacuole Membrane Permeabilization. J. Fungi 2021, 7, 971. [Google Scholar] [CrossRef] [PubMed]
- Leitão, M.I.P.S.; Rama Raju, B.; Cerqueira, N.M.F.S.A.; Sousa, M.J.; Gonçalves, M.S.T. Benzo[a]phenoxazinium chlorides: Synthesis, antifungal activity, in silico studies and evaluation as fluorescent probes. Bioorg. Chem. 2020, 98, 103730. [Google Scholar] [CrossRef]
- Leitão, M.I.P.S.; Raju, B.R.; Naik, S.; Coutinho, P.J.G.; Sousa, M.J.; Gonçalves, M.S.T. Synthesis and photophysical studies of new benzo[a]phenoxazinium chlorides as potential antifungal agents. Tetrahedron Lett. 2016, 57, 3936–3941. [Google Scholar] [CrossRef]
- Patil, V.S.; Padalkar, V.S.; Phatangare, K.R.; Umape, P.G.; Borase, B.N.; Sekar, N. Synthesis, Characterization, and Antibacterial Activity of Novel (1H-Benzo[d]imidazole-2-yl)-6-(diethylamino)-3H-one-xanthene, Phenoxazine, and Oxazine. J. Heterocycl. Chem. 2015, 52, 124–129. [Google Scholar] [CrossRef]
- Ravichandiran, P.; Jegan, A.; Premnath, D.; Periasamy, V.S.; Vasanthkumar, S. Design, synthesis, molecular docking as histone deacetylase (HDAC8) inhibitors, cytotoxicity and antibacterial evaluation of novel 6-(4-(4-aminophenylsulfonyl)phenylamino)-5H-benzo[a]phenoxazin-5-one derivatives. Med. Chem. Res. 2015, 24, 197–208. [Google Scholar] [CrossRef]
- Mizukawa, Y.; Ge, J.F.; Bakar Md, A.; Itoh, I.; Scheurer, C.; Wittlin, S.; Brun, R.; Matsuoka, H.; Ihara, M. Novel synthetic route for antimalarial benzo[a]phenoxazine derivative SSJ-183 and two active metabolites. Bioorg. Med. Chem. 2014, 22, 3749–3752. [Google Scholar] [CrossRef]
- Ezeokonkwo, M.A.; Okafor, S.N.; Ogbonna, O.N.; Onoabedje, E.A.; Ibeanu, F.N.; Godwin-Nwakwasi, E.U.; Ezema, B.E. New antimalarial agents derived from nonlinear phenoxazine ring system. Med. Chem. Res. 2020, 29, 63–74. [Google Scholar] [CrossRef]
- Kozlovskaya, L.I.; Andrei, G.; Orlov, A.A.; Khvatov, E.V.; Koruchekov, A.A.; Belyaev, E.S.; Nikolaev, E.N.; Korshun, V.A.; Snoeck, R.; Osolodkin, D.I.; et al. Antiviral activity spectrum of phenoxazine nucleoside derivatives. Antiviral Res. 2019, 163, 117–124. [Google Scholar] [CrossRef] [PubMed]
- Lopes, M.; Alves, C.T.; Rama Raju, B.; Gonçalves, M.S.T.; Coutinho, P.J.G.; Henriques, M.; Belo, I. Application of benzo[a]phenoxazinium chlorides in antimicrobial photodynamic therapy of Candida albicans biofilms. J. Photochem. Photobiol. B Biol. 2014, 141, 93–99. [Google Scholar] [CrossRef]
- Zhang, J.; De Sousa, W.T.; Da Silva, V.C.M.; Rodrigues, M.C.; Morais, J.A.V.; Song, J.L.; Cheng, Z.Q.; Longo, J.P.F.; Azevedo, R.B.; Jiang, C.S.; et al. Synthesis and evaluation of new potential benzo[a]phenoxazinium photosensitizers for anticancer photodynamic therapy. Molecules 2018, 23, 1436. [Google Scholar] [CrossRef]
- Wilden, J.D. The sulfonamide motif as a synthetic tool. J. Chem. Res. 2010, 34, 541–548. [Google Scholar] [CrossRef]
- Zhao, F.; Wang, J.; Ding, X.; Shu, S.; Liu, H. Application of sulfonyl in drug design. Chin. J. Org. Chem. 2016, 36, 490–501. [Google Scholar] [CrossRef]
- Elgemeie, G.H.; Azzam, R.A.; Elsayed, R.E. Sulfa drug analogs: New classes of N-sulfonyl aminated azines and their biological and preclinical importance in medicinal chemistry (2000–2018). Med. Chem. Res. 2019, 28, 1099–1131. [Google Scholar] [CrossRef]
- Dubois, L.; Lieuwes, N.G.; Maresca, A.; Thiry, A.; Supuran, C.T.; Scozzafava, A.; Wouters, B.G.; Lambin, P. Imaging of CA IX with fluorescent labelled sulfonamides distinguishes hypoxic and (re)-oxygenated cells in a xenograft tumour model. Radiother. Oncol. 2009, 92, 423–428. [Google Scholar] [CrossRef]
- Liu, P.; Ma, S.; Yan, C.; Qin, X.; Zhao, P.; Li, Q.; Cui, Y.; Li, M.; Du, L. Discovery of small-molecule sulfonamide fluorescent probes for gpr120. Anal. Chem. 2019, 91, 15235–15239. [Google Scholar] [CrossRef]
- Sharma, D.K.; Adams, S.T.; Liebmann, K.L.; Choi, A.; Miller, S.C. Sulfonamides Are an Overlooked Class of Electron Donors in Luminogenic Luciferins and Fluorescent Dyes. Org. Lett. 2019, 21, 1641–1644. [Google Scholar] [CrossRef]
- Raju, B.R.; Carvalho, M.M.T.; Leitão, M.I.P.S.; Coutinho, P.J.G.; Gonçalves, M.S.T. Synthesis, photophysical characterisation and photostability studies of NIR probes with aliphatic, aromatic and chlorinated terminals in 5- and 9-amino positions of benzo[a]phenoxazines. Dye. Pigment. 2016, 132, 204–212. [Google Scholar] [CrossRef]
- Crossley, M.L.; Turner, R.J.; Hofmann, C.M.; Dreisbach, P.F.; Parker, R.P. Chemotherapeutic Dyes. II. 5-Arylamino-9-dialkylaminobenzo[a]phenoxazines. J. Am. Chem. Soc. 1952, 74, 578–584. [Google Scholar] [CrossRef]
- Fothergill, A.W. Antifungal susceptibility testing: Clinical Laboratory and Standards Institute (CLSI) methods. In Interactions of Yeasts, Moulds, and Antifungal Agents: How to Detect Resistance; Humana: Totowa, NJ, USA, 2012; pp. 65–74. ISBN 9781597451345. [Google Scholar]
- Vrakas, D.; Giaginis, C.; Tsantili-Kakoulidou, A. Electrostatic interactions and ionization effect in immobilized artificial membrane retention. A comparative study with octanol-water partitioning. J. Chromatogr. A 2008, 1187, 67–78. [Google Scholar] [CrossRef] [PubMed]
- Molinspiration Cheminformatics. Available online: http://www.molinspiration.com/ (accessed on 12 September 2018).
- Shimazu, M.; Sekito, T.; Akiyama, K.; Ohsumi, Y.; Kakinuma, Y. A family of basic amino acid transporters of the vacuolar membrane from Saccharomyces cerevisiae. J. Biol. Chem. 2005, 280, 4851–4857. [Google Scholar] [CrossRef] [PubMed]
- Voeltz, G.K.; Prinz, W.A.; Shibata, Y.; Rist, J.M.; Rapoport, T.A. A class of membrane proteins shaping the tubular endoplasmic reticulum. Cell 2006, 124, 573–586. [Google Scholar] [CrossRef] [PubMed]
- Barata-Antunes, C.; Talaia, G.; Broutzakis, G.; Ribas, D.; De Beule, P.; Casal, M.; Stefan, C.J.; Diallinas, G.; Paiva, S. Interactions of cytosolic termini of the Jen1 monocarboxylate transporter are critical for trafficking, transport activity and endocytosis. bioRxiv 2021, 2021.09.27.461913. [Google Scholar]
- Frade, V.H.J.; Sousa, M.J.; Moura, J.C.V.P.; Gonçalves, M.S.T. Synthesis, characterisation and antimicrobial activity of new benzo[a]phenoxazine based fluorophores. Tetrahedron Lett. 2007, 48, 8347–8352. [Google Scholar] [CrossRef]
- Frade, V.H.J.; Gonçalves, M.S.T.; Moura, J.C.V.P. Synthesis of fluorescent water-soluble functionalised benzo[a]phenoxazinium salts. Tetrahedron Lett. 2006, 47, 8567–8570. [Google Scholar] [CrossRef]
- Frade, V.H.J.; Coutinho, P.J.G.; Moura, J.C.V.P.; Gonçalves, M.S.T. Functionalised benzo[a]phenoxazine dyes as long-wavelength fluorescent probes for amino acids. Tetrahedron 2007, 63, 1654–1663. [Google Scholar] [CrossRef]
- Raju, B.R.; Sampaio, D.M.F.; Silva, M.M.; Coutinho, P.J.G.; Gonçalves, M.S.T. Ultrasound promoted synthesis of Nile Blue derivatives. Ultrason. Sonochem. 2014, 21, 360–366. [Google Scholar] [CrossRef]
- Sens, R.; Drexhage, K.H. Fluorescence quantum yield of oxazine and carbazine laser dyes. J. Lumin. 1981, 24, 709–712. [Google Scholar] [CrossRef]











| Compound | 3a | 3b | 3c | 3d | 3e | 3f | |
|---|---|---|---|---|---|---|---|
| Ethanol | λabs (nm)|log ε | 638|4.56 | 640|4.35 512|4.15 | 641|4.72 | 624|4.79 | 631|4.38 | 627|4.53 |
| λemi (nm)|ΦF | 669|0.17 | 671|0.17 | 671|0.15 | 645|0.51 | 647|0.33 | 642|0.55 | |
| Δλ (cm−1) | 726 | 722 | 698 | 522 | 392 | 373 | |
| Acidified ethanol | λabs (nm)|log ε | 639|4.58 | 640|4.73 | 641|4.78 | 626|4.77 | 633|4.50 | 627|4.60 |
| λemi (nm)|ΦF | 670|0.18 | 669|0.19 | 671|0.19 | 645|0.52 | 646|0.32 | 643|0.58 | |
| Δλ (cm−1) | 724 | 677 | 698 | 470 | 318 | 397 | |
| Water | λabs (nm)|log ε | 648|4.21 | 651|4.27 | 655|4.33 | 624|4.34 | 621|4.00 | 628|4.06 |
| λemi (nm)|ΦF | 681|0.02 | 687|0.02 | 682|0.01 | 653|0.14 | 652|0.01 | 650|0.12 | |
| Δλ (cm−1) | 748 | 805 | 605 | 712 | 766 | 539 | |
| pH 3 | λabs (nm)|log ε | 647|4.46 | 651|4.57 | 653|4.38 | 625|4.66 | 635|4.28 | 625|4.49 |
| λemi (nm)|ΦF | 677|0.03 | 680|0.04 | 684|0.02 | 654|0.18 | 657|0.10 | 651|0.24 | |
| Δλ (cm−1) | 685 | 655 | 694 | 709 | 527 | 639 | |
| pH 5 | λabs (nm)|log ε | 647|4.43 | 651|4.45 | 655|4.44 | 624|4.56 | 634|4.21 | 627|4.37 |
| λemi (nm)|ΦF | 680|0.03 | 681|0.03 | 685|0.01 | 654|0.18 | 654|0.07 | 651|0.22 | |
| Δλ (cm−1) | 750 | 677 | 669 | 735 | 482 | 588 | |
| pH 7.4 | λabs (nm)|log ε | 647|4.36 | 652|4.01 537|3.92 | 656|4.37 550|4.17 | 624|4.49 | 634|4.02 526|3.70 | 621|4.40 |
| λemi (nm)|ΦF | 676|0.03 | 683|0.01 | 686|0.02 | 652|0.15 | 655|0.06 | 649|0.20 | |
| Δλ (cm−1) | 663 | 696 | 667 | 688 | 506 | 695 | |
| Compound | 3a | 3b | 3c | 3d | 3e | 3f |
|---|---|---|---|---|---|---|
| MIC (µM) | 25 | 12.5 | 25 | 50 | >100 | 50 |
| log P | 2.38 | 3.49 | 3,00 | 2.32 | 3.43 | 2.20 |
Disclaimer/Publisher’s Note: The statements, opinions and data contained in all publications are solely those of the individual author(s) and contributor(s) and not of MDPI and/or the editor(s). MDPI and/or the editor(s) disclaim responsibility for any injury to people or property resulting from any ideas, methods, instructions or products referred to in the content. |
© 2023 by the authors. Licensee MDPI, Basel, Switzerland. This article is an open access article distributed under the terms and conditions of the Creative Commons Attribution (CC BY) license (https://creativecommons.org/licenses/by/4.0/).
Share and Cite
Ferreira, J.C.C.; Sousa, R.P.C.L.; Preto, A.; Sousa, M.J.; Gonçalves, M.S.T. Novel Benzo[a]phenoxazinium Chlorides Functionalized with Sulfonamide Groups as NIR Fluorescent Probes for Vacuole, Endoplasmic Reticulum, and Plasma Membrane Staining. Int. J. Mol. Sci. 2023, 24, 3006. https://doi.org/10.3390/ijms24033006
Ferreira JCC, Sousa RPCL, Preto A, Sousa MJ, Gonçalves MST. Novel Benzo[a]phenoxazinium Chlorides Functionalized with Sulfonamide Groups as NIR Fluorescent Probes for Vacuole, Endoplasmic Reticulum, and Plasma Membrane Staining. International Journal of Molecular Sciences. 2023; 24(3):3006. https://doi.org/10.3390/ijms24033006
Chicago/Turabian StyleFerreira, João C. C., Rui P. C. L. Sousa, A. Preto, Maria João Sousa, and M. Sameiro T. Gonçalves. 2023. "Novel Benzo[a]phenoxazinium Chlorides Functionalized with Sulfonamide Groups as NIR Fluorescent Probes for Vacuole, Endoplasmic Reticulum, and Plasma Membrane Staining" International Journal of Molecular Sciences 24, no. 3: 3006. https://doi.org/10.3390/ijms24033006
APA StyleFerreira, J. C. C., Sousa, R. P. C. L., Preto, A., Sousa, M. J., & Gonçalves, M. S. T. (2023). Novel Benzo[a]phenoxazinium Chlorides Functionalized with Sulfonamide Groups as NIR Fluorescent Probes for Vacuole, Endoplasmic Reticulum, and Plasma Membrane Staining. International Journal of Molecular Sciences, 24(3), 3006. https://doi.org/10.3390/ijms24033006

