K+-Dependent Photocycle and Photocurrent Reveal the Uptake of K+ in Light-Driven Sodium Pump
Abstract
1. Introduction
2. Results
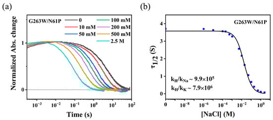
2.1. K+-Dependent Photocycle Kinetics
2.2. K+-Dependent Photocurrent
2.3. Kinetic Analysis of K+/Na+/H+ Uptake and Ion Selectivity
3. Discussion
3.1. The Mechanism of K+ Uptake
3.2. Engineering of K+-Pumping Rhodopsin
4. Materials and Methods
4.1. Gene Cloning, Protein Expression, and Purification
4.2. Flash Photolysis
4.3. Photocurrent Measurements of the Light-Driven Ion Transport Activity
5. Conclusions
Supplementary Materials
Author Contributions
Funding
Institutional Review Board Statement
Informed Consent Statement
Data Availability Statement
Acknowledgments
Conflicts of Interest
Abbreviations
| NdR2 | Nonlabens dokdonensis rhodopsin 2 |
| BR | bacteriorhodopsin |
| KR2 | Krokinobacter eikastus rhodopsin 2 |
| HR | halorhodopsin |
| NaR | Na+-pumping rhodopsin |
| IPTG | Isopropyl-β-D-thiogalactopyranoside |
| DDM | n-dodecyl-β-D-maltoside |
| NMG | N-methyl-D-glucamine |
| CCCP | carbonylcyanide-m-chlorophenylhydrazone |
| ITO | indium tin oxide |
| DC | direct current |
| WT | wild type |
References
- Brown, L.S. Eubacterial rhodopsins—Unique photosensors and diverse ion pumps. Biochim. Biophys. Acta 2014, 1837, 553–561. [Google Scholar] [CrossRef] [PubMed]
- Ernst, O.P.; Lodowski, D.T.; Elstner, M.; Hegemann, P.; Brown, L.S.; Kandori, H. Microbial and animal rhodopsins: Structures, functions, and molecular mechanisms. Chem. Rev. 2014, 114, 126–163. [Google Scholar] [CrossRef] [PubMed]
- Spudich, J.L.; Sineshchekov, O.A.; Govorunova, E.G. Mechanism divergence in microbial rhodopsins. Biochim. Biophys. Acta 2014, 1837, 546–552. [Google Scholar] [CrossRef] [PubMed]
- Oesterhelt, D.; Stoeckenius, W. Rhodopsin-like protein from the purple membrane of Halobacterium halobium. Nat. New Biol. 1971, 233, 149–152. [Google Scholar] [CrossRef]
- Lanyi, J.K. Bacteriorhodopsin. Annu. Rev. Physiol. 2004, 66, 665–688. [Google Scholar] [CrossRef]
- Engelhard, C.; Chizhov, I.; Siebert, F.; Engelhard, M. Microbial Halorhodopsins: Light-Driven Chloride Pumps. Chem. Rev. 2018, 118, 10629–10645. [Google Scholar] [CrossRef]
- Inoue, K.; Ono, H.; Abe-Yoshizumi, R.; Yoshizawa, S.; Ito, H.; Kogure, K.; Kandori, H. A light-driven sodium ion pump in marine bacteria. Nat. Commun. 2013, 4, 1678. [Google Scholar] [CrossRef]
- Kwon, S.K.; Kim, B.K.; Song, J.Y.; Kwak, M.J.; Lee, C.H.; Yoon, J.H.; Oh, T.K.; Kim, J.F. Genomic makeup of the marine flavobacterium Nonlabens (Donghaeana) dokdonensis and identification of a novel class of rhodopsins. Genome Biol. Evol. 2013, 5, 187–199. [Google Scholar] [CrossRef]
- Balashov, S.P.; Imasheva, E.S.; Dioumaev, A.K.; Wang, J.M.; Jung, K.H.; Lanyi, J.K. Light-driven Na(+) pump from Gillisia limnaea: A high-affinity Na(+) binding site is formed transiently in the photocycle. Biochemistry 2014, 53, 7549–7561. [Google Scholar] [CrossRef]
- Yoshizawa, S.; Kumagai, Y.; Kim, H.; Ogura, Y.; Hayashi, T.; Iwasaki, W.; DeLong, E.F.; Kogure, K. Functional characterization of flavobacteria rhodopsins reveals a unique class of light-driven chloride pump in bacteria. Proc. Natl. Acad. Sci. USA 2014, 111, 6732–6737. [Google Scholar] [CrossRef]
- Bertsova, Y.V.; Bogachev, A.V.; Skulachev, V.P. Proteorhodopsin from Dokdonia sp. PRO95 is a light-driven Na+-pump. Biochemistry 2015, 80, 449–454. [Google Scholar] [CrossRef] [PubMed]
- Li, H.; Sineshchekov, O.A.; da Silva, G.F.; Spudich, J.L. In Vitro Demonstration of Dual Light-Driven Na(+)/H(+) Pumping by a Microbial Rhodopsin. Biophys. J. 2015, 109, 1446–1453. [Google Scholar] [CrossRef] [PubMed][Green Version]
- Tsunoda, S.P.; Prigge, M.; Abe-Yoshizumi, R.; Inoue, K.; Kozaki, Y.; Ishizuka, T.; Yawo, H.; Yizhar, O.; Kandori, H. Functional characterization of sodium-pumping rhodopsins with different pumping properties. PLoS ONE 2017, 12, e0179232. [Google Scholar] [CrossRef] [PubMed]
- Kato, H.E.; Inoue, K.; Abe-Yoshizumi, R.; Kato, Y.; Ono, H.; Konno, M.; Hososhima, S.; Ishizuka, T.; Hoque, M.R.; Kunitomo, H.; et al. Structural basis for Na(+) transport mechanism by a light-driven Na(+) pump. Nature 2015, 521, 48–53. [Google Scholar] [CrossRef] [PubMed]
- Gushchin, I.; Shevchenko, V.; Polovinkin, V.; Kovalev, K.; Alekseev, A.; Round, E.; Borshchevskiy, V.; Balandin, T.; Popov, A.; Gensch, T.; et al. Crystal structure of a light-driven sodium pump. Nat. Struct. Mol. Biol. 2015, 22, 390–395. [Google Scholar] [CrossRef] [PubMed]
- Beja, O.; Lanyi, J.K. Nature’s toolkit for microbial rhodopsin ion pumps. Proc. Natl. Acad. Sci. USA 2014, 111, 6538–6539. [Google Scholar] [CrossRef]
- Inoue, K.; Konno, M.; Abe-Yoshizumi, R.; Kandori, H. The Role of the NDQ Motif in Sodium-Pumping Rhodopsins. Angew. Chem. Int. Ed. Engl. 2015, 54, 11536–11539. [Google Scholar] [CrossRef]
- Ono, H.; Inoue, K.; Abe-Yoshizumi, R.; Kandori, H. FTIR spectroscopy of a light-driven compatible sodium ion-proton pumping rhodopsin at 77 K. J. Phys. Chem. B 2014, 118, 4784–4792. [Google Scholar] [CrossRef]
- Tahara, S.; Takeuchi, S.; Abe-Yoshizumi, R.; Inoue, K.; Ohtani, H.; Kandori, H.; Tahara, T. Ultrafast photoreaction dynamics of a light-driven sodium-ion-pumping retinal protein from Krokinobacter eikastus revealed by femtosecond time-resolved absorption spectroscopy. J. Phys. Chem. Lett. 2015, 6, 4481–4486. [Google Scholar] [CrossRef]
- Hontani, Y.; Inoue, K.; Kloz, M.; Kato, Y.; Kandori, H.; Kennis, J.T. The photochemistry of sodium ion pump rhodopsin observed by watermarked femto- to submillisecond stimulated Raman spectroscopy. Phys. Chem. Chem. Phys. 2016, 18, 24729–24736. [Google Scholar] [CrossRef]
- Tomida, S.; Ito, S.; Inoue, K.; Kandori, H. Hydrogen-bonding network at the cytoplasmic region of a light-driven sodium pump rhodopsin KR2. Biochim. Biophys. Acta Bioenerg. 2018, 1859, 684–691. [Google Scholar] [CrossRef] [PubMed]
- Kusochek, P.A.; Scherbinin, A.V.; Bochenkova, A.V. Insights into the Early-Time Excited-State Dynamics of Structurally Inhomogeneous Rhodopsin KR2. J. Phys. Chem. Lett. 2021, 12, 8664–8671. [Google Scholar] [CrossRef] [PubMed]
- Kato, T.; Tsukamoto, T.; Demura, M.; Kikukawa, T. Real-time identification of two substrate-binding intermediates for the light-driven sodium pump rhodopsin. J. Biol. Chem. 2021, 296, 100792. [Google Scholar] [CrossRef]
- Jakdetchai, O.; Eberhardt, P.; Asido, M.; Kaur, J.; Kriebel, C.N.; Mao, J.F.; Leeder, A.J.; Brown, L.J.; Brown, R.C.D.; Becker-Baldus, J.; et al. Probing the photointermediates of light-driven sodium ion pump KR2 by DNP-enhanced solid-state NMR. Sci. Adv. 2021, 7, 13. [Google Scholar] [CrossRef] [PubMed]
- Shigeta, A.; Ito, S.; Inoue, K.; Okitsu, T.; Wada, A.; Kandori, H.; Kawamura, I. Solid-State Nuclear Magnetic Resonance Structural Study of the Retinal-Binding Pocket in Sodium Ion Pump Rhodopsin. Biochemistry 2017, 56, 543–550. [Google Scholar] [CrossRef] [PubMed]
- Asido, M.; Eberhardt, P.; Kriebel, C.N.; Braun, M.; Glaubitz, C.; Wachtveitl, J. Time-resolved IR spectroscopy reveals mechanistic details of ion transport in the sodium pump Krokinobacter eikastus rhodopsin 2. Phys. Chem. Chem. Phys. 2019, 21, 4461–4471. [Google Scholar] [CrossRef]
- Tsujimura, M.; Ishikita, H. Identification of intermediate conformations in the photocycle of the light-driven sodium-pumping rhodopsin KR2. J. Biol. Chem. 2021, 296, 10. [Google Scholar] [CrossRef]
- Suomivuori, C.M.; Gamiz-Hernandez, A.P.; Sundholm, D.; Kaila, V.R.I. Energetics and dynamics of a light-driven sodium-pumping rhodopsin. Proc. Natl. Acad. Sci. USA 2017, 114, 7043–7048. [Google Scholar] [CrossRef]
- Kovalev, K.; Astashkin, R.; Gushchin, I.; Orekhov, P.; Volkov, D.; Zinovev, E.; Marin, E.; Rulev, M.; Alekseev, A.; Royant, A.; et al. Molecular mechanism of light-driven sodium pumping. Nat. Commun. 2020, 11, 2137. [Google Scholar] [CrossRef]
- Bogachev, A.V.; Bertsova, Y.V.; Verkhovskaya, M.L.; Mamedov, M.D.; Skulachev, V.P. Real-time kinetics of electrogenic Na+ transport by rhodopsin from the marine flavobacterium Dokdonia sp. PRO95. Sci. Rep. 2016, 6, 11. [Google Scholar] [CrossRef]
- Murabe, K.; Tsukamoto, T.; Aizawa, T.; Demura, M.; Kikukawa, T. Direct Detection of the Substrate Uptake and Release Reactions of the Light-Driven Sodium-Pump Rhodopsin. J. Am. Chem. Soc. 2020, 142, 16023–16030. [Google Scholar] [CrossRef] [PubMed]
- Skopintsev, P.; Ehrenberg, D.; Weinert, T.; James, D.; Kar, R.K.; Johnson, P.J.M.; Ozerov, D.; Furrer, A.; Martiel, I.; Dworkowski, F.; et al. Femtosecond-to-millisecond structural changes in a light-driven sodium pump. Nature 2020, 583, 314–318. [Google Scholar] [CrossRef] [PubMed]
- Kato, Y.; Inoue, K.; Kandori, H. Kinetic Analysis of H(+)-Na(+) Selectivity in a Light-Driven Na(+)-Pumping Rhodopsin. J. Phys. Chem. Lett. 2015, 6, 5111–5115. [Google Scholar] [CrossRef]
- Kandori, H. Biophysics of rhodopsins and optogenetics. Biophys. Rev. 2020, 12, 355–361. [Google Scholar] [CrossRef] [PubMed]
- Hoque, M.R.; Ishizuka, T.; Inoue, K.; Abe-Yoshizumi, R.; Igarashi, H.; Mishima, T.; Kandori, H.; Yawo, H. A Chimera Na+-Pump Rhodopsin as an Effective Optogenetic Silencer. PLoS ONE 2016, 11, e0166820. [Google Scholar] [CrossRef] [PubMed]
- Inoue, K. The Study and Application of Photoreceptive Membrane Protein, Rhodopsin. Bull. Chem. Soc. Jpn. 2016, 89, 1416–1424. [Google Scholar] [CrossRef]
- Grimm, C.; Silapetere, A.; Vogt, A.; Bernal Sierra, Y.A.; Hegemann, P. Electrical properties, substrate specificity and optogenetic potential of the engineered light-driven sodium pump eKR2. Sci. Rep. 2018, 8, 9316. [Google Scholar] [CrossRef]
- Hososhima, S.; Kandori, H.; Tsunoda, S.P. Ion transport activity and optogenetics capability of light-driven Na+-pump KR2. PLoS ONE 2021, 16, e0256728. [Google Scholar] [CrossRef]
- Konno, M.; Kato, Y.; Kato, H.E.; Inoue, K.; Nureki, O.; Kandori, H. Mutant of a Light-Driven Sodium Ion Pump Can Transport Cesium Ions. J. Phys. Chem. Lett. 2016, 7, 51–55. [Google Scholar] [CrossRef]
- Kovalev, K.; Polovinkin, V.; Gushchin, I.; Alekseev, A.; Shevchenko, V.; Borshchevskiy, V.; Astashkin, R.; Balandin, T.; Bratanov, D.; Vaganova, S.; et al. Structure and mechanisms of sodium-pumping KR2 rhodopsin. Sci. Adv. 2019, 5, eaav2671. [Google Scholar] [CrossRef]
- Fan, Y. Spectroscopic Studies of Novel Microbial Rhodopsins from Fungi and Bacteria. Doctoral Dissertation, The University of Guelph, Guelph, ON, Canada, 2011. [Google Scholar]
- Jung, K.H. New type of cation pumping microbial rhodopsins in marine bacteria. Abstr. Pap. Am. Chem. Soc. 2012, 244, 1. [Google Scholar]
- Chen, H.F.; Inoue, K.; Ono, H.; Abe-Yoshizumi, R.; Wada, A.; Kandori, H. Time-resolved FTIR study of light-driven sodium pump rhodopsins. Phys. Chem. Chem. Phys. 2018, 20, 17694–17704. [Google Scholar] [CrossRef] [PubMed]
- Zhao, H.; Ma, B.; Ji, L.; Li, L.; Wang, H.; Chen, D. Coexistence of light-driven Na(+) and H(+) transport in a microbial rhodopsin from Nonlabens dokdonensis. J. Photochem. Photobiol. B 2017, 172, 70–76. [Google Scholar] [CrossRef] [PubMed]
- Liu, S.Y. LIGHT-INDUCED CURRENTS FROM ORIENTED PURPLE MEMBRANE.1. CORRELATION OF THE MICROSECOND COMPONENT (B2) WITH THE L-M PHOTOCYCLE TRANSITION. Biophys. J. 1990, 57, 943–950. [Google Scholar] [CrossRef] [PubMed]
- Wang, J.P.; Yoo, S.K.; Song, L.; ElSayed, M.A. Molecular mechanism of the differential photoelectric response of bacteriorhodopsin. J. Phys. Chem. B 1997, 101, 3420–3423. [Google Scholar] [CrossRef]
- Robertson, B.; Lukashev, E.P. RAPID PH CHANGE DUE TO BACTERIORHODOPSIN MEASURED WITH A TIN-OXIDE ELECTRODE. Biophys. J. 1995, 68, 1507–1517. [Google Scholar] [CrossRef]
- Chen, X.R.; Huang, Y.C.; Yi, H.P.; Yang, C.S. A Unique Light-Driven Proton Transportation Signal in Halorhodopsin from Natronomonas pharaonis. Biophys. J. 2016, 111, 2600–2607. [Google Scholar] [CrossRef][Green Version]
- Caldeira, K.; Wickett, M.E. Anthropogenic carbon and ocean pH. Nature 2003, 425, 365. [Google Scholar] [CrossRef]
- Gouaux, E.; Mackinnon, R. Principles of selective ion transport in channels and pumps. Science 2005, 310, 1461–1465. [Google Scholar] [CrossRef]
- Dudev, T.; Lim, C. Determinants of K+ vs. Na+ selectivity in potassium channels. J. Am. Chem. Soc. 2009, 131, 8092–8101. [Google Scholar] [CrossRef]
- Kandori, H.; Inoue, K.; Tsunoda, S.P. Light-Driven Sodium-Pumping Rhodopsin: A New Concept of Active Transport. Chem. Rev. 2018, 118, 10646–10658. [Google Scholar] [CrossRef] [PubMed]
- Vogt, A.; Silapetere, A.; Grimm, C.; Heiser, F.; Ancina Moller, M.; Hegemann, P. Engineered Passive Potassium Conductance in the KR2 Sodium Pump. Biophys. J. 2019, 116, 1941–1951. [Google Scholar] [CrossRef] [PubMed]
- Miyauchi, S.; Kim, S.J.; Lee, W.; Sugiyama, Y. Consideration of albumin-mediated hepatic uptake for highly protein-bound anionic drugs: Bridging the gap of hepatic uptake clearance between in vitro and in vivo. Pharmacol. Ther. 2022, 229, 107938. [Google Scholar] [CrossRef]
- Schnapp, G.; Klein, T.; Hoevels, Y.; Bakker, R.A.; Nar, H. Comparative Analysis of Binding Kinetics and Thermodynamics of Dipeptidyl Peptidase-4 Inhibitors and Their Relationship to Structure. J. Med. Chem. 2016, 59, 7466–7477. [Google Scholar] [CrossRef]
- Gray, R.D.; Chaires, J.B. Kinetics and mechanism of K+- and Na+-induced folding of models of human telomeric DNA into G-quadruplex structures. Nucleic Acids Res. 2008, 36, 4191–4203. [Google Scholar] [CrossRef]
- Grytsyk, N.; Cianfarani, D.; Crégut, O.; Richert, L.; Boudier, C.; Humbert, N.; Didier, P.; Mély, Y.; Léonard, J. Kinetics of protein-assisted nucleic acid interconversion monitored by transient time resolved fluorescence in microfluidic droplets. Nucleic Acids Res. 2021, 49, e111. [Google Scholar] [CrossRef] [PubMed]
- Lim, A.E.; Lam, Y.C. Electroosmotic Flow Hysteresis for Fluids with Dissimilar pH and Ionic Species. Micromachines 2021, 12, 1031. [Google Scholar] [CrossRef]
- Lim, A.E.; Goh, S. Effect of Microchannel Diameter on Electroosmotic Flow Hysteresis. Energies 2023, 16, 2154. [Google Scholar] [CrossRef]
- Wang, J.P.; Song, L.; Yoo, S.K.; ElSayed, M.A. A comparison of the photoelectric current responses resulting from the proton pumping process of bacteriorhodopsin under pulsed and CW laser excitations. J. Phys. Chem. B 1997, 101, 10599–10604. [Google Scholar] [CrossRef]








| [KCl], mM | τ1, s (K+-Dependent) | τ2, s (K+-Independent) |
|---|---|---|
| 0 * | - | 2.08 ± 0.04 |
| 100 | 0.92 ± 0.14 | 2.39 ± 0.44 |
| 500 | 0.60 ± 0.08 | 2.02 ± 0.17 |
| 1000 | 0.35 ± 0.05 | 1.99 ± 0.09 |
Disclaimer/Publisher’s Note: The statements, opinions and data contained in all publications are solely those of the individual author(s) and contributor(s) and not of MDPI and/or the editor(s). MDPI and/or the editor(s) disclaim responsibility for any injury to people or property resulting from any ideas, methods, instructions or products referred to in the content. |
© 2023 by the authors. Licensee MDPI, Basel, Switzerland. This article is an open access article distributed under the terms and conditions of the Creative Commons Attribution (CC BY) license (https://creativecommons.org/licenses/by/4.0/).
Share and Cite
Xu, J.; Yang, Q.; Ma, B.; Li, L.; Kong, F.; Xiao, L.; Chen, D. K+-Dependent Photocycle and Photocurrent Reveal the Uptake of K+ in Light-Driven Sodium Pump. Int. J. Mol. Sci. 2023, 24, 14414. https://doi.org/10.3390/ijms241914414
Xu J, Yang Q, Ma B, Li L, Kong F, Xiao L, Chen D. K+-Dependent Photocycle and Photocurrent Reveal the Uptake of K+ in Light-Driven Sodium Pump. International Journal of Molecular Sciences. 2023; 24(19):14414. https://doi.org/10.3390/ijms241914414
Chicago/Turabian StyleXu, Jikang, Qifan Yang, Baofu Ma, Longjie Li, Fei Kong, Lan Xiao, and Deliang Chen. 2023. "K+-Dependent Photocycle and Photocurrent Reveal the Uptake of K+ in Light-Driven Sodium Pump" International Journal of Molecular Sciences 24, no. 19: 14414. https://doi.org/10.3390/ijms241914414
APA StyleXu, J., Yang, Q., Ma, B., Li, L., Kong, F., Xiao, L., & Chen, D. (2023). K+-Dependent Photocycle and Photocurrent Reveal the Uptake of K+ in Light-Driven Sodium Pump. International Journal of Molecular Sciences, 24(19), 14414. https://doi.org/10.3390/ijms241914414

