Toward the Improvement of Maleic Anhydride Functionalization in Polyhydroxybutyrate (PHB): Effect of Styrene Monomer and Sn(Oct)2 Catalyst
Abstract
:1. Introduction
2. Results and Discussion
2.1. Torque Rheometry
2.2. Grafting Degree of Maleic Anhydride
2.3. Fourier Transform Infrared Spectroscopy (FTIR)
2.4. Contact Angle
2.5. X-ray Diffraction (XRD)
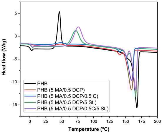
2.6. Differential Scanning Calorimetry (DSC)
2.7. Thermogravimetry (TG)
3. Materials and Methods
3.1. Materials
3.2. Chemical Modification of PHB
3.3. Material Characterizations
4. Conclusions
Author Contributions
Funding
Institutional Review Board Statement
Informed Consent Statement
Data Availability Statement
Conflicts of Interest
References
- Cobo, F.N.; Santana, H.; Carvalho, G.M.; Yamashita, F. Study of the miscibility of poly (lactic acid)/poly (butylene adipate-co-terephthalate) blends prepared by solvent-casting method. Matéria 2021, 26, e12976. [Google Scholar] [CrossRef]
- Wang, S.; Liu, Q.; Li, L.; Urban, M.W. Recent Advances in Stimuli-Responsive Commodity Polymers. Macromol. Rapid Commun. 2021, 42, 2100054. [Google Scholar] [CrossRef]
- Jehanno, C.; Alty, J.W.; Roosen, M.; Meester, S.; Dove, A.P.; Chen, E.Y.X.; Leibfarth, F.A.; Sardon, H. Critical advances and future opportunities in upcycling commodity polymers. Nature 2022, 603, 803–814. [Google Scholar] [CrossRef] [PubMed]
- Vieyra, H.; Romero, J.M.M.; Nájera, J.D.C.; Díaz, A.S. Engineering, Recyclable, and Biodegradable Plastics in the Automotive Industry: A Review. Polymers 2022, 14, 3412. [Google Scholar] [CrossRef] [PubMed]
- Ekinci, A.; Oksuz, M.; Ates, M.; Aydin, I. Thermal and Mechanical Properties of Polypropylene/Post-consumer Poly (ethylene terephthalate) Blends: Bottle-to-Bottle recycling. J. Polym. Res. 2022, 29, 433. [Google Scholar] [CrossRef]
- Meereboer, K.; Misra, M.; Mohanty, A. Review of recent advances in the biodegradability of polyhydroxyalkanoate (PHA) bioplastics and their composites. Green Chem. 2020, 22, 5519–5558. [Google Scholar] [CrossRef]
- Rodgers, K.; Mayes, W.; Santoro, O.; Redshaw, C.; Mccumskay, R.; Parsons, D. Comparative assessment of marine weathering of ROP-derived biopolymers against conventional plastics. Mar. Pollut. Bull. 2021, 167, 112272. [Google Scholar] [CrossRef]
- Sharma, S.; Sudhakara, P.; Singh, J.; Llyas, R.; Asyraf, M.; Razman, M. Critical Review of Biodegradable and Bioactive Polymer Composites for Bone Tissue Engineering and Drug Delivery Applications. Polymers 2021, 13, 2623. [Google Scholar] [CrossRef]
- Zhu, Y.; Romain, C.; Williams, C. Sustainable polymers from renewable resources. Nature 2016, 540, 354–362. [Google Scholar] [CrossRef]
- Taib, N.A.A.B.; Rahman, M.R.; Huda, D.; Kuok, K.K.; Hamdan, S.; Bakri, M.K.B.; Julaihi, M.R.M.B.; Khan, A. A review on poly lactic acid (PLA) as a biodegradable polymer. Polym. Bull. 2022, 80, 1179–1213. [Google Scholar] [CrossRef]
- Celebi, H.; Llgar, M.; Seyhan, A.T. Evaluation of the effect of isocyanate modification on the thermal and rheological properties of poly(ε-caprolactone)/cellulose composites. Polym. Bull. 2022, 79, 4941–4955. [Google Scholar] [CrossRef]
- Aydemir, D.; Gardner, D.J. Biopolymer nanocomposites of polyhydroxybutyrate and cellulose nanofibrils: Effects of cellulose nanofibril loading levels. J. Compos. Mater. 2022, 56, 1175–1190. [Google Scholar] [CrossRef]
- Campo, A.S.M.; Ortíz, J.R.R.; Fonseca, A.A.P. Influence of agro-industrial wastes over the abiotic and composting degradation of polylactic acid biocomposites. J. Compos. Mater. 2022, 56, 43–56. [Google Scholar] [CrossRef]
- Luna, C.B.B.; Filho, E.A.S.; Siqueira, D.D.; Souza, D.D.; Wellen, R.M.R.; Araújo, E.M. Jatobá wood flour: An alternative for the production of ecological and sustainable PCL biocomposites. J. Compos. Mater. 2022, 56, 3835–3850. [Google Scholar] [CrossRef]
- Brdlik, P.; Boruvka, M.; Behalek, L.; Lenfeld, P. Biodegradation of Poly(Lactic Acid) Biocomposites under Controlled Composting Conditions and Freshwater Biotope. Polymers 2021, 13, 594. [Google Scholar] [CrossRef]
- Ortíz, J.R.R.; Campo, A.S.M.; Blackaller, J.A.; López, M.E.G.; Fonseca, A.A.P. Valorization of Sugarcane Straw for the Development of Sustainable Biopolymer-Based Composites. Polymers 2021, 13, 3335. [Google Scholar] [CrossRef]
- Fonseca, A.A.P.; Carmona, V.S.H.; García, Y.G.; Campo, A.S.M.; López, M.E.G.; Arreola, D.E.; Ortíz, J.R.R. Influence of the blending method over the thermal and mechanical properties of biodegradable polylactic acid/polyhydroxybutyrate blends and their wood biocomposites. Polym. Adv. Technol. 2021, 32, 3483–3494. [Google Scholar] [CrossRef]
- Rahman, M.Z.; Rahman, M.; Mahbub, T.; Ashiquzzaman, M.; Sagadevan, S.; Hoque, M.E. Advanced biopolymers for automobile and aviation engineering applications. J. Polym. Res. 2023, 30, 106. [Google Scholar] [CrossRef]
- Mencik, P.; Prikryl, R.; Krobot, S.; Melcova, V.; Kontarova, S.; Plavec, R.; Bockaj, J.; Horvath, V.; Alexy, P. Evaluation of the Properties of PHB Composite Filled with Kaolin Particles for 3D Printing Applications Using the Design of Experiment. Int. J. Mol. Sci. 2022, 23, 14409. [Google Scholar] [CrossRef]
- Casarin, S.A.; Agnelli, J.A.M.; Malmonge, S.M.; Rosário, F. Biodegradable PHB/Copolyester Blends—Biodegradation in Soil. Polímeros 2013, 23, 115–122. [Google Scholar] [CrossRef]
- Machado, M.L.C.; Pereira, N.C.; Miranda, L.F.; Terence, M.C.; Pradella, J.G.C. Study of Mechanical and Thermal Properties of the Polymer Poly-3-Hydroxybutyrate (PHB) and PHB/Wood Flour Composites. Polímeros 2010, 20, 65–71. [Google Scholar] [CrossRef]
- Faria, A.U.; Franchetti, S.M. Biodegradation of Polypropylene (PP), Poly(3-hydroxybutyrate) (PHB) Films and PP/PHB Blend by Microorganisms from Atibaia River. Polímeros 2010, 20, 141–147. [Google Scholar] [CrossRef]
- Rigolin, T.R.; Costa, L.C.; Bettini, S.H.P. Chemically modified poly(lactic acid): Structural approach employing two distinct monomers. J. Polym. Res. 2021, 28, 144. [Google Scholar] [CrossRef]
- Luo, S.H.; Xiao, Y.; Lin, J.Y.; Chen, Z.H.; Lin, S.T.; Wang, Z.Y. Preparation, characterization and application of maleic anhydride-modified polylactic acid macromonomer based on direct melt polymerization. J. Mater. Today Chem. 2022, 25, 100986. [Google Scholar] [CrossRef]
- Rigolin, T.R.; Costa, L.C.; Venâncio, T.; Perlatti, B.; Bettini, S.H.P. The effect of different peroxides on physical and chemical properties of poly(lactic acid) modified with maleic anhydride. Polymer 2019, 179, 121669. [Google Scholar] [CrossRef]
- Siqueira, D.D.; Luna, C.B.B.; Morais, D.D.S.; Araújo, E.M.; França, D.C.; Wellen, R.M.R. Efeito das variáveis reacionais na síntese de um polímero biodegradável funcionalizado: PCL-g-MA. Matéria 2018, 23, e12252. [Google Scholar] [CrossRef]
- John, J.; Tang, J.; Yang, Z.; Bhattacharya, M. Synthesis and characterization of anhydride-functional polycaprolactone. J. Polym. Sci. Part A Polym. Chem. 1997, 35, 1139–1148. [Google Scholar] [CrossRef]
- Ye, H.; Yang, D.; Hu, P.; Zhang, F.; Qi, Q. Radiation-Induced Graft Polymerization of Maleic Anhydride onto Poly-β-Hydroxybutyrate. Key Eng. Mater. 2005, 288–289, 477–480. [Google Scholar] [CrossRef]
- Hong, S.G.; Lin, Y.C.; Lin, C.H. Improvement of the thermal stability of polyhydroxybutyrates by grafting with maleic anhydride by different methods: Differential scanning calorimetry, thermogravimetric analysis, and gel permeation chromatography. J. Appl. Polym. Sci. 2008, 110, 2718–2726. [Google Scholar] [CrossRef]
- Chen, C.; Peng, S.; Fei, B.; Zhuang, Y.; Dong, L.; Feng, Z.; Chen, S.; Xia, H. Synthesis and characterization of maleated poly(3-hydroxybutyrate). J. Appl. Polym. Sci. 2003, 88, 659–668. [Google Scholar] [CrossRef]
- Verginio GE, A.; Montanheiro TL, A.; Montagna, L.S.; Marini, J.; Passador, F.R. Effectiveness of the preparation of maleic anhydride grafted poly (lactic acid) by reactive processing for poly (lactic acid)/carbon nanotubes nanocomposites. J. Appl. Polym. Sci. 2021, 138, 50087. [Google Scholar] [CrossRef]
- Wongthong, P.; Nakason, C.; Pan, Q.; Rempel, G.L.; Kiatkamjornwong, S. Styrene-assisted grafting of maleic anhydride onto deproteinized natural rubber. Eur. Polym. J. 2014, 59, 144–155. [Google Scholar] [CrossRef]
- Hu, G.H.; Flat, J.J.; Lambla, M. Exchange and free radical grafting reactions in reactive extrusion. Makromol. Chemie. Macromol. Symp. 1993, 75, 137–157. [Google Scholar] [CrossRef]
- Saelao, J.; Phinyocheep, P. Influence of styrene on grafting efficiency of maleic anhydride onto natural rubber. J. Appl. Polym. Sci. 2005, 95, 28–38. [Google Scholar] [CrossRef]
- Luna, C.B.B.; Ferreira, E.S.B.; Siqueira, D.D.; Filho, E.A.S.; Araújo, E.M. Additivation of the ethylene–vinyl acetate copolymer (EVA) with maleic anhydride (MA) and dicumyl peroxide (DCP): The impact of styrene monomer on cross-linking and functionalization. Polym. Bull. 2022, 79, 7323–7346. [Google Scholar] [CrossRef]
- Alves, T.A.; Neto, J.E.S.; Silva, S.M.L.; Carvalho, L.H.; Canedo, E.L. Process simulation of laboratory internal mixers. Polym. Test. 2016, 50, 94–100. [Google Scholar] [CrossRef]
- Andrade, D.S.C.; Canedo, E.L.; Carvalho, L.H.; Barbosa, R.; Alves, T.S. Characterization of Poly(Ethylene Terephthalate) by Torque Rheometry. Mater. Res. 2021, 24, e20200238. [Google Scholar] [CrossRef]
- Brito, G.F.; Xin, J.; Zhang, P.; Mélo, T.J.A.; Zhang, J. Enhanced melt free radical grafting efficiency of polyethylene using a novel redox initiation method. RSC Adv. 2014, 4, 26425–26433. [Google Scholar] [CrossRef]
- Manaf, O.; Sheeja; Jowhar, A.; Sujith, A. Effect of unsaturation on physicochemical properties of maleic anhydride–grafted acrylonitrile butadiene styrene terpolymer. J. Elastomers Plast. 2017, 50, 520–536. [Google Scholar] [CrossRef]
- Utracki, L. Compatibilization of Polymer Blends. Can. J. Chem. Eng. 2002, 80, 1008–1016. [Google Scholar] [CrossRef]
- Torres, N.; Robin, J.J.; Boutevin, B. Functionalization of high-density polyethylene in the molten state by glycidyl methacrylate grafting. J. Appl. Polym. Sci. 2001, 81, 581–590. [Google Scholar] [CrossRef]
- Sui, X.; Xie, X.M. Creating super-tough and strong PA6/ABS blends using multi-phase compatibilizers. Chin. Chem. Lett. 2019, 30, 149–152. [Google Scholar] [CrossRef]
- Lima, J.C.C.; Araújo, J.P.; Agrawal, P.; Mélo, T.J.A. Efeito do teor do copolímero SEBS no comportamento reológico da blenda PLA/SEBS. Rev. Eletrônica De Mater. E Process. 2016, 11, 10–17. [Google Scholar]
- Li, Y.; Duan, X.; Nie, C.; Jia, Y.; Zheng, H. The effect of polymer molecular weights on the electrical, rheological, and vapor sensing behavior of polycarbonate/multi-walled carbon nanotube nanocomposites. Polym. Compos. 2022, 43, 5095–5106. [Google Scholar] [CrossRef]
- Chen, Z.; Fang, P.; Wang, H.; Wang, S. Effect of the graft yield of maleic anhydride on the rheological behaviors, mechanical properties, thermal properties, and free volumes of maleic anhydride grafted high-density polyethylene. J. Appl. Polym. Sci. 2008, 107, 985–992. [Google Scholar] [CrossRef]
- Ma, P.; Cai, X.; Lou, X.; Dong, W.; Chen, M.; Lemstra, P.J. Styrene-assisted melt free-radical grafting of maleic anhydride onto poly(β-hydroxybutyrate). Polym. Degrad. Stab. 2014, 100, 93–100. [Google Scholar] [CrossRef]
- Liu, J.; Liu, J. Characterization of maleic anhydride/styrene melt-grafted random copolypropylene and its impact on crystallization and mechanical properties of isotactic polypropylene. Polym. Bull. 2019, 76, 4369–4387. [Google Scholar] [CrossRef]
- Sun, Y.J.; Hu, G.H.; Lambla, M. Melt free-radical grafting of glycidyl methacrylate onto polypropylene. Die Angew. Makromol. Chem. 1995, 229, 1–13. [Google Scholar] [CrossRef]
- Olongal, M.; Nainar, M.A.M.; Marakkttupurathe, M.; Asharaf, S.M.V.; Athiyanathil, S. Effect of poly(ethylene-co-vinyl acetate) additive on mechanical properties of maleic anhydride-grafted acrylonitrile butadiene styrene for coating applications. J. Vinyl Addit. Technol. 2019, 25, 287–295. [Google Scholar] [CrossRef]
- Olongal, M.; Raphael, L.R.; Raghavan, P.; Nainar, M.A.M.; Athiyanathil, S. Maleic anhydride grafted acrylonitrile butadiene styrene (ABS)/zinc oxide nanocomposite: An anti-microbial material. J. Polym. Res. 2021, 28, 284. [Google Scholar] [CrossRef]
- Conti, D.S.; Yoshida, M.I.; Pezzin, S.H.; Coelho, L.A.F. Miscibility and crystallinity of poly(3-hydroxybutyrate)/poly(3-hydroxybutyrate-co-3-hydroxyvalerate) blends. Thermochim. Acta 2006, 450, 61–66. [Google Scholar] [CrossRef]
- Sato, H.; Dybal, J.; Murakami, R.; Noda, I.; Ozaki, Y. Infrared and Raman spectroscopy and quantum chemistry calculation studies of C–H⋯O hydrogen bondings and thermal behavior of biodegradable polyhydroxyalkanoate. J. Mol. Struct. 2005, 744, 35–46. [Google Scholar] [CrossRef]
- Cuellar, M.R.L.; Flores, J.A.; Rodríguez, J.N.G.; Guevara, F.P. Production of polyhydroxyalkanoates (PHAs) with canola oil as carbon source. Int. J. Biol. Macromol. 2011, 48, 74–80. [Google Scholar] [CrossRef] [PubMed]
- Aguiar, L.O.; Stachewski, N.; Garcia, M.C.F.; Kurek, A.P.; Schneider, A.L.S.; Mouga, D.M.D.S.; Pezzin, A.P.T. Evaluation of the properties of the polymer polyhydroxybutyrate (PHB) extracted from Zophobas morio Fabricius Worms. Matéria 2021, 26, e12938. [Google Scholar] [CrossRef]
- Furukawa, T.; Sato, H.; Murakami, R.; Zhang, J.; Duan, Y.X.; Noda, I.; Ochiai, S.; Ozaki, Y. Structure, Dispersibility, and Crystallinity of Poly(hydroxybutyrate)/Poly(l-lactic acid) Blends Studied by FT-IR Microspectroscopy and Differential Scanning Calorimetry. Macromolecules 2005, 38, 6445–6454. [Google Scholar] [CrossRef]
- Clark, D.C.; Baker, W.E.; Whitney, R.A. Peroxide-initiated comonomer grafting of styrene and maleic anhydride onto polyethylene: Effect of polyethylene microstructure. J. Appl. Polym. Sci. 2001, 79, 96–107. [Google Scholar] [CrossRef]
- Samay, G.; Nagy, T.; White, J.L. Grafting maleic anhydride and comonomers onto polyethylene. J. Appl. Polym. Sci. 1995, 56, 1423–1433. [Google Scholar] [CrossRef]
- Bettini, S.H.P.; Agnelli, J.A.M. Grafting of maleic anhydride onto polypropylene by reactive extrusion. J. Appl. Polym. Sci. 2002, 85, 2706–2717. [Google Scholar] [CrossRef]
- Odian, G. Principles of Polymerization, 4th ed.; Wiley Library: Hoboken, NJ, USA, 2004; pp. 1–812. [Google Scholar] [CrossRef]
- Li, Y.; Xie, X.M.; Guo, B.H. Study on styrene-assisted melt free-radical grafting of maleic anhydride onto polypropylene. Polymer 2001, 42, 3419–3425. [Google Scholar] [CrossRef]
- Montanheiro, T.L.A.; Passador, F.R.; Oliveira, M.P.; Durán, N.; Lemes, A.P. Preparation and Characterization of Maleic Anhydride Grafted Poly(Hydroxybutirate-CO-Hydroxyvalerate)—PHBV-g-MA. Mater. Res. 2016, 19, 229–235. [Google Scholar] [CrossRef]
- Ma, P.; Jiang, L.; Ye, T.; Dong, W.; Chen, M. Melt Free-Radical Grafting of Maleic Anhydride onto Biodegradable Poly(lactic acid) by Using Styrene as A Comonomer. Polymers 2014, 6, 1528–1543. [Google Scholar] [CrossRef]
- Sousa, W.J.B.; Barbosa, R.C.; Fook, M.V.L.; Filgueira, P.T.D.; Tomaz, A.F. Membranes polyhydroxybutyrate with hydroxyapatite for use as biomaterials. Matéria 2017, 22, e11902. [Google Scholar] [CrossRef]
- Zhao, Y.; Ma, C.; Cheng, S.; Xu, W.; Du, Y.; Bao, Y.; Xiao, Z. Maleic anhydride-grafted isotactic polybutene-1 and modified polyamide 6. Polymers 2018, 10, 872. [Google Scholar] [CrossRef]
- Sun, X.; Guo, L.; Sato, H.; Ozaki, Y.; Yan, S.; Takahashi, I. A study on the crystallization behavior of poly(β-hydroxybutyrate) thin films on Si wafers. Polymer 2011, 52, 3865–3870. [Google Scholar] [CrossRef]
- Anbukarasu, P.; Sauvageau, D.; Elias, A. Tuning the properties of polyhydroxybutyrate films using acetic acid via solvent casting. Sci. Rep. 2016, 5, 17884. [Google Scholar] [CrossRef]
- Skrbic, Z.; Divjakovic, V. Temperature influence on changes of parameters of the unit cell of biopolymer PHB. Polymer 1996, 37, 505–507. [Google Scholar] [CrossRef]
- Mottin, A.C.; Ayres, E.; Oréfice, R.L.; Câmara, J.J.D. What Changes in Poly(3-Hydroxybutyrate) (PHB) When Processed as Electrospun Nanofibers or Thermo-Compression Molded Film? Mater. Res. 2016, 19, 57–66. [Google Scholar] [CrossRef]
- Wang, C.; Hsu, C.H.; Hwang, I.H. Scaling laws and internal structure for characterizing electro spun poly[(r)-3-hydroxybutyrate] fibers. Polymer 2008, 49, 4188–4195. [Google Scholar] [CrossRef]
- Laycock, B.; Halley, P.; Pratt, S.; Werker, A.; Lant, P. The chemomechanical properties of microbial polyhydroxyalkanoates. Prog. Polym. Sci. 2013, 39, 536–583. [Google Scholar] [CrossRef]
- Byrdson, J.A. Plastics Materials, 6th ed.; British Library Cataloguing in Publication Data: London, UK, 1995. [Google Scholar]
- Wellen, R.M.R.; Rabello, M.S. The kinetics of isothermal cold crystallization and tensile properties of poly(ethylene terephthalate). J. Mater. Sci. 2005, 40, 6099–6104. [Google Scholar] [CrossRef]
- Nascimento, U.A.; Timóteo, G.A.V.; Rabello, M.S. The Efect of Polyisobutenes in Mechanical and Physical Properties of Polypropylene. Polímeros 2013, 23, 257–261. [Google Scholar] [CrossRef]
- Canedo, E.L. Processamento de Polímeros No Misturador Interno de Laboratório. 2ª Edição; PPGCEMat-UFCG: Campina Grande, Brazil, 2017. [Google Scholar] [CrossRef]
- Agrawal, P.; Silva, M.H.A.; Cavalcanti, S.N.; Freitas, D.M.G.; Araújo, J.P.; Oliveira, A.D.B.; Mélo, T.J.A. Rheological properties of high-density polyethylene/linear low-density polyethylene and high-density polyethylene/low-density polyethylene blends. Polym. Bull. 2022, 79, 2321–2343. [Google Scholar] [CrossRef]
- Chen, C.; Peng, S.W.; Fei, B.; An, Y.X.; Zhuang, Y.G.; Dong, L.S.; Feng, Z.L.; Chen, S.; Xia, H. Study on the properties of poly(β-hydroxybutyrate) grafted with maleic anhydride. Acta Polym. Sin. 2001, 4, 450–454. [Google Scholar]
- Luna, C.B.B.; Siqueira, D.D.; Araújo, E.M.; Wellen, R.M.R.; Mélo, T.J.A. Approaches on the acrylonitrile-butadiene-styrene functionalization through maleic anhydride and dicumyl peroxide. J. Vinyl Addit. Technol. 2020, 27, 308–318. [Google Scholar] [CrossRef]
- Morais, D.D.S.; Siqueira, D.D.; Luna, C.B.B.; Araújo, E.M.; Bezerra, E.B.; Wellen, R.M.R. Grafting maleic anhydride onto polycaprolactone: Influence of processing. Mater. Res. Express 2019, 6, 055315. [Google Scholar] [CrossRef]
- Bettini, S.H.P.; Filho, A.C.R. Styrene-assisted grafting of maleic anhydride onto polypropylene by reactive processing. J. Appl. Polym. Sci. 2008, 107, 1430–1438. [Google Scholar] [CrossRef]












| Samples * | Average Torque (N.m) | η (Pa.s) ** |
|---|---|---|
| PHB | 2.1 ± 0.04 | 41.7 |
| PHB-g-MA (5 MA/0.5 DCP) | 1.2 ± 0.02 | 22.3 |
| PHB-g-MA (5 MA/0.5 DCP/5 St.) | 2.6 ±0.03 | 52.9 |
| PHB-g-MA (5 MA/0.5 DCP/0.5 C) | 1.3 ± 0.01 | 25.1 |
| PHB-g-MA (5 MA/0.5 DCP/0.5 C/5 St.) | 2.3 ± 0.04 | 47.3 |
| Samples | Crystallinity (%) |
|---|---|
| PHB | 58.2 |
| PHB-g-MA (5 MA/0.5 DCP) | 55.8 |
| PHB-g-MA (5 MA/0.5 DCP/5 St.) | 51.6 |
| PHB-g-MA (5 MA/0.5 DCP/0.5 C) | 53.9 |
| PHB-g-MA (5 MA/0.5 DCP/0.5 C/5 St.) | 48.5 |
| Samples | Tg (°C) | Tcc (°C) | Tm (°C) |
|---|---|---|---|
| PHB | 0.7 | 46.3 | 167.6 |
| PHB-g-MA (5 MA/0.5 DCP) | 0.6 | 47.6 | 159.3 |
| PHB-g-MA (5 MA/0.5 DCP/5 St.) | 1.6 | 71.8 | 165.9 |
| PHB-g-MA (5 MA/0.5 DCP/0.5 C) | −1.1 | 48.2 | 159.7 |
| PHB-g-MA (5 MA/0.5 DCP/0.5 C/5 St.) | 1.4 | 75.8 | 165.3 |
| Samples | T0.1 (°C) | T0.5 (°C) |
|---|---|---|
| PHB | 256.3 | 266.7 |
| PHB-g-MA (5 MA/0.5 DCP) | 276.7 | 286.6 |
| PHB-g-MA (5 MA/0.5 DCP/5 St.) | 276.7 | 285.5 |
| PHB-g-MA (5 MA/0.5 DCP/0.5 C) | 273.6 | 286.7 |
| PHB-g-MA (5 MA/0.5 DCP/0.5 C/5 St.) | 276.3 | 288.8 |
| Sample | PHB (% Weight) | MA (phr) | DCP (phr) | St. (phr) | Sn(Oct)2 (phr) |
|---|---|---|---|---|---|
| PHB | 100 | - | - | - | - |
| PHB (MA/DCP) | 100 | 5 | 0.5 | - | - |
| PHB (MA/DCP/St.) | 100 | 5 | 0.5 | 5 | - |
| PHB (MA/DCP/C) | 100 | 5 | 0.5 | - | 0.5 |
| PHB (MA/DCP/St./C) | 100 | 5 | 0.5 | 5 | 0.5 |
Disclaimer/Publisher’s Note: The statements, opinions and data contained in all publications are solely those of the individual author(s) and contributor(s) and not of MDPI and/or the editor(s). MDPI and/or the editor(s) disclaim responsibility for any injury to people or property resulting from any ideas, methods, instructions or products referred to in the content. |
© 2023 by the authors. Licensee MDPI, Basel, Switzerland. This article is an open access article distributed under the terms and conditions of the Creative Commons Attribution (CC BY) license (https://creativecommons.org/licenses/by/4.0/).
Share and Cite
de Souza, M.F.; Luna, C.B.B.; Siqueira, D.D.; Bezerra, E.d.O.T.; de Cerqueira, G.R.; Araújo, E.M.; Wellen, R.M.R. Toward the Improvement of Maleic Anhydride Functionalization in Polyhydroxybutyrate (PHB): Effect of Styrene Monomer and Sn(Oct)2 Catalyst. Int. J. Mol. Sci. 2023, 24, 14409. https://doi.org/10.3390/ijms241914409
de Souza MF, Luna CBB, Siqueira DD, Bezerra EdOT, de Cerqueira GR, Araújo EM, Wellen RMR. Toward the Improvement of Maleic Anhydride Functionalization in Polyhydroxybutyrate (PHB): Effect of Styrene Monomer and Sn(Oct)2 Catalyst. International Journal of Molecular Sciences. 2023; 24(19):14409. https://doi.org/10.3390/ijms241914409
Chicago/Turabian Stylede Souza, Matheus Ferreira, Carlos Bruno Barreto Luna, Danilo Diniz Siqueira, Ewerton de Oliveira Teotônio Bezerra, Grazielle Rozendo de Cerqueira, Edcleide Maria Araújo, and Renate Maria Ramos Wellen. 2023. "Toward the Improvement of Maleic Anhydride Functionalization in Polyhydroxybutyrate (PHB): Effect of Styrene Monomer and Sn(Oct)2 Catalyst" International Journal of Molecular Sciences 24, no. 19: 14409. https://doi.org/10.3390/ijms241914409
APA Stylede Souza, M. F., Luna, C. B. B., Siqueira, D. D., Bezerra, E. d. O. T., de Cerqueira, G. R., Araújo, E. M., & Wellen, R. M. R. (2023). Toward the Improvement of Maleic Anhydride Functionalization in Polyhydroxybutyrate (PHB): Effect of Styrene Monomer and Sn(Oct)2 Catalyst. International Journal of Molecular Sciences, 24(19), 14409. https://doi.org/10.3390/ijms241914409

