Development of Stable Amino-Pyrimidine–Curcumin Analogs: Synthesis, Equilibria in Solution, and Potential Anti-Proliferative Activity
Abstract
:1. Introduction
2. Results
2.1. Synthesis
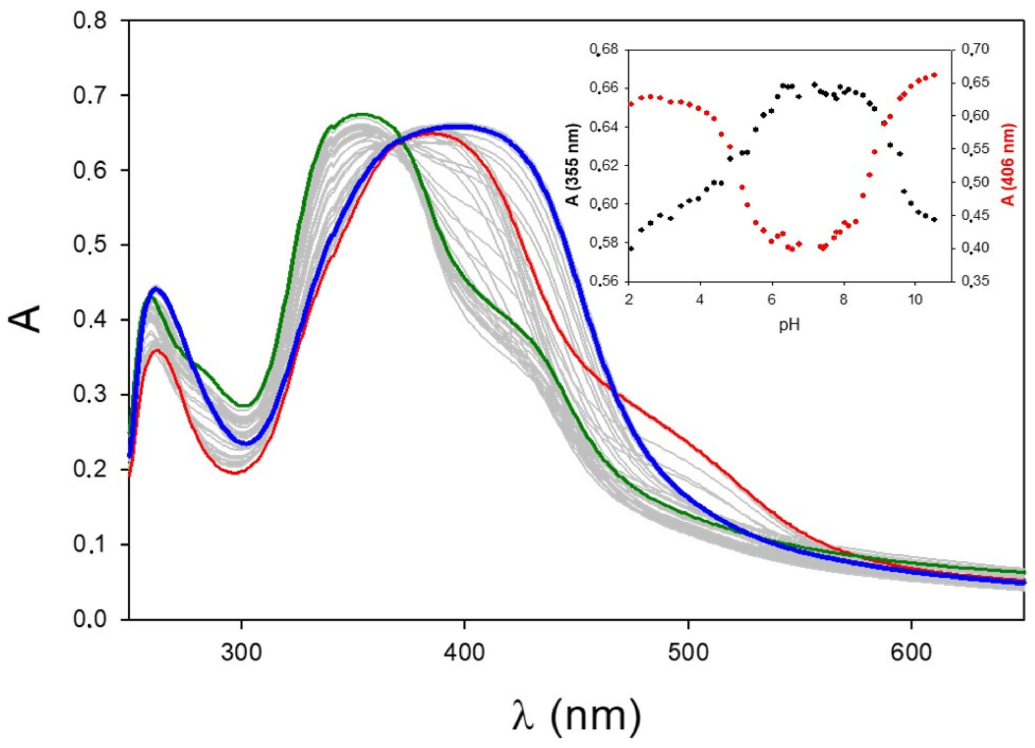
2.2. Acid–Base Equilibria in Solution
2.3. Pharmacokinetic Stability in Physiological Conditions
2.4. Inhibitory Effects on Human Cancer Cells Proliferation
3. Discussion
4. Materials and Methods
4.1. Synthesis
- 4-[(E)-2-(2-amino-6-methylpyrimidin-4-yl)ethenyl]-2-methoxyphenol (MPY1)
- 4-[(E)-2-(3,4-dimethoxyphenyl)ethenyl]-6-methylpyrimidin-2-amine (MPY2)
- 4-{(E)-2-[4-(3-aminopropoxy)-3-methoxyphenyl]ethenyl}-6-methylpyrimidin-2-amine (MPY3)
- N-({4-[(E)-2-(2-amino-6-methylpyrimidin-4-yl)ethenyl]phenoxy}propyl)-6-fluoropyridine-3-carboxamide (MPY4)
- 4,4′-{(2-aminopyrimidine-4,6-diyl)di[(E)ethene-2,1-diyl]}bis(2-methoxyphenol) (PY1)
- 4,6-bis[(E)-2-phenylethenyl]pyrimidin-2-amine (PY2)
- 4,6-bis[(E)-2-(3,4-dimethoxyphenyl)ethenyl]pyrimidin-2-amine (PY3)
- 4,6-bis[(E)-2-(3-methoxyphenyl)ethenyl]pyrimidin-2-amine (PY4)
4.2. Kinetic Stability of Ligands in Physiological Conditions
4.3. Acid/Base Character
4.4. Cell Lines
4.5. Cell Viability Assay
4.6. Cell Cycle Analysis
Supplementary Materials
Author Contributions
Funding
Institutional Review Board Statement
Informed Consent Statement
Data Availability Statement
Acknowledgments
Conflicts of Interest
Abbreviations
References
- Available online: https://gco.iarc.fr/today/home (accessed on 8 August 2023).
- Sekhoacha, M.; Riet, K.; Motloung, P.; Gumenku, L.; Adegoke, A.; Mashele, S. Prostate Cancer Review: Genetics, Diagnosis, Treatment Options, and Alternative Approaches. Molecules 2022, 27, 5730. [Google Scholar] [CrossRef] [PubMed]
- Rebello, R.J.; Oing, C.; Knudsen, K.E.; Loeb, S.; Johnson, D.C.; Reiter, R.E.; Gillessen, S.; Van der Kwast, T.; Bristow, R.G. Prostate cancer. Nat. Rev. Dis. Primers 2021, 7, 9. [Google Scholar] [CrossRef]
- Sumanasuriya, S.; De Bono, J. Treatment of advanced prostate cancer—A review of current therapies and future promise. Cold Spring Harb. Perspect. Med. 2018, 8, a030635. [Google Scholar] [CrossRef]
- Xie, Y.H.; Chen, Y.X.; Fang, J.Y. Comprehensive review of targeted therapy for colorectal cancer. Signal Transduct. Target. Ther. 2020, 5, 22. [Google Scholar] [CrossRef]
- Huang, M.; Lu, J.J.; Ding, J. Natural Products in Cancer Therapy: Past, Present and Future. Nat. Prod. Bioprospecting 2021, 11, 5–13. [Google Scholar] [CrossRef]
- Livingstone, J. Natural Compounds in Cancer Therapy; Oregon Medical Press: Princeton, MN, USA, 2001; Volume 15, ISBN 0964828014. [Google Scholar]
- Michalkova, R.; Mirossay, L.; Kello, M.; Mojzisova, G.; Baloghova, J.; Podracka, A.; Mojzis, J. Anticancer Potential of Natural Chalcones: In Vitro and In Vivo Evidence. Int. J. Mol. Sci. 2023, 24, 10354. [Google Scholar] [CrossRef] [PubMed]
- Basile, V.; Ferrari, E.; Lazzari, S.; Belluti, S.; Pignedoli, F.; Imbriano, C. Curcumin derivatives: Molecular basis of their anti-cancer activity. Biochem. Pharmacol. 2009, 78, 1305–1315. [Google Scholar] [CrossRef]
- Kunnumakkara, A.B.; Bordoloi, D.; Harsha, C.; Banik, K.; Gupta, S.C.; Aggarwal, B.B. Curcumin mediates anticancer effects by modulating multiple cell signaling pathways. Clin. Sci. 2017, 131, 1781–1799. [Google Scholar] [CrossRef] [PubMed]
- Chen, A.; Xu, J.; Johnson, A.C. Curcumin inhibits human colon cancer cell growth by suppressing gene expression of epidermal growth factor receptor through reducing the activity of the transcription factor Egr-1. Oncogene 2006, 25, 278–287. [Google Scholar] [CrossRef] [PubMed]
- Termini, D.; Den Hartogh, D.J.; Jaglanian, A.; Tsiani, E. Curcumin against prostate cancer: Current evidence. Biomolecules 2020, 10, 1536. [Google Scholar] [CrossRef]
- Nicolini, V.; Caselli, M.; Ferrari, E.; Menabue, L.; Lusvardi, G.; Saladini, M.; Malavasi, G. SiO2-CaO-P2O5 bioactive glasses: A promising curcuminoids delivery system. Materials 2016, 9, 290. [Google Scholar] [CrossRef] [PubMed]
- Eren, T.; Baysal, G.; Doğan, F. Biocidal Activity of Bone Cements Containing Curcumin and Pegylated Quaternary Polyethylenimine. J. Polym. Environ. 2020, 28, 2469–2480. [Google Scholar] [CrossRef]
- Bilia, A.R.; Piazzini, V.; Guccione, C.; Risaliti, L.; Asprea, M.; Capecchi, G.; Bergonzi, M.C. Improving on Nature: The Role of Nanomedicine in the Development of Clinical Natural Drugs. Planta Medica 2017, 83, 366–381. [Google Scholar] [CrossRef]
- Belluti, S.; Orteca, G.; Semeghini, V.; Rigillo, G.; Parenti, F.; Ferrari, E.; Imbriano, C. Potent anti-cancer properties of phthalimide-based curcumin derivatives on prostate tumor cells. Int. J. Mol. Sci. 2019, 20, 28. [Google Scholar] [CrossRef] [PubMed]
- Ferrari, E.; Pignedoli, F.; Imbriano, C.; Marverti, G.; Basile, V.; Venturi, E.; Saladini, M. Newly synthesized curcumin derivatives: Crosstalk between chemico-physical properties and biological activity. J. Med. Chem. 2011, 54, 8066–8077. [Google Scholar] [CrossRef] [PubMed]
- Ojo, O.A.; Adeyemo, T.R.; Rotimi, D.; Batiha, G.E.-S.; Mostafa-Hedeab, G.; Iyobhebhe, M.E.; Elebiyo, T.C.; Atunwa, B.; Ojo, A.B.; Lima, C.M.G.; et al. Anticancer Properties of Curcumin Against Colorectal Cancer: A Review. Front. Oncol. 2022, 12, 881641. [Google Scholar] [CrossRef]
- Nabil, S.; El-rahman, S.N.A.; Al-jameel, S.S.; Elsharif, A.M. Conversion of Curcumin into Heterocyclic Compounds as Potent Anti-diabetic and Anti-histamine Agents. Biol. Pharm. Bull. 2018, 41, 1071–1077. [Google Scholar] [CrossRef]
- Khan, M.F.; Alam, M.M.; Verma, G.; Akhtar, W.; Akhter, M.; Shaquiquzzaman, M. European Journal of Medicinal Chemistry The therapeutic voyage of pyrazole and its analogs: A review. Eur. J. Med. Chem. 2016, 120, 170–201. [Google Scholar] [CrossRef]
- Mahapatra, A.; Prasad, T.; Sharma, T. Pyrimidine: A review on anticancer activity with key emphasis on SAR. Future J. Pharm. Sci. 2021, 8, 123. [Google Scholar] [CrossRef]
- Hao, Y.; Lyu, J.; Qu, R.; Tong, Y.; Sun, D.; Feng, F.; Tong, L.; Yang, T.; Zhao, Z.; Zhu, L.; et al. A Review on Fused Pyrimidine Systems as EGFR Inhibitors and Their Structure–Activity Relationship. Chem. Biol. Drug Des. 2018, 61, 113523. [Google Scholar] [CrossRef]
- Girard, N. Optimizing outcomes and treatment sequences in EGFR mutation-positive non-small-cell lung cancer: Recent updates. Future Oncol. 2019, 15, 2983–2997. [Google Scholar] [CrossRef] [PubMed]
- Qiu, P.; Xu, L.; Gao, L.; Zhang, M.; Wang, S.; Tong, S.; Sun, Y.; Zhang, L. Bioorganic & Medicinal Chemistry Exploring pyrimidine-substituted curcumin analogues: Design, synthesis and effects on EGFR signaling. Bioorganic Med. Chem. 2013, 21, 5012–5020. [Google Scholar] [CrossRef]
- Pabon, H.J.J. A synthesis of curcumin and related compounds. Recl. Trav. Chim. Pays-Bas 2010, 83, 379–386. [Google Scholar] [CrossRef]
- Constants, D.; Edition, T. Section 3—Physical Constants of Organic Compounds. In CRC Handbook of Chemistry and Physics; CRC Press: Boca Raton, FL, USA, 2020; pp. 141–721. [Google Scholar] [CrossRef]
- Gans, P.; Sabatini, A.; Vacca, A. To improve accuracy of the calculated pKa values. Ann. Chim. 1999, 89, 45–49. [Google Scholar]
- Borsari, M.; Ferrari, E.; Grandi, R.; Saladini, M. Curcuminoids as potential new iron-chelating agents: Spectroscopic, polarographic and potentiometric study on their Fe(III) complexing ability. Inorganica Chim. Acta 2002, 328, 61–68. [Google Scholar] [CrossRef]
- Ferrari, E.; Saladini, M.; Pignedoli, F.; Spagnolo, F.; Benassi, R. Solvent effect on keto-enol tautomerism in a new β-diketone: A comparison between experimental data and different theoretical approaches. New J. Chem. 2011, 35, 2840–2847. [Google Scholar] [CrossRef]
- Benassi, R.; Ferrari, E.; Grandi, R.; Lazzari, S.; Saladini, M. Synthesis and characterization of new β-diketo derivatives with iron chelating ability. J. Inorg. Biochem. 2007, 101, 203–213. [Google Scholar] [CrossRef]
- Chakraborti, S.; Dhar, G.; Dwivedi, V.; Das, A.; Poddar, A.; Chakraborti, G.; Basu, G.; Chakrabarti, P.; Surolia, A.; Bhattacharyya, B. Stable and potent analogues derived from the modification of the dicarbonyl moiety of curcumin. Biochemistry 2013, 52, 7449–7460. [Google Scholar] [CrossRef] [PubMed]
- Ferrari, E.; Benassi, R.; Saladini, M.; Orteca, G.; Gazova, Z.; Siposova, K. In vitro study on potential pharmacological activity of curcumin analogues and their copper complexes. Chem. Biol. Drug Des. 2017, 89, 411–419. [Google Scholar] [CrossRef]
- Orteca, G.; Tavanti, F.; Bednarikova, Z.; Gazova, Z.; Rigillo, G.; Imbriano, C.; Basile, V.; Asti, M.; Rigamonti, L.; Saladini, M.; et al. Curcumin derivatives and Aβ-fibrillar aggregates: An interactions’ study for diagnostic/therapeutic purposes in neurodegenerative diseases. Bioorganic Med. Chem. 2018, 26, 4288–4300. [Google Scholar] [CrossRef]
- Basile, V.; Belluti, S.; Ferrari, E.; Gozzoli, C.; Ganassi, S.; Quaglino, D.; Saladini, M.; Imbriano, C. bis-Dehydroxy-Curcumin Triggers Mitochondrial-Associated Cell Death in Human Colon Cancer Cells through ER-Stress Induced Autophagy. PLoS ONE 2013, 8, e53664. [Google Scholar] [CrossRef]
- Sohail, M.; Guo, W.; Yang, X.; Li, Z.; Li, Y.; Xu, H.; Zhao, F. A Promising Anticancer Agent Dimethoxycurcumin: Aspects of Pharmacokinetics, Efficacy, Mechanism, and Nanoformulation for Drug Delivery. Front. Pharmacol. 2021, 12, 665387. [Google Scholar] [CrossRef]
- Chen, D.; Dai, F.; Chen, Z.; Wang, S.; Cheng, X.; Sheng, Q.; Lin, J.; Chen, W. Dimethoxy curcumin induces apoptosis by suppressing survivin and inhibits invasion by enhancing E-Cadherin in colon cancer cells. Med. Sci. Monit. 2016, 22, 3215–3222. [Google Scholar] [CrossRef] [PubMed]
- Zhao, H.; Liu, Q.; Wang, S.; Dai, F.; Cheng, X.; Cheng, X.; Chen, W.; Zhang, M.; Chen, D. In vitro additive antitumor effects of dimethoxycurcumin and 5-fluorouracil in colon cancer cells. Cancer Med. 2017, 6, 1698–1706. [Google Scholar] [CrossRef]
- Huang, H.; Chen, X.; Li, D.; He, Y.; Li, Y.; Du, Z.; Zhang, K.; DiPaola, R.; Goodin, S.; Zheng, X. Combination of α-Tomatine and Curcumin Inhibits Growth and Induces Apoptosis in Human Prostate Cancer Cells. PLoS ONE 2015, 10, e0144293. [Google Scholar] [CrossRef] [PubMed]
- Cheng, M.A.; Chou, F.J.; Wang, K.; Yang, R.; Ding, J.; Zhang, Q.; Li, G.; Yeh, S.; Chang, C.; Xu, D. Androgen receptor (AR) degradation enhancer ASC-J9® in an FDA-approved formulated solution suppresses castration resistant prostate cancer cell growth. Cancer Lett. 2018, 417, 182–191. [Google Scholar] [CrossRef]
- Samiei, M.; Shahi, S.; Aslaminabadi, N.; Valizadeh, H.; Aghazadeh, Z.; Pakdel, S.M.V. A new simulated plasma for assessing the solubility of mineral trioxide aggregate. Iran. Endod. J. 2015, 10, 30–34. [Google Scholar]
- Kintner, D.B.; Kao, J.L.; Woodson, R.D.; Gilboe, D.D. Evaluation of artificial plasma for maintaining the isolated canine brain. J. Cereb. Blood Flow Metab. 1986, 6, 455–462. [Google Scholar] [CrossRef] [PubMed]
- Mari, M.; Carrozza, D.; Malavasi, G.; Venturi, E.; Avino, G.; Capponi, P.C.; Iori, M.; Rubagotti, S.; Belluti, S.; Asti, M.; et al. Curcumin-Based β-Diketo Ligands for Ga3+: Thermodynamic Investigation of Potential Metal-Based Drugs. Pharmaceuticals 2022, 15, 854. [Google Scholar] [CrossRef]






| MPY1 (H2L) | MPY3 (H2L) | PY1 (H3L) | |
|---|---|---|---|
| logβ11 | 8.99 ± 0.01 | 8.62 ± 0.01 | 10.27 ± 0.03 |
| pKa3 | - | - | 10.27 ± 0.03 c |
| logβ12 | 13.72 ± 0.01 | 13.04 ± 0.01 | 19.30 ± 0.02 |
| pKa2 | 8.99 ± 0.01 a | 8.62 ± 0.01 a | 9.04 ± 0.05 d |
| logβ13 | - | - | 24.17 ± 0.05 |
| pKa1 | 4.73 ± 0.02 b | 4.43 ± 0.02 b | 4.86 ± 0.07 e |
| GI50 (µM) ± SEM | ||||
|---|---|---|---|---|
| LNCaP | PC3 | HT29 | HCT116 | |
| MPY1 | 73.9 ± 9.9 | n.a. | n.a. | n.a. |
| MPY2 | 73.1 ± 14.0 | 84.4 ± 0.1 | n.a. | n.a. |
| MPY3 | 68.8 ± 21.7 | n.a. | n.a. | 98.0 ± 13.6 |
| MPY4 | n.a. | n.a. | n.a. | n.a. |
| PY1 | 24.1 ± 8.5 | 23.5 ± 9.7 | 45.3 ± 4.1 | 19.9 ± 3.3 |
| PY2 | n.a. | n.a. | n.a. | |
| PY3 | 12.1 ± 2.0 | 14.7 ± 0.9 | 19.7 ± 1.1 | 37.9 ± 11.6 |
| PY4 | n.a. | 82.8 ± 23.4 | n.a. | n.a. |
| Curcumin | 35.8 ± 3.0 | 23.9 ± 0.4 | 30.6 ± 1.2 | 13.6 ± 2.9 |
Disclaimer/Publisher’s Note: The statements, opinions and data contained in all publications are solely those of the individual author(s) and contributor(s) and not of MDPI and/or the editor(s). MDPI and/or the editor(s) disclaim responsibility for any injury to people or property resulting from any ideas, methods, instructions or products referred to in the content. |
© 2023 by the authors. Licensee MDPI, Basel, Switzerland. This article is an open access article distributed under the terms and conditions of the Creative Commons Attribution (CC BY) license (https://creativecommons.org/licenses/by/4.0/).
Share and Cite
Mari, M.; Boniburini, M.; Tosato, M.; Rigamonti, L.; Cuoghi, L.; Belluti, S.; Imbriano, C.; Avino, G.; Asti, M.; Ferrari, E. Development of Stable Amino-Pyrimidine–Curcumin Analogs: Synthesis, Equilibria in Solution, and Potential Anti-Proliferative Activity. Int. J. Mol. Sci. 2023, 24, 13963. https://doi.org/10.3390/ijms241813963
Mari M, Boniburini M, Tosato M, Rigamonti L, Cuoghi L, Belluti S, Imbriano C, Avino G, Asti M, Ferrari E. Development of Stable Amino-Pyrimidine–Curcumin Analogs: Synthesis, Equilibria in Solution, and Potential Anti-Proliferative Activity. International Journal of Molecular Sciences. 2023; 24(18):13963. https://doi.org/10.3390/ijms241813963
Chicago/Turabian StyleMari, Matteo, Matteo Boniburini, Marianna Tosato, Luca Rigamonti, Laura Cuoghi, Silvia Belluti, Carol Imbriano, Giulia Avino, Mattia Asti, and Erika Ferrari. 2023. "Development of Stable Amino-Pyrimidine–Curcumin Analogs: Synthesis, Equilibria in Solution, and Potential Anti-Proliferative Activity" International Journal of Molecular Sciences 24, no. 18: 13963. https://doi.org/10.3390/ijms241813963
APA StyleMari, M., Boniburini, M., Tosato, M., Rigamonti, L., Cuoghi, L., Belluti, S., Imbriano, C., Avino, G., Asti, M., & Ferrari, E. (2023). Development of Stable Amino-Pyrimidine–Curcumin Analogs: Synthesis, Equilibria in Solution, and Potential Anti-Proliferative Activity. International Journal of Molecular Sciences, 24(18), 13963. https://doi.org/10.3390/ijms241813963

