Proteomics-Based Approach for Detailing the Allergenic Profile of Cannabis Chemotypes
Abstract
:1. Introduction
2. Results
2.1. Nanoscale LC-MS/MS Analysis
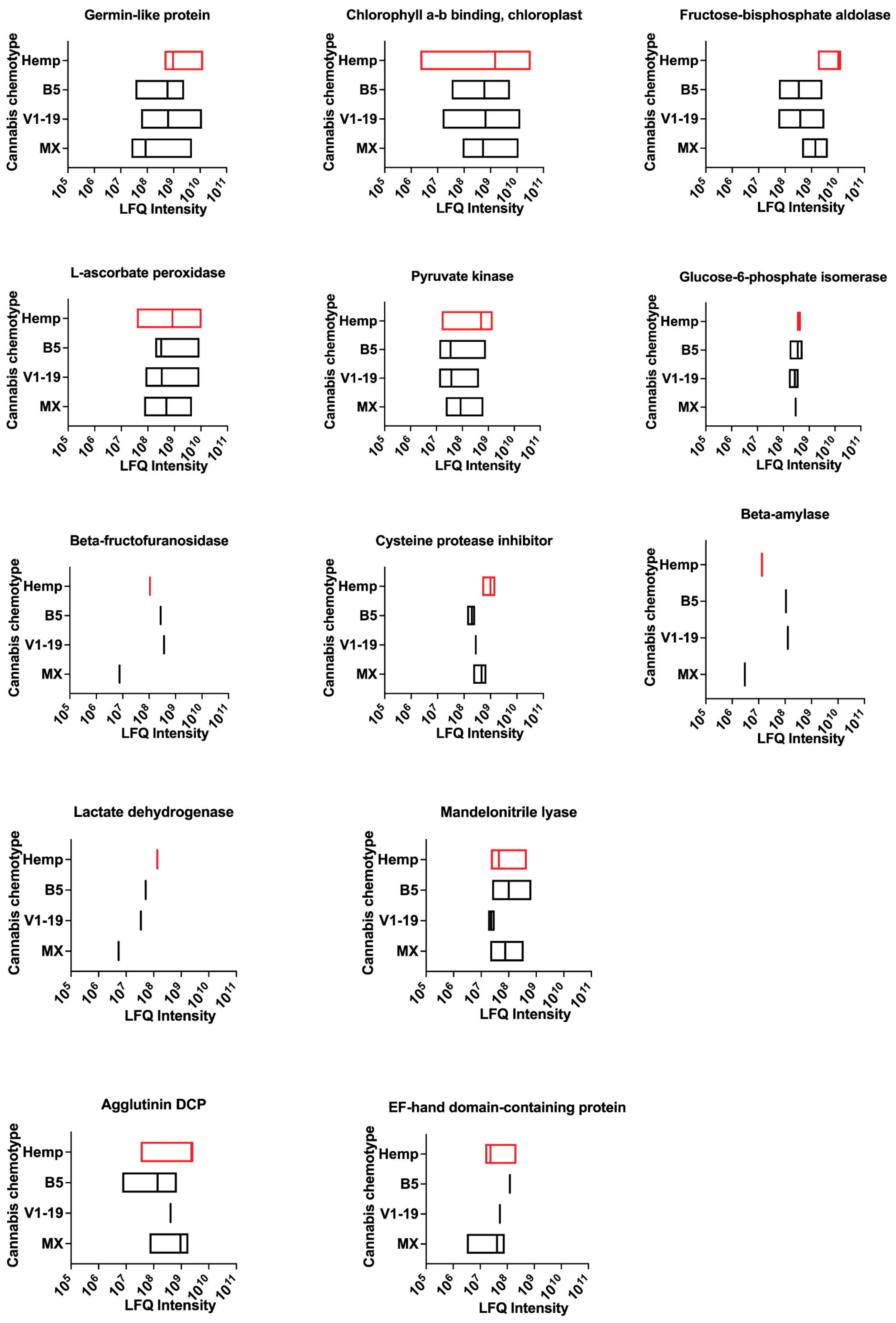
2.2. Putative Allergens of Cannabis
2.3. Putative Airway Allergens of Cannabis
2.4. Putative Food Allergens of Cannabis
2.5. Putative Contact Allergens of Cannabis
2.6. Putative Allergens of Cannabis with Capability to Sensitize through Multiple Routes
2.7. Additional Validation of Cannabis Allergens
3. Discussion
4. Materials and Methods
4.1. Cannabis Strains
4.2. Protein Extraction
4.3. Protein Estimation
4.4. Sample Preparation and Nanoscale Tandem Mass Spectrometry (MS/MS)
4.5. Data Processing and Analysis
4.6. Identification of Putative Allergens in Cannabis
Supplementary Materials
Author Contributions
Funding
Data Availability Statement
Acknowledgments
Conflicts of Interest
References
- Skypala, I.J.; Jeimy, S.; Brucker, H.; Nayak, A.P.; Nanda, A.; Bernstein, J.A.; Connors, L.; Kanani, A.; Klimek, L.; Lo, S.C.R.; et al. Cannabis-related allergies: An international overview and consensus recommendations. Allergy 2022, 77, 2038–2052. [Google Scholar] [CrossRef] [PubMed]
- Decuyper, I.I.; Green, B.J.; Sussman, G.L.; Ebo, D.G.; Silvers, W.S.; Pacheco, K.; King, B.S.; Cohn, J.R.; Zeiger, R.S.; Zeiger, J.S.; et al. Occupational Allergies to Cannabis. J. Allergy Clin. Immunol. Pract. 2020, 8, 3331–3338. [Google Scholar] [CrossRef]
- Nayak, A.P.; Green, B.J.; Sussman, G.; Berlin, N.; Lata, H.; Chandra, S.; ElSohly, M.A.; Hettick, J.M.; Beezhold, D.H. Characterization of Cannabis sativa allergens. Ann. Allergy Asthma Immunol. 2013, 111, 32–37. [Google Scholar] [CrossRef] [PubMed]
- Sussman, G.L.; Beezhold, D.H.; Cohn, J.R.; Silvers, W.S.; Zeiger, J.S.; Nayak, A.P. Cannabis: An Emerging Occupational Allergen? Ann. Work. Expo. Health 2020, 64, 679–682. [Google Scholar] [CrossRef]
- Sack, C.; Ghodsian, N.; Jansen, K.; Silvey, B.; Simpson, C.D. Allergic and Respiratory Symptoms in Employees of Indoor Cannabis Grow Facilities. Ann. Work. Expo. Health 2020, 64, 754–764. [Google Scholar] [CrossRef]
- Toscano, A.; Elst, J.; van der Poorten, M.L.; Beyens, M.; Heremans, K.; Decuyper, I.I.; Van Gasse, A.L.; Mertens, C.; Van Houdt, M.; Hagendorens, M.M.; et al. Establishing diagnostic strategies for cannabis allergy. Expert. Rev. Clin. Immunol. 2022, 18, 1015–1022. [Google Scholar] [CrossRef]
- Ebo, D.G.; Decuyper, I.I.; Rihs, H.P.; Mertens, C.; Van Gasse, A.L.; van der Poorten, M.M.; De Puysseleyr, L.; Faber, M.A.; Hagendorens, M.M.; Bridts, C.H.; et al. IgE-binding and mast cell-activating capacity of the homologue of the major birch pollen allergen and profilin from Cannabis sativa. J. Allergy Clin. Immunol. Pract. 2021, 9, 2509–2512.e3. [Google Scholar] [CrossRef] [PubMed]
- Gamboa, P.; Sanchez-Monge, R.; Sanz, M.L.; Palacin, A.; Salcedo, G.; Diaz-Perales, A. Sensitization to Cannabis sativa caused by a novel allergenic lipid transfer protein, Can s 3. J. Allergy Clin. Immunol. 2007, 120, 1459–1460. [Google Scholar] [CrossRef]
- Larramendi, C.H.; Lopez-Matas, M.A.; Ferrer, A.; Huertas, A.J.; Pagan, J.A.; Navarro, L.A.; Garcia-Abujeta, J.L.; Andreu, C.; Carnes, J. Prevalence of sensitization to Cannabis sativa. Lipid-transfer and thaumatin-like proteins are relevant allergens. Int. Arch. Allergy Immunol. 2013, 162, 115–122. [Google Scholar] [CrossRef]
- de Larramendi, C.H.; Carnes, J.; Garcia-Abujeta, J.L.; Garcia-Endrino, A.; Munoz-Palomino, E.; Huertas, A.J.; Fernandez-Caldas, E.; Ferrer, A. Sensitization and allergy to Cannabis sativa leaves in a population of tomato (Lycopersicon esculentum)-sensitized patients. Int. Arch. Allergy Immunol. 2008, 146, 195–202. [Google Scholar] [CrossRef] [PubMed]
- Ebo, D.G.; Swerts, S.; Sabato, V.; Hagendorens, M.M.; Bridts, C.H.; Jorens, P.G.; De Clerck, L.S. New food allergies in a European non-Mediterranean region: Is Cannabis sativa to blame? Int. Arch. Allergy Immunol. 2013, 161, 220–228. [Google Scholar] [CrossRef] [PubMed]
- Morelli, H.P.; Thorpe, C.; Ebo, D.G.; Chapman, M.D.; Abbas, K.; Sussman, G.L.; Nayak, A.P. Relevance of lipid transfer protein (LTP) to Cannabis sensitization in North America. J. Allergy Clin. Immunol. Pract. 2023, in press.
- McPartland, J.M. Cannabis sativa and Cannabis indica versus “Sativa” and “Indica”. In Cannabis sativa L.—Botany and Biotechnology; Chandra, S., Lata, H., ElSohly, M.A., Eds.; Springer Nature: Cham, Switzerland, 2017. [Google Scholar]
- Tessmer, A.; Berlin, N.; Sussman, G.; Leader, N.; Chung, E.C.; Beezhold, D. Hypersensitivity reactions to marijuana. Ann. Allergy Asthma Immunol. 2012, 108, 282–284. [Google Scholar] [CrossRef] [PubMed]
- Stadtmauer, G.; Beyer, K.; Bardina, L.; Sicherer, S.H. Anaphylaxis to ingestion of hempseed (Cannabis sativa). J. Allergy Clin. Immunol. 2003, 112, 216–217. [Google Scholar] [CrossRef]
- Smith, B.; Black, K.R.; Thorpe, C.; Agah, S.; Filep, S.; Wuenschmann, S.; Chapman, M.D. Production of recombinant Cannabis sativa allergen, Can s 3, and development of a two-site immunoassay. J. Allergy Clin. Immunol. 2021, 2021, AB144. [Google Scholar] [CrossRef]
- Gilbert, J.D.; Grabowski, M.; Byard, R.W. Intravenous administration of cannabis and lethal anaphylaxis. Med. Sci. Law. 2017, 57, 91–94. [Google Scholar] [CrossRef] [PubMed]
- Gul, W.; Ibrahim, E.A.; Gul, S.W.; Shahzadi, I.; Radwan, M.M.; Chandra, S.; Lata, H.; ElSohly, M.A. Development and Validation of a GC-FID Method for the Quantitation of 20 Different Acidic and Neutral Cannabinoids. Planta Med. 2023, 89, 683–696. [Google Scholar] [CrossRef]
- Chandra, S.; Lata, H.; Mehmedic, Z.; Khan, I.A.; ElSohly, M.A. Assessment of cannabinoids content in micropropagated plants of Cannabis sativa and their comparison with conventionally propagated plants and mother plant during developmental stages of growth. Planta Med. 2010, 76, 743–750. [Google Scholar] [CrossRef]
- Nayak, A.P.; Croston, T.L.; Lemons, A.R.; Goldsmith, W.T.; Marshall, N.B.; Kashon, M.L.; Germolec, D.R.; Beezhold, D.H.; Green, B.J. Aspergillus fumigatus viability drives allergic responses to inhaled conidia. Ann. Allergy Asthma Immunol. 2018, 121, 200–210.e2. [Google Scholar] [CrossRef]
- Cox, J.; Hein, M.Y.; Luber, C.A.; Paron, I.; Nagaraj, N.; Mann, M. Accurate proteome-wide label-free quantification by delayed normalization and maximal peptide ratio extraction, termed MaxLFQ. Mol. Cell Proteomics 2014, 13, 2513–2526. [Google Scholar] [CrossRef]
- Cox, J.; Neuhauser, N.; Michalski, A.; Scheltema, R.A.; Olsen, J.V.; Mann, M. Andromeda: A peptide search engine integrated into the MaxQuant environment. J. Proteome Res. 2011, 10, 1794–1805. [Google Scholar] [CrossRef] [PubMed]










Disclaimer/Publisher’s Note: The statements, opinions and data contained in all publications are solely those of the individual author(s) and contributor(s) and not of MDPI and/or the editor(s). MDPI and/or the editor(s) disclaim responsibility for any injury to people or property resulting from any ideas, methods, instructions or products referred to in the content. |
© 2023 by the authors. Licensee MDPI, Basel, Switzerland. This article is an open access article distributed under the terms and conditions of the Creative Commons Attribution (CC BY) license (https://creativecommons.org/licenses/by/4.0/).
Share and Cite
Loblundo, C.; Severa, J.; Peruggia, G.A.; Black, K.R.; Chandra, S.; Lata, H.; ElSohly, M.; Chapman, M.D.; Deshpande, D.A.; Nayak, A.P. Proteomics-Based Approach for Detailing the Allergenic Profile of Cannabis Chemotypes. Int. J. Mol. Sci. 2023, 24, 13964. https://doi.org/10.3390/ijms241813964
Loblundo C, Severa J, Peruggia GA, Black KR, Chandra S, Lata H, ElSohly M, Chapman MD, Deshpande DA, Nayak AP. Proteomics-Based Approach for Detailing the Allergenic Profile of Cannabis Chemotypes. International Journal of Molecular Sciences. 2023; 24(18):13964. https://doi.org/10.3390/ijms241813964
Chicago/Turabian StyleLoblundo, Cali, Jenna Severa, Gabrielle A. Peruggia, Kristina Reid Black, Suman Chandra, Hemant Lata, Mahmoud ElSohly, Martin D. Chapman, Deepak A. Deshpande, and Ajay P. Nayak. 2023. "Proteomics-Based Approach for Detailing the Allergenic Profile of Cannabis Chemotypes" International Journal of Molecular Sciences 24, no. 18: 13964. https://doi.org/10.3390/ijms241813964
APA StyleLoblundo, C., Severa, J., Peruggia, G. A., Black, K. R., Chandra, S., Lata, H., ElSohly, M., Chapman, M. D., Deshpande, D. A., & Nayak, A. P. (2023). Proteomics-Based Approach for Detailing the Allergenic Profile of Cannabis Chemotypes. International Journal of Molecular Sciences, 24(18), 13964. https://doi.org/10.3390/ijms241813964

