Clinical Significance of Elevated Xanthine Dehydrogenase Levels and Hyperuricemia in Patients with Sepsis
Abstract
1. Introduction
2. Results
2.1. Patient Characteristics
2.2. Comparison of the Control, Death, and Survival Groups
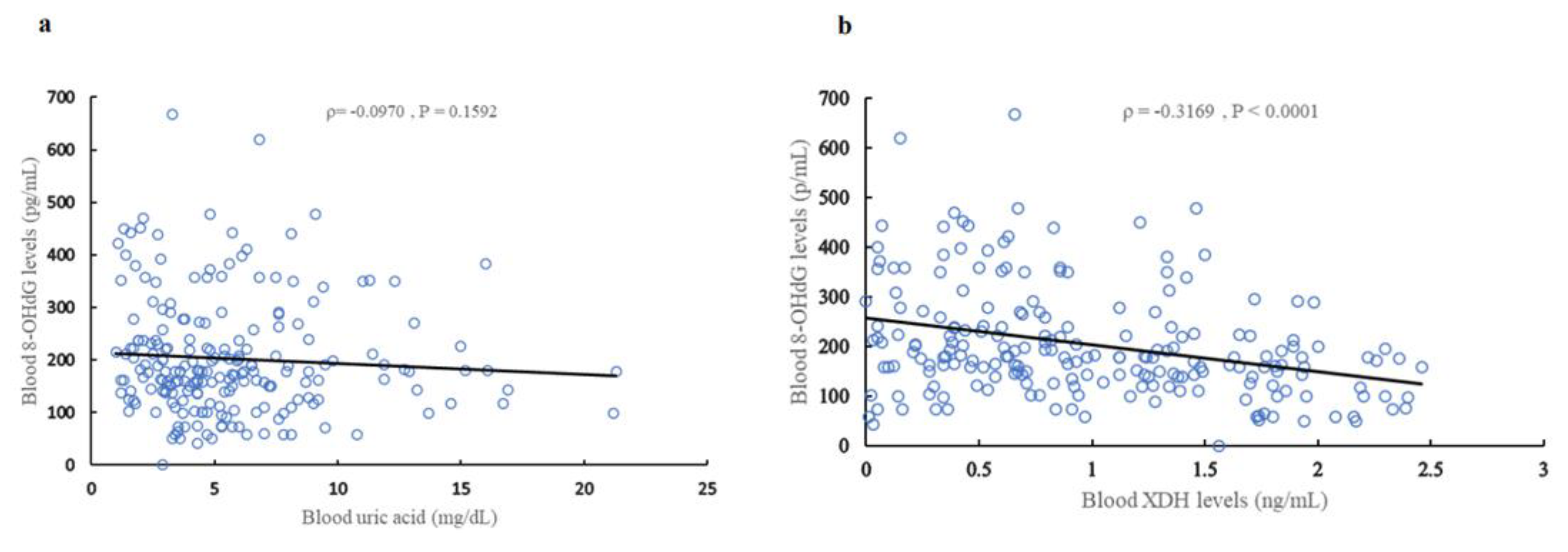
2.3. Correlation of Sepsis Severity with Indicators of Renal Function and Levels of UA, XDH, and 8-OHdG in the Blood
2.4. Change in Blood Levels of UA, XDH, and 8-OHdG over Time



2.5. Relationship with Factors Affecting Outcomes
3. Discussion
4. Materials and Methods
4.1. Study Subjects
4.2. Measurement of Samples
4.3. Statistical Methods
5. Conclusions
Supplementary Materials
Author Contributions
Funding
Institutional Review Board Statement
Informed Consent Statement
Data Availability Statement
Acknowledgments
Conflicts of Interest
References
- Mayr, F.B.; Yende, S.; Angus, D.C. Epidemiology of Severe Sepsis. Virulence 2014, 5, 4–11. [Google Scholar] [CrossRef] [PubMed]
- Vincent, J.L.; de Mendonça, A.; Cantraine, F.; Moreno, R.; Takala, J.; Suter, P.M.; Sprung, C.L.; Colardyn, F.; Blecher, S. Use of the SOFA Score to Assess the Incidence of Organ Dysfunction/Failure in Intensive Care Units: Results of a Multicenter, Prospective Study. Working Group on “Sepsis-Related Problems” of the European Society of Intensive Care Medicine. Crit. Care Med. 1998, 26, 1793–1800. [Google Scholar] [CrossRef] [PubMed]
- Ferreira, F.L.; Bota, D.P.; Bross, A.; Mélot, C.; Vincent, J.L. Serial Evaluation of the SOFA Score to Predict Outcome in critically Ill Patients. JAMA 2001, 286, 1754–1758. [Google Scholar] [CrossRef]
- Marik, P.E.; Khangoora, V.; Rivera, R.; Hooper, M.H.; Catravas, J. Hydrocortisone, Vitamin C, and Thiamine for the Treatment of Severe Sepsis and Septic Shock: A Retrospective Before-After Study. Chest 2017, 151, 1229–1238. [Google Scholar] [CrossRef] [PubMed]
- Sies, H. Oxidative Stress: A Concept in Redox Biology and Medicine. Redox Biol. 2015, 4, 180–183. [Google Scholar] [CrossRef] [PubMed]
- Sies, H. Oxidative Stress: Concept and Some Practical Aspects. Antioxidants 2020, 9, 852. [Google Scholar] [CrossRef]
- Yamaguchi, J.; Nagase, M.; Yamamoto, Y.; Sakurai, A.; Kubo, A.; Mitsuhashi, H.; Matsuoka, M.; Ihara, S.; Kinoshita, K. Increased oxidative stress and renal injury in patients with sepsis. J. Clin. Biochem. Nutr. 2018, 63, 137–143. [Google Scholar] [CrossRef]
- Ardan, T.; Kovaceva, J.; Cejková, J. Comparative Histochemical and Immunohistochemical Study on Xanthine Oxidore-ductase/xanthine Oxidase in Mammalian Corneal Epithelium. Acta Histochem. 2004, 106, 69–75. [Google Scholar] [CrossRef]
- Della Corte, E.; Gozzetti, G.; Novello, F.; Stirpe, F. Properties of the Xanthine Oxidase from Human Liver. Biochim. Biophys. Acta 1969, 191, 164–166. [Google Scholar] [CrossRef]
- Waud, W.R.; Rajagopalan, K.V. The Mechanism of Conversion of Rat Liver Xanthine Dehydrogenase from an NAD+-Dependent Form (Type D) to an O2-Dependent Form (Type O). Arch. Biochem. Biophys. 1976, 172, 365–379. [Google Scholar] [CrossRef]
- Sakuma, S.; Fujita, J.; Nakanishi, M.; Wada, S.I.; Fujimoto, Y. Disulfide S-Monoxides Convert Xanthine Dehydrogenase into Oxidase in Rat Liver Cytosol More Potently than Their Respective Disulfides. Biol. Pharm. Bull. 2008, 31, 1013–1016. [Google Scholar] [CrossRef] [PubMed][Green Version]
- Harris, C.M.; Massey, V. The Oxidative Half-Reaction of Xanthine Dehydrogenase with NAD; Reaction Kinetics and Steady-State Mechanism. J. Biol. Chem. 1997, 272, 28335–28341. [Google Scholar] [CrossRef] [PubMed]
- Hille, R.; Nishino, T. Flavoprotein Structure and Mechanism. 4. Xanthine Oxidase and Xanthine Dehydrogenase. FASEB J. 1995, 9, 995–1003. [Google Scholar] [CrossRef] [PubMed]
- Valavanidis, A.; Vlachogianni, T.; Fiotakis, C. 8-hydroxy-2′ -deoxyguanosine (8-OHdG): A critical biomarker of oxidative stress and carcinogenesis. J. Environ. Sci. Health Part C 2009, 27, 120–139. [Google Scholar] [CrossRef] [PubMed]
- Graille, M.; Wild, P.; Sauvain, J.J.; Hemmendinger, M.; Guseva Canu, I.; Hopf, N.B. Urinary 8-OHdG as a Biomarker for Oxidative Stress: A Systematic Literature Review and Meta-Analysis. Int. J. Mol. Sci. 2020, 21, 3743. [Google Scholar] [CrossRef] [PubMed]
- Glantz, S.A.; Slinker, B.K. Primer of Applied Regression and Analysis of Variance; McGraw-Hill: New York, NY, USA, 1990; pp. 181–199. [Google Scholar]
- Efron, B. Bootstrap methods: Another look at the jackknife. In Breakthroughs in Statistics: Methodology and Distribution; Springer: New York, NY, USA, 1992; pp. 569–593. [Google Scholar]
- Van Calster, B.; Nieboer, D.; Vergouwe, Y.; De Cock, B.; Pencina, M.J.; Steyerberg, E.W. A calibration hierarchy for risk models was defined: From utopia to empirical data. J. Clin. Epidemiol. 2016, 74, 167–176. [Google Scholar] [CrossRef]
- Paul, P.; Pennell, M.L.; Lemeshow, S. Standardizing the power of the Hosmer-Lemeshow goodness of fit test in large data sets. Stat. Med. 2013, 32, 67–80. [Google Scholar] [CrossRef]
- Harrell, F.E., Jr.; Lee, K.L.; Mark, D.B. Multivariable prognostic models: Issues in developing models, evaluating assumptions and adequacy, and measuring and reducing errors. Stat. Med. 1996, 15, 361–387. [Google Scholar] [CrossRef]
- Singer, M.; Deutschman, C.S.; Seymour, C.W.; Shankar-Hari, M.; Annane, D.; Bauer, M.; Bellomo, R.; Bernard, G.R.; Chiche, J.D.; Coopersmith, C.M.; et al. The Third International Consensus Definitions for Sepsis and Septic Shock (Sepsis-3). JAMA 2016, 315, 801–810. [Google Scholar] [CrossRef]
- Margaritelis, N.V.; Paschalis, V.; Theodorou, A.A.; Vassiliou, V.; Kyparos, A.; Nikolaidis, M.G. Rapid decreases of key antioxidant molecules in critically ill patients: A personalized approach. Clin. Nutr. 2020, 39, 1146–1154. [Google Scholar] [CrossRef]
- Hotchkiss, R.S.; Karl, I.E. The pathophysiology and treatment of sepsis. N. Engl. J. Med. 2003, 348, 138–150. [Google Scholar] [CrossRef] [PubMed]
- Gutteridge, J.M.; Mitchell, J. Redox imbalance in the critically ill. Br. Med. Bull. 1999, 55, 49–75. [Google Scholar] [CrossRef] [PubMed]
- Pacher, P.; Nivorozhkin, A.; Szabó, C. Therapeutic Effects of Xanthine Oxidase Inhibitors: Renaissance Half a Century after the Discovery of Allopurinol. Pharmacol. Rev. 2006, 58, 87–114. [Google Scholar] [CrossRef] [PubMed]
- Harris, C.M.; Massey, V. The Reaction of Reduced Xanthine Dehydrogenase with Molecular Oxygen. Reaction Kinetics and Measurement of Superoxide Radical. J. Biol. Chem. 1997, 272, 8370–8379. [Google Scholar] [CrossRef]
- Sanders, S.A.; Eisenthal, R.; Harrison, R. NADH Oxidase Activity of Human Xanthine Oxidoreductase—Generation of Su-Peroxide Anion. Eur. J. Biochem. 1997, 245, 541–548. [Google Scholar] [CrossRef]
- Battelli, M.G.; Buonamici, L.; Polito, L.; Bolognesi, A.; Stirpe, F. Hepatoxicity of Ricin, Saporin or a Saporin Immunotoxin: Xanthine Oxidase Activity in Rat Liver and Blood Serum. Virchows Arch. 1996, 427, 529–535. [Google Scholar] [CrossRef]
- Parks, D.A.; Granger, D.N. Xanthine Oxidase: Biochemistry, Distribution and Physiology. Acta Physiol. Scand. Suppl. 1986, 548, 87–99. [Google Scholar]
- Pesonen, E.J.; Linder, N.; Raivio, K.O.; Sarnesto, A.; Lapatto, R.; Höckerstedt, K.; Mäkisalo, H.; Andersson, S. Circulating Xanthine Oxidase and Neutrophil Activation During Human Liver Transplantation. Gastroenterology 1998, 114, 1009–1015. [Google Scholar] [CrossRef]
- Martí, R.; Múrio, E.; Varela, E.; Bilbao, I.; Pascual, C.; Margarit, C.; Segura, R.M. Xanthine Oxidoreductase and Preservation Injury in Human Liver Transplantation. Transplantation 2004, 77, 1239–1245. [Google Scholar] [CrossRef]
- Battelli, M.G.; Ravaioli, M.; Musiani, S.; Scicchitano, V.; Grazi, G.L.; Bolognesi, A. Increased Serum Level of Xanthine oxidoreductase in Liver Transplanted Patients. J. Biol. Regul. Homeost. Agents 2011, 25, 77–84. [Google Scholar]
- Hirata, Y.; Taguchi, T.; Nakao, M.; Yamada, T.; Hirose, R.; Suita, S. The Relationship between the Adenine Nucleotide Me-Tabolism and the Conversion of the Xanthine Oxidase Enzyme System in Ischemia-Reperfusion of the Rat Small Intestine. J. Pediatr. Surg. 1996, 31, 1199–1204. [Google Scholar] [CrossRef]
- Nilsson, U.A.; Schoenberg, M.H.; Aneman, A.; Poch, B.; Magadum, S.; Beger, H.G.; Lundgren, O. Free Radicals and Patho-Genesis During Ischemia and Reperfusion of the Cat Small Intestine. Gastroenterology 1994, 106, 629–636. [Google Scholar] [CrossRef] [PubMed]
- Saugstad, O.D. Role of Xanthine Oxidase and Its Inhibitor in Hypoxia: Reoxygenation Injury. Pediatrics 1996, 98, 103–107. [Google Scholar] [CrossRef] [PubMed]
- Lee, M.C.; Velayutham, M.; Komatsu, T.; Hille, R.; Zweier, J.L. Measurement and Characterization of Superoxide Generation from Xanthine Dehydrogenase: A Redox-Regulated Pathway of Radical Generation in Ischemic Tissues. Biochemistry 2014, 53, 6615–6623. [Google Scholar] [CrossRef]
- Weinbroum, A.; Nielsen, V.G.; Tan, S.; Gelman, S.; Matalon, S.; Skinner, K.A.; Bradley, E., Jr.; Parks, D.A. Liver ischemia-reperfusion Increases Pulmonary Permeability in Rat: Role of Circulating Xanthine Oxidase. Am. J. Physiol. 1995, 268 Pt 1, G988–G996. [Google Scholar] [CrossRef] [PubMed]
- Khoury, W.; Namnesnikov, M.; Fedorov, D.; Abu-Gazala, S.; Weinbroum, A.A. Mannitol Attenuates Kidney Damage in-Duced by Xanthine Oxidase-Associated Pancreas Ischemia-Reperfusion. J. Surg. Res. 2010, 160, 163–168. [Google Scholar] [CrossRef] [PubMed]
- Battelli, M.G.; Bolognesi, A.; Polito, L. Pathophysiology of Circulating Xanthine Oxidoreductase: New Emerging Roles for a Multi-tasking Enzyme. Biochim. Biophys. Acta 2014, 1842, 1502–1517. [Google Scholar] [CrossRef]
- Adachi, T.; Fukushima, T.; Usami, Y.; Hirano, K. Binding of Human Xanthine Oxidase to Sulphated Glycosaminoglycans on the Endothelial-Cell Surface. Biochem. J. 1993, 289, 523–527. [Google Scholar] [CrossRef]
- Houston, M.; Estevez, A.; Chumley, P.; Aslan, M.; Marklund, S.; Parks, D.A.; Freeman, B.A. Binding of Xanthine Oxidase to Vascular Endothelium. Kinetic Characterization and Oxidative Impairment of Nitric Oxide-Dependent Signaling. J. Biol. Chem. 1999, 274, 4985–4994. [Google Scholar] [CrossRef]
- Granger, D.N. Ischemia-Reperfusion: Mechanisms of Microvascular Dysfunction and the Influence of Risk Factors for Cardiovascular Disease. Microcirculation 1999, 6, 167–178. [Google Scholar] [CrossRef]
- Mishra, J.; Jatav, J.K. To Study the Correlation or Association of Serum Uric Acid Level with Morbidities and Mortality in Sepsis Patient and its Prognostic Significance. J. Assoc. Physicians India 2022, 70, 11–12. [Google Scholar] [PubMed]
- Akbar, S.R.; Long, D.M.; Hussain, K.; Alhajhusain, A.; Ahmed, U.S.; Iqbal, H.I.; Ali, A.W.; Leonard, R.; Dalton, C. Hyperuricemia: An Early Marker for Severity of Illness in Sepsis. Int. J. Nephrol. 2015, 2015, 301021. [Google Scholar] [CrossRef] [PubMed]
- Montero-Chacón, L.B.; Padilla-Cuadra, J.I.V.; Chiou, S.H.; Torrealba-Acosta, G. High-Density Lipoprotein, Mean Platelet Volume, and Uric Acid as Biomarkers for Outcomes in Patients with Sepsis: An Observational Study. J. Intensive Care Med. 2020, 35, 636–642. [Google Scholar] [CrossRef]
- Liu, S.; Zhong, Z.; Liu, F. Prognostic value of hyperuricemia for patients with sepsis in the intensive care unit. Sci. Rep. 2022, 12, 1070. [Google Scholar] [CrossRef]
- Lee, H.W.; Choi, S.M.; Lee, J.L. Serum Uric Acid Level as a Prognostic Marker in Patients with Acute Respiratory Distress Syndrome. J. Intensive Care Med. 2019, 34, 404–410. [Google Scholar] [CrossRef] [PubMed]
- Jiang, Y.X.; Gong, C.L.; Tang, Y. Association between hyperuricemia and acute kidney injury in critically ill patients with sepsis. BMC Nephrol. 2023, 24, 128. [Google Scholar] [CrossRef] [PubMed]
- Pehlivanlar-Kucuk, M.; Kucuk, A.O.; Ozturk, C.E.; Er, M.C.; Ulger, F. The Association between Serum Uric Acid Level and Prognosis in Critically Ill Patients, Uric Acid as a Prognosis Predictor. Clin. Lab. 2018, 64, 1491–1500. [Google Scholar] [CrossRef] [PubMed]
- Giovannini, I.; Chiarla, C.; Giuliante, F. Biochemical and clinical correlates of hypouricemia in surgical and critically ill patients. Clin. Chem. Lab Med. 2007, 45, 1207–1210, Erratum in Clin. Chem. Lab. Med. 2007, 45, 1570. [Google Scholar] [CrossRef]
- Abou-Mourad, N.N.; Chamberlain, B.E.; Ackerman, N.B. Poor prognosis of patients with intra-abdominal sepsis and hypouricemia. Surg. Gynecol. Obstet. 1979, 148, 358–360. [Google Scholar]
- Ames, B.N.; Cathcart, R.; Schwiers, E.; Hochstein, P. Uric acid provides an antioxidant defense in humans against oxidant- and radical-caused aging and cancer: A hypothesis. Proc. Natl. Acad. Sci. USA 1981, 78, 6858–6862. [Google Scholar] [CrossRef]
- Alcaino, H.; Greig, D.; Chiong, M. Serum uric acid correlates with extracellular superoxide dismutase activity in patients with chronic heart failure. Eur. J. Heart Fail. 2008, 10, 646–651. [Google Scholar] [CrossRef] [PubMed][Green Version]
- Sautin, Y.Y.; Johnson, R.J. Uric acid: The oxidant-antioxidant paradox. Nucleoside nucleotides. Nucleic Acids 2008, 27, 608–619. [Google Scholar] [CrossRef] [PubMed]
- Santos, C.X.; Anjos, E.I.; Augusto, O. Uric acid oxidation by peroxynitrite: Multiple reactions, free radical formation, and amplification of lipid oxidation. Arch. Biochem. Biophys. 1999, 372, 285–294. [Google Scholar] [CrossRef]
- Sautin, Y.Y.; Nakagawa, T.; Zharikov, S.; Johnson, R.J. Adverse effects of the classic antioxidant uric acid in adipocytes: NADPH oxidase-mediated oxidative/nitrosative stress. Am. J. Physiol. Cell Physiol. 2007, 293, C584–C596, Erratum in Am. J. Physiol. Cell Physiol. 2010, 299, C726. [Google Scholar] [CrossRef] [PubMed]
- Terawaki, H.; Yoshimura, K.; Hasegawa, T.; Matsuyama, Y.; Negawa, T.; Yamada, K.; Matsushima, M.; Nakayama, M.; Hosoya, T.; Era, S. Oxidative Stress Is Enhanced in Correlation with Renal Dysfunction: Examination with the Redox State of Albumin. Kidney Int. 2004, 66, 1988–1993. [Google Scholar] [CrossRef]
- Terawaki, H.; Nakayama, M.; Miyazawa, E.; Murata, Y.; Nakayama, K.; Matsushima, M.; Miyazaki, M.; Sato, H.; Sato, M.; Sato, T.; et al. Effect of Allopurinol on Cardiovascular Incidence Among Hypertensive Nephropathy Patients: The Gonryo Study. Clin. Exp. Nephrol. 2013, 17, 549–553. [Google Scholar] [CrossRef]
- Terawaki, H.; Hayashi, T.; Murase, T.; Iijima, R.; Waki, K.; Tani, Y.; Nakamura, T.; Yoshimura, K.; Uchida, S.; Kazama, J.J. Relationship Between Xanthine Oxidoreductase Redox and Oxidative Stress Among Chronic Kidney Disease Patients. Oxidative Med. Cell. Longev. 2018, 2018, 9714710. [Google Scholar] [CrossRef]
- Spiekermann, S.; Landmesser, U.; Dikalov, S.; Bredt, M.; Gamez, G.; Tatge, H.; Reepschläger, N.; Hornig, B.; Drexler, H.; Harrison, D.G. Electron Spin Resonance Characterization of Vascular Xanthine and NAD(P)H Oxidase Activity in Patients with Coronary Artery Disease: Relation to Endothelium-Dependent Vasodilation. Circulation 2003, 107, 1383–1389. [Google Scholar] [CrossRef]
- George, J.; Carr, E.; Davies, J.; Belch, J.J.; Struthers, A. High-Dose Allopurinol Improves Endothelial Function by Profoundly Reducing Vascular Oxidative Stress and Not by Lowering Uric Acid. Circulation 2006, 114, 2508–2516. [Google Scholar] [CrossRef]
- Bhattacharyya, S.; Bakshi, R.; Logan, R.; Ascherio, A.; Macklin, E.A.; Schwarzschild, M.A. Oral Inosine Persistently Elevates Plasma Antioxidant Capacity in Parkinson’s Disease. Mov. Disord. 2016, 31, 417–421. [Google Scholar] [CrossRef]
- Euser, S.M.; Hofman, A.; Westendorp, R.G.; Breteler, M.M. Serum Uric Acid and Cognitive Function and Dementia. Brain 2009, 132, 377–382. [Google Scholar] [CrossRef] [PubMed]
- Dalbeth, N.; Merriman, T.R.; Stamp, L.K. Gout. Lancet 2016, 388, 2039–2052. [Google Scholar] [CrossRef] [PubMed]
- Chamorro, A.; Amaro, S.; Castellanos, M.; Segura, T.; Arenillas, J.; Martí-Fábregas, J.; Gállego, J.; Krupinski, J.; Gomis, M.; Cánovas, D.; et al. Safety and Efficacy of Uric Acid in Patients with Acute Stroke (URICO-ICTUS): A Randomised, Double-Blind Phase 2b/3 Trial. Lancet Neurol. 2014, 13, 453–460. [Google Scholar] [CrossRef] [PubMed]
- Ramos, M.F.P.; Monteiro de Barros, A.D.C.M.; Razvickas, C.V.; Borges, F.T.; Schor, N. Xanthine Oxidase Inhibitors and Sepsis. Int. J. Immunopathol. Pharmacol. 2018. [Google Scholar] [CrossRef] [PubMed]
- Németh, I.; Boda, D. Xanthine oxidase activity and blood glutathione redox ratio in infants and children with septic shock syndrome. Intensive Care Med. 2001, 27, 216–221. [Google Scholar] [CrossRef]
- Galley, H.F.; Davies, M.J.; Webster, N.R. Xanthine oxidase activity and free radical generation in patients with sepsis syndrome. Crit. Care Med. 1996, 24, 1649–1653. [Google Scholar] [CrossRef] [PubMed]
- Luchtemberg, M.N.; Petronilho, F.; Constantino, L. Xanthine oxidase activity in patients with sepsis. Clin. Biochem. 2008, 41, 1186–1190. [Google Scholar] [CrossRef]
- Prauchner, C.A. Oxidative Stress in Sepsis: Pathophysiological Implications Justifying Antioxidant co-Therapy. Burns 2017, 43, 471–485. [Google Scholar] [CrossRef] [PubMed]
- Hemilä, H.; Chalker, E. Vitamin C Can Shorten the Length of Stay in the ICU: A Meta-analysis. Nutrients 2019, 11, 708. [Google Scholar] [CrossRef]
- Marik, P.E. Hydrocortisone, Ascorbic Acid and Thiamine (HAT Therapy) for the Treatment of Sepsis. Focus on Ascorbic Acid. Nutrients 2018, 10, 1762. [Google Scholar] [CrossRef]
- Aspinen, S.; Harju, J.; Juvonen, P.; Selander, T.; Kokki, H.; Pulkki, K.; Eskelinen, M.J. The Plasma 8-OHdG Levels and oxi-Dative Stress Following Cholecystectomy: A Randomised Multicentre Study of Patients with Minilaparotomy cholecystec-tomy Versus Laparoscopic Cholecystectomy. Scand. J. Gastroenterol. 2016, 51, 1507–1511. [Google Scholar] [CrossRef] [PubMed]
- Han, M.; Park, H.C.; Kim, H.; Jo, H.A.; Huh, H.; Jang, J.Y.; Kang, A.Y.; Kim, S.H.; Cheong, H.I.; Kang, D.H.; et al. Hyperu-ricemia and Deterioration of Renal Function in Autosomal Dominant Polycystic Kidney Disease. BMC Nephrol. 2014, 15, 63. [Google Scholar] [CrossRef] [PubMed]
- Adler, R.; Robinson, R.; Pazdral, P.; Grushkin, C. Hyperuricemia in Diarrheal Dehydration. Am. J. Dis. Child. 1982, 136, 211–213. [Google Scholar] [CrossRef] [PubMed]
- Enomoto, A.; Kimura, H.; Chairoungdua, A.; Shigeta, Y.; Jutabha, P.; Cha, S.H.; Hosoyamada, M.; Takeda, M.; Sekine, T.; Igarashi, T.; et al. Molecular Identification of a Renal Urate Anion Exchanger That Regulates Blood Urate Levels. Nature 2002, 417, 447–452. [Google Scholar] [CrossRef]
- Loft, S.; Fischer-Nielsen, A.; Jeding, I.B.; Vistisen, K.; Poulsen, H.E. 8-Hydroxydeoxyguanosine as a Urinary Biomarker of Oxidative DNA Damage. J. Toxicol. Environ. Health 1993, 40, 391–404. [Google Scholar] [CrossRef]
- Miwa, M.; Matsumaru, H.; Akimoto, Y.; Naito, S.; Ochi, H. Quantitative Determination of Urinary 8-Hydroxy-2′-Deoxyguanosine Level in Healthy Japanese Volunteers. BioFactors 2004, 22, 249–253. [Google Scholar] [CrossRef]
- Ichiba, M.; Yamada, S.; Ishii, K.; Gonda, K.; Murai, R.; Shimomura, T.; Saeki, T.; Kanbe, T.; Tanabe, Y.; Yoshida, Y.; et al. Significance of Urinary Excretion of 8-Hydroxy-2′-Deoxyguanosine in Healthy Subjects and Liver Disease Patients. Hepatogas-Troenterology 2007, 54, 1736–1740. [Google Scholar]
- Kasai, H.; Iwamoto-Tanaka, N.; Miyamoto, T.; Kawanami, K.; Kawanami, S.; Kido, R.; Ikeda, M. Life Style and Urinary 8-Hydroxydeoxyguanosine, a Marker of Oxidative dna Damage: Effects of Exercise, Working Conditions, Meat Intake, Body Mass Index, and Smoking. Jpn. J. Cancer Res. 2001, 92, 9–15. [Google Scholar] [CrossRef]
- Bytyqi-Damoni, A.; Genç, H.; Zengin, M.; Beyaztas, S.; Gençer, N.; Arslan, O. In Vitro Effect of Novel β-Lactam Compounds on Xanthine Oxidase Enzyme Activity. Artif. Cells Blood Substit. Immobil. Biotechnol. 2012, 40, 369–377. [Google Scholar] [CrossRef]
- Berry, C.E.; Hare, J.M. Xanthine Oxidoreductase and Cardiovascular Disease: Molecular Mechanisms and Pathophysiological Implications. J. Physiol. 2004, 555, 589–606. [Google Scholar] [CrossRef]
- Martinez-Hervas, S.; Real, J.T.; Ivorra, C.; Priego, A.; Chaves, F.J.; Pallardo, F.V.; Viña, J.R.; Redon, J.; Carmena, R.; Ascaso, J.F. Increased Plasma Xanthine Oxidase Activity Is Related to Nuclear Factor Kappa Beta Activation and Inflammatory Markers in Familial Combined Hyperlipidemia. Nutr. Metab. Cardiovasc. Dis. 2010, 20, 734–739. [Google Scholar] [CrossRef] [PubMed]
- Martin, H.M.; Hancock, J.T.; Salisbury, V.; Harrison, R. Role of Xanthine Oxidoreductase as an Antimicrobial Agent. Infect. Immun. 2004, 72, 4933–4939. [Google Scholar] [CrossRef] [PubMed]
- Cimmino, G.; Cirillo, P.; Ragni, M.; Conte, S.; Uccello, G.; Golino, P. Reactive Oxygen Species Induce a Procoagulant State in Endothelial Cells by Inhibiting Tissue Factor Pathway Inhibitor. J. Thromb. Thrombolysis 2015, 40, 186–192. [Google Scholar] [CrossRef] [PubMed][Green Version]
- Umezawa, K.; Akaike, T.; Fujii, S.; Suga, M.; Setoguchi, K.; Ozawa, A.; Maeda, H. Induction of Nitric Oxide Synthesis and Xanthine Oxidase and Their Roles in the Antimicrobial Mechanism against Salmonella typhimurium Infection in Mice. Infect. Immun. 1997, 65, 2932–2940. [Google Scholar] [CrossRef] [PubMed]
- Ty, M.C.; Zuniga, M.; Götz, A.; Kayal, S.; Sahu, P.K.; Mohanty, A.; Mohanty, S.; Wassmer, S.C.; Rodriguez, A. Malaria in-Flammation by Xanthine Oxidase-Produced Reactive Oxygen Species. EMBO Mol. Med. 2019, 11, e9903. [Google Scholar] [CrossRef]
- Altomare, A.; Regazzoni, L.; Parra, X.M.P.; Selmin, F.; Rumio, C.; Carini, M.; Aldini, G. Set-Up and Application of an Analytical Approach for the Quality Control of Purified Colostrum as Food Supplement. J. Chromatogr. B 2016, 1028, 130–144. [Google Scholar] [CrossRef]
- Mahat, R.K.; Singh, N.; Gupta, A.; Rathore, V. Oxidative DNA Damage and Carotid Intima Media Thickness as Predictors of Cardiovascular Disease in Predia-betic Subjects. J. Cardiovasc. Dev. Dis. 2018, 5, 15. [Google Scholar]
- The R Project for Statistical Computing. Available online: http://www.R-project.org/ (accessed on 10 August 2023).
- Brun-Buisson, C.; Doyon, F.; Carlet, J.; Dellamonica, P.; Gouin, F.; Lepoutre, A.; Mercier, J.C.; Offenstadt, G.; Régnier, B. In-Cidence, Risk Factors, and Outcome of Severe Sepsis and Septic Shock in Adults. A Multicenter Prospective Study in intensive Care Units. JAMA 1995, 274, 968–974. [Google Scholar] [CrossRef]
- Andersen, L.W.; Mackenhauer, J.; Roberts, J.C.; Berg, K.M.; Cocchi, M.N.; Donnino, M.W. Etiology and Therapeutic Ap-Proach to Elevated Lactate Levels. Mayo Clin. Proc. 2013, 88, 1127–1140. [Google Scholar] [CrossRef]
- Zuo, L.; Prather, E.R.; Stetskiv, M.; Garrison, D.E.; Meade, J.R.; Peace, T.I.; Zhou, T. Inflammation and Oxidative Stress in Human Diseases: From Molecular Mechanisms to Novel Treatments. Int. J. Mol. Sci. 2019, 20, 4472. [Google Scholar] [CrossRef]
- Liochev, S.I. Reactive oxygen species and the free radical theory of aging. Free Radic. Biol. Med. 2013, 60, 1–4. [Google Scholar] [CrossRef] [PubMed]
- Chen, C.; Lü, J.M.; Yao, Q. Overview of hyperuricemia-related Diseases and Xanthine Oxidoreductase (XOR) inhibitors. Med. Sci. Monit. 2016, 22, 2501–2512. [Google Scholar] [CrossRef] [PubMed]
- Maiuolo, J.; Oppedisano, F.; Gratteri, S.; Muscoli, C.; Mollace, V. Regulation of UA metabolism and excretion. Int. J. Cardiol. 2016, 213, 8–14. [Google Scholar] [CrossRef]
- Torres, R.J.; Puig, J.G. Hypoxanthine-guanine phosphoribosyltransferase (HPRT) deficiency: Lesch-Nyhan syndrome. Orphanet. J. Rare Dis. 2007, 2, 48. [Google Scholar] [CrossRef] [PubMed]






| Background | Total (n = 60) | Death (n = 14) | Survival (n = 46) | Control (n = 10) | P1 | P2 |
|---|---|---|---|---|---|---|
| Age | 78.4 ± 12.9 | 86.1 ± 8.3 | 76.1 ± 13.2 | 53.0 ± 21.5 | 0.0036 | 0.0007 |
| Gender (female/male) | 27/33 | 4/10 | 23/23 | 6/4 | 0.1582 | N.A |
| BMI (kg/m2) | 20.3 ± 4.6 | 20.1 ± 2.9 | 20.3 ± 5.1 | 22.7 ± 4.1 | 0.8203 | 0.1224 |
| Septic shock, n (%) | 24 (40) | 11 (78) | 13 (28) | N.A | 0.0008 | N.A |
| SOFA score | 7 (6–10) | 9.5 (7.75–12) | 7 (5–9.25) | 2 (0.75–4) | 0.0041 | <0.0001 |
| WBC (×103/μL) | 10.5 ± 5.5 | 10.3 ± 6.2 | 10.5 ± 5.3 | 6.5 ± 2.1 | 0.7664 | 0.0271 |
| Platelet (×104/μL) | 203.5 (129.3–297.3) | 163 (91–306) | 210.5 (134–289.5) | 233.7 (183.3–286.3) | 0.2082 | 0.5346 |
| CRP (mg/dL) | 7.7 (1.7–17.5) | 10.7 (1.1–27.0) | 7.1 (1.7–15.2) | 0.14 (0.18–0.1) | 0.3966 | <0.0001 |
| Cr (mg/dL) | 1.44 (0.98–2.14) | 1.76 (5.29–1.11) | 1.33 (0.85–1.90) | 0.66 (0.58–0.7) | 0.0836 | 0.0001 |
| eGFR (mL/min/1.73 m2) | 35.2 (25.5–52.7) | 30.4 (16.3–43.55) | 37.6 (27.0–59.4) | 84.4 (72.7–94.6) | 0.1137 | 0.0003 |
| T.bilirubin (mg/dL) | 0.64 (0.42–1.07) | 0.64 (0.36–1.60) | 0.62 (0.42–1.03) | 0.73 (0.49–1.09) | 0.9721 | 0.8338 |
| LDH (U/L) | 298 (224.6– 386.8) | 323 (256.3–522.5) | 289 (221.3–373.8) | 177 (141.8–214.0) | 0.2312 | 0.0002 |
| AST (U/L) | 46.5 (24.25–70.75) | 44 (22–114.75) | 46.5 (24.75–70) | 18.5 (14.5–21.25) | 0.6811 | 0.0001 |
| ALT (U/L) | 24.5 (14.25–50.5) | 25.5 (14–91.75) | 24.5 (14.75–43) | 12 (9–16.5) | 0.8818 | 0.0025 |
| Blood.UA (mg/dL) | 7.0 (4.8–9.4) | 7.9 (4.8–10.9) | 6.6 (4.8–9.3) | 4.4 (3.4–5.0) | 0.447 | 0.0007 |
| Urinary.UA Excretion (mg/g·Cr) | 0.38 (0.21–0.60) | 0.37 (0.06–0.51) | 0.38 (0.21–0.64) | N.A | 0.408 | N.A |
| Lactate (mmoL/L) | 3.3 (2.0–7.1) | 7.5 (3–11.5) | 2.8 (1.9–5.2) | 1.1 (0.9–2.2) | 0.0024 | 0.0003 |
| Blood XDH (ng/mL) | 1.31 ± 0.56 | 1.76 ± 0.32 | 1.16 ± 0.55 | 0.70 ± 0.38 | 0.0004 | 0.0023 |
| Blood 8-OHdG (pg/mL) | 171.5 (101–222.25) | 148.0 (58–178.5) | 179.5 (118–234) | 124.5 (77.5–205.5) | 0.0571 | 0.3663 |
| MAP (mmHg) | 87 (67.25–107.25) | 90.5 (65.3–114.5) | 85 (68.8–105.8) | 112 (88.8–126.8) | 0.9721 | 0.006 |
| HR (/min) | 120.5 (99.25–143.5) | 110 (99.3–141.8) | 121.5 (98–144.3) | 80.1 ± 16.4 | 0.5065 | 0.0004 |
| RR (/min) | 28 (22–32) | 29 (20.3–30.5) | 27.5 (22–37.3) | 20.7 ± 5.14 | 0.9094 | 0.0363 |
| BT (°C) | 37.2 (35.9–38.9) | 37.7 (38.9–35.8) | 36.9 (35.9–38.9) | 36.0 (34.7–36.7) | 0.875 | 0.0167 |
| Urine volume (mL/day) | 950 (354–2080) | 235 (122.3–795) | 1305 (651.3–2135) | N.A | 0.0001 | N.A |
| Infusion volume (mL/day) | 5151 (3855–6687) | 5931 (4882–10144) | 5000 (3579–5975) | N.A | 0.0302 | N.A |
| Water balance (mL/day) | 3695.5 (2097–5387) | 5336.5 (3646–9246) | 2985 (1918–4375) | N.A | 0.0014 | N.A |
| At Admission | All | Death | Survival | Control | P3 | P4 |
|---|---|---|---|---|---|---|
| MeanBP (mmHg) | 87 (67.3–107.3) | 90.5 (65.3–114.5) | 85 (68.8–105.8) | 112 (88.8–126.8) | 0.9721 | 0.0363 |
| HR (/min) | 120.5 ± 34.8 | 115.9 ± 24.9 | 121.9 ± 37.4 | 80.1 ± 16.4 | 0.5065 | 0.0004 |
| RR (/min) | 27.26 ± 8.33 | 27.6 ± 7.41 | 27.15 ± 8.67 | 20.7 ± 5.14 | 0.9094 | 0.0060 |
| BT (°C) | 37.2 (35.9–38.9) | 37.6 (35.8–38.9) | 36.9 (35.9–38.9) | 35.95 (34.7–36.7) | 0.875 | 0.00167 |
| At 24 h after Admission | All | Death | Survival | p-Value |
|---|---|---|---|---|
| Urine volume (mL) | 950 (354–2080) | 235 (122–795) | 1305 (651–2135) | 0.0001 |
| Total infusion volume (mL) | 5151 (3855–6686) | 5930 (4882–10144) | 5000 (3578–5975) | 0.0302 |
| Body fluid balance (mL) | 3695 (2097–5387) | 5336 (3645–9246) | 2985 (1918–4374) | 0.0014 |
| UA⊿ (day1–day0) | −4.93 (−29.06–12.68) | −15.87 (−29.06–−3.50) | 0.2068 | |
| XDH⊿ (day1–day0) | −3.33 (−16.03–27.48) | −14.38 (−60.47–13.44) | 0.1169 | |
| At 72 h after admission | ||||
| Urine volume (mL) | 4375 (1573–6247) | 421 (174–1275) | 4987 (3751–7463) | <0.0001 |
| Total infusion volume (mL) | 9824 (6918–12256) | 10209 (8324–4105) | 9747 (7954–12,196) | 0.4419 |
| Body fluid balance (mL) | 4848 (2537–7402) | 9400 (5418–13226) | 4066 (1648–5668) | <0.0001 |
| UA⊿ (day3–day0) | −19.60 (−70.55–−32.45) | −40.31 (−63.85–−26.14) | 0.3321 | |
| XDH⊿ (day3–day0) | −0.70 (−14.10–47.92) | −50.72 (−74.91–−19.51) | 0.0056 |
| Univariate Analysis | Multivariate Analysis | |||
|---|---|---|---|---|
| Background at Admission | Odds Ratio (95% CI) | p-Value | Odds Ratio (95% CI) | p-Value |
| Age | 1.115 (1.022–1.215) | 0.002 | 1.089 (0.995–1.229) | 0.068 |
| Sex | 0.4 (0.109–1.461) | 0.152 | ||
| BMI (kg/m2) | 0.990 (0.862–1.127) | 0.884 | ||
| SOFA score | 1.46 (1.13–1.97) | 0.0025 | 1.169 (0.819–1.704) | 0.384 |
| WBC count (×103/μL) | 0.993 (0.888–1.109) | 0.895 | ||
| PLT count (×104/μL) | 0.996 (0.990–1.003) | 0.214 | ||
| CRP (mg/dL) | 1.042 (0.987–1.101) | 0.137 | ||
| Cr (mg/dL) | 1.413 (1.026–2.018) | 0.035 | ||
| eGFR (mL/min/1.73 m2) | 0.979 (0.948–1.001) | 0.071 | ||
| T-bil (mg/dL) | 1.155 (0.817–1.625) | 0.375 | ||
| LDH (U/L) | 1.000 (0.999–1.004) | 0.084 | ||
| AST (U/L) | 1.001 (0.999–1.004) | 0.130 | ||
| ALT (U/L) | 1.002 (0.998–1.006) | 0.290 | ||
| UA (mg/dL) | 1.071 (0.931–1.229) | 0.322 | ||
| U.excretion of UA (mg/g·Cr) | 0.138 (0.001–2.758) | 0.267 | ||
| Lactate levels (mmoL/L) | 1.367 (1.120–1.668) | 0.0003 | 1.223 (0.993–1.602) | 0.059 |
| Blood XDH levels (ng/mL) | 14.25 (2.51–80.79) | 0.0002 | 8.839 (1.417–91.21) | 0.018 |
| Blood 8-OHdG levels (pg/mL) | 0.9945 (0.987–1.001) | 0.109 |
Disclaimer/Publisher’s Note: The statements, opinions and data contained in all publications are solely those of the individual author(s) and contributor(s) and not of MDPI and/or the editor(s). MDPI and/or the editor(s) disclaim responsibility for any injury to people or property resulting from any ideas, methods, instructions or products referred to in the content. |
© 2023 by the authors. Licensee MDPI, Basel, Switzerland. This article is an open access article distributed under the terms and conditions of the Creative Commons Attribution (CC BY) license (https://creativecommons.org/licenses/by/4.0/).
Share and Cite
Matsuoka, M.; Yamaguchi, J.; Kinoshita, K. Clinical Significance of Elevated Xanthine Dehydrogenase Levels and Hyperuricemia in Patients with Sepsis. Int. J. Mol. Sci. 2023, 24, 13857. https://doi.org/10.3390/ijms241813857
Matsuoka M, Yamaguchi J, Kinoshita K. Clinical Significance of Elevated Xanthine Dehydrogenase Levels and Hyperuricemia in Patients with Sepsis. International Journal of Molecular Sciences. 2023; 24(18):13857. https://doi.org/10.3390/ijms241813857
Chicago/Turabian StyleMatsuoka, Masaru, Junko Yamaguchi, and Kosaku Kinoshita. 2023. "Clinical Significance of Elevated Xanthine Dehydrogenase Levels and Hyperuricemia in Patients with Sepsis" International Journal of Molecular Sciences 24, no. 18: 13857. https://doi.org/10.3390/ijms241813857
APA StyleMatsuoka, M., Yamaguchi, J., & Kinoshita, K. (2023). Clinical Significance of Elevated Xanthine Dehydrogenase Levels and Hyperuricemia in Patients with Sepsis. International Journal of Molecular Sciences, 24(18), 13857. https://doi.org/10.3390/ijms241813857

