Over-Expression of Phosphoserine Aminotransferase-Encoding Gene (AtPSAT1) Prompts Starch Accumulation in L. turionifera under Nitrogen Starvation
Abstract
1. Introduction
2. Results
2.1. Generation of AtPSAT1 Over-Expressing Duckweed
2.2. Over-Expression of AtPSAT1 Affects Frond and Root of Duckweed under Datko and Nitrogen Starvation
2.3. Over-Expression of AtPSAT1 Affects Photosynthetic Pigment and Chlorophyll Fluorescence-Related Parameters under Nitrogen Starvation
2.4. Over-Expression of AtPSAT1 Affects Starch, Sugar, and Soluble Protein Contents under Nitrogen Starvation
2.5. Over-Expression of AtPSAT1 Affects Enzyme Activity of Nitrogen Assimilation and Expression of Nitrogen Assimilation-Related Genes under Nitrogen Starvation
2.6. Over-Expression of AtPSAT1 Affects Starch Metabolism Genes under Nitrogen Starvation
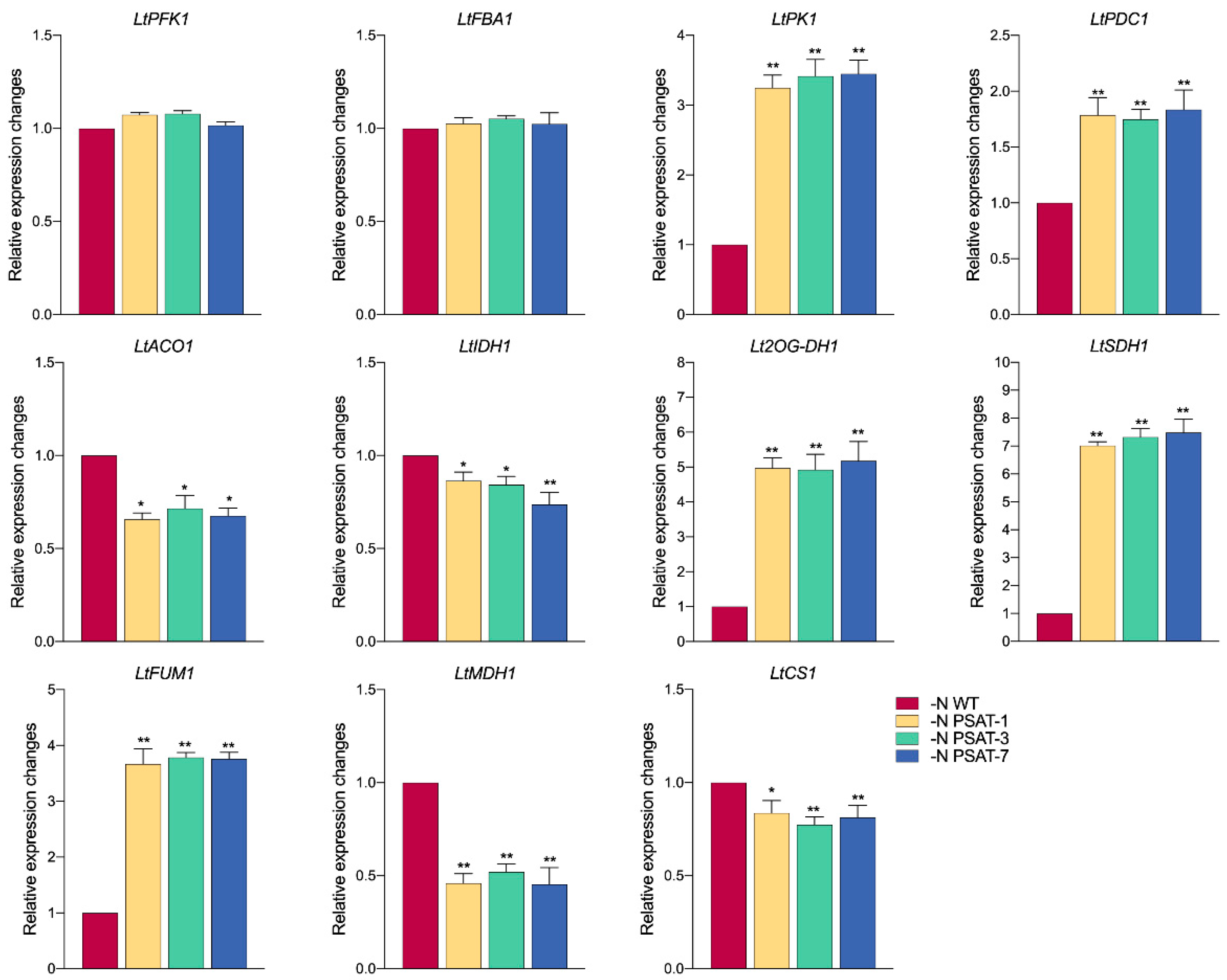
2.7. Over-Expression of AtPSAT1 Affects Carbon Metabolism under Nitrogen Starvation
3. Discussion
3.1. Over-Expression of AtPSAT1 Prompts Growth by Regulating Utilization of Endogenous Nitrogen under Nitrogen Starvation
3.2. Over-Expression of AtPSAT1 Prompts Starch Accumulation by Regulating Starch Synthesis, Glycolysis, and TCA under Nitrogen Starvation
4. Materials and Methods
4.1. Duckweed Culture and Nitrogen Starvation Treatment
4.2. Vector Construction and the Transgenic Duckweed Verification
4.3. Measurement of the PSAT Enzyme Activity
4.4. Measurements of Biomass and RGB
4.5. Duckweed Phenotype Observation, Root Length Measurement, and Statistics
4.6. Quantification of Photosynthetic Pigment and Chlorophyll Fluorescence Parameters
4.7. Observation of Frond Morphology and Ultrastructure
4.8. Measurement of Starch, Total Sugar, and Soluble Protein Contents
4.9. Measurement of NR, NIR, GS, and GOGAT Activities
4.10. qRT-PCR Analysis of Gene Expression
4.11. Statistical Analysis
5. Conclusions
Supplementary Materials
Author Contributions
Funding
Institutional Review Board Statement
Informed Consent Statement
Data Availability Statement
Acknowledgments
Conflicts of Interest
References
- Xu, J.; Zhao, H.; Stomp, A.-M.; Cheng, J.J. The Production of Duckweed as a Source of Biofuels. Biofuels 2012, 3, 589–601. [Google Scholar] [CrossRef]
- Souto, L.R.F.; da Silva, I.F.; Ninow, J.L.; Collins, S.R.; Elliston, A.; Waldron, K.W. Effect of Hydrothermal Pre-Treatment on Duckweed (Landoltia punctata) Biomass for Simultaneous Saccharification and Fermentation Process. Biomass Bioenergy 2019, 127, 105259. [Google Scholar] [CrossRef]
- Reid, M.S.; Bieleski, R.L. Response of Spirodela oligorrhiza to Phosphorus Deficiency. Plant Physiol. 1970, 46, 609–613. [Google Scholar] [CrossRef]
- Mohedano, R.A.; Costa, R.H.R.; Filho, P.B. Effects of CO2 Concentration on Nutrient Uptake and Starch Accumulation by Duckweed Used for Wastewater Treatment and Bioethanol Production. Rev. Latinoam. de Biotecnol. Ambient. Y Algal 2016, 7, 3. [Google Scholar] [CrossRef]
- Liu, Y.; Wang, X.; Fang, Y.; Huang, M.; Chen, X.; Zhang, Y.; Zhao, H. The Effects of Photoperiod and Nutrition on Duckweed (Landoltia punctata) Growth and Starch Accumulation. Ind. Crop. Prod. 2018, 115, 243–249. [Google Scholar] [CrossRef]
- Yin, Y.; Yu, C.; Yu, L.; Zhao, J.; Sun, C.; Ma, Y.; Zhou, G. The Influence of Light Intensity and Photoperiod on Duckweed Biomass and Starch Accumulation for Bioethanol Production. Bioresour. Technol. 2015, 187, 84–90. [Google Scholar] [CrossRef] [PubMed]
- Liu, Y.; Chen, X.; Wang, X.; Fang, Y.; Zhang, Y.; Huang, M.; Zhao, H. The Influence of Different Plant Hormones on Biomass and Starch Accumulation of Duckweed: A Renewable Feedstock for Bioethanol Production. Renew. Energy 2019, 138, 659–665. [Google Scholar] [CrossRef]
- McLaren, J.S.; Smith, H. The Effect of Abscisic Acid on Growth, Photosynthetic Rate and Carbohydrate Metabolism in Lemna minor L. New Phytol. 1976, 76, 11–20. [Google Scholar] [CrossRef]
- McCombs, P.J.A.; Ralph, R.K. Protein, Nucleic Acid and Starch Metabolism in the Duckweed Spirodela Oligorrhiza, Treated with cytokinins. Biochem. J. 1972, 129, 403–417. [Google Scholar] [CrossRef][Green Version]
- Wang, X.; Cui, W.; Hu, W.; Feng, C. Abscisic Acid-Enhanced Starch Accumulation of Bioenergy Crop Duckweed (Spirodela polyrrhiza). RSC Adv. 2020, 10, 10394–10401. [Google Scholar] [CrossRef]
- Faizal, A.; Putra, R.T. Uniconazole Increases Starch Content in Duckweed (Lemna aequinoctialis Welw.). 3BIO J. Biol. Sci. Technol. Manag. 2019, 1, 1–6. [Google Scholar] [CrossRef]
- Zhu, Y.; Li, X.; Gao, X.; Sun, J.; Ji, X.; Feng, G.; Shen, G.; Xiang, B.; Wang, Y. Molecular Mechanism Underlying the Effect of Maleic Hydrazide Treatment on Starch Accumulation in S. Polyrrhiza 7498 Fronds. Biotechnol. Biofuels 2021, 14, 99. [Google Scholar] [CrossRef]
- Tao, X.; Fang, Y.; Xiao, Y.; Jin, Y.-L.; Ma, X.-R.; Zhao, Y.; He, K.-Z.; Zhao, H.; Wang, H.-Y. Comparative Transcriptome Analysis to Investigate the High Starch Accumulation of Duckweed (Landoltia punctata) Under Nutrient Starvation. Biotechnol. Biofuels 2013, 6, 72. [Google Scholar] [CrossRef] [PubMed]
- Li, J.-M.; Du, A.-P.; Liu, P.-H.; Tian, X.-P.; Jin, Y.-L.; Yi, Z.-L.; He, K.-Z.; Fang, Y.; Zhao, H. High Starch Accumulation Mechanism and Phosphorus Utilization Efficiency of Duckweed (Landoltia punctata) Under Phosphate Starvation. Ind. Crop. Prod. 2021, 167, 113529. [Google Scholar] [CrossRef]
- Sun, Z.; Guo, W.; Zhao, X.; Yang, J.; Duan, P.; Xu, S.; Hou, H. Sulfur Limitation Increases Duckweed Starch Accumulation Without Compromising Growth. Biorxiv 2021. [Google Scholar] [CrossRef]
- Yu, C.; Zhao, X.; Qi, G.; Bai, Z.; Wang, Y.; Wang, S.; Ma, Y.; Liu, Q.; Shumin, W.; Zhou, G. Integrated Analysis of Transcriptome and Metabolites Reveals an Essential Role of Metabolic Flux in Starch Accumulation Under Nitrogen Starvation in Duckweed. Biotechnol. Biofuels 2017, 10, 167. [Google Scholar] [CrossRef]
- Guo, L.; Jin, Y.; Xiao, Y.; Tan, L.; Tian, X.; Ding, Y.; He, K.; Du, A.; Li, J.; Yi, Z.; et al. Energy-Efficient and Environmentally Friendly Production of Starch-Rich Duckweed Biomass Using Nitrogen-Limited Cultivation. J. Clean. Prod. 2019, 251, 119726. [Google Scholar] [CrossRef]
- Ros, R.; Muñoz-Bertomeu, J.; Krueger, S. Serine in Plants: Biosynthesis, Metabolism, and Functions. Trends Plant Sci. 2014, 19, 564–569. [Google Scholar] [CrossRef]
- Ho, C.-L.; Saito, K. Molecular Biology of The Plastidic Phosphorylated Serine Biosynthetic Pathway in Arabidopsis thaliana. Amino Acids 2001, 20, 243–259. [Google Scholar] [CrossRef]
- Cascales-Miñana, B.; Muñoz-Bertomeu, J.; Flores-Tornero, M.; Anoman, A.D.; Pertusa, J.; Alaiz, M.; Osorio, S.; Fernie, A.R.; Segura, J.; Ros, R. The Phosphorylated Pathway of Serine Biosynthesis Is Essential Both for Male Gametophyte and Embryo Development and for Root Growth in Arabidopsis. Plant Cell 2013, 25, 2084–2101. [Google Scholar] [CrossRef]
- Zimmermann, S.E.; Benstein, R.M.; Flores-Tornero, M.; Blau, S.; Anoman, A.D.; Rosa-Téllez, S.; Gerlich, S.C.; A Salem, M.; Alseekh, S.; Kopriva, S.; et al. The Phosphorylated Pathway of Serine Biosynthesis Links Plant Growth with Nitrogen Metabolism. Plant Physiol. 2021, 186, 1487–1506. [Google Scholar] [CrossRef] [PubMed]
- Wulfert, S.; Krueger, S. Phosphoserine Aminotransferase1 Is Part of the Phosphorylated Pathways for Serine Biosynthesis and Essential for Light and Sugar-Dependent Growth Promotion. Front. Plant Sci. 2018, 9, 1712. [Google Scholar] [CrossRef] [PubMed]
- Igamberdiev, A.U.; Kleczkowski, L.A. The Glycerate and Phosphorylated Pathways of Serine Synthesis in Plants: The Branches of Plant Glycolysis Linking Carbon and Nitrogen Metabolism. Front. Plant Sci. 2018, 9, 318. [Google Scholar] [CrossRef] [PubMed]
- Benstein, R.M.; Ludewig, K.; Wulfert, S.; Wittek, S.; Gigolashvili, T.; Frerigmann, H.; Gierth, M.; Flügge, U.-I.; Krueger, S. Arabidopsis Phosphoglycerate Dehydrogenase1 of the Phosphoserine Pathway Is Essential for Development and Required for Ammonium Assimilation and Tryptophan Biosynthesis. Plant Cell 2013, 25, 5011–5029. [Google Scholar] [CrossRef]
- Ho, C.-L.; Noji, M.; Saito, M.; Yamazaki, M.; Saito, K. Molecular Characterization of Plastidic Phosphoserine Aminotrans-Ferase in Serine Biosynthesis from Arabidopsis. Plant J. Cell Mol. Biol. 1998, 16, 443–452. [Google Scholar] [CrossRef]
- Ho, C.-L.; Noji, M.; Saito, K. Plastidic Pathway of Serine Biosynthesis—Molecular Cloning and Expression of 3-Phosphoserine Phosphatase from Arabidopsis thaliana. J. Biol. Chem. 1999, 274, 11007–11012. [Google Scholar] [CrossRef]
- Sekula, B.; Ruszkowski, M.; Dauter, Z. Structural Analysis of Phosphoserine Aminotransferase (Isoform 1) from Arabidopsis thaliana—The Enzyme Involved in the Phosphorylated Pathway of Serine Biosynthesis. Front. Plant Sci. 2018, 9, 876. [Google Scholar] [CrossRef]
- Zhao, Z.; Shi, H.-J.; Wang, M.-L.; Cui, L.; Zhao, H.; Zhao, Y. Effect of Nitrogen and Phosphorus Deficiency on Transcriptional Regulation of Genes Encoding Key Enzymes of Starch Metabolism in Duckweed (Landoltia punctata). Plant Physiol. Biochem. 2015, 86, 72–81. [Google Scholar] [CrossRef]
- Masclaux-Daubresse, C.; Reisdorf-Cren, M.; Pageau, K.; Lelandais, M.; Grandjean, O.; Kronenberger, J.; Valadier, M.-H.; Feraud, M.; Jouglet, T.; Suzuki, A. Glutamine Synthetase-Glutamate Synthase Pathway and Glutamate Dehydrogenase Play Distinct Roles in the Sink-Source Nitrogen Cycle in Tobacco. Plant Physiol. 2006, 140, 444–456. [Google Scholar] [CrossRef]
- Sulpice, R.; Pyl, E.-T.; Ishihara, H.; Trenkamp, S.; Steinfath, M.; Witucka-Wall, H.; Gibon, Y.; Usadel, B.; Poree, F.; Piques, M.C.; et al. Starch as a Major Integrator in the Regulation of Plant Growth. Proc. Natl. Acad. Sci. USA 2009, 106, 10348–10353. [Google Scholar] [CrossRef]
- MacNeill, G.J.; Mehrpouyan, S.; Minow, M.A.A.; Patterson, J.A.; Tetlow, I.J.; Emes, M.J. Starch as a source, starch as a sink: The bifunctional role of starch in carbon allocation. J. Exp. Bot. 2017, 68, 4433–4453. [Google Scholar] [CrossRef] [PubMed]
- Qu, J.; Xu, S.; Zhang, Z.; Chen, G.; Zhong, Y.; Liu, L.; Zhang, R.; Xue, J.; Guo, D. Evolutionary, structural and expression analysis of core genes involved in starch synthesis. Sci. Rep. 2018, 8, 12736. [Google Scholar] [CrossRef] [PubMed]
- Scheidig, A.; Frohlich, A.; Schulze, S.; Lloyd, J.R.; Kossmann, J. Downregulation of a Chloroplast-Targeted Beta-Amylase Leads to a Starch-Excess Phenotype in Leaves. Plant J. Cell Mol. Biol. 2002, 30, 581–591. [Google Scholar] [CrossRef] [PubMed]
- Critchley, J.H.; Zeeman, S.; Takaha, T.; Smith, A.M.; Smith, S. A Critical Role for Disproportionating Enzyme in Starch Breakdown Is Revealed by A Knock-Out Mutation in Arabidopsis. Plant J. Cell Mol. Biol. 2001, 26, 89–100. [Google Scholar] [CrossRef]
- Caballero, L.; Bancel, E.; Debiton, C.; Branlard, G. Granule-Bound Starch Synthase (GBSS) Diversity of Ancient Wheat and Related Species. Plant Breed. 2008, 127, 548–553. [Google Scholar] [CrossRef]
- Smith, A.M. Starch in the Arabidopsis Plant. Starch Starke 2012, 64, 421–434. [Google Scholar] [CrossRef]
- Reddy, M.M.; Ulaganathan, K. Nitrogen Nutrition, Its Regulation and Biotechnological Approaches to Improve Crop Productivity. Am. J. Plant Sci. 2015; 6, in press. [Google Scholar] [CrossRef][Green Version]
- Zhang, Z.; Xiong, S.; Wei, Y.; Meng, X.; Wang, X.; Ma, X. The Role of Glutamine Synthetase Isozymes in Enhancing Nitrogen Use Efficiency of N-Efficient Winter Wheat. Sci. Rep. 2017, 7, 1000. [Google Scholar] [CrossRef]
- Bernard, S.M.; Habash, D. The Importance of Cytosolic Glutamine Synthetase in Nitrogen Assimilation and Recycling. New Phytol. 2009, 182, 608–620. [Google Scholar] [CrossRef]
- Dellero, Y. Manipulating Amino Acid Metabolism to Improve Crop Nitrogen Use Efficiency for a Sustainable Agriculture. Front. Plant Sci. 2020, 11, 602548. [Google Scholar] [CrossRef]
- Avin-Wittenberg, T.; Baluška, F.; Bozhkov, P.; Elander, P.H.; Fernie, A.R.; Galili, G.; Hassan, A.; Hofius, D.; Isono, E.; Le Bars, R.; et al. Autophagy-related approaches for improving nutrient use efficiency and crop yield protection. J. Exp. Bot. 2018, 69, 1335–1353. [Google Scholar] [CrossRef] [PubMed]
- Thomsen, H.C.; Eriksson, D.; Møller, I.S.; Schjoerring, J.K. Cytosolic Glutamine Synthetase: A Target for Improvement of Crop Nitrogen Use Efficiency? Trends Plant Sci. 2014, 19, 656–663. [Google Scholar] [CrossRef] [PubMed]
- Lan, S.; Wu, L.; Zhang, D.; Hu, C.; Liu, Y. Effects of Drought and Salt Stresses on Man-Made Cyanobacterial Crusts. Eur. J. Soil Biol. 2010, 46, 381–386. [Google Scholar] [CrossRef]
- Wang, W.; Messing, J. Analysis of ADP-Glucose Pyrophosphorylase Expression During Turion Formation Induced by Abscisic Acid in Spirodela polyrhiza (Greater Duckweed). BMC Plant Biol. 2012, 12, 5. [Google Scholar] [CrossRef]
- Basurko, M.-J.; Marche, M.; Darriet, M.; Cassaigne, A. Phosphoserine Aminotransferase, the Second Step-Catalyzing Enzyme for Serine Biosynthesis. IUBMB Life 1999, 48, 525–529. [Google Scholar] [CrossRef]
- Armand, D.A.; Muñoz-Bertomeu, J.; Rosa-Téllez, S.; Flores-Tornero, M.; Serrano, R.; Bueso, E.; Alisdair, R.F.; Segura, J.; Ros, R. Plastidial Glycolytic Glyceraldehyde-3-Phosphate Dehydrogenase is an Important Determinant in the Carbon and Nitrogen Metabolism of Heterotrophic cells in Arabidopsis. Plant Physiol. 2015, 169, 1619–1637. [Google Scholar] [CrossRef]
- Wang, Y.; Kandeler, R. Promotion of Flowering by a Tumor Promoter. J. Plant Physiol. 1994, 144, 710–713. [Google Scholar] [CrossRef]
- Yang, L.; Han, Y.; Wu, D.; Yong, W.; Liu, M.; Wang, S.; Liu, W.; Lu, M.; Wei, Y.; Sun, J. Salt and Cadmium Stress Tolerance Caused by Overexpression of the Glycine Max Na+/H+ Antiporter (Gmnhx1) Gene in Duckweed (Lemna turionifera 5511). Aquat. Toxicol. 2017, 192, 127–135. [Google Scholar] [CrossRef]
- Su, C.; Jiang, Y.; Yang, Y.; Zhang, W.; Xu, Q. Responses of Duckweed (Lemna minor L.) to Aluminum Stress: Physiological and Proteomics Analyses. Ecotoxicol. Environ. Saf. 2018, 170, 127–140. [Google Scholar] [CrossRef]
- Ziegler, P.; Adelmann, K.; Zimmer, S.; Schmidt, C.; Appenroth, K.-J. Relative In Vitro Growth Rates of Duckweeds (Lemnaceae) —The Most Rapidly Growing Higher Plants. Plant Biol. 2014, 17, 33–41. [Google Scholar] [CrossRef]
- Arnon, D.I. Copper Enzymes in Isolated Chloroplasts. Polyphenoloxidase in Beta vulgaris. Plant Physiol. 1949, 24, 1–15. [Google Scholar] [CrossRef] [PubMed]











Publisher’s Note: MDPI stays neutral with regard to jurisdictional claims in published maps and institutional affiliations. |
© 2022 by the authors. Licensee MDPI, Basel, Switzerland. This article is an open access article distributed under the terms and conditions of the Creative Commons Attribution (CC BY) license (https://creativecommons.org/licenses/by/4.0/).
Share and Cite
Wang, L.; Li, S.; Sun, L.; Tong, Y.; Yang, L.; Zhu, Y.; Wang, Y. Over-Expression of Phosphoserine Aminotransferase-Encoding Gene (AtPSAT1) Prompts Starch Accumulation in L. turionifera under Nitrogen Starvation. Int. J. Mol. Sci. 2022, 23, 11563. https://doi.org/10.3390/ijms231911563
Wang L, Li S, Sun L, Tong Y, Yang L, Zhu Y, Wang Y. Over-Expression of Phosphoserine Aminotransferase-Encoding Gene (AtPSAT1) Prompts Starch Accumulation in L. turionifera under Nitrogen Starvation. International Journal of Molecular Sciences. 2022; 23(19):11563. https://doi.org/10.3390/ijms231911563
Chicago/Turabian StyleWang, Lei, Shuiling Li, Ling Sun, Yana Tong, Lin Yang, Yerong Zhu, and Yong Wang. 2022. "Over-Expression of Phosphoserine Aminotransferase-Encoding Gene (AtPSAT1) Prompts Starch Accumulation in L. turionifera under Nitrogen Starvation" International Journal of Molecular Sciences 23, no. 19: 11563. https://doi.org/10.3390/ijms231911563
APA StyleWang, L., Li, S., Sun, L., Tong, Y., Yang, L., Zhu, Y., & Wang, Y. (2022). Over-Expression of Phosphoserine Aminotransferase-Encoding Gene (AtPSAT1) Prompts Starch Accumulation in L. turionifera under Nitrogen Starvation. International Journal of Molecular Sciences, 23(19), 11563. https://doi.org/10.3390/ijms231911563

