Hsp90 as a Myokine: Its Association with Systemic Inflammation after Exercise Interventions in Patients with Myositis and Healthy Subjects
Abstract
1. Introduction
2. Results
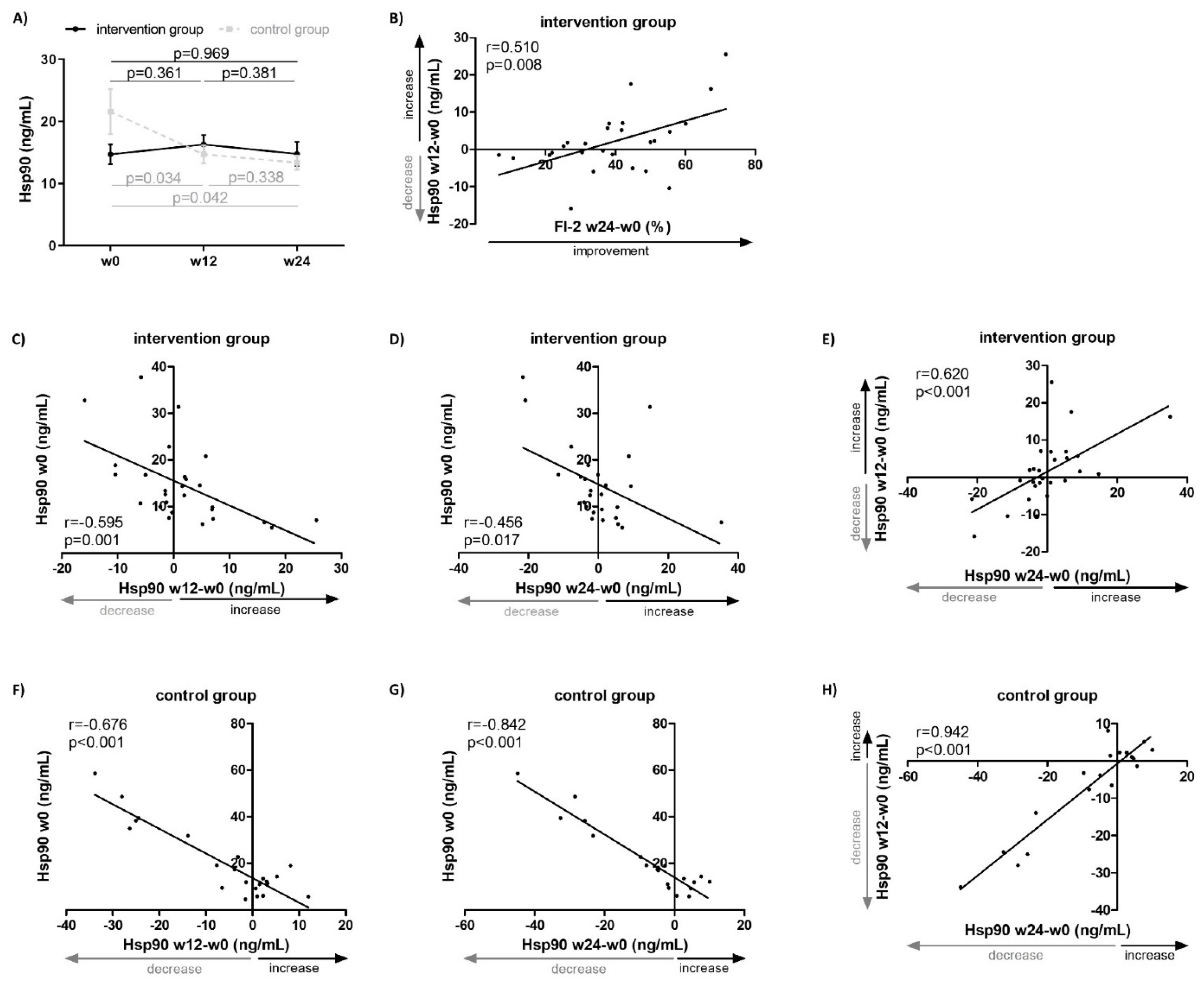
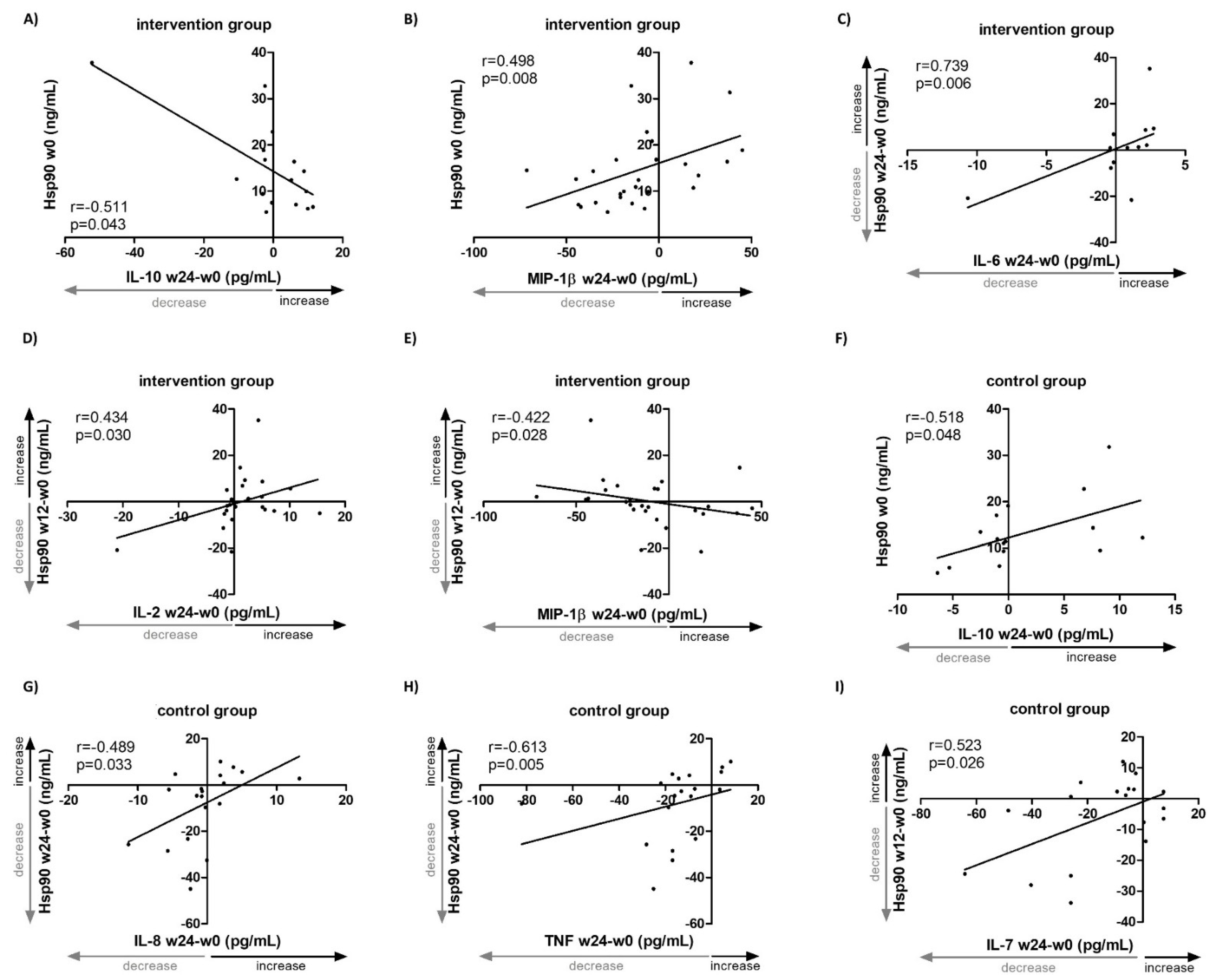
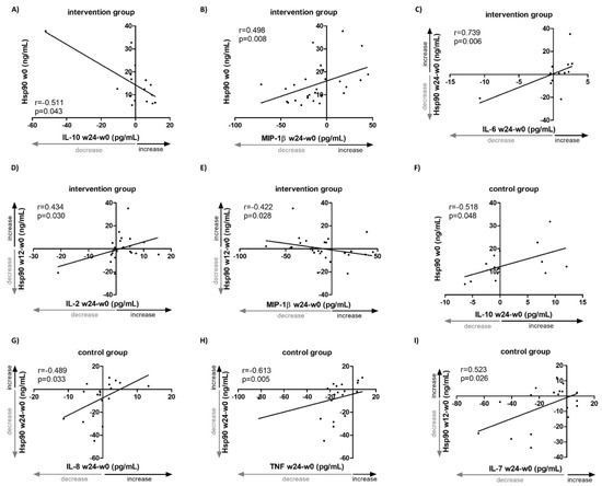
2.1. Hsp90 Levels in IIM Patients: The Intervention Group (n = 27)
2.2. Hsp90 Levels in IIM Patients: The Control Group (n = 23)
2.3. Hsp90 Levels in Healthy Subjects after Exercise Intervention (n = 18)
3. Discussion
4. Materials and Methods
4.1. Participants and Experimental Design
4.2. Downhill Running Protocol
4.3. Laboratory Analysis
4.4. Statistical Analysis
5. Conclusions
Supplementary Materials
Author Contributions
Funding
Institutional Review Board Statement
Informed Consent Statement
Data Availability Statement
Acknowledgments
Conflicts of Interest
Abbreviations
| ALT | Alanine aminotransferase |
| ANA | Antinuclear antibodies |
| ASS | Anti-synthetase syndrome |
| AST | Aspartate aminotransferase |
| BDI-II | Beck’s Depression Inventory-II |
| CADM | Clinically amyopathic dermatomyositis |
| CG | Control group |
| CK | Creatine phosphokinase |
| CRP | C-reactive protein |
| CXCL10 | C-X-C motif chemokine ligand 10, also known as IP-10 |
| DM | Dermatomyositis |
| ELISA | Enzyme-linked immunosorbent assay |
| ESR | Erythrocyte sedimentation rate |
| FGF | Fibroblast growth factor |
| FI-2 | Functional Index-2 |
| FIS | Fatigue Impact Scale |
| FVA | Force vector area |
| G-CSF | Granulocyte colony-stimulating factor |
| GM-CSF | Granulocyte-macrophage colony-stimulating factor |
| HAQ | Health Assessment Questionnaire |
| HCK | Hematopoietic cell kinase |
| Hsp90 | Heat shock protein 90 |
| IBM | Inclusion body myositis |
| IFN | Interferon |
| IG | Intervention group |
| IIM | Idiopathic inflammatory myopathies |
| IL | Interleukin |
| IMNM | Immune-mediated necrotizing myopathy |
| JAK | Janus kinase |
| LD | Lactate dehydrogenase |
| MAA | Myositis associated antibodies |
| MAPK | Mitogen-activated protein kinase |
| MCP-1 | Monocyte chemoattractant protein-1, also known as CCL2 |
| MIP-1α | Macrophage inflammatory protein-1α, also known as CCL3 |
| MIP-1β | Macrophage inflammatory protein-1β, also known as CCL4 |
| MMT-8 | Manual Muscle Testing of eight muscle groups |
| MSA | Myositis specific antibodies |
| NF-kB | Nuclear factor kappa-light-chain-enhancer of activated B cells |
| OM | Overlap myositis |
| PDGF | Platelet-derived growth factor |
| PM | Polymyositis |
| RANTES | Regulated on activation/normal T cell expressed and secreted, or CCL5 |
| Ras | Rat sarcoma protein, or Ras GTPase protein |
| SF-36 | Medical Outcomes Study 36-item Short Form Health Survey |
| STAT | Signal transducer and activator of transcription |
| TNF | Tumor necrosis factor |
| VEGF | Vascular endothelial growth factor |
| w | weeks |
References
- Eckel, J. Myokines in Metabolic Homeostasis and Diabetes. Diabetologia 2019, 62, 1523–1528. [Google Scholar] [CrossRef]
- Severinsen, M.C.K.; Pedersen, B.K. Muscle-Organ Crosstalk: The Emerging Roles of Myokines. Endocr. Rev. 2020, 41, bnaa016. [Google Scholar] [CrossRef]
- Pedersen, L.; Hojman, P. Muscle-to-Organ Cross Talk Mediated by Myokines. Adipocyte 2012, 1, 164–167. [Google Scholar] [CrossRef]
- Pedersen, B.K. Anti-Inflammatory Effects of Exercise: Role in Diabetes and Cardiovascular Disease. Eur. J. Clin. Investig. 2017, 47, 600–611. [Google Scholar] [CrossRef]
- Pedersen, B.K. Exercise-Induced Myokines and Their Role in Chronic Diseases. Brain Behav. Immun. 2011, 25, 811–816. [Google Scholar] [CrossRef]
- Pedersen, B.K.; Steensberg, A.; Fischer, C.; Keller, C.; Keller, P.; Plomgaard, P.; Febbraio, M.; Saltin, B. Searching for the Exercise Factor: Is IL-6 a Candidate? J. Muscle Res. Cell Motil. 2003, 24, 113–119. [Google Scholar] [CrossRef]
- Pedersen, B.K. Myokines and Metabolism. In Metabolic Syndrome; Ahima, R.S., Ed.; Springer International Publishing: Cham, Switzerland, 2016; pp. 541–554. ISBN 978-3-319-11250-3. [Google Scholar]
- Pedersen, B.K. Muscle as a Secretory Organ. Compr. Physiol. 2013, 3, 1337–1362. [Google Scholar] [CrossRef]
- Chow, L.S.; Gerszten, R.E.; Taylor, J.M.; Pedersen, B.K.; van Praag, H.; Trappe, S.; Febbraio, M.A.; Galis, Z.S.; Gao, Y.; Haus, J.M.; et al. Exerkines in Health, Resilience and Disease. Nat. Rev. Endocrinol. 2022, 18, 273–289. [Google Scholar] [CrossRef]
- Das, D.K.; Graham, Z.A.; Cardozo, C.P. Myokines in Skeletal Muscle Physiology and Metabolism: Recent Advances and Future Perspectives. Acta Physiol. 2020, 228, e13367. [Google Scholar] [CrossRef]
- Scheffer, D.d.L.; Latini, A. Exercise-Induced Immune System Response: Anti-Inflammatory Status on Peripheral and Central Organs. Biochim. Biophys. Acta Mol. Basis Dis. 2020, 1866, 165823. [Google Scholar] [CrossRef]
- Wang, J.; Liu, S.; Li, G.; Xiao, J. Exercise Regulates the Immune System. Adv. Exp. Med. Biol. 2020, 1228, 395–408. [Google Scholar] [CrossRef]
- Bay, M.L.; Pedersen, B.K. Muscle-Organ Crosstalk: Focus on Immunometabolism. Front. Physiol. 2020, 11, 567881. [Google Scholar] [CrossRef]
- Isanejad, A.; Amini, H. Physical Exercise and Heat Shock Proteins. In Chaperokine Activity of Heat Shock Proteins; Asea, A.A.A., Kaur, P., Eds.; Heat Shock Proteins; Springer International Publishing: Cham, Switzerland, 2019; Volume 16, pp. 247–277. ISBN 978-3-030-02253-2. [Google Scholar]
- McGarr, G.W.; Fujii, N.; Schmidt, M.D.; Muia, C.M.; Kenny, G.P. Heat Shock Protein 90 Modulates Cutaneous Vasodilation during an Exercise-Heat Stress, but Not during Passive Whole-Body Heating in Young Women. Physiol. Rep. 2020, 8, e14552. [Google Scholar] [CrossRef]
- Henstridge, D.C.; Febbraio, M.A.; Hargreaves, M. Heat Shock Proteins and Exercise Adaptations. Our Knowledge Thus Far and the Road Still Ahead. J. Appl. Physiol. 2016, 120, 683–691. [Google Scholar] [CrossRef]
- Krüger, K.; Reichel, T.; Zeilinger, C. Role of Heat Shock Proteins 70/90 in Exercise Physiology and Exercise Immunology and Their Diagnostic Potential in Sports. J. Appl. Physiol. 2019, 126, 916–927. [Google Scholar] [CrossRef]
- Choudhury, A.; Mandrekar, P. Chaperones in Sterile Inflammation and Injury. In Chaperokine Activity of Heat Shock Proteins; Asea, A.A.A., Kaur, P., Eds.; Heat Shock Proteins; Springer International Publishing: Cham, Switzerland, 2019; Volume 16, pp. 155–177. ISBN 978-3-030-02253-2. [Google Scholar]
- Storkanova, H.; Tomcik, M. Role of Heat Shock Protein 90 in Autoimmune Inflammatory Rheumatic Diseases. In Chaperokine Activity of Heat Shock Proteins; Asea, A.A.A., Kaur, P., Eds.; Heat Shock Proteins; Springer International Publishing: Cham, Switzerland, 2019; Volume 16, pp. 105–121. ISBN 978-3-030-02253-2. [Google Scholar]
- Štorkánová, H.; Oreská, S.; Špiritović, M.; Heřmánková, B.; Bubová, K.; Kryštůfková, O.; Mann, H.; Komarc, M.; Slabý, K.; Pavelka, K.; et al. Hsp90 Levels in Idiopathic Inflammatory Myopathies and Their Association With Muscle Involvement and Disease Activity: A Cross-Sectional and Longitudinal Study. Front. Immunol. 2022, 13, 811045. [Google Scholar] [CrossRef]
- Miller, F.W.; Lamb, J.A.; Schmidt, J.; Nagaraju, K. Risk Factors and Disease Mechanisms in Myositis. Nat. Rev. Rheumatol. 2018, 14, 255–268. [Google Scholar] [CrossRef]
- Lundberg, I.E.; Fujimoto, M.; Vencovsky, J.; Aggarwal, R.; Holmqvist, M.; Christopher-Stine, L.; Mammen, A.L.; Miller, F.W. Idiopathic Inflammatory Myopathies. Nat. Rev. Dis. Primers 2021, 7, 86. [Google Scholar] [CrossRef]
- Vencovský, J.; Alexanderson, H.; Lundberg, I.E. Idiopathic Inflammatory Myopathies. Rheum. Dis. Clin. N. Am. 2019, 45, 569–581. [Google Scholar] [CrossRef]
- Ashton, C.; Paramalingam, S.; Stevenson, B.; Brusch, A.; Needham, M. Idiopathic Inflammatory Myopathies: A Review. Intern. Med. J. 2021, 51, 845–852. [Google Scholar] [CrossRef]
- Tsamis, K.I.; Boutsoras, C.; Kaltsonoudis, E.; Pelechas, E.; Nikas, I.P.; Simos, Y.V.; Voulgari, P.V.; Sarmas, I. Clinical Features and Diagnostic Tools in Idiopathic Inflammatory Myopathies. Crit. Rev. Clin. Lab. Sci. 2022, 59, 219–240. [Google Scholar] [CrossRef] [PubMed]
- Ernste, F.C.; Reed, A.M. Idiopathic Inflammatory Myopathies: Current Trends in Pathogenesis, Clinical Features, and up-to-Date Treatment Recommendations. Mayo Clin. Proc. 2013, 88, 83–105. [Google Scholar] [CrossRef] [PubMed]
- Metsios, G.S.; Moe, R.H.; Kitas, G.D. Exercise and Inflammation. Best Pract. Res. Clin. Rheumatol. 2020, 34, 101504. [Google Scholar] [CrossRef] [PubMed]
- Benatti, F.B.; Pedersen, B.K. Exercise as an Anti-Inflammatory Therapy for Rheumatic Diseases-Myokine Regulation. Nat. Rev. Rheumatol. 2015, 11, 86–97. [Google Scholar] [CrossRef] [PubMed]
- Dos Santos, A.M.; Misse, R.G.; Borges, I.B.P.; Perandini, L.A.B.; Shinjo, S.K. Physical Exercise for the Management of Systemic Autoimmune Myopathies: Recent Findings, and Future Perspectives. Curr. Opin. Rheumatol. 2021, 33, 563–569. [Google Scholar] [CrossRef]
- Nader, G.A.; Lundberg, I.E. Exercise as an Anti-Inflammatory Intervention to Combat Inflammatory Diseases of Muscle. Curr. Opin. Rheumatol. 2009, 21, 599–603. [Google Scholar] [CrossRef]
- Špiritović, M.; Heřmánková, B.; Oreská, S.; Štorkánová, H.; Růžičková, O.; Vernerová, L.; Klein, M.; Kubínová, K.; Šmucrová, H.; Rathouská, A.; et al. The Effect of a 24-Week Training Focused on Activities of Daily Living, Muscle Strengthening, and Stability in Idiopathic Inflammatory Myopathies: A Monocentric Controlled Study with Follow-Up. Arthritis Res. Ther. 2021, 23, 173. [Google Scholar] [CrossRef]
- Hody, S.; Croisier, J.-L.; Bury, T.; Rogister, B.; Leprince, P. Eccentric Muscle Contractions: Risks and Benefits. Front. Physiol. 2019, 10, 536. [Google Scholar] [CrossRef]
- De Paepe, B.; Creus, K.K.; De Bleecker, J.L. Role of Cytokines and Chemokines in Idiopathic Inflammatory Myopathies. Curr. Opin. Rheumatol. 2009, 21, 610–616. [Google Scholar] [CrossRef]
- Cerezo, L.A.; Vencovský, J.; Šenolt, L. Cytokines and Inflammatory Mediators as Promising Markers of Polymyositis/Dermatomyositis. Curr. Opin. Rheumatol. 2020, 32, 534–541. [Google Scholar] [CrossRef]
- da Silva, T.C.P.; Silva, M.G.; Shinjo, S.K. Relevance of Serum Angiogenic Cytokines in Adult Patients with Dermatomyositis. Adv. Rheumatol. 2018, 58, 17. [Google Scholar] [CrossRef] [PubMed]
- Oishi, K.; Matsushita, T.; Takehara, K.; Hamaguchi, Y. Increased Interleukin-9 Levels in Sera, Muscle and Skin of Patients with Dermatomyositis. J. Dermatol. 2018, 45, 1023–1025. [Google Scholar] [CrossRef] [PubMed]
- Sugiura, T.; Kawaguchi, Y.; Harigai, M.; Takagi, K.; Ohta, S.; Fukasawa, C.; Hara, M.; Kamatani, N. Increased CD40 Expression on Muscle Cells of Polymyositis and Dermatomyositis: Role of CD40-CD40 Ligand Interaction in IL-6, IL-8, IL-15, and Monocyte Chemoattractant Protein-1 Production. J. Immunol. 2000, 164, 6593–6600. [Google Scholar] [CrossRef] [PubMed]
- Liprandi, A.; Bartoli, C.; Figarella-Branger, D.; Pellissier, J.F.; Lepidi, H. Local Expression of Monocyte Chemoattractant Protein-1 (MCP-1) in Idiopathic Inflammatory Myopathies. Acta Neuropathol. 1999, 97, 642–648. [Google Scholar] [CrossRef]
- Wu, C.-Y.; Li, L.; Zhang, L.-H. Detection of Serum MCP-1 and TGF-Β1 in Polymyositis/Dermatomyositis Patients and Its Significance. Eur. J. Med. Res. 2019, 24, 12. [Google Scholar] [CrossRef]
- Bai, J.; Wu, C.; Zhong, D.; Xu, D.; Wang, Q.; Zeng, X. Hierarchical Cluster Analysis of Cytokine Profiles Reveals a Cutaneous Vasculitis-Associated Subgroup in Dermatomyositis. Clin. Rheumatol. 2021, 40, 999–1008. [Google Scholar] [CrossRef] [PubMed]
- Fritsch, J.; Fickers, R.; Klawitter, J.; Särchen, V.; Zingler, P.; Adam, D.; Janssen, O.; Krause, E.; Schütze, S. TNF Induced Cleavage of HSP90 by Cathepsin D Potentiates Apoptotic Cell Death. Oncotarget 2016, 7, 75774–75789. [Google Scholar] [CrossRef][Green Version]
- Stephanou, A.; Latchman, D.S. Transcriptional Regulation of the Heat Shock Protein Genes by STAT Family Transcription Factors. Gene Expr. 1999, 7, 311–319. [Google Scholar]
- Stephanou, A.; Isenberg, D.A.; Nakajima, K.; Latchman, D.S. Signal Transducer and Activator of Transcription-1 and Heat ShockFactor-1 Interact and Activate the Transcription of the Hsp-70 and Hsp-90b Gene Promoters. J. Biol. Chem. 1999, 274, 1723–1728. [Google Scholar] [CrossRef]
- Prodromou, C. Mechanisms of Hsp90 Regulation. Biochem. J. 2016, 473, 2439–2452. [Google Scholar] [CrossRef]
- Tukaj, S.; Węgrzyn, G. Anti-Hsp90 Therapy in Autoimmune and Inflammatory Diseases:A Review of Preclinical Studies. Cell Stress Chaperones 2016, 21, 213–218. [Google Scholar] [CrossRef] [PubMed]
- Chatterjee, S.; Burns, T.F. Heat Shock Protein 90 Inhibitors in Lung Cancer Therapy. In Heat Shock Proteins in Signaling Pathways; Asea, A.A.A., Kaur, P., Eds.; Heat Shock Proteins; Springer International Publishing: Cham, Switzerland, 2019; pp. 359–395. ISBN 978-3-030-03952-3. [Google Scholar]
- Jego, G.; Hermetet, F.; Girodon, F.; Garrido, C. Chaperoning STAT3/5 by Heat Shock Proteins: Interest of Their Targeting in Cancer Therapy. Cancers 2020, 12, 21. [Google Scholar] [CrossRef]
- Petersen, A.M.W.; Pedersen, B.K. The Anti-Inflammatory Effect of Exercise. J. Appl. Physiol. 2005, 98, 1154–1162. [Google Scholar] [CrossRef] [PubMed]
- Abd El-Kader, S.M.; Al-Jiffri, O.H. Aerobic Exercise Modulates Cytokine Profile and Sleep Quality in Elderly. Afr. Health Sci. 2019, 19, 2198–2207. [Google Scholar] [CrossRef] [PubMed]
- Baturcam, E.; Abubaker, J.; Tiss, A.; Abu-Farha, M.; Khadir, A.; Al-Ghimlas, F.; Al-Khairi, I.; Cherian, P.; Elkum, N.; Hammad, M.; et al. Physical Exercise Reduces the Expression of RANTES and Its CCR5 Receptor in the Adipose Tissue of Obese Humans. Mediat. Inflamm. 2014, 2014, 627150. [Google Scholar] [CrossRef]
- Alizaei Yousefabadi, H.; Niyazi, A.; Alaee, S.; Fathi, M.; Mohammad Rahimi, G.R. Anti-Inflammatory Effects of Exercise on Metabolic Syndrome Patients: A Systematic Review and Meta-Analysis. Biol. Res. Nurs. 2021, 23, 280–292. [Google Scholar] [CrossRef]
- Zheng, G.; Qiu, P.; Xia, R.; Lin, H.; Ye, B.; Tao, J.; Chen, L. Effect of Aerobic Exercise on Inflammatory Markers in Healthy Middle-Aged and Older Adults: A Systematic Review and Meta-Analysis of Randomized Controlled Trials. Front. Aging Neurosci. 2019, 11, 98. [Google Scholar] [CrossRef]
- Mathers, J.L.; Farnfield, M.M.; Garnham, A.P.; Caldow, M.K.; Cameron-Smith, D.; Peake, J.M. Early Inflammatory and Myogenic Responses to Resistance Exercise in the Elderly. Muscle Nerve 2012, 46, 407–412. [Google Scholar] [CrossRef]
- Ferris, D.K.; Harel-Bellan, A.; Morimoto, R.I.; Welch, W.J.; Farrar, W.L. Mitogen and Lymphokine Stimulation of Heat Shock Proteins in T Lymphocytes. Proc. Natl. Acad. Sci. USA 1988, 85, 3850–3854. [Google Scholar] [CrossRef]
- Barabutis, N.; Uddin, M.A.; Catravas, J.D. Hsp90 Inhibitors Suppress P53 Phosphorylation in LPS-Induced Endothelial Inflammation. Cytokine 2019, 113, 427–432. [Google Scholar] [CrossRef]
- Ripley, B.J.; Stephanou, A.; Isenberg, D.A.; Latchman, D.S. Interleukin-10 Activates Heat-Shock Protein 90beta Gene Expression. Immunology 1999, 97, 226–231. [Google Scholar] [CrossRef] [PubMed]
- Leers, M.P.G.; Schepers, R.; Baumgarten, R. Effects of a Long-Distance Run on Cardiac Markers in Healthy Athletes. Clin. Chem. Lab. Med. 2006, 44, 999–1003. [Google Scholar] [CrossRef] [PubMed]
- Lippi, G.; Schena, F.; Salvagno, G.L.; Montagnana, M.; Gelati, M.; Tarperi, C.; Banfi, G.; Guidi, G.C. Acute Variation of Biochemical Markers of Muscle Damage Following a 21-Km, Half-Marathon Run. Scand. J. Clin. Lab. Investig. 2008, 68, 667–672. [Google Scholar] [CrossRef]
- Lappalainen, H.; Tiula, E.; Uotila, L.; Mänttäri, M. Elimination Kinetics of Myoglobin and Creatine Kinase in Rhabdomyolysis: Implications for Follow-Up. Crit. Care Med. 2002, 30, 2212–2215. [Google Scholar] [CrossRef]
- Brancaccio, P.; Lippi, G.; Maffulli, N. Biochemical Markers of Muscular Damage. Clin. Chem. Lab. Med. 2010, 48, 757–767. [Google Scholar] [CrossRef] [PubMed]
- Shastry, S.; Toft, D.O.; Joyner, M.J. HSP70 and HSP90 Expression in Leucocytes after Exercise in Moderately Trained Humans. Acta Physiol. Scand. 2002, 175, 139–146. [Google Scholar] [CrossRef] [PubMed]
- De Paepe, B.; Creus, K.K.; Martin, J.-J.; Weis, J.; De Bleecker, J.L. A Dual Role for HSP90 and HSP70 in the Inflammatory Myopathies: From Muscle Fiber Protection to Active Invasion by Macrophages. Ann. N. Y. Acad. Sci. 2009, 1173, 463–469. [Google Scholar] [CrossRef] [PubMed]
- Paepe, B.D.; Creus, K.K.; Weis, J.; Bleecker, J.L.D. Heat Shock Protein Families 70 and 90 in Duchenne Muscular Dystrophy and Inflammatory Myopathy: Balancing Muscle Protection and Destruction. Neuromuscul. Disord. 2012, 22, 26–33. [Google Scholar] [CrossRef] [PubMed]
- Isaacs, A.W.; Macaluso, F.; Smith, C.; Myburgh, K.H. C-Reactive Protein Is Elevated Only in High Creatine Kinase Responders to Muscle Damaging Exercise. Front. Physiol. 2019, 10, 86. [Google Scholar] [CrossRef]
- Trøseid, M.; Lappegård, K.T.; Claudi, T.; Damås, J.K.; Mørkrid, L.; Brendberg, R.; Mollnes, T.E. Exercise Reduces Plasma Levels of the Chemokines MCP-1 and IL-8 in Subjects with the Metabolic Syndrome. Eur. Heart J. 2004, 25, 349–355. [Google Scholar] [CrossRef]
- Kim, G.-T.; Cho, M.-L.; Park, Y.-E.; Yoo, W.H.; Kim, J.-H.; Oh, H.-J.; Kim, D.-S.; Baek, S.-H.; Lee, S.-H.; Lee, J.-H.; et al. Expression of TLR2, TLR4, and TLR9 in Dermatomyositis and Polymyositis. Clin. Rheumatol. 2010, 29, 273–279. [Google Scholar] [CrossRef] [PubMed]
- Giriş, M.; Durmuş, H.; Yetimler, B.; Taşli, H.; Parman, Y.; Tüzün, E. Elevated IL-4 and IFN-γ Levels in Muscle Tissue of Patients with Dermatomyositis. In Vivo 2017, 31, 657–660. [Google Scholar] [CrossRef] [PubMed]
- Sag, E.; Kale, G.; Haliloglu, G.; Bilginer, Y.; Akcoren, Z.; Orhan, D.; Gucer, S.; Topaloglu, H.; Ozen, S.; Talim, B. Inflammatory Milieu of Muscle Biopsies in Juvenile Dermatomyositis. Rheumatol. Int. 2021, 41, 77–85. [Google Scholar] [CrossRef]
- Paolucci, E.M.; Loukov, D.; Bowdish, D.M.E.; Heisz, J.J. Exercise Reduces Depression and Inflammation but Intensity Matters. Biol. Psychol. 2018, 133, 79–84. [Google Scholar] [CrossRef] [PubMed]
- Pedersen, B.K.; Hoffman-Goetz, L. Exercise and the Immune System: Regulation, Integration, and Adaptation. Physiol. Rev. 2000, 80, 1055–1081. [Google Scholar] [CrossRef]
- Cronin, O.; Keohane, D.M.; Molloy, M.G.; Shanahan, F. The Effect of Exercise Interventions on Inflammatory Biomarkers in Healthy, Physically Inactive Subjects: A Systematic Review. QJM 2017, 110, 629–637. [Google Scholar] [CrossRef] [PubMed]
- García, J.J.; Bote, E.; Hinchado, M.D.; Ortega, E. A Single Session of Intense Exercise Improves the Inflammatory Response in Healthy Sedentary Women. J. Physiol. Biochem. 2011, 67, 87–94. [Google Scholar] [CrossRef]
- Van Thillo, A.; Vulsteke, J.-B.; Van Assche, D.; Verschueren, P.; De Langhe, E. Physical Therapy in Adult Inflammatory Myopathy Patients: A Systematic Review. Clin. Rheumatol. 2019, 38, 2039–2051. [Google Scholar] [CrossRef]
- Alexanderson, H.; Boström, C. Exercise Therapy in Patients with Idiopathic Inflammatory Myopathies and Systemic Lupus Erythematosus—A Systematic Literature Review. Best Pract. Res. Clin. Rheumatol. 2020, 34, 101547. [Google Scholar] [CrossRef]
- Mattar, M.A.; Gualano, B.; Perandini, L.A.; Shinjo, S.K.; Lima, F.R.; Sá-Pinto, A.L.; Roschel, H. Safety and Possible Effects of Low-Intensity Resistance Training Associated with Partial Blood Flow Restriction in Polymyositis and Dermatomyositis. Arthritis Res. Ther. 2014, 16, 473. [Google Scholar] [CrossRef]
- Tiffreau, V.; Rannou, F.; Kopciuch, F.; Hachulla, E.; Mouthon, L.; Thoumie, P.; Sibilia, J.; Drumez, E.; Thevenon, A. Postrehabilitation Functional Improvements in Patients With Inflammatory Myopathies: The Results of a Randomized Controlled Trial. Arch. Phys. Med. Rehabil. 2017, 98, 227–234. [Google Scholar] [CrossRef] [PubMed]
- Luk, H.-Y.; Levitt, D.E.; Appell, C.; Vingren, J.L. Sex Dimorphism in Muscle Damage-Induced Inflammation. Med. Sci. Sports Exerc. 2021, 53, 1595–1605. [Google Scholar] [CrossRef] [PubMed]
- De Bleecker, J.L.; De Paepe, B.; Vanwalleghem, I.E.; Schröder, J.M. Differential Expression of Chemokines in Inflammatory Myopathies. Neurology 2002, 58, 1779–1785. [Google Scholar] [CrossRef]
- Peake, J.M.; Suzuki, K.; Hordern, M.; Wilson, G.; Nosaka, K.; Coombes, J.S. Plasma Cytokine Changes in Relation to Exercise Intensity and Muscle Damage. Eur. J. Appl. Physiol. 2005, 95, 514–521. [Google Scholar] [CrossRef]





Publisher’s Note: MDPI stays neutral with regard to jurisdictional claims in published maps and institutional affiliations. |
© 2022 by the authors. Licensee MDPI, Basel, Switzerland. This article is an open access article distributed under the terms and conditions of the Creative Commons Attribution (CC BY) license (https://creativecommons.org/licenses/by/4.0/).
Share and Cite
Švec, X.; Štorkánová, H.; Špiritović, M.; Slabý, K.; Oreská, S.; Pekáčová, A.; Heřmánková, B.; Bubová, K.; Česák, P.; Khouri, H.; et al. Hsp90 as a Myokine: Its Association with Systemic Inflammation after Exercise Interventions in Patients with Myositis and Healthy Subjects. Int. J. Mol. Sci. 2022, 23, 11451. https://doi.org/10.3390/ijms231911451
Švec X, Štorkánová H, Špiritović M, Slabý K, Oreská S, Pekáčová A, Heřmánková B, Bubová K, Česák P, Khouri H, et al. Hsp90 as a Myokine: Its Association with Systemic Inflammation after Exercise Interventions in Patients with Myositis and Healthy Subjects. International Journal of Molecular Sciences. 2022; 23(19):11451. https://doi.org/10.3390/ijms231911451
Chicago/Turabian StyleŠvec, Xiao, Hana Štorkánová, Maja Špiritović, Kryštof Slabý, Sabína Oreská, Aneta Pekáčová, Barbora Heřmánková, Kristýna Bubová, Petr Česák, Haya Khouri, and et al. 2022. "Hsp90 as a Myokine: Its Association with Systemic Inflammation after Exercise Interventions in Patients with Myositis and Healthy Subjects" International Journal of Molecular Sciences 23, no. 19: 11451. https://doi.org/10.3390/ijms231911451
APA StyleŠvec, X., Štorkánová, H., Špiritović, M., Slabý, K., Oreská, S., Pekáčová, A., Heřmánková, B., Bubová, K., Česák, P., Khouri, H., Amjad, G., Mann, H., Komarc, M., Pavelka, K., Šenolt, L., Zámečník, J., Vencovský, J., & Tomčík, M. (2022). Hsp90 as a Myokine: Its Association with Systemic Inflammation after Exercise Interventions in Patients with Myositis and Healthy Subjects. International Journal of Molecular Sciences, 23(19), 11451. https://doi.org/10.3390/ijms231911451

