Sign in to use this feature.

Years

Between: -

Subjects

remove_circle_outline
remove_circle_outline
remove_circle_outline
remove_circle_outline
remove_circle_outline
remove_circle_outline
remove_circle_outline

Journals

remove_circle_outline
remove_circle_outline
remove_circle_outline
remove_circle_outline

Article Types

Countries / Regions

remove_circle_outline
remove_circle_outline
remove_circle_outline
remove_circle_outline
remove_circle_outline

Search Results (305)

Search Parameters:
Keywords = heat shock protein 90

Order results
Result details
Results per page
Select all
Export citation of selected articles as:
24 pages, 6915 KB  
Article
SARS-CoV-2 Helicase (NSP13) Interacts with Mammalian Polyamine and HSP Partners in Promoting Viral Replication
by Zingisa Sitobo, Liberty T. Navhaya, Ntombekhaya Nqumla, Madipoane Masenya, Matsheliso Molapo, Yamkela Mthembu, Sesethu Godlo and Xolani H. Makhoba
Curr. Issues Mol. Biol. 2026, 48(1), 80; https://doi.org/10.3390/cimb48010080 - 13 Jan 2026
Viewed by 117
Abstract
We present a computational study that precedes the potential interactions between SARS-CoV-2 helicase (NSP13) and selected host proteins implicated in chaperone-assisted folding and polyamine metabolism. Using structure-based modelling and protein–protein docking (BioLuminate v4.6), followed by all-atom molecular dynamics (MD) simulations (GROMACS v2018.6), and [...] Read more.
We present a computational study that precedes the potential interactions between SARS-CoV-2 helicase (NSP13) and selected host proteins implicated in chaperone-assisted folding and polyamine metabolism. Using structure-based modelling and protein–protein docking (BioLuminate v4.6), followed by all-atom molecular dynamics (MD) simulations (GROMACS v2018.6), and comparative MM-GBSA scoring (HawkDock v2), we evaluated the stability and interface properties of NSP13 complexes with cytosolic heat shock proteins; heat shock protein 40 (HSP40), heat shock protein 70 (HSP70), heat shock protein 90 (HSP90) and the polyamine biosynthesis enzyme ornithine decarboxylase (ODC). Docking, MD, and interface analyses indicate distinct complex behaviours: HSP70-NSP13 complexes sampled compact conformations, HSP90-NSP13 ensembles displayed greater conformational heterogeneity but more favourable comparative MM-GBSA estimates, and ODC-NSP13 interfaces were comparatively well packed. Per-residue contact mapping identified a small set of recurrent NSP13 residues, Lys22 and Asn51, as putative interaction hotspots. The reported findings herein generate testable hypotheses about NSP13 recruitment of host chaperones and modulation of polyamine metabolism that may inform downstream experimental studies. Full article
Show Figures

Figure 1

26 pages, 7261 KB  
Article
Discovery and Evaluation of Novel Calenduloside E Derivatives Targeting HSP90β in Ox-LDL-Induced HUVECs Injury
by Fang Han, Huiqi Fang, Guangyu Li, Di Deng, Guibo Sun and Yu Tian
Pharmaceuticals 2026, 19(1), 90; https://doi.org/10.3390/ph19010090 - 2 Jan 2026
Viewed by 281
Abstract
Background: Atherosclerosis (AS) serves as the primary pathological basis for cardiovascular disease-related deaths worldwide, posing a severe threat to public health security. Heat shock protein 90 (HSP90) plays a crucial regulatory role in the pathological progression of AS, emerging as a potential [...] Read more.
Background: Atherosclerosis (AS) serves as the primary pathological basis for cardiovascular disease-related deaths worldwide, posing a severe threat to public health security. Heat shock protein 90 (HSP90) plays a crucial regulatory role in the pathological progression of AS, emerging as a potential target for anti-atherosclerosis drug development in recent years. Calenduloside E (CE) is a pentacyclic triterpenoid saponin isolated from Aralia elata (Miq.) Seem. Previous studies have confirmed its anti-atherosclerotic activity, but its weak efficacy and narrow therapeutic index limit its clinical application. In this study, the CE scaffold was hybridized with a ticagrelor-derived fragment to enhance anti-atherosclerotic activity. In this study, the CE scaffold was hybridized with a ticagrelor fragment to achieve improved activity. Methods: Based on the principle of molecular hybridization, CE was linked to the active fragment of ticagrelor via a PEG chain. Ten CE derivatives were synthesized by modifying the sugar substituents. In vitro experiments were conducted to detect cytotoxicity and protective activity against ox-LDL-induced HUVECs injury. Molecular docking and Surface Plasmon Resonance (SPR) assays were used to evaluate the interaction between CE derivatives and the known target HSP90β. Combined with Microscale Thermophoresis (MST), SwissTargetPrediction, and molecular docking, other potential targets of CE derivatives were identified. Results: In the ox-LDL-induced HUVECs injury model, all compounds except C2 and C9 exhibited protective activity. Among these compounds, compound C5 exhibited the optimal protective effect, with an EC50 value of 1.44 μM. Molecular docking results revealed that both C5 and CE could bind to HSP90β by forming hydrogen bonds with the key amino acid Asp93. Additionally, SPR results indicated that C5 and CE had similar binding affinities to HSP90β, with dissociation constants (KD) of 1.73 μM and 1.72 μM, respectively. MST demonstrated that C5 binds to HSP90β with an affinity 111 times higher than that of ticagrelor. SwissTargetPrediction and molecular docking identified P2Y12 as another potential target of derivative C5. Conclusions: Compound C5 exerts protective effect against ox-LDL-induced HUVECs injury by targeting HSP90β. Its effective concentration is significantly improved compared with that of the parent CE, which provides a possibility for reducing clinical dosage and toxic side effects in subsequent studies. Furthermore, C5 may exert its effects by targeting another potential target, P2Y12, offering references for the rational design of novel anti-atherosclerotic drugs. Full article
(This article belongs to the Section Natural Products)
Show Figures

Graphical abstract

19 pages, 1606 KB  
Review
The GHKL ATPase Family as a Paradigm for MutL Homolog Function in DNA Mismatch Repair
by Jonathan M. Piscitelli and Carol M. Manhart
Int. J. Mol. Sci. 2025, 26(24), 12157; https://doi.org/10.3390/ijms262412157 - 18 Dec 2025
Viewed by 294
Abstract
ATP hydrolysis drives essential processes across biology, from nucleic acid translocation and conformational switching to signal transduction. The GHKL ATPase family—DNA Gyrase B, Heat Shock Protein 90 (Hsp90), Histidine Kinases, and MutL homologs—shares a Bergerat-fold that couples nucleotide binding and hydrolysis to conformational [...] Read more.
ATP hydrolysis drives essential processes across biology, from nucleic acid translocation and conformational switching to signal transduction. The GHKL ATPase family—DNA Gyrase B, Heat Shock Protein 90 (Hsp90), Histidine Kinases, and MutL homologs—shares a Bergerat-fold that couples nucleotide binding and hydrolysis to conformational changes, dimerization, and signaling. Despite their diverse roles, GHKL proteins rely on common ATP-dependent principles. Within this family, MutLα (MLH1-PMS2 in humans, Mlh1-Pms1 in yeast) is central to eukaryotic mismatch repair, where it provides the endonuclease activity needed for strand incision and coordinates interactions with other repair partners. MutLα exemplifies how the Bergerat-fold has been adapted to regulate DNA interactions, partner communication, and protein turnover on DNA. By examining MutLα through the lens of other GHKL proteins, we can clarify how ATP binding and hydrolysis drive its conformational dynamics, nuclease activation, and regulation within its pathway, highlighting how conserved mechanistic strategies are repurposed across biological systems. Full article
(This article belongs to the Special Issue Molecular Mechanism in DNA Replication and Repair)
Show Figures

Figure 1

24 pages, 4983 KB  
Article
Phytochemical Profiling and Structure-Based Computational Characterization of Marrubium vulgare L. Compounds as Hsp90 Modulators
by Ilham Zarguan, Hanane Abbou, Razana Zegrari, Rihab Festali, Devan Buchanan, Abdelaziz Benjouad and Lamiae Belayachi
Int. J. Mol. Sci. 2025, 26(24), 12150; https://doi.org/10.3390/ijms262412150 - 17 Dec 2025
Viewed by 410
Abstract
Marrubium vulgare L. is a medicinal plant widely used in traditional medicine, with emerging evidence of anticancer potential. This study investigated its bioactive compounds as inhibitors of Heat Shock Protein 90 alpha (Hsp90α), a molecular chaperone essential for oncogenic protein stability. Organic and [...] Read more.
Marrubium vulgare L. is a medicinal plant widely used in traditional medicine, with emerging evidence of anticancer potential. This study investigated its bioactive compounds as inhibitors of Heat Shock Protein 90 alpha (Hsp90α), a molecular chaperone essential for oncogenic protein stability. Organic and aqueous extracts were profiled using high-performance liquid chromatography–mass spectrometry (HPLC–MS), revealing a diverse phytochemical composition. Identified compounds were screened against the full-length crystal structure of Hsp90α using a structure-based computational workflow that included extra-precision and domain-specific molecular docking, molecular dynamics (MD) simulations, and MM/GBSA binding free energy calculations. Pharmacokinetic and toxicity profiles were evaluated through ADMET predictions. This study elucidated the chemical composition of the plant and identified two hit compounds: Forsythoside B bound preferentially to the middle domain, potentially interfering with client protein interactions, and chlorogenic acid targeted the C-terminal domain, which regulates dimerization and allosteric activity. Both ligands displayed stable protein–ligand interactions during MD and favorable ADMET properties. These findings provide the first integrated chemical and computational prediction framework, suggesting that some M. vulgare metabolites may interact with Hsp90, highlighting its potential as a source of novel anticancer scaffolds and laying the groundwork for experimental validation and drug development. Full article
Show Figures

Graphical abstract

16 pages, 6921 KB  
Article
Plant Hormone Stimulation and HbHSP90.3 Plays a Vital Role in Water Deficit of Rubber Tree (Hevea brasiliensis Muell. Arg.)
by Mingyang Liu, Songle Fan, Cuicui Wang, Bingbing Guo, Hong Yang, Phearun Phen and Lifeng Wang
Plants 2025, 14(23), 3679; https://doi.org/10.3390/plants14233679 - 3 Dec 2025
Viewed by 434
Abstract
The yield and quality of rubber tree latex are affected by environmental stresses and plant hormone stimulation. Heat shock protein 90 (HSP90) is widely involved in various developmental processes and stress responses in plants, especially in drought stress. In this study, we cloned [...] Read more.
The yield and quality of rubber tree latex are affected by environmental stresses and plant hormone stimulation. Heat shock protein 90 (HSP90) is widely involved in various developmental processes and stress responses in plants, especially in drought stress. In this study, we cloned the HbHSP90.3 gene and characterized its expression pattern in different tissues and mechanical wounding treatments of the rubber tree and found that it is highly expressed in latex and responds to mechanical wounding treatment. To reveal the roles of plant hormones and HSP90.3 protein in the drought resistance process of rubber trees. Treatment with the specific HSP90 protein inhibitor geldanamycin (GDA) and yeast expression experiments demonstrated that HbHSP90.3 has a relieving effect on water deficit in rubber trees. The expression pattern showed that the HbHSP90.3 gene was closely related to hormone signaling, especially for Indole acid (IAA) and Zeatin (ZT) induction under different plant hormone treatments. Protein interaction analysis showed that HbHSP90.3 interacted with the suppressor of the G2 allele of skp1 (HbSGT1b). Taken together, HbHSP90.3 interacts with HbSGT1b in the nucleus and plays a key role in water deficit. Full article
Show Figures

Graphical abstract

13 pages, 9466 KB  
Article
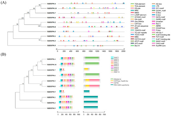
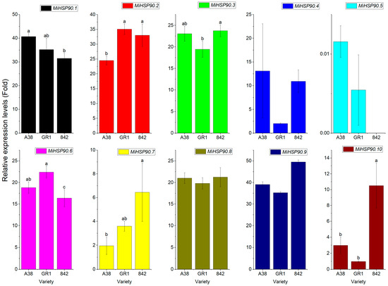
Functional Analysis of the Role Played by the MiHSP90 Gene Family in the Shell Thickness of Macadamia Nuts (Macadamia integrifolia)
by Xiuju Huan, Qiujin Tan, Xiuhua Tang, Chunheng Zhou, Xiaozhou Yang, Yuanrong Wei, Haisheng Chen, Wenlin Wang and Lifeng Wang
Forests 2025, 16(12), 1775; https://doi.org/10.3390/f16121775 - 25 Nov 2025
Viewed by 314
Abstract
Macadamia integrifolia is a vital cash crop. The shells of its nuts serve multiple purposes in both agricultural practices and waste management initiatives. In this research, transcriptome analysis was carried out on three macadamia nut varieties with significantly different shell thicknesses, namely ‘A38’, [...] Read more.
Macadamia integrifolia is a vital cash crop. The shells of its nuts serve multiple purposes in both agricultural practices and waste management initiatives. In this research, transcriptome analysis was carried out on three macadamia nut varieties with significantly different shell thicknesses, namely ‘A38’, ‘Guire No.1’ (‘GR1’), and HAES842 (‘842’), at the same stage of maturity. The results revealed remarkable differences in their gene expression profiles. A total of 4311 novel genes were identified, among which 1631 were functionally annotated. Analyses using Gene Ontology (GO), Clusters of Orthologous Groups (COGs), and the Kyoto Encyclopedia of Genes and Genomes (KEGG) indicated that the main categories of differentially expressed genes (DEGs) were associated with plant–pathogen interactions. Additionally, 10 members of the heat shock protein 90 (MiHSP90) family were identified and classified into subgroups A, B, and C by comparing them with the HSP90 gene family members of Arabidopsis and rice. Among these, the MiHSP90.1, MiHSP90.2, and MiHSP90.9 proteins were differentially highly expressed in the three macadamia nut varieties. These findings provide fundamental insights into the regulatory mechanisms underlying shell formation in macadamia nuts. Full article
(This article belongs to the Section Genetics and Molecular Biology)
Show Figures

Figure 1

12 pages, 2027 KB  
Article
Anticancer and Immunomodulatory Effects of a Thiazolyl Benzodiazepine Targeting HSP90 in ER+ Breast Cancer
by Kubra Acikalin Coskun, Lutfi Tutar, Kezban Uçar Çifci, Mervenur Al, Irfan Koca, Mehmet Gumus, Levent Gulum, Emir Capkinoglu and Yusuf Tutar
Pharmaceuticals 2025, 18(11), 1665; https://doi.org/10.3390/ph18111665 - 4 Nov 2025
Cited by 1 | Viewed by 690
Abstract
Background: Heat shock protein 90 (HSP90) is a molecular chaperone that stabilizes numerous oncogenic proteins and supports tumor survival. Small molecules targeting HSP90 offer a novel approach to overcome drug resistance and immune suppression in breast cancer. Methods: A novel thiazolyl benzodiazepine (TB) [...] Read more.
Background: Heat shock protein 90 (HSP90) is a molecular chaperone that stabilizes numerous oncogenic proteins and supports tumor survival. Small molecules targeting HSP90 offer a novel approach to overcome drug resistance and immune suppression in breast cancer. Methods: A novel thiazolyl benzodiazepine (TB) containing a hydrazone moiety was evaluated in breast cancer cell lines (ER+ MCF-7, TNBC MDA-MB-231, and HER2+ SK-BR-3). Cytotoxicity was assessed using the CCK-8 assay, followed by PCR sequencing, flow cytometry, RT-qPCR, protein profiling, and HSP90 binding assays. Results: TB showed the strongest activity in MCF-7 cells (IC50 = 7.21 µM) compared to MDA-MB-231 (IC50 = 28.07 µM) and SK-BR-3 (IC50 = 12.8 µM) cells. Mechanistic studies showed that TB binds to HSP90 (Kd = 3.10 µM), leading to disruption of the oncogenic signal. TB induced G2/M cell cycle arrest, promoted apoptosis via Bax and Caspase-3 activation, and suppressed cancer stem cell markers (NANOG, OCT4, SOX2). Additionally, TB activated immune-related pathways via ERK/MAPK signaling and upregulated genes such as SMAD2, SMAD3, and JUN.Conclusions: TB functions as an HSP90 inhibitor with dual anticancer and immunomodulatory properties in Estrogen Receptor-Positive (ER+) breast cancer cells. These findings suggest that TB represents a promising scaffold for the development of multi-targeted breast cancer therapies. Full article
(This article belongs to the Section Medicinal Chemistry)
Show Figures

Figure 1

37 pages, 2625 KB  
Review
Beyond Folding: Expanding the Functional Landscape of Hsp90 Chaperone Machinery in Health and Disease
by Manish Kumar Singh, Jyotsna S. Ranbhise, Minghao Fu, Songhyun Ju, Sunhee Han, Hyeong Rok Yun, Wonchae Choe, Sung Soo Kim and Insug Kang
Int. J. Mol. Sci. 2025, 26(21), 10279; https://doi.org/10.3390/ijms262110279 - 22 Oct 2025
Cited by 2 | Viewed by 1627
Abstract
Molecular chaperones are crucial for maintaining protein homeostasis by assisting in the proper folding, stabilization, and function of proteins. Among them, Heat shock protein 90 (Hsp90), represents a highly conserved protein family of molecular chaperones that plays an essential role in diverse biological [...] Read more.
Molecular chaperones are crucial for maintaining protein homeostasis by assisting in the proper folding, stabilization, and function of proteins. Among them, Heat shock protein 90 (Hsp90), represents a highly conserved protein family of molecular chaperones that plays an essential role in diverse biological processes and is fundamental to cellular health and survival. As a highly abundant molecular chaperone, Hsp90 comprises 1–2% of cellular proteins, increasing to 4–6% under stress conditions. It interacts with client proteins, assisting them in proper folding and stability. Unlike classical chaperonins, Hsp90 operates through a highly regulated, ATP-dependent cycle that involves multiple co-chaperones. This process allows Hsp90 to selectively engage with numerous client proteins, including signaling proteins, kinases, hormone receptors, and transcription factors. Recent discoveries have revealed its involvement in processes beyond protein folding, demonstrating its role in diverse cellular functions such as epigenetic regulation, immune signaling, and oncogenic transformation. This current review highlighted the specific characteristics of cytoplasmic and endoplasmic reticulum (ER) as well as mitochondrial paralogs and functions, focusing on its contribution to buffering genetic variation, facilitating oncogene addiction, and modulating disease phenotypes in conditions such as cancer, neurodegeneration, cardiovascular diseases (CVD), and diabetes. We also discuss the therapeutic potential of targeting Hsp90 and its co-chaperones, outlining the challenges and prospects in drug development. These insights not only reshape our understanding of chaperone biology but also present opportunities for precision medicine in various human diseases. Full article
(This article belongs to the Section Macromolecules)
Show Figures

Figure 1

14 pages, 1818 KB  
Article
The Mitochondrial Hsp90 Homolog PmTRAP1 Mediates Thermal Tolerance in the Papaya Mealybug, Paracoccus marginatus
by Yanting Chen, Xiaomin Zhao, Chenyu Lv, Jianwei Zhao, Mengzhu Shi, Jianwei Fu and Jianyu Li
Insects 2025, 16(10), 1064; https://doi.org/10.3390/insects16101064 - 17 Oct 2025
Viewed by 660
Abstract
The papaya mealybug, Paracoccus marginatus, a significant invasive pest in tropical and subtropical regions, exhibits a notable capacity to withstand high-temperature stress. To elucidate the molecular basis of this thermotolerance, we investigated the role of heat shock protein 90 (Hsp90) genes in [...] Read more.
The papaya mealybug, Paracoccus marginatus, a significant invasive pest in tropical and subtropical regions, exhibits a notable capacity to withstand high-temperature stress. To elucidate the molecular basis of this thermotolerance, we investigated the role of heat shock protein 90 (Hsp90) genes in this species. The full-length cDNA sequences of three Hsp90 genes—PmHsp90-1, PmHsp90-2, and PmTRAP1—were cloned, subjected to bioinformatic analysis, and their expression profiles under heat stress were detected. RNAi-mediated suppression of PmTRAP1 was conducted to evaluate survival under extreme high-temperature conditions. The open reading frames (ORFs) of PmHsp90-1, PmHsp90-2, and PmTRAP1 are 2175 bp, 2178 bp, and 2085 bp in length, encoding proteins comprising 724, 725, and 694 amino acids, respectively. Phylogenetic and structural analyses confirmed that PmHsp90-1 and PmHsp90-2 are cytosolic isoforms, each containing a characteristic C-terminal MEEVD motif, while PmTRAP1 was identified as the mitochondrial isoform. All three genes were significantly upregulated under heat stress. RNAi-mediated knockdown of PmTRAP1 markedly reduced the survival rate of P. marginatus under extreme high temperature. These findings demonstrate that PmTRAP1 is essential for heat tolerance in the papaya mealybug. This study provides crucial insights into the molecular mechanisms of thermal adaptation in insects and identifies PmTRAP1 as a potential target for future research on managing insect responses to environmental stress. Full article
(This article belongs to the Special Issue Research on Insect Molecular Biology)
Show Figures

Figure 1

12 pages, 1630 KB  
Article
HSP90 Inhibition Disrupts 27-Hydroxycholesterol-Induced Inflammatory Signaling in Monocytic Cells
by Jaesung Kim, Munju Kwon, Dongha Park, Nakyung Kang, Yonghae Son, Ninib Baryawno, Byoung Soo Kim, Sik Yoon, Sae-Ock Oh, Dongjun Lee and Koanhoi Kim
Int. J. Mol. Sci. 2025, 26(20), 9963; https://doi.org/10.3390/ijms26209963 - 13 Oct 2025
Viewed by 679
Abstract
27-Hydroxycholesterol (27OHChol), a cholesterol metabolite, induces inflammatory responses in monocytic cells and promotes their differentiation into mature dendritic cells. Here, we examined whether inhibition of heat shock protein 90 (HSP90) modulates these responses. Treatment with ganetespib, a selective HSP90 inhibitor, significantly reduced chemokine [...] Read more.
27-Hydroxycholesterol (27OHChol), a cholesterol metabolite, induces inflammatory responses in monocytic cells and promotes their differentiation into mature dendritic cells. Here, we examined whether inhibition of heat shock protein 90 (HSP90) modulates these responses. Treatment with ganetespib, a selective HSP90 inhibitor, significantly reduced chemokine CCL2 expression, lowering monocytic cell migration. It also suppressed matrix metalloproteinase-9 (MMP-9) expression and attenuated the lipopolysaccharide (LPS) response otherwise amplified by 27OHChol. Furthermore, ganetespib decreased mature dendritic cell markers (CD80, CD83, CD88) and restored endocytic activity, indicating a less activated state. These changes suggest that HSP90 regulates 27OHChol-induced pro-inflammatory activation via its client proteins. To explore this mechanism, we examined the phosphorylation status of signaling proteins. 27OHChol enhanced phosphorylation of Akt and its downstream targets, S6 and 4E-BP1 within the Akt/mTORC1 pathway. Ganetespib reduced total and phosphorylated Akt and 4E-BP1, and selectively inhibited S6 phosphorylation without altering total protein level. Collectively, these findings demonstrate that HSP90 inhibition by ganetespib mitigates 27OHChol-driven monocytic cell activation through suppression of the HSP90-Akt/mTORC1 axis. Targeting this pathway may provide a promising therapeutic strategy for metabolic inflammation associated with oxysterols. Full article
(This article belongs to the Special Issue Dialogue Between Inflammation and Immunity: From Mechanism to Therapy)
Show Figures

Figure 1

29 pages, 4696 KB  
Article
Exploring the Role of Heat Shock Proteins in Neuroimmune Modulation in Rheumatoid Arthritis: Insights from a Rat Model
by Malak Fouani, Federica Scalia, Giuseppe Donato Mangano, Francesca Rappa, Wassim Abou-Kheir, Angelo Leone, Nada Lawand and Rosario Barone
Int. J. Mol. Sci. 2025, 26(19), 9743; https://doi.org/10.3390/ijms26199743 - 7 Oct 2025
Viewed by 924
Abstract
Rheumatoid arthritis (RA) is a chronic inflammatory autoimmune disease affecting the joints, with neurogenic inflammation involving the nervous system being a hallmark of the condition. Treatments include medications such as disease-modifying antirheumatic drugs (DMARDs), corticosteroids, and biologics targeting inflammatory pathways. Yet, these treatments [...] Read more.
Rheumatoid arthritis (RA) is a chronic inflammatory autoimmune disease affecting the joints, with neurogenic inflammation involving the nervous system being a hallmark of the condition. Treatments include medications such as disease-modifying antirheumatic drugs (DMARDs), corticosteroids, and biologics targeting inflammatory pathways. Yet, these treatments are not curative for RA. Heat Shock Proteins (HSPs) are molecular chaperones with immunoregulatory properties; however, their role is not yet fully understood, as these molecules may play a dual, pro- and anti-inflammatory role. In this study, we evaluated the protein expression levels of HSPs 27, 60, 70, and 90 in the synovial membrane and spinal cord of the RA rats’ model to determine their roles during the disease course, both on the neurological and immunological levels. Furthermore, HSP levels have been evaluated in the spinal cord of control and RA rats’ model after high and low doses of ketamine injection. Significant changes in Hsp60, 70, and 90 expression levels were observed only in the spinal cord of RA rats. We demonstrated that blocking N-methyl-D-aspartate receptors with ketamine can modulate spinal cord HSPs expression in RA rats and subsequently impact neurogenic inflammation and adult neurogenesis. This suggests that HSPs may be a promising target for RA treatment due to their complex immunomodulatory effects and potential interactions with the nervous system. Further research is needed to explore their therapeutic potential and develop effective interventions for RA. Full article
Show Figures

Graphical abstract

21 pages, 2413 KB  
Article
Brain Hsp90 Inhibition Mitigates Facial Allodynia in a Rat Model of CSD Headache and Upregulates Endocannabinoid Signaling in the PAG
by Seph M. Palomino, Aidan A. Levine, Erika Liktor-Busa, Parthasaradhireddy Tanguturi, John M. Streicher and Tally M. Largent-Milnes
Pharmaceuticals 2025, 18(10), 1430; https://doi.org/10.3390/ph18101430 - 24 Sep 2025
Viewed by 814
Abstract
Background/Objectives: The role of the molecular chaperone heat shock protein 90 (Hsp90) in pain and analgesia has been recognized; however, no study to date has investigated its role in facial allodynia during headache. In the current study, we examined the role of [...] Read more.
Background/Objectives: The role of the molecular chaperone heat shock protein 90 (Hsp90) in pain and analgesia has been recognized; however, no study to date has investigated its role in facial allodynia during headache. In the current study, we examined the role of Hsp90 and its possible connection to the endocannabinoid system utilizing a rodent model of cortical spreading depression (CSD). Methods: CSD, a physiological phenomenon associated with headache disorders, was induced by cortical injection of KCl in female Sprague Dawley rats. To selectively inhibit Hsp90, 17-AAG was applied on the dura mater 24 h before CSD induction. Periorbital allodynia was assessed by von Frey filaments, while tissue samples were subjected to LC-MS, qPCR, Western immunoblotting, and the GTPγS coupling assay. Results: Increased expression of Hsp90 was selectively observed in the periaqueductal gray (PAG) harvested 90 min after cortical KCl injection, suggesting increased cellular stress from CSD induction. Application of 17-AAG (0.5 nmol) on dura mater 24 h before CSD induction significantly prevented facial allodynia as measured by von Frey filaments. This effect was blocked by injection of the CB1R antagonist rimonabant (1 mg/kg, ip). The pretreatment with 17-AAG significantly increased the level of anandamide (AEA) in PAG 90 min after cortical insult, as measured by LC-MS. This effect was accompanied by reduced expression of FAAH and increased expression of NAPE-PLD in the same nuclei. Conclusions: These results suggest that Hsp90 inhibition positively modulates the endocannabinoid system, causing pain relief through descending pain modulation in PAG post-CSD. Full article
Show Figures

Graphical abstract

14 pages, 291 KB  
Article
Association Study of the Heat Shock Protein 90 Alpha (HSP90AA1) Gene Polymorphisms with Schizophrenia in a Polish Population
by Malgorzata Kowalczyk, Aleksander J. Owczarek, Krzysztof Kucia, Maja Hasterok, Renata Suchanek-Raif, Monika Paul-Samojedny, Weronika Lakomy and Jan Kowalski
Genes 2025, 16(9), 1092; https://doi.org/10.3390/genes16091092 - 16 Sep 2025
Viewed by 996
Abstract
Background/Objectives: Schizophrenia (SCZ) is a highly heritable mental disorder with a complex polygenic genetic architecture. The heat shock protein 90 alpha (HSP90α), encoded by the HSP90AA1 gene, is a molecular chaperone that is required for the proper folding and activity of many of [...] Read more.
Background/Objectives: Schizophrenia (SCZ) is a highly heritable mental disorder with a complex polygenic genetic architecture. The heat shock protein 90 alpha (HSP90α), encoded by the HSP90AA1 gene, is a molecular chaperone that is required for the proper folding and activity of many of the client proteins that are involved in numerous essential cellular pathways. In addition to its general chaperone activity, HSP90α plays a role in other neuronal contexts and was found to have an altered expression in SCZ, which makes HSP90AA1 an attractive gene for association studies. The aim of this study was to determine whether the HSP90AA1 polymorphisms (rs8005905, rs10873531, rs11621560, rs4947 and rs2298877) are involved in the risk of developing SCZ and its clinical picture in a Polish Caucasian population. Methods: A total of 1088 unrelated subjects (409 patients and 679 healthy controls) were included in the study. The SNPs were genotyped using a TaqMan 5′-exonuclease allelic discrimination assay. The results of the Positive and Negative Syndrome Scale (PANSS) were presented in the five-dimensional model. Results: None of the SNPs were associated with a predisposition to developing SCZ in either the single-marker or haplotype analysis including the results of gender-stratified analyses. However, the genotypes of rs11621560, rs4947 and rs2298877 SNPs were associated with the emotional distress (EMO) dimension score. Conclusions: The results of the present study indicate that HSP90AA1 variants may have an impact on the psychopathology of SCZ, although larger studies are needed to clarify these findings. Full article
(This article belongs to the Special Issue Genetics of Neuropsychiatric Disorders)
11 pages, 1696 KB  
Article
Recombinant Expression and Purification of the Cyanobacterial Chaperone HtpG from Synechococcus elongatus PCC 7942
by Liqun Jiang, Ibrahim D. Boyenle, Nicolas Delaeter and Yanxin Liu
Methods Protoc. 2025, 8(5), 103; https://doi.org/10.3390/mps8050103 - 6 Sep 2025
Viewed by 847
Abstract
The 90 kDa Heat Shock Protein (Hsp90) is an essential and highly conserved molecular chaperone that supports the folding and maturation of a diverse array of client proteins across prokaryotic and eukaryotic organisms. In bacteria, HtpG, the Hsp90 homolog, plays a central role [...] Read more.
The 90 kDa Heat Shock Protein (Hsp90) is an essential and highly conserved molecular chaperone that supports the folding and maturation of a diverse array of client proteins across prokaryotic and eukaryotic organisms. In bacteria, HtpG, the Hsp90 homolog, plays a central role in stress response and protein homeostasis, particularly under high-temperature and other stress conditions. Despite extensive studies on HtpG from E. coli, the biochemical properties and functional roles of cyanobacterial HtpG remain poorly characterized. Here, we focus on HtpG from the cyanobacterium Synechococcus elongatus PCC 7942 (seHtpG), a model organism for photosynthesis and circadian rhythm research. We developed a method for the overexpression and purification of seHtpG in E. coli, achieving high purity and yield suitable for biochemical and structural studies. Biophysical and biochemical assays show that seHtpG forms dimers and hydrolyzes ATP at a rate of 1.9 ATP/min, 4-fold faster than that of E. coli HtpG. This work establishes seHtpG as a model for studying the roles of HtpG in cyanobacterial protein homeostasis, photosynthesis, and stress response, enabling further exploration of cyanobacterial Hsp90 in ecosystem dynamics and biotechnological applications. Full article
(This article belongs to the Section Molecular and Cellular Biology)
Show Figures

Figure 1

18 pages, 5498 KB  
Article
Identification of the Chenopodium quinoa HSP90 Gene Family and Functional Analysis of CqHSP90.1c and CqHSP90.6a Under High-Temperature Stress in Transgenic Arabidopsis thaliana
by Fangjun Chen, Wei Wang, Wenli Liu, Jiancheng Song, Shihua Chen, Yibo An, Haibo Yin and Shanli Guo
Plants 2025, 14(17), 2770; https://doi.org/10.3390/plants14172770 - 4 Sep 2025
Cited by 1 | Viewed by 898
Abstract
Heat shock protein 90 (HSP90) is an evolutionarily conserved molecular chaperone. Numerous studies have shown that it is widely involved in protein folding, assembly, stabilization, activation, and degradation in response to various biotic and abiotic stresses in many normal cellular processes and under [...] Read more.
Heat shock protein 90 (HSP90) is an evolutionarily conserved molecular chaperone. Numerous studies have shown that it is widely involved in protein folding, assembly, stabilization, activation, and degradation in response to various biotic and abiotic stresses in many normal cellular processes and under stress conditions. We identified 11 members of the CqHSP90 gene family in the quinoa (Chenopodium quinoa) genome by bioinformatics analysis. Phylogenetic tree analysis showed that quinoa was more closely related to dicotyledonous plants than to monocotyledonous plants. Quinoa is susceptible to high-temperature stress during its growth and development. We analyzed the cis-acting elements of its promoter, and found that nearly 1/3 of the cis-acting elements were stress-responsive, and 2/3 of them had heat-responsive elements. The results of qRT-PCR showed that heat shock at 40 °C could induce a high expression of CqHSP90.1c and CqHSP90.6a. Subcellular localization indicates that they are all membrane proteins. At the same time, both CqHSP90.1c and CqHSP90.6a overexpression lines improved the tolerance of Arabidopsis thaliana under high temperature, indicating that both of them had a positive regulatory effect under heat stress. Results of this study could provide useful information for further study on the biological role of CqHSP90.1c and CqHSP90.6a, and provide theoretical basis for quinoa resistance breeding. Full article
(This article belongs to the Section Plant Genetics, Genomics and Biotechnology)
Show Figures

Figure 1

Back to TopTop