Effect of Ultra-Micronized-Palmitoylethanolamide and Acetyl-l-Carnitine on Experimental Model of Inflammatory Pain
Abstract
1. Introduction
2. Results
2.1. Effect of um-PEA and LAC Treatment on the Time-Course of CAR-Induced Paw Edema and Histological Evaluation of Rat Paw Edema
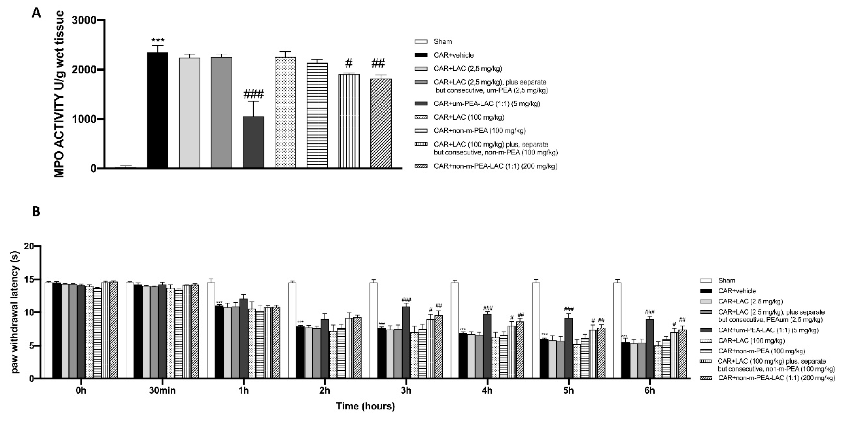
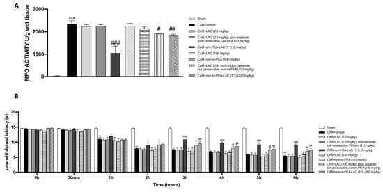
2.2. Effect of um-PEA and LAC Treatment on Myeloperoxidase (MPO) Activity and on the Time-Course of CAR-Induced Thermal Hyperalgesia
2.3. Effect of um-PEA and LAC Treatment on the Mast Cell Number
2.4. Effect of um-PEA and LAC Treatment on Intercellular Adhesion Molecule 1 (ICAM-1) Expression
2.5. Effect of um-PEA and LAC Treatment on Tumor Necrosis Factor-α (TNF-α) Expression
2.6. Effect of um-PEA and LAC Treatment on IL-1β Expression
2.7. Effect of um-PEA and LAC Treatment on Cyclooxygenase-2 (COX-2) Expression
2.8. Effect of um-PEA and LAC Treatment on Inducible Nitric Oxide Synthase (iNOS) Expression
3. Discussion
4. Materials and Methods
4.1. Materials
4.2. Animals
4.3. CAR-Induced Paw Edema
4.4. Experimental Groups
4.5. Nociceptive Tests
4.6. Histological Evaluation
4.7. Myeloperoxidase Activity
4.8. Toluidine Blue Staining
4.9. Immunohistochemical Localization of ICAM-1, TNF-α, IL-1β, COX-2, and iNOS
4.10. ELISA Assay for TNF-α and IL-1β
4.11. Statistical Analysis
5. Conclusions
6. Patents
Author Contributions
Funding
Institutional Review Board Statement
Informed Consent Statement
Data Availability Statement
Acknowledgments
Conflicts of Interest
Abbreviations
| PEA | Palmitoylethanolamide |
| PEA-um or um-PEA | Ultra-micronized-palmitoylethanolamide |
| non-m-PEA | PEA non-micronized |
| LAC | Acetyl-l-carnitine |
| CAR | Carrageenan |
| PPARs | Peroxisome proliferator-activated receptors |
| NAEs | N-acylethanolamines |
| MC | Mast cells |
| PALS | Phase analysis light scattering |
| mGlu2 | Type-2 metabotropic glutamate receptors |
References
- Sengar, N.; Joshi, A.; Prasad, S.K.; Hemalatha, S. Anti-inflammatory, analgesic and anti-pyretic activities of standardized root extract of Jasminum sambac. J. Ethnopharmacol. 2015, 160, 140–148. [Google Scholar] [CrossRef] [PubMed]
- Piomelli, D.; Sasso, O. Peripheral gating of pain signals by endogenous lipid mediators. Nat. Neurosci. 2014, 17, 164–174. [Google Scholar] [CrossRef] [PubMed]
- Costa, B.; Conti, S.; Giagnoni, G.; Colleoni, M. Therapeutic effect of the endogenous fatty acid amide, palmitoylethanolamide, in rat acute inflammation: Inhibition of nitric oxide and cyclo-oxygenase systems. Br. J. Pharmacol. 2002, 137, 413–420. [Google Scholar] [CrossRef]
- Verme, J.L.; Fu, J.; Astarita, G.; La Rana, G.; Russo, R.; Calignano, A.; Piomelli, D. The Nuclear Receptor Peroxisome Proliferator-Activated Receptor-α Mediates the Anti-Inflammatory Actions of Palmitoylethanolamide. Mol. Pharmacol. 2004, 67, 15–19. [Google Scholar] [CrossRef]
- Darmani, N.A.; Izzo, A.A.; Degenhardt, B.; Valenti, M.; Scaglione, G.; Capasso, R.; Sorrentini, I.; Di Marzo, V. Involvement of the cannabimimetic compound, N-palmitoyl-ethanolamine, in inflammatory and neuropathic conditions: Review of the available pre-clinical data, and first human studies. Neuropharmacology 2005, 48, 1154–1163. [Google Scholar] [CrossRef] [PubMed]
- Costa, B.; Comelli, F.; Bettoni, I.; Colleoni, M.; Giagnoni, G. The endogenous fatty acid amide, palmitoylethanolamide, has anti-allodynic and anti-hyperalgesic effects in a murine model of neuropathic pain: Involvement of CB1, TRPV1 and PPARγ receptors and neurotrophic factors. Pain 2008, 139, 541–550. [Google Scholar] [CrossRef]
- Starowicz, K.; Makuch, W.; Korostynski, M.; Malek, N.; Slezak, M.; Zychowska, M.; Petrosino, S.; De Petrocellis, L.; Cristino, L.; Przewlocka, B.; et al. Full Inhibition of Spinal FAAH Leads to TRPV1-Mediated Analgesic Effects in Neuropathic Rats and Possible Lipoxygenase-Mediated Remodeling of Anandamide Metabolism. PLoS ONE 2013, 8, e60040. [Google Scholar] [CrossRef]
- Farquhar-Smith, W.P.; Jaggar, S.I.; Rice, A.S. Attenuation of nerve growth factor-induced visceral hyperal-gesia via canna-binoid CB(1) and CB(2)-like receptors. Pain 2002, 97, 11–21. [Google Scholar] [CrossRef]
- Aloe, L.; Leon, A.; Levi-Montalcini, R. A proposed autacoid mechanism controlling mastocyte behaviour. In World Scientific Series in 20th Century Biology; World Scientific: Singapore, 1997; pp. 442–444. [Google Scholar]
- Onofrj, M.; Fulgente, T.; Melchionda, D.; Marchionni, A.; Tomasello, F.; Salpietro, F.M.; Alafaci, C.; De Sanctis, E.; Pennisi, G.; Bella, R. L-acetylcarnitine as a new therapeutic approach for peripheral neuropathies with pain. Int. J. Clin. Pharmacol. Res. 1995, 15, 9–15. [Google Scholar] [PubMed]
- Leombruni, P.; Miniotti, M.; Colonna, F.; Sica, C.; Castelli, L.; Bruzzone, M.; Parisi, S.; Fusaro, E.; Sarzi-Puttini, P.; Atzeni, F.; et al. A randomised controlled trial comparing duloxetine and acetyl L-carnitine in fibromyalgic patients: Preliminary data. Clin. Exp. Rheumatol. 2015, 33, 82–85. [Google Scholar]
- Arienti, G.; Ramacci, M.T.; Maccari, F.; Casu, A.; Corazzi, L. Acetyl-l-carnitine influences the fluidity of brain microsomes and of liposomes made of rat brain microsomal lipid extracts. Neurochem. Res. 1992, 17, 671–675. [Google Scholar] [CrossRef]
- Sass, R.L.; Werness, P. Acetylcarnitine: On the relationship between structure and function. Biochem. Biophys. Res. Commun. 1973, 55, 736–742. [Google Scholar] [CrossRef]
- Tesco, G.; Latorraca, S.; Piersanti, P.; Piacentini, S.; Amaducci, L.; Sorbi, S. Protection from Oxygen Radical Damage in Human Diploid Fibroblasts by Acetyl-L-Carnitine. Dement. Geriatr. Cogn. Disord. 1992, 3, 58–60. [Google Scholar] [CrossRef]
- Winter, C.A.; Risley, E.A.; Nuss, G.W. Carrageenin-Induced Edema in Hind Paw of the Rat as an Assay for Antiinflammatory Drugs. Exp. Biol. Med. 1962, 111, 544–547. [Google Scholar] [CrossRef] [PubMed]
- Impellizzeri, D.; Bruschetta, G.; Cordaro, M.; Crupi, R.; Siracusa, R.; Esposito, E.; Cuzzocrea, S. Micronized/ultramicronized palmitoylethanolamide displays superior oral efficacy compared to nonmicronized palmitoylethanolamide in a rat model of inflammatory pain. J. Neuroinflammation 2014, 11, 1–9. [Google Scholar] [CrossRef]
- Oh, D.-M.; Curl, R.L.; Yong, C.-S.; Amidon, G.L. Effect of micronization on the extent of drug absorption from suspensions in humans. Arch. Pharmacal Res. 1995, 18, 427–433. [Google Scholar] [CrossRef]
- Bisrat, M.; Nyström, C. Physicochemical aspects of drug release. VIII. The relation between particle size and surface specific dissolution rate in agitated suspensions. Int. J. Pharm. 1988, 47, 223–231. [Google Scholar] [CrossRef]
- Guo, Y.; Mochizuki, T.; Morii, E.; Kitamura, Y.; Maeyama, K. Role of mast cell histamine in the formation of rat paw edema: A microdialysis study. Eur. J. Pharmacol. 1997, 331, 237–243. [Google Scholar] [CrossRef]
- Vlasova, I.I. Peroxidase Activity of Human Hemoproteins: Keeping the Fire under Control. Molecules 2018, 23, 2561. [Google Scholar] [CrossRef]
- Morris, C.J. Carrageenan-Induced Paw Edema in the Rat and Mouse. Inflammation Protocols 2003, 225, 115–122. [Google Scholar] [CrossRef]
- Mortaz, E.; Redegeld, F.A.; Nijkamp, F.P.; Engels, F. Dual effects of acetylsalicylic acid on mast cell degranulation, expression of cyclooxygenase-2 and release of pro-inflammatory cytokines. Biochem. Pharmacol. 2005, 69, 1049–1057. [Google Scholar] [CrossRef]
- Wang, Z.-Y.; Wang, P.; Bjorling, D.E. Role of mast cells and protease-activated receptor-2 in cyclooxygenase-2 expression in urothelial cells. Am. J. Physiol. Integr. Comp. Physiol. 2009, 297, R1127–R1135. [Google Scholar] [CrossRef]
- Carvalho, R.F.; Ribeiro, R.A.; Falcão, R.A.; Lima, R.C.; Leitão, R.F.; Alcantara, C.; Souza, M.H.; Cunha, F.Q.; Brito, G.A. Angiotensin II potentiates inflammatory edema in rats: Role of mast cell degranulation. Eur. J. Pharmacol. 2006, 540, 175–182. [Google Scholar] [CrossRef]
- Petrosino, S.; Campolo, M.; Impellizzeri, D.; Paterniti, I.; Allarà, M.; Gugliandolo, E.; D’Amico, R.; Siracusa, R.; Cordaro, M.; Esposito, E.; et al. 2-Pentadecyl-2-Oxazoline, the Oxazoline of Pea, Modulates Carrageenan-Induced Acute Inflammation. Front. Pharmacol. 2017, 8, 308. [Google Scholar] [CrossRef] [PubMed]
- Salvemini, D.; Wang, Z.-Q.; Wyatt, P.S.; Bourdon, D.M.; Marino, M.H.; Manning, P.T.; Currie, M.G. Nitric oxide: A key mediator in the early and late phase of carrageenan-induced rat paw inflammation. Br. J. Pharmacol. 1996, 118, 829–838. [Google Scholar] [CrossRef]
- Petrosino, S.; Cordaro, M.; Verde, R.; Moriello, A.S.; Marcolongo, G.; Schievano, C.; Siracusa, R.; Piscitelli, F.; Peritore, A.F.; Crupi, R.; et al. Oral Ultramicronized Palmitoylethanolamide: Plasma and Tissue Levels and Spinal Anti-hyperalgesic Effect. Front. Pharmacol. 2018, 9, 249. [Google Scholar] [CrossRef]
- Mullane, K.M.; Kraemer, R.; Smith, B. Myeloperoxidase activity as a quantitative assessment of neutrophil infiltration into ischemie myocardium. J. Pharmacol. Methods 1985, 14, 157–167. [Google Scholar] [CrossRef]
- Casili, G.; Ardizzone, A.; Lanza, M.; Gugliandolo, E.; Portelli, M.; Militi, A.; Cuzzocrea, S.; Esposito, E.; Paterniti, I. Treatment with Luteolin Improves Lipopolysaccharide-Induced Periodontal Diseases in Rats. Biomedicines 2020, 8, 442. [Google Scholar] [CrossRef] [PubMed]








Publisher’s Note: MDPI stays neutral with regard to jurisdictional claims in published maps and institutional affiliations. |
© 2021 by the authors. Licensee MDPI, Basel, Switzerland. This article is an open access article distributed under the terms and conditions of the Creative Commons Attribution (CC BY) license (http://creativecommons.org/licenses/by/4.0/).
Share and Cite
Ardizzone, A.; Fusco, R.; Casili, G.; Lanza, M.; Impellizzeri, D.; Esposito, E.; Cuzzocrea, S. Effect of Ultra-Micronized-Palmitoylethanolamide and Acetyl-l-Carnitine on Experimental Model of Inflammatory Pain. Int. J. Mol. Sci. 2021, 22, 1967. https://doi.org/10.3390/ijms22041967
Ardizzone A, Fusco R, Casili G, Lanza M, Impellizzeri D, Esposito E, Cuzzocrea S. Effect of Ultra-Micronized-Palmitoylethanolamide and Acetyl-l-Carnitine on Experimental Model of Inflammatory Pain. International Journal of Molecular Sciences. 2021; 22(4):1967. https://doi.org/10.3390/ijms22041967
Chicago/Turabian StyleArdizzone, Alessio, Roberta Fusco, Giovanna Casili, Marika Lanza, Daniela Impellizzeri, Emanuela Esposito, and Salvatore Cuzzocrea. 2021. "Effect of Ultra-Micronized-Palmitoylethanolamide and Acetyl-l-Carnitine on Experimental Model of Inflammatory Pain" International Journal of Molecular Sciences 22, no. 4: 1967. https://doi.org/10.3390/ijms22041967
APA StyleArdizzone, A., Fusco, R., Casili, G., Lanza, M., Impellizzeri, D., Esposito, E., & Cuzzocrea, S. (2021). Effect of Ultra-Micronized-Palmitoylethanolamide and Acetyl-l-Carnitine on Experimental Model of Inflammatory Pain. International Journal of Molecular Sciences, 22(4), 1967. https://doi.org/10.3390/ijms22041967
