Non-Covalent Forces in Naphthazarin—Cooperativity or Competition in the Light of Theoretical Approaches
Abstract
:1. Introduction
2. Results and Discussion
2.1. Naphthazarin Monomer Non-Covalent Intramolecular Interactions Study
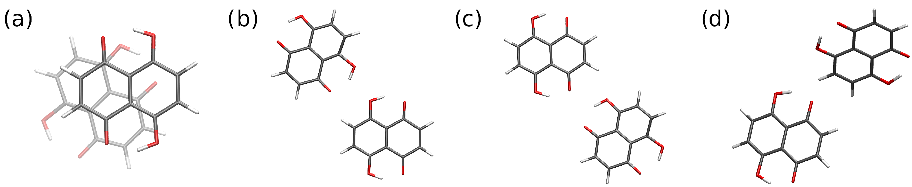
2.2. Intermolecular Interactions in Dimers of Naphthazarin in the Light of Symmetry-Adapted Perturbation Theory (SAPT)
2.3. Intramolecular Hydrogen Bonds Geometric and Vibrational Properties Investigated Based on Car-Parrinello Molecular Dynamics (CPMD) in the Gas and Crystalline Phases
3. Computational Methodology
3.1. Static Density Functional Theory (DFT) and Diffusion Quantum Monte Carlo (DQMC)
3.2. Symmetry-Adapted Perturbation Theory (SAPT)
3.3. Car-Parrinello Molecular Dynamics (CPMD) in Vacuo and Crystalline Phases
4. Conclusions
Supplementary Materials
Author Contributions
Funding
Institutional Review Board Statement
Informed Consent Statement
Data Availability Statement
Acknowledgments
Conflicts of Interest
Abbreviations
| DFT | Density Functional Theory |
| DQMC | Diffusion Quantum Monte Carlo |
| CPMD | Car-Parrinello Molecular Dynamics |
| CC | Coupled Cluster |
| HOMA | Harmonic Oscillator Model of Aromaticity |
| AIM | Atoms In Molecules |
| SAPT | Symmetry-Adapted Perturbation Theory |
| NMR | Nucleic Magnetic Resonance |
| IR | Infrared spectrum |
| PES | Potential Energy Surface |
| TS | Transition State |
| SSP | Second-order Saddle Point |
| HB | hydrogen bond |
| PT | Proton Transfer |
| MP2 | Møller-Plesset second-order perturbation theory |
| BCP | Bond Critical Point |
| RCP | Ring Critical Point |
| BSSE | Basis Set Superposition Error |
| 2D | two-dimensional |
References
- Rest, C.; Kandanelli, R.; Fernández, G. Strategies to create hierarchical self-assembled structures via cooperative non-covalent interactions. Chem. Soc. Rev. 2015, 44, 2543–2572. [Google Scholar] [CrossRef] [PubMed]
- Černý, J.; Hobza, P. Non-covalent interactions in biomacromolecules. Phys. Chem. Chem. Phys. 2007, 9, 5291. [Google Scholar] [CrossRef] [PubMed]
- Krueger, A.T.; Kool, E.T. Model systems for understanding DNA base pairing. Curr. Opin. Chem. Biol. 2007, 11, 588–594. [Google Scholar] [CrossRef] [PubMed] [Green Version]
- Mati, I.K.; Cockroft, S.L. Molecular balances for quantifying non-covalent interactions. Chem. Soc. Rev. 2010, 39, 4195. [Google Scholar] [CrossRef] [PubMed] [Green Version]
- Müller-Dethlefs, K.; Hobza, P. Noncovalent Interactions: A Challenge for Experiment and Theory. Chem. Rev. 2000, 100, 143–167. [Google Scholar] [CrossRef]
- Hobza, P.; Zahradník, R.; Müller-Dethlefs, K. The World of Non-Covalent Interactions: 2006. Collect. Czechoslov. Chem. Commun. 2006, 71, 443–531. [Google Scholar] [CrossRef] [Green Version]
- Hobza, P.; Řezáč, J. Introduction: Noncovalent Interactions. Chem. Rev. 2016, 116, 4911–4912. [Google Scholar] [CrossRef] [Green Version]
- Puzzarini, C.; Spada, L.; Alessandrini, S.; Barone, V. The challenge of non-covalent interactions: Theory meets experiment for reconciling accuracy and interpretation. J. Phys. Condens. Matter 2020, 32, 343002. [Google Scholar] [CrossRef]
- Zierkiewicz, W.; Michalczyk, M.; Scheiner, S. Competition between Intra and Intermolecular Triel Bonds. Complexes between Naphthalene Derivatives and Neutral or Anionic Lewis Bases. Molecules 2020, 25, 635. [Google Scholar] [CrossRef] [Green Version]
- Grabowski, S.J. What Is the Covalency of Hydrogen Bonding? Chem. Rev. 2011, 111, 2597–2625. [Google Scholar] [CrossRef]
- Lodish, H.; Berk, A.; Zipursky, S.; Matsudaira, P.; Baltimore, D.; Darnell, J. Section 2.2, Noncovalent Bonds. In Molecular Cell Biology, 4th ed.; W. H. Freeman: New York, NY, USA, 2000. [Google Scholar]
- Sobczyk, L.; Grabowski, S.J.; Krygowski, T.M. Interrelation between H-Bond and Pi-Electron Delocalization. Chem. Rev. 2005, 105, 3513–3560. [Google Scholar] [CrossRef] [PubMed]
- Grabowski, S.J. Hydrogen and halogen bonds are ruled by the same mechanisms. Phys. Chem. Chem. Phys. 2013, 15, 7249. [Google Scholar] [CrossRef] [PubMed]
- Anslyn, E.; Dougherty, D. Modern Physical Organic Chemistry; University Science Books: Sausalito, CA, USA, 2005. [Google Scholar]
- McNaught, A.D.; Wilkinson, A. Hydrophobic interaction. In IUPAC Compendium of Chemical Terminology; Blackwell Science: Oxford, UK, 1997. [Google Scholar] [CrossRef] [Green Version]
- Biedermann, F.; Schneider, H.J. Experimental Binding Energies in Supramolecular Complexes. Chem. Rev. 2016, 116, 5216–5300. [Google Scholar] [CrossRef] [PubMed]
- Drozd, K.V.; Manin, A.N.; Voronin, A.P.; Boycov, D.E.; Churakov, A.V.; Perlovich, G.L. A combined experimental and theoretical study of miconazole salts and cocrystals: Crystal structures, DFT computations, formation thermodynamics and solubility improvement. Phys. Chem. Chem. Phys. 2021, 23, 12456–12470. [Google Scholar] [CrossRef]
- Herbstein, F.H.; Kapon, M.; Reisner, G.M.; Lehman, M.S.; Kress, R.B.; Wilson, R.B.; Shiau, W.i.; Duesler, E.N.; Paul, I.C.; Curtin, D.Y.; et al. Polymorphism of naphthazarin and its relation to solid-state proton transfer. Neutron and X-ray diffraction studies on naphthazarin C. Proc. R. Soc. Lond. A Math. Phys. Sci. 1985, 399, 295–319. [Google Scholar] [CrossRef]
- Gilli, G.; Bellucci, F.; Ferretti, V.; Bertolasi, V. Evidence for resonance-assisted hydrogen bonding from crystal-structure correlations on the enol form of the. beta.-diketone fragment. J. Am. Chem. Soc. 1989, 111, 1023–1028. [Google Scholar] [CrossRef]
- Takahashi, O.; Kohno, Y.; Nishio, M. Relevance of Weak Hydrogen Bonds in the Conformation of Organic Compounds and Bioconjugates: Evidence from Recent Experimental Data and High-Level ab Initio MO Calculations. Chem. Rev. 2010, 110, 6049–6076. [Google Scholar] [CrossRef] [PubMed]
- Desiraju, G.R. Hydrogen Bridges in Crystal Engineering: Interactions without Borders. Acc. Chem. Res. 2002, 35, 565–573. [Google Scholar] [CrossRef] [PubMed]
- Gerlt, J.A.; Kreevoy, M.M.; Cleland, W.; Frey, P.A. Understanding enzymic catalysis: The importance of short, strong hydrogen bonds. Chem. Biol. 1997, 4, 259–267. [Google Scholar] [CrossRef] [Green Version]
- Moore, R.E.; Scheuer, P.J. Nuclear Magnetic Resonance Spectra of Substituted Naphthoquinones. Influence of Substituents on Tautomerism, Anisotropy, and Stereochemistry in the Naphthazarin System1. J. Org. Chem. 1966, 31, 3272–3283. [Google Scholar] [CrossRef]
- Bratan, S.; Strohbusch, F. The structure of naphthazarin in solution. J. Mol. Struct. 1980, 61, 409–414. [Google Scholar] [CrossRef]
- Olivieri, A.; Paul, I.C.; Curtin, D.Y. 13C CP-MAS study of the polymorphs of naphthazarin and of some methyl derivatives. Magn. Reson. Chem. 1990, 28, 119–123. [Google Scholar] [CrossRef]
- Reynhardt, E. An NMR investigation of proton transfer dynamics in solid naphthazarin B and C. Mol. Phys. 1992, 76, 525–536. [Google Scholar] [CrossRef]
- Tabrizi, M.Z.; Tayyari, S.F.; Tayyari, F.; Behforouz, M. Fourier transform infrared and Raman spectra, vibrational assignment and density functional theory calculations of naphthazarin. Spectrochim. Acta A Mol. Biomol. Spectrosc. 2004, 60, 111–120. [Google Scholar] [CrossRef]
- Jacquemin, D.; Peltier, C.; Ciofini, I. Visible spectrum of naphthazarin investigated through Time-Dependent Density Functional Theory. Chem. Phys. Lett. 2010, 493, 67–71. [Google Scholar] [CrossRef]
- Jezierska, A.; Tolstoy, P.M.; Panek, J.J.; Filarowski, A. Intramolecular Hydrogen Bonds in Selected Aromatic Compounds: Recent Developments. Catalysts 2019, 9, 909. [Google Scholar] [CrossRef] [Green Version]
- Filarowski, A.; Koll, A.; Głowiak, T. Proton transfer equilibrium in the intramolecular hydrogen bridge in sterically hindered Schiff bases. J. Mol. Struct. 2002, 615, 97–108. [Google Scholar] [CrossRef]
- Krygowski, T.M.; Cyrański, M.K. Structural Aspects of Aromaticity. Chem. Rev. 2001, 101, 1385–1420. [Google Scholar] [CrossRef]
- Lewis, J.R.; Paul, J. A Convenient Synthesis of Naphthazarin and Naphthopurpurin. Z. Naturforsch. B 1977, 32, 1473–1475. [Google Scholar] [CrossRef]
- Land, E.; Mukherjee, T.; Swallow, A. Reduction of the Naphthazarin Molecule as Studied by Pulse Radiolysis. J. Chem. Soc. Faraday Trans. I 1983, 79, 391–404. [Google Scholar] [CrossRef]
- Maksić, Z.B.; Eckert-Maksić, M.; Kovaček, D. Semiempirical Study of Intramolecular Hydrogen Bond in Naphthazarin. Croat. Chem. Acta 1989, 62, 623–644. [Google Scholar]
- Ramondo, F.; Bencivenni, L. Ab Initio HF-SCF Study of Naphthazarin: Geometries, Isomerism, Hydrogen Bonding, and Vibrational Spectrum. Struct. Chem. 1994, 5, 211–224. [Google Scholar] [CrossRef]
- Latanowicz, L.; Reynhardt, E. Quantum mechanical and classical dynamics of double proton transfer in the hydrogen bond. Chem. Phys. Lett. 2001, 341, 561–567. [Google Scholar] [CrossRef]
- Savko, M.; Kaščáková, S.; Mojzeš, P.; Jancura, D.; Miškovský, P.; Uličný, J. Ground and excited state properties of naphthazarin: Absorption spectroscopy and theoretical modeling study. J. Mol. Struct. Theor. Chem. 2007, 803, 79–87. [Google Scholar] [CrossRef]
- Chen, D.; Hao, Z.; Zhao, X.; Wang, Z. Theoretical study on the photochemical properties of naphthazarin and halogen substitution. J. Mol. Struct. Theor. Chem. 2007, 803, 73–77. [Google Scholar] [CrossRef]
- Rudnicka, M.; Ludynia, M.; Karcz, W. The Effect of Naphthazarin on the Growth, Electrogenicity, Oxidative Stress, and Microtubule Array in Z. mays Coleoptile Cells Treated with IAA. Front. Plant Sci. 2019, 9. [Google Scholar] [CrossRef]
- Ghahremani, F.A.; Zahedi-Tabrizi, M.; Tayyari, S.F. The nature of intramolecular hydrogen bond in Naphthazarin. Chem. Phys. 2020, 538, 110907. [Google Scholar] [CrossRef]
- McGovern, E.P.; Bentley, R. Biosynthesis of Flaviolin and 5,8-Dihydroxy-2,7-dimethoxy-1,4-naphthoquinone. Biochemistry 1975, 14, 3138–3143. [Google Scholar] [CrossRef] [PubMed]
- Paull, K.D.; Zee-Cheng, R.K.Y.; Cheng, C.C. Some Substituted Naphthazarins as Potential Anticancer Agents. J. Med. Chem. 1976, 19, 337–339. [Google Scholar] [CrossRef] [PubMed]
- You, Y.J.; Zheng, X.G.; Yong, K.; Ahn, B.Z. Naphthazarin derivatives: Synthesis, cytotoxic mechanism and evaluation of antitumor activity. Arch. Pharm. Res 1998, 21, 595–598. [Google Scholar] [CrossRef]
- Song, G.; Kim, Y.; You, Y.; Cho, H.; Kim, S.; Sok, D.E.; Ahn, B. Naphthazarin derivatives (VI): Synthesis, inhibitory effect on DNA topoisomerase-I and antiproliferative activity of 2- or 6-(1-oxyiminoalkyl)- 5,8-dimethoxy-1,4-naphthoquinones. Arch. Pharm. 2000, 333, 87–92. [Google Scholar] [CrossRef]
- Dessolin, J.; Biot, C.; Davioud-Charvet, E. Bromination Studies of the 2, 3-Dimethylnaphthazarin Core Allowing Easy Access to Naphthazarin Derivatives. J. Org. Chem. 2001, 66, 5616–5619. [Google Scholar] [CrossRef] [PubMed]
- Zhang, J.; Liu, Y.; Shi, D.; Hu, G.; Zhang, B.; Li, X.; Liu, R.; Han, X.; Yao, X.; Fang, J. Synthesis of naphthazarin derivatives and identification of novel thioredoxin reductase inhibitor as potential anticancer agent. Eur. J. Med. Chem. 2017, 140, 435–447. [Google Scholar] [CrossRef] [PubMed]
- Lüchow, A. Quantum Monte Carlo methods. WIREs Comput. Mol. Sci. 2011, 1, 388–402. [Google Scholar] [CrossRef]
- Abegg, P.; Ha, T.K. Ab initiocalculation of the spin-orbit coupling constant from gaussian lobe SCF molecular wavefunctions. Mol. Phys. 1974, 27, 763–767. [Google Scholar] [CrossRef]
- Jeziorski, B.; Moszynski, R.; Szalewicz, K. Perturbation Theory Approach to Intermolecular Potential Energy Surfaces of van der Waals Complexes. Chem. Rev. 1994, 94, 1887–1930. [Google Scholar] [CrossRef]
- Car, R.; Parrinello, M. Unified Approach for Molecular Dynamics and Density-Functional Theory. Phys. Rev. Lett. 1985, 55, 2471–2474. [Google Scholar] [CrossRef] [Green Version]
- Allen, M.P.; Tildesley, D.J. Computer Simulation of Liquids; Clarendon: Oxford, UK, 1994. [Google Scholar]
- de la Vega, J.R. Role of Symmetry in the Tunnelling of the Proton in Double Minimum Potentials. Acc. Chem. Res. 1982, 15, 185–192. [Google Scholar] [CrossRef]
- Mariam, Y.H.; Musin, R.N. A B3LYP study of intramolecular hydrogen bonding and proton transfer in naphthazarin: A model system for daunomycin/adriamycin. J. Mol. Struct. Theor. Chem. 2001, 549, 123–136. [Google Scholar] [CrossRef]
- Smedarchina, Z.; Siebrand, W.; Fernández-Ramos, A.; Meana-Pañeda, R. Mechanisms of Double Proton Transfer. Theory and Applications. Z. Phys. Chem. Int. J. Res. Phys. Chem. Chem. Phys. Z. Phys. Chem. 2008, 222, 1291–1309. [Google Scholar] [CrossRef]
- Pradhan, R.; Lourderaj, U. Can reactions follow non-traditional second-order saddle pathways avoiding transition states? Phys. Chem. Chem. Phys. 2019, 21, 12837–12842. [Google Scholar] [CrossRef] [PubMed]
- Błaziak, K.; Panek, J.J.; Jezierska, A. Molecular reorganization of selected quinoline derivatives in the ground and excited states—Investigations via static (DFT). J. Chem. Phys. 2015, 143, 034301. [Google Scholar] [CrossRef] [PubMed]
- Kruszewski, J.; Krygowski, T. Definition of aromaticity basing on the harmonic oscillator model. Tetrahedron Lett. 1972, 13, 3839–3842. [Google Scholar] [CrossRef]
- Parr, R.G.; Yang, W. Density functional approach to the frontier-electron theory of chemical reactivity. J. Am. Chem. Soc. 1984, 106, 4049–4050. [Google Scholar] [CrossRef]
- Błaziak, K.; Danikiewicz, W.; Mąkosza, M. How Do Aromatic Nitro Compounds React with Nucleophiles? Theoretical Description Using Aromaticity, Nucleophilicity and Electrophilicity Indices. Molecules 2020, 25, 4819. [Google Scholar] [CrossRef]
- Ormazábal-Toledo, R.; Contreras, R.; Campodónico, P.R. Reactivity Indices Profile: A Companion Tool of the Potential Energy Surface for the Analysis of Reaction Mechanisms. Nucleophilic Aromatic Substitution Reactions as Test Case. J. Org. Chem. 2013, 78, 1091–1097. [Google Scholar] [CrossRef] [PubMed]
- Koch, U.; Popelier, P.L.A. Characterization of C-H-O Hydrogen Bonds on the Basis of the Charge Density. J. Phys. Chem. 1995, 99, 9747–9754. [Google Scholar] [CrossRef]
- Jabłoński, M. A Critical Overview of Current Theoretical Methods of Estimating the Energy of Intramolecular Interactions. Molecules 2020, 25, 5512. [Google Scholar] [CrossRef] [PubMed]
- Grabowski, S.J. Intramolecular Hydrogen Bond Energy and Its Decomposition—O–H...O Interactions. Crystals 2021, 11, 5. [Google Scholar] [CrossRef]
- Espinosa, E.; Molins, E.; Lecomte, C. Hydrogen bond strengths revealed by topological analyses of experimentally observed electron densities. Chem. Phys. Lett. 1998, 285, 170–173. [Google Scholar] [CrossRef]
- Vener, M.V.; Egorova, A.N.; Churakov, A.V.; Tsirelson, V.G. Intermolecular hydrogen bond energies in crystals evaluated using electron density properties: DFT computations with periodic boundary conditions. J. Comput. Chem. 2012, 33, 2303–2309. [Google Scholar] [CrossRef]
- Serebryanskaya, T.V.; Novikov, A.S.; Gushchin, P.V.; Haukka, M.; Asfin, R.E.; Tolstoy, P.M.; Kukushkin, V.Y. Identification and H(D)-bond energies of C–H(D)...Cl interactions in chloride–haloalkane clusters: A combined X-ray crystallographic, spectroscopic, and theoretical study. Phys. Chem. Chem. Phys. 2016, 18, 14104–14112. [Google Scholar] [CrossRef] [Green Version]
- Burianova, V.K.; Bolotin, D.S.; Mikherdov, A.S.; Novikov, A.S.; Mokolokolo, P.P.; Roodt, A.; Boyarskiy, V.P.; Dar’in, D.; Krasavin, M.; Suslonov, V.V.; et al. Mechanism of generation of closo-decaborato amidrazones. Intramolecular non-covalent B–H...π(Ph) interaction determines stabilization of the configuration around the amidrazone CN bond. New J. Chem. 2018, 42, 8693–8703. [Google Scholar] [CrossRef]
- Tskhovrebov, A.G.; Novikov, A.S.; Odintsova, O.V.; Mikhaylov, V.N.; Sorokoumov, V.N.; Serebryanskaya, T.V.; Starova, G.L. Supramolecular polymers derived from the PtII and PdII schiff base complexes via C(sp2)–H...Hal hydrogen bonding: Combined experimental and theoretical study. J. Organomet. Chem. 2019, 886, 71–75. [Google Scholar] [CrossRef]
- Hohenstein, E.G.; Sherrill, C.D. Density fitting of intramonomer correlation effects in symmetry-adapted perturbation theory. J. Chem. Phys. 2010, 133, 014101. [Google Scholar] [CrossRef] [PubMed] [Green Version]
- Hohenberg, P.; Kohn, W. Inhomogeneous Electron Gas. Phys. Rev. 1964, 136, B864–B871. [Google Scholar] [CrossRef] [Green Version]
- Kohn, W.; Sham, L.J. Self-Consistent Equations Including Exchange and Correlation Effects. Phys. Rev. 1965, 140, A1133–A1138. [Google Scholar] [CrossRef] [Green Version]
- Møller, C.; Plesset, M.S. Note on an Approximation Treatment for Many-Electron Systems. Phys. Rev. 1934, 46, 618–622. [Google Scholar] [CrossRef] [Green Version]
- Gauss View 5.0, User’s Reference; GAUSSIAN Inc.: Pittsburgh, PA, USA, 2009.
- Yanai, T.; Tew, D.P.; Handy, N.C. A new hybrid exchange–correlation functional using the Coulomb-attenuating method (CAM-B3LYP). Chem. Phys. Lett. 2004, 393, 51–57. [Google Scholar] [CrossRef] [Green Version]
- Austin, A.; Petersson, G.A.; Frisch, M.J.; Dobek, F.J.; Scalmani, G.; Throssell, K. A Density Functional with Spherical Atom Dispersion Terms. J. Chem. Theory Comput. 2012, 8, 4989–5007. [Google Scholar] [CrossRef]
- Zhao, Y.; Truhlar, D.G. Exploring the Limit of Accuracy of the Global Hybrid Meta Density Functional for Main-Group Thermochemistry, Kinetics, and Noncovalent Interactions. J. Chem. Theory Comput. 2008, 4, 1849–1868. [Google Scholar] [CrossRef]
- Heyd, J.; Scuseria, G.E.; Ernzerhof, M. Hybrid functionals based on a screened Coulomb potential. J. Chem. Phys. 2003, 118, 8207–8215, Erratum in 2006, 124, 219906. [Google Scholar] [CrossRef] [Green Version]
- Tao, J.; Perdew, J.P.; Staroverov, V.N.; Scuseria, G.E. Climbing the Density Functional Ladder: Nonempirical Meta–Generalized Gradient Approximation Designed for Molecules and Solids. Phys. Rev. Lett. 2003, 91. [Google Scholar] [CrossRef] [PubMed] [Green Version]
- Peverati, R.; Truhlar, D.G. Screened-exchange density functionals with broad accuracy for chemistry and solid-state physics. Phys. Chem. Chem. Phys. 2012, 14, 16187. [Google Scholar] [CrossRef] [PubMed]
- McLean, A.D.; Chandler, G.S. Contracted Gaussian basis sets for molecular calculations. I. Second row atoms, Z=11–18. J. Chem. Phys. 1980, 72, 5639–5648. [Google Scholar] [CrossRef]
- Krishnan, R.; Binkley, J.S.; Seeger, R.; Pople, J.A. Self-consistent molecular orbital methods. XX. A basis set for correlated wave functions. J. Chem. Phys. 1980, 72, 650–654. [Google Scholar] [CrossRef]
- Frisch, M.J.; Trucks, G.W.; Schlegel, H.B.; Scuseria, G.E.; Robb, M.A.; Cheeseman, J.R.; Scalmani, G.; Barone, V.; Petersson, G.A.; Nakatsuji, H.; et al. Gaussian~16 Revision A.03; Gaussian Inc.: Wallingford, CT, USA, 2016. [Google Scholar]
- Grimme, S.; Diedrich, C.; Korth, M. The Importance of Inter- and Intramolecular van der Waals Interactions in Organic Reactions: The Dimerization of Anthracene Revisited. Angew. Chem. Int. Ed. 2006, 45, 625–629. [Google Scholar] [CrossRef] [PubMed]
- Korth, M.; Lüchow, A.; Grimme, S. Toward the Exact Solution of the Electronic Schrödinger Equation for Noncovalent Molecular Interactions: Worldwide Distributed Quantum Monte Carlo Calculations. J. Phys. Chem. A 2008, 112, 2104–2109. [Google Scholar] [CrossRef]
- Van Lenthe, E.; Baerends, E.J. Optimized Slater-type basis sets for the elements 1–118. J. Comput. Chem. 2003, 24, 1142–1156. [Google Scholar] [CrossRef] [PubMed]
- Schmidt, K.E.; Moskowitz, J.W. Correlated Monte Carlo wave functions for the atoms He through Ne. J. Chem. Phys. 1990, 93, 4172–4178. [Google Scholar] [CrossRef]
- Lüchow, A.; Sturm, A.; Schulte, C.; Haghighi Mood, K. Generic expansion of the Jastrow correlation factor in polynomials satisfying symmetry and cusp conditions. J. Chem. Phys. 2015, 142, 1–8. [Google Scholar] [CrossRef] [PubMed]
- Umrigar, C.J.; Nightingale, M.P.; Runge, K.J. A diffusion Monte Carlo algorithm with very small time-step errors. J. Chem. Phys. 1993, 99, 2865–2890. [Google Scholar] [CrossRef]
- Hirshfeld, F.L. Bonded-atom fragments for describing molecular charge densities. Theor. Chim. Acta 1977, 44, 129–138. [Google Scholar] [CrossRef]
- Bader, R. Atoms in Molecules: A Quantum Theory; International Series of Monographs on Chemistry; Clarendon Press: Oxford, UK, 1994. [Google Scholar]
- Frisch, M.J.; Trucks, G.W.; Schlegel, H.B.; Scuseria, G.E.; Robb, M.A.; Cheeseman, J.R.; Scalmani, G.; Barone, V.; Mennucci, B.; Petersson, G.A.; et al. Gaussian 09 Revision E.01; Gaussian Inc.: Wallingford, CT, USA, 2009. [Google Scholar]
- Keith, T.A.; Gristmill, T. AIMAll (Version 19.10.12); TK Gristmill Software: Overland Park, KS, USA, 2019. [Google Scholar]
- Kendall, R.A.; Dunning, T.H.; Harrison, R.J. Electron affinities of the first-row atoms revisited. Systematic basis sets and wave functions. J. Chem. Phys. 1992, 96, 6796–6806. [Google Scholar] [CrossRef] [Green Version]
- Boys, S.; Bernardi, F. The calculation of small molecular interactions by the differences of separate total energies. Some procedures with reduced errors. Mol. Phys. 1970, 19, 553–566. [Google Scholar] [CrossRef]
- Parrish, R.M.; Burns, L.A.; Smith, D.G.A.; Simmonett, A.C.; DePrince, A.E.; Hohenstein, E.G.; Bozkaya, U.; Sokolov, A.Y.; Remigio, R.D.; Richard, R.M.; et al. Psi4 1.1: An Open-Source Electronic Structure Program Emphasizing Automation, Advanced Libraries, and Interoperability. J. Chem. Theory Comput. 2017, 13, 3185–3197. [Google Scholar] [CrossRef] [PubMed]
- Schlegel, H.B. Estimating the hessian for gradient-type geometry optimizations. Theor. Chem. Acc. 1984, 66, 333–340. [Google Scholar] [CrossRef]
- Perdew, J.P.; Burke, K.; Ernzerhof, M. Generalized Gradient Approximation Made Simple. Phys. Rev. Lett. 1996, 77, 3865, Erratum in 1997, 78, 1396. [Google Scholar] [CrossRef] [PubMed] [Green Version]
- Troullier, N.; Martins, J.L. Efficient pseudopotentials for plane-wave calculations. Phys. Rev. B 1991, 43, 1993–2006. [Google Scholar] [CrossRef] [PubMed]
- Kittel, C. Introduction To Solid State Physics, 8th ed.; Wiley and Sons: Hoboken, NJ, USA, 2019. [Google Scholar]
- CPMD 3.17.1, Copyright IBM Corp. (1990–2004) Copyright MPI für Festkoerperforschung Stuttgart (1997–2001). Available online: https://www.cpmd.org (accessed on 12 May 2021).
- Nosé, S. A unified formulation of the constant temperature molecular dynamics methods. J. Chem. Phys. 1984, 81, 511–519. [Google Scholar] [CrossRef] [Green Version]
- Hoover, W.G. Canonical dynamics: Equilibrium phase-space distributions. Phys. Rev. A 1985, 31, 1695–1697. [Google Scholar] [CrossRef] [PubMed] [Green Version]
- Humphrey, W.; Dalke, A.; Schulten, K. VMD—Visual Molecular Dynamics. J. Mol. Graph. 1996, 14, 33–38. [Google Scholar] [CrossRef]
- Williams, T.; Kelley, C. Gnuplot 4.4: An Interactive Plotting Program. 2010. Available online: http://gnuplot.sourceforge.net/ (accessed on 12 May 2021).
- Mercury—Crystal Structure Visualisation. Available online: http://www.ccdc.cam.ac.uk/Solutions/CSDSystem/Pages/Mercury.aspx (accessed on 12 May 2021).










| Method | Thermodynamical Properties | Min_1 | TS | Min_2 |
|---|---|---|---|---|
| CAM-B3LYP | E [kJ/mol] | 0.0 | 29.9 | 25.3 |
| APFD | 0.0 | 22.1 | 18.9 | |
| M08-HX | 0.0 | 40.1 | 31.2 | |
| HSE03 | 0.0 | 22.7 | 19.3 | |
| TPSSh | 0.0 | 19.1 | 15.7 | |
| N12-SX | 0.0 | 23.1 | 20.2 | |
| MP2 | 0.0 | 28.2 | 21.3 | |
| CAM-B3LYP | H [kJ/mol] | 0.0 | 28.7 | 25.0 |
| APFD | 0.0 | 20.8 | 18.5 | |
| M08-HX | 0.0 | 38.7 | 31.0 | |
| HSE03 | 0.0 | 21.5 | 19.1 | |
| TPSSh | 0.0 | 18.0 | 15.4 | |
| N12-SX | 0.0 | 21.9 | 20.0 | |
| MP2 | 0.0 | 26.7 | 20.8 | |
| CAM-B3LYP | G [kJ/mol] | 0.0 | 31.2 | 25.7 |
| APFD | 0.0 | 23.3 | 19.4 | |
| M08-HX | 0.0 | 41.5 | 31.7 | |
| HSE03 | 0.0 | 23.9 | 19.7 | |
| TPSSh | 0.0 | 20.2 | 16.0 | |
| N12-SX | 0.0 | 24.4 | 20.5 | |
| MP2 | 0.0 | 29.8 | 22.1 |
| Both H on the Same Side | E(Min) [a.u.] | E(SSP) [a.u.] | Barrier [kJ/mol] |
|---|---|---|---|
| B3LYP/TZPAE//MP2/aug-cc-pVTZ | −685.84031 | −685.82645 | 36.39 |
| DQMC//MP2/aug-cc-pVTZ | −685.44024 | −685.41729 | 60.26 ± 1.14 |
| B3LYP/cc-pVTZ//B3LYP/cc-pVTZ | −685.83187 | −685.81670 | 39.82 |
| B3LYP/CBS//B3LYP/cc-pVTZ | −685.91317 | −685.89766 | 40.73 |
| B3LYP/aug-cc-pVTZ//B3LYP/cc-pVTZ | −685.84182 | −685.82685 | 39.31 |
| MP2/cc-pVTZ//MP2/cc-pVTZ | −684.34634 | −684.33145 | 39.08 |
| MP2/CBS//MP2/cc-pVTZ | −684.69520 | −684.68112 | 36.97 |
| MP2/aug-cc-pVTZ//MP2/cc-pVTZ | −684.39847 | −684.38402 | 37.95 |
| CCSD/cc-pVTZ//B3LYP/aug-cc-pVTZ | −684.34813 | −684.32221 | 68.04 |
| CCSD/cc-pVTZ//MP2/aug-cc-pVTZ | −684.34723 | −684.32092 | 69.07 |
| CCSD(T)/cc-pVTZ//B3LYP/aug-cc-pVTZ | −684.48156 | −684.46246 | 50.15 |
| CCSD(T)/cc-pVTZ//MP2/aug-cc-pVTZ | −684.48149 | −684.46208 | 50.97 |
| H atoms on opposite sides | E(Min) [a.u.] | E(SSP) [a.u.] | Barrier [kJ/mol] |
| B3LYP/cc-pVTZ//B3LYP/cc-pVTZ | −685.82419 | −685.81670 | 19.65 |
| Dimer Type: | (a) Stacking | (b) Hydrogen Bond | (c) Hydrogen Bond | (d) Multipole |
|---|---|---|---|---|
| Neutron diffraction structures | ||||
| Electrostatics | −8.486 | −4.195 | −5.375 | −2.440 |
| Exchange | 19.731 | 6.567 | 7.164 | 4.661 |
| Induction | −3.071 | −1.076 | −1.285 | −0.917 |
| Ind. | −2.010 | −0.404 | −0.436 | −0.371 |
| Dispersion | −24.054 | −4.369 | −4.426 | −3.628 |
| SAPT0 | −16.270 | −3.814 | −4.769 | −3.055 |
| SAPT2 | −15.880 | −3.074 | −3.922 | −2.324 |
| DFT structures | ||||
| Electrostatics | −2.752 | −4.682 | −4.780 | −2.110 |
| Exchange | 4.724 | 5.806 | 6.015 | 2.385 |
| Induction | −0.632 | −1.064 | −1.081 | −0.522 |
| Ind. | −0.298 | −0.373 | −0.351 | −0.169 |
| Dispersion | −12.033 | −4.043 | −4.047 | −2.587 |
| SAPT0 | −11.484 | −4.877 | −4.668 | −3.571 |
| SAPT2 | −10.693 | −3.983 | −3.893 | −2.833 |
Publisher’s Note: MDPI stays neutral with regard to jurisdictional claims in published maps and institutional affiliations. |
© 2021 by the authors. Licensee MDPI, Basel, Switzerland. This article is an open access article distributed under the terms and conditions of the Creative Commons Attribution (CC BY) license (https://creativecommons.org/licenses/by/4.0/).
Share and Cite
Jezierska, A.; Błaziak, K.; Klahm, S.; Lüchow, A.; Panek, J.J. Non-Covalent Forces in Naphthazarin—Cooperativity or Competition in the Light of Theoretical Approaches. Int. J. Mol. Sci. 2021, 22, 8033. https://doi.org/10.3390/ijms22158033
Jezierska A, Błaziak K, Klahm S, Lüchow A, Panek JJ. Non-Covalent Forces in Naphthazarin—Cooperativity or Competition in the Light of Theoretical Approaches. International Journal of Molecular Sciences. 2021; 22(15):8033. https://doi.org/10.3390/ijms22158033
Chicago/Turabian StyleJezierska, Aneta, Kacper Błaziak, Sebastian Klahm, Arne Lüchow, and Jarosław J. Panek. 2021. "Non-Covalent Forces in Naphthazarin—Cooperativity or Competition in the Light of Theoretical Approaches" International Journal of Molecular Sciences 22, no. 15: 8033. https://doi.org/10.3390/ijms22158033
APA StyleJezierska, A., Błaziak, K., Klahm, S., Lüchow, A., & Panek, J. J. (2021). Non-Covalent Forces in Naphthazarin—Cooperativity or Competition in the Light of Theoretical Approaches. International Journal of Molecular Sciences, 22(15), 8033. https://doi.org/10.3390/ijms22158033

