Indirect Photodegradation of Sulfamethoxazole and Trimethoprim by Hydroxyl Radicals in Aquatic Environment: Mechanisms, Transformation Products and Eco-Toxicity Evaluation
Abstract
1. Introduction
2. Results and Discussion
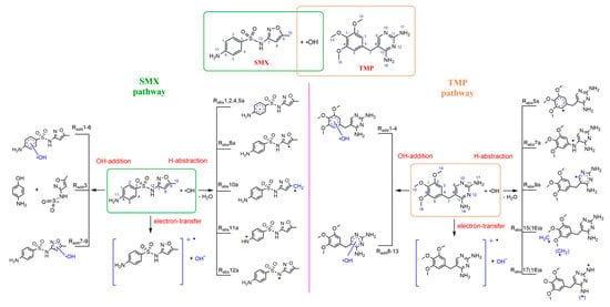
2.1. Transformation Mechanisms of SMX and TMP with •OH
2.1.1. •OH-Initiated Reaction of SMX
2.1.2. •OH-Initiated Reaction of TMP
2.2. Kinetic Calculation
2.3. Subsequent Transformation Reaction of SMX and TMP
2.4. Eco-Toxocity Evaluation
3. Materials and Method
3.1. Mechanism Calculation
3.2. Kinetics Computation
3.3. Ecotoxicity Evaluation
4. Conclusions
Supplementary Materials
Author Contributions
Funding
Conflicts of Interest
References
- Carballa, M.; Omil, F.; Lema, J.M.; Llompart, M.; García-Jares, C.; Rodríguez, I.; Gómez, M.; Ternes, T. Behavior of pharmaceuticals, cosmetics and hormones in a sewage treatment plant. Water Res. 2004, 38, 2918–2926. [Google Scholar] [CrossRef] [PubMed]
- Liu, J.-L.; Wong, M.-H. Pharmaceuticals and personal care products (PPCPs): A review on environmental contamination in China. Environ. Int. 2013, 59, 208–224. [Google Scholar] [CrossRef] [PubMed]
- Radjenović, J.; Petrović, M.; Ventura, F.; Barceló, D. Rejection of pharmaceuticals in nanofiltration and reverse osmosis membrane drinking water treatment. Water Res. 2008, 42, 3601–3610. [Google Scholar] [CrossRef] [PubMed]
- Zhang, X.-X.; Zhang, T.; Fang, H.H.P. Antibiotic resistance genes in water environment. Appl. Microbiol. Biotechnol. 2009, 82, 397–414. [Google Scholar] [CrossRef] [PubMed]
- Boyd, G.R.; Palmeri, J.M.; Zhang, S.; Grimm, D.A. Pharmaceuticals and personal care products (PPCPs) and endocrine disrupting chemicals (EDCs) in stormwater canals and Bayou St. John in New Orleans, Louisiana, USA. Sci. Total Environ. 2004, 333, 137–148. [Google Scholar] [CrossRef] [PubMed]
- Brogden, R.N.; Carmine, A.A.; Heel, R.C.; Speight, T.M.; Avery, G.S. Trimethoprim: A Review of its Antibacterial Activity, Pharmacokinetics and Therapeutic Use in Urinary Tract Infections. Drugs 1982, 23, 405–430. [Google Scholar] [CrossRef]
- Andrewes, D.A.; Chuter, P.J.; Dawson, M.J.; Eden, B.W.; Moore, R.M.A.; Freestone, D.S.; Morris, C.A. Trimethoprim and co-trimoxazole in the treatment of acute urinary tract infections: Patient compliance and efficacy. J. R. Coll. Gen. Pract. 1981, 31, 274. [Google Scholar]
- Murray, B.E.; Rensimer, E.R.; DuPont, H.L. Emergence of High-Level Trimethoprim Resistance in Fecal Escherichia coli during Oral Administration of Trimethoprim or Trimethoprim-Sulfamethoxazole. N. Engl. J. Med. 1982, 306, 130–135. [Google Scholar] [CrossRef]
- Raz, R.; Chazan, B.; Kennes, Y.; Colodner, R.; Rottensterich, E.; Dan, M.; Lavi, I.; Stamm, W.; Israeli Urinary Tract Infection Group. Empiric Use of Trimethoprim-Sulfamethoxazole (TMP-SMX) in the Treatment of Women with Uncomplicated Urinary Tract Infections, in a Geographical Area with a High Prevalence of TMP-SMX–Resistant Uropathogens. Clin. Infect. Dis. 2002, 34, 1165–1169. [Google Scholar]
- Boreen, A.L.; Arnold, W.A.; McNeill, K. Photodegradation of pharmaceuticals in the aquatic environment: A review. Aquat. Sci. 2003, 65, 320–341. [Google Scholar] [CrossRef]
- Abellán, M.N.; Giménez, J.; Esplugas, S. Photocatalytic degradation of antibiotics: The case of sulfamethoxazole and trimethoprim. Catal. Today 2009, 144, 131–136. [Google Scholar] [CrossRef]
- Martínez-Costa, J.I.; Rivera-Utrilla, J.; Leyva-Ramos, R.; Sánchez-Polo, M.; Velo-Gala, I. Individual and simultaneous degradation of antibiotics sulfamethoxazole and trimethoprim by UV and solar radiation in aqueous solution using bentonite and vermiculite as photocatalysts. Appl. Clay Sci. 2018, 160, 217–225. [Google Scholar] [CrossRef]
- Alharbi, S.K.; Kang, J.; Nghiem, L.D.; van de Merwe, J.P.; Leusch, F.D.L.; Price, W.E. Photolysis and UV/H2O2 of diclofenac, sulfamethoxazole, carbamazepine, and trimethoprim: Identification of their major degradation products by ESI–LC–MS and assessment of the toxicity of reaction mixtures. Process Saf. Environ. Protect. 2017, 112, 222–234. [Google Scholar] [CrossRef]
- Joss, A.; Zabczynski, S.; Göbel, A.; Hoffmann, B.; Löffler, D.; McArdell, C.S.; Ternes, T.A.; Thomsen, A.; Siegrist, H. Biological degradation of pharmaceuticals in municipal wastewater treatment: Proposing a classification scheme. Water Res. 2006, 40, 1686–1696. [Google Scholar] [CrossRef] [PubMed]
- Kolpin, D.W.; Furlong, E.T.; Meyer, M.T.; Thurman, E.M.; Zaugg, S.D.; Barber, L.B.; Buxton, H.T. Pharmaceuticals, Hormones, and Other Organic Wastewater Contaminants in U.S. Streams, 1999−2000: A National Reconnaissance. Environ. Sci. Technol. 2002, 36, 1202–1211. [Google Scholar] [PubMed]
- Al Aukidy, M.; Verlicchi, P.; Jelic, A.; Petrovic, M.; Barcelò, D. Monitoring release of pharmaceutical compounds: Occurrence and environmental risk assessment of two WWTP effluents and their receiving bodies in the Po Valley, Italy. Sci. Total Environ. 2012, 438, 15–25. [Google Scholar] [CrossRef]
- Mahdi Ahmed, M.; Barbati, S.; Doumenq, P.; Chiron, S. Sulfate radical anion oxidation of diclofenac and sulfamethoxazole for water decontamination. Chem. Eng. J. 2012, 197, 440–447. [Google Scholar] [CrossRef]
- Boreen, A.L.; Arnold, W.A.; McNeill, K. Photochemical Fate of Sulfa Drugs in the Aquatic Environment: Sulfa Drugs Containing Five-Membered Heterocyclic Groups. Environ. Sci. Technol. 2004, 38, 3933–3940. [Google Scholar] [CrossRef]
- Le-Minh, N.; Khan, S.J.; Drewes, J.E.; Stuetz, R.M. Fate of antibiotics during municipal water recycling treatment processes. Water Res. 2010, 44, 4295–4323. [Google Scholar] [CrossRef]
- Murata, A.; Takada, H.; Mutoh, K.; Hosoda, H.; Harada, A.; Nakada, N. Nationwide monitoring of selected antibiotics: Distribution and sources of sulfonamides, trimethoprim, and macrolides in Japanese rivers. Sci. Total Environ. 2011, 409, 5305–5312. [Google Scholar] [CrossRef]
- Watkinson, A.J.; Murby, E.J.; Kolpin, D.W.; Costanzo, S.D. The occurrence of antibiotics in an urban watershed: From wastewater to drinking water. Sci. Total Environ. 2009, 407, 2711–2723. [Google Scholar] [CrossRef] [PubMed]
- Li, B.; Zhang, T. Mass flows and removal of antibiotics in two municipal wastewater treatment plants. Chemosphere 2011, 83, 1284–1289. [Google Scholar] [CrossRef]
- Yang, X.; Flowers, R.C.; Weinberg, H.S.; Singer, P.C. Occurrence and removal of pharmaceuticals and personal care products (PPCPs) in an advanced wastewater reclamation plant. Water Res. 2011, 45, 5218–5228. [Google Scholar] [CrossRef]
- Andreozzi, R.; Caprio, V.; Ciniglia, C.; de Champdoré, M.; Lo Giudice, R.; Marotta, R.; Zuccato, E. Antibiotics in the Environment: Occurrence in Italian STPs, Fate, and Preliminary Assessment on Algal Toxicity of Amoxicillin. Environ. Sci. Technol. 2004, 38, 6832–6838. [Google Scholar] [CrossRef] [PubMed]
- Brenner, C.G.B.; Mallmann, C.A.; Arsand, D.R.; Mayer, F.M.; Martins, A.F. Determination of Sulfamethoxazole and Trimethoprim and Their Metabolites in Hospital Effluent. Clean Soil Air Water 2011, 39, 28–34. [Google Scholar] [CrossRef]
- Eichhorn, P.; Ferguson, P.L.; Pérez, S.; Aga, D.S. Application of Ion Trap-MS with H/D Exchange and QqTOF-MS in the Identification of Microbial Degradates of Trimethoprim in Nitrifying Activated Sludge. Anal. Chem. 2005, 77, 4176–4184. [Google Scholar] [CrossRef]
- Yi, T.; Barr, W.; Harper, W.F., Jr. Electron density-based transformation of trimethoprim during biological wastewater treatment. Water Sci. Technol. 2012, 65, 689–696. [Google Scholar] [CrossRef]
- Göbel, A.; Thomsen, A.; McArdell, C.S.; Joss, A.; Giger, W. Occurrence and Sorption Behavior of Sulfonamides, Macrolides, and Trimethoprim in Activated Sludge Treatment. Environ. Sci. Technol. 2005, 39, 3981–3989. [Google Scholar] [CrossRef]
- Lindberg, R.H.; Olofsson, U.; Rendahl, P.; Johansson, M.I.; Tysklind, M.; Andersson, B.A.V. Behavior of Fluoroquinolones and Trimethoprim during Mechanical, Chemical, and Active Sludge Treatment of Sewage Water and Digestion of Sludge. Environ. Sci. Technol. 2006, 40, 1042–1048. [Google Scholar] [CrossRef]
- Batt, A.L.; Kim, S.; Aga, D.S. Enhanced Biodegradation of Iopromide and Trimethoprim in Nitrifying Activated Sludge. Environ. Sci. Technol. 2006, 40, 7367–7373. [Google Scholar] [CrossRef]
- Bonvin, F.; Omlin, J.; Rutler, R.; Schweizer, W.B.; Alaimo, P.J.; Strathmann, T.J.; McNeill, K.; Kohn, T. Direct Photolysis of Human Metabolites of the Antibiotic Sulfamethoxazole: Evidence for Abiotic Back-Transformation. Environ. Sci. Technol. 2013, 47, 6746–6755. [Google Scholar] [CrossRef] [PubMed]
- Buxton, G.V.; Greenstock, C.L.; Helman, W.P.; Ross, A.B. Critical Review of rate constants for reactions of hydrated electrons, hydrogen atoms and hydroxyl radicals (OH/O) in Aqueous Solution. J. Phys. Chem. Ref. Data 1988, 17, 513–886. [Google Scholar] [CrossRef]
- Baeza, C.; Knappe, D.R.U. Transformation kinetics of biochemically active compounds in low-pressure UV Photolysis and UV/H2O2 advanced oxidation processes. Water Res. 2011, 45, 4531–4543. [Google Scholar] [CrossRef] [PubMed]
- Wols, B.A.; Hofman-Caris, C.H.M. Review of photochemical reaction constants of organic micropollutants required for UV advanced oxidation processes in water. Water Res. 2012, 46, 2815–2827. [Google Scholar] [CrossRef] [PubMed]
- Yang, Y.; Lu, X.; Jiang, J.; Ma, J.; Liu, G.; Cao, Y.; Liu, W.; Li, J.; Pang, S.; Kong, X.; et al. Degradation of sulfamethoxazole by UV, UV/H2O2 and UV/persulfate (PDS): Formation of oxidation products and effect of bicarbonate. Water Res. 2017, 118, 196–207. [Google Scholar] [CrossRef]
- Zhang, R.; Sun, P.; Boyer, T.H.; Zhao, L.; Huang, C.-H. Degradation of Pharmaceuticals and Metabolite in Synthetic Human Urine by UV, UV/H2O2, and UV/PDS. Environ. Sci. Technol. 2015, 49, 3056–3066. [Google Scholar] [CrossRef]
- Luo, X.; Zheng, Z.; Greaves, J.; Cooper, W.J.; Song, W. Trimethoprim: Kinetic and mechanistic considerations in photochemical environmental fate and AOP treatment. Water Res. 2012, 46, 1327–1336. [Google Scholar] [CrossRef]
- Solar, S.; Solar, W.; Getoff, N. Resolved multisite OH-attack on aqueous aniline studied by pulse radiolysis. Int. J. Radiat. Appl. Instrum. Part C Radiat. Phys. Chem. 1986, 28, 229–234. [Google Scholar] [CrossRef]
- Jewell, K.S.; Castronovo, S.; Wick, A.; Falås, P.; Joss, A.; Ternes, T.A. New insights into the transformation of trimethoprim during biological wastewater treatment. Water Res. 2016, 88, 550–557. [Google Scholar] [CrossRef]
- Kim, Y.; Choi, K.; Jung, J.; Park, S.; Kim, P.-G.; Park, J. Aquatic toxicity of acetaminophen, carbamazepine, cimetidine, diltiazem and six major sulfonamides, and their potential ecological risks in Korea. Environ. Int. 2007, 33, 370–375. [Google Scholar] [CrossRef]
- Halling-Sørensen, B.; Lützhøft, H.C.H.; Andersen, H.R.; Ingerslev, F. Environmental risk assessment of antibiotics: Comparison of mecillinam, trimethoprim and ciprofloxacin. J. Antimicrob. Chemother. 2000, 46, 53–58. [Google Scholar] [CrossRef] [PubMed]
- Frisch, M.; Trucks, G.; Schlegel, H.; Scuseria, G.; Robb, M.; Cheeseman, J.; Scalmani, G.; Barone, V.; Mennucci, B.; Petersson, G. Gaussian 09; Gaussian, Inc.: Wallingford, CT, USA, 2009; Volume 32, pp. 5648–5652. [Google Scholar]
- Walker, M.; Harvey, A.J.A.; Sen, A.; Dessent, C.E.H. Performance of M06, M06-2X, and M06-HF Density Functionals for Conformationally Flexible Anionic Clusters: M06 Functionals Perform Better than B3LYP for a Model System with Dispersion and Ionic Hydrogen-Bonding Interactions. J. Phys. Chem. A 2013, 117, 12590–12600. [Google Scholar] [CrossRef]
- Zhao, Y.; Truhlar, D.G. The M06 suite of density functionals for main group thermochemistry, thermochemical kinetics, noncovalent interactions, excited states, and transition elements: Two new functionals and systematic testing of four M06-class functionals and 12 other functionals. Theor. Chem. Acc. 2008, 120, 215–241. [Google Scholar]
- Gao, Y.; Li, G.; Qin, Y.; Ji, Y.; Mai, B.; An, T. New theoretical insight into indirect photochemical transformation of fragrance nitro-musks: Mechanisms, eco-toxicity and health effects. Environ. Int. 2019, 129, 68–75. [Google Scholar] [CrossRef]
- Satheeshkumar, R.; Shankar, R.; Kaminsky, W.; Kalaiselvi, S.; Padma, V.V.; Prasad, K.J.R. Theoretical and experimental investigations on molecular structure of 7-Chloro-9-phenyl-2, 3-dihydroacridin-4(1H)-one with cytotoxic studies. J. Mol. Struct. 2016, 1109, 247–257. [Google Scholar] [CrossRef]
- Liu, W.; Lv, G.; Sun, X.; He, L.; Zhang, C.; Li, Z. Theoretical study on the reaction of anthracene with sulfate radical and hydroxyl radical in aqueous solution. Ecotox. Environ. Saf. 2019, 183, 109551. [Google Scholar] [CrossRef]
- Wang, L.; Tang, A. Oxidation mechanisms of dimethyl selenide and selenoxide in the atmosphere initiated by OH radical. A theoretical study. Chem. Phys. 2011, 382, 98–103. [Google Scholar] [CrossRef]
- Maeda, S.; Harabuchi, Y.; Ono, Y.; Taketsugu, T.; Morokuma, K. Intrinsic reaction coordinate: Calculation, bifurcation, and automated search. Int. J. Quantum Chem. 2015, 115, 258–269. [Google Scholar] [CrossRef]
- Zheng, S.; Geva, E.; Dunietz, B.D. Solvated Charge Transfer States of Functionalized Anthracene and Tetracyanoethylene Dimers: A Computational Study Based on a Range Separated Hybrid Functional and Charge Constrained Self-Consistent Field with Switching Gaussian Polarized Continuum Models. J. Chem. Theory Comput. 2013, 9, 1125–1131. [Google Scholar] [CrossRef]
- Fudickar, W.; Linker, T. Theoretical insights into the effect of solvents on the [4 + 2] cycloaddition of singlet oxygen to substituted anthracenes: A change from a stepwise process to a concerted process. J Phys. Org. Chem. 2019, 32, e3951. [Google Scholar] [CrossRef]
- Mennucci, B.; Tomasi, J.; Cammi, R.; Cheeseman, J.R.; Frisch, M.J.; Devlin, F.J.; Gabriel, S.; Stephens, P.J. Polarizable Continuum Model (PCM) Calculations of Solvent Effects on Optical Rotations of Chiral Molecules. J. Phys. Chem. A 2002, 106, 6102–6113. [Google Scholar] [CrossRef]
- Tomasi, J.; Cammi, R.; Mennucci, B. Medium effects on the properties of chemical systems: An overview of recent formulations in the polarizable continuum model (PCM). Int. J. Quantum Chem. 1999, 75, 783–803. [Google Scholar] [CrossRef]
- Mayer, J.M. Understanding Hydrogen Atom Transfer: From Bond Strengths to Marcus Theory. Acc. Chem. Res. 2011, 44, 36–46. [Google Scholar] [CrossRef] [PubMed]
- Vanden-Eijnden, E.; Tal, F.A. Transition state theory: Variational formulation, dynamical corrections, and error estimates. J. Chem. Phys. 2005, 123, 184103. [Google Scholar] [CrossRef] [PubMed]
- Sheppard, D.; Terrell, R.; Henkelman, G. Optimization methods for finding minimum energy paths. J. Chem. Phys. 2008, 128, 134106. [Google Scholar] [CrossRef]
- Georgievskii, Y.; Klippenstein, S.J. Transition State Theory for Multichannel Addition Reactions: Multifaceted Dividing Surfaces. J. Phys. Chem. A 2003, 107, 9776–9781. [Google Scholar] [CrossRef]
- Canneaux, S.; Bohr, F.; Henon, E. KiSThelP: A program to predict thermodynamic properties and rate constants from quantum chemistry results. J. Comput. Chem. 2014, 35, 82–93. [Google Scholar] [CrossRef]
- Takata, M.; Lin, B.-L.; Xue, M.; Zushi, Y.; Terada, A.; Hosomi, M. Predicting the acute ecotoxicity of chemical substances by machine learning using graph theory. Chemosphere 2020, 238, 124604. [Google Scholar] [CrossRef]
- Claeys, L.; Iaccino, F.; Janssen, C.R.; Van Sprang, P.; Verdonck, F. Development and validation of a quantitative structure–activity relationship for chronic narcosis to fish. Environ. Toxicol. Chem. 2013, 32, 2217–2225. [Google Scholar] [CrossRef]
- Comber, M.H.I.; Walker, J.D.; Watts, C.; Hermens, J. Quantitative structure-activity relationships for predicting potential ecological hazard of organic chemicals for use in regulatory risk assessments. Environ. Toxicol. Chem. 2003, 22, 1822–1828. [Google Scholar] [CrossRef] [PubMed]







| T(K) | SMX | Experiment | TMP | Experiment |
|---|---|---|---|---|
| 273 | 1.58 × 108 | (5.8 ± 0.2) × 109 | 9.72 × 108 | 8.66 × 109 |
| 288 | 1.39 × 108 | 7.35 × 108 | ||
| 298 | 1.28 × 108 | 6.21 × 108 | ||
| 313 | 1.15 × 108 | 4.94 × 108 | ||
| 328 | 1.05 × 108 | 4.03 × 108 |
© 2020 by the authors. Licensee MDPI, Basel, Switzerland. This article is an open access article distributed under the terms and conditions of the Creative Commons Attribution (CC BY) license (http://creativecommons.org/licenses/by/4.0/).
Share and Cite
Yang, J.; Lv, G.; Zhang, C.; Wang, Z.; Sun, X. Indirect Photodegradation of Sulfamethoxazole and Trimethoprim by Hydroxyl Radicals in Aquatic Environment: Mechanisms, Transformation Products and Eco-Toxicity Evaluation. Int. J. Mol. Sci. 2020, 21, 6276. https://doi.org/10.3390/ijms21176276
Yang J, Lv G, Zhang C, Wang Z, Sun X. Indirect Photodegradation of Sulfamethoxazole and Trimethoprim by Hydroxyl Radicals in Aquatic Environment: Mechanisms, Transformation Products and Eco-Toxicity Evaluation. International Journal of Molecular Sciences. 2020; 21(17):6276. https://doi.org/10.3390/ijms21176276
Chicago/Turabian StyleYang, Jiaoxue, Guochun Lv, Chenxi Zhang, Zehua Wang, and Xiaomin Sun. 2020. "Indirect Photodegradation of Sulfamethoxazole and Trimethoprim by Hydroxyl Radicals in Aquatic Environment: Mechanisms, Transformation Products and Eco-Toxicity Evaluation" International Journal of Molecular Sciences 21, no. 17: 6276. https://doi.org/10.3390/ijms21176276
APA StyleYang, J., Lv, G., Zhang, C., Wang, Z., & Sun, X. (2020). Indirect Photodegradation of Sulfamethoxazole and Trimethoprim by Hydroxyl Radicals in Aquatic Environment: Mechanisms, Transformation Products and Eco-Toxicity Evaluation. International Journal of Molecular Sciences, 21(17), 6276. https://doi.org/10.3390/ijms21176276
