Molecular Identification of Endophytic Fungi and Their Pathogenicity Evaluation Against Dendrobium nobile and Dendrobium officinale
Abstract
:1. Introduction
2. Results
2.1. Isolation and Molecular Identification of Endophytic Fungi
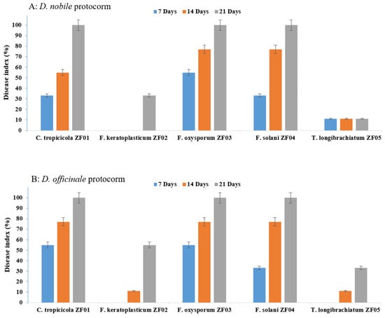
2.2. Evaluation of Protocorm and Seedling Pathogenicity
2.3. Re-Isolation of Endophytic Fungi from Co-Culturing Seedling Tissues
2.4. Histological Examination of the Least Pathogenic Fungal Endophyte Seedling Samples
3. Discussion
4. Materials and Methods
4.1. Isolation of Endophytic Fungal Strains
4.2. Morphological and Molecular Identification of Plant Endophytic Fungi
4.3. Electrophoresis of PCR Products
4.4. Sequence Analysis of PCR Products
4.5. Collected Samples (Protocorm and Seedling) and Sample Processing
4.6. In Vitro Inoculation for Seedling Pathogenicity Assay
4.7. Re-Isolation and Identification of Endophytic Fungi from Seedlings
4.8. Histological Examination of Least Pathogenic Fungal Endophyte Samples
4.9. Statistical Analysis
5. Conclusions
Supplementary Materials
Author Contributions
Acknowledgments
Conflicts of Interest
Abbreviations
| DME | Dendrobium myco-endophytes |
| PDA | Potato dextrose agar |
| DNA | Deoxyribose nucleic acid |
| PCR | Polymerase chain reaction |
| ITS | Internal transcribed spacer |
| NCBI | National centre for biological information |
| BLAST | Basic local alignment search tool |
| UV | Ultra Violet |
| HgCl2 | Mercury chloride |
References
- Huang, H.; Zi, X.M.; Lin, H.; Gao, J.Y. Host-specificity of symbiotic mycorrhizal fungi for enhancing seed germination, protocorm formation and seedling development of over-collected medicinal orchid, Dendrobium devonianum. J. Microbiol. 2018, 56, 42. [Google Scholar] [CrossRef]
- Zhang, B.; Sarsaiya, S.; Pan, X.; Jin, L.; Xu, D.; Zhang, B.; Duns, G.J.; Shi, J.; Chen, J. Optimization of nutritional conditions using a temporary immersion bioreactor system for the growth of Bletilla striata pseudobulbs and accumulation of polysaccharides. Sci. Hortic. 2018, 240, 155–161. [Google Scholar] [CrossRef]
- Khamchatra, N.M.; Dixon, K.; Chayamarit, K.; Apisitwanich, S.; Tantiwiwat, S. Using in situ seed baiting technique to isolate and identify endophytic and mycorrhizal fungi from seeds of a threatened epiphytic orchid, Dendrobium friedericksianum Rchb.f. (Orchidaceae). Agric. Nat. Resour. 2016, 50, 8–13. [Google Scholar] [CrossRef] [Green Version]
- Srivastava, S.; Kadooka, C.; Uchida, J.Y. Fusarium species as pathogen on orchids. Microbiol. Res. 2018, 207, 188–195. [Google Scholar] [CrossRef]
- Hew, C.S.; Yong, J.W.H. Physiology of Tropical Orchids in Relation to the Industry, 2nd ed.; World Scientific Publishing Co. Pte. Ltd.: Toh Tuck Link, Singapore, 1997. [Google Scholar]
- Zhang, Y.; Zhang, L.; Liu, J.; Liang, J.; Si, J.; Wu, S. Dendrobium officinale leaves as a new antioxidant source. J. Funct. Foods 2017, 37, 400–415. [Google Scholar] [CrossRef]
- Sarsaiya, S.; Shi, J.; Chen, J. Bioengineering tools for the production of pharmaceuticals: Current perspective and future outlook. Bioengineered 2019, 10, 469–492. [Google Scholar] [CrossRef] [Green Version]
- Novotná, A.; Benítez, Á.; Herrera, P.; Cruz, D.; Filipczyková, E.; Suárez, J.P. High diversity of root-associated fungi isolated from three epiphytic orchids in southern Ecuador. Mycoscience 2018, 59, 24–32. [Google Scholar] [CrossRef]
- Deng, Z.; Cao, L. Fungal endophytes and their interactions with plants in phytoremediation: A review. Chemosphere 2017, 168, 1100–1106. [Google Scholar] [CrossRef] [PubMed]
- Kusari, S.; Singh, S.; Jayabaskaran, C. Biotechnological potential of plant-associated endophytic fungi: Hope versus hype. Trends Biotechnol. 2014, 32, 297–303. [Google Scholar] [CrossRef] [PubMed]
- Mala, B.; Kuegkong, K.; Sa-ngiaemsri, N.; Nontachaiyapoom, S. Effect of germination media on in vitro symbiotic seed germination of three Dendrobium orchids. S. Afr. J. Bot. 2017, 112, 521–526. [Google Scholar] [CrossRef]
- Zhao, P.; Wu, F.; Feng, F.S.; Wang, W.J. Protocorm-like body (PLB) formation and plant regeneration from the callus culture of Dendrobium candidum Wall ex Lindl. In Vitr. Cell. Dev. Biol. Plant. 2008, 44, 178. [Google Scholar] [CrossRef]
- Sarsaiya, S.; Shi, J.; Chen, J. A comprehensive review on fungal endophytes and its dynamics on Orchidaceae plants: Current research, challenges, and future possibilities. Bioengineered 2019, 10, 316–334. [Google Scholar] [CrossRef] [PubMed] [Green Version]
- Sarsaiya, S.; Jia, Q.; Fan, X.; Jain, A.; Shu, F.; Lu, Y.; Shi, J.; Chen, J. First report of leaf black circular spots on Dendrobium nobile caused by Trichoderma longibrachiatum in Guizhou Province, China. Plant Dis. 2019, 103, 3275. [Google Scholar] [CrossRef] [Green Version]
- Jain, A.; Sarsaiya, S.; Wu, Q.; Lu, Y.; Shi, J. A review of plant leaf fungal diseases and its environment speciation. Bioengineered 2019, 10, 409–424. [Google Scholar] [CrossRef] [Green Version]
- Yamamoto, T.; Miura, C.; Fuji, M.; Nagata, S.; Otani, Y.; Yagame, T.; Yamato, M.; Kaminaka, H. Quantitative evaluation of protocorm growth and fungal colonization in Bletilla striata (Orchidaceae) reveals less-productive symbiosis with a non-native symbiotic fungus. BMC Plant Biol. 2017, 17, 50. [Google Scholar] [CrossRef] [Green Version]
- Tan, X.M.; Wang, C.L.; Chen, X.M.; Zhou, Y.Q.; Wang, Y.Q.; Luo, A.X.; Liu, Z.H.; Guo, S.X. In vitro seed germination and seedling growth of an endangered epiphytic orchid, Dendrobium officinale, endemic to China using mycorrhizal fungi (Tulasnella sp.). Sci. Hortic. 2014, 165, 62–68. [Google Scholar] [CrossRef]
- Kusari, P.; Spiteller, M.; Kayser, O.; Kusari, S. Recent Advances in Research on Cannabis sativa L. Endophytes and Their Prospect for the Pharmaceutical Industry. In Microbial Diversity and Biotechnology in Food Security; Kharwar, R., Upadhyay, R., Dubey, N., Raghuwanshi, R., Eds.; Springer: New Delhi, India, 2014; pp. 3–16. [Google Scholar]
- Decruse, S.W.; Neethu, R.S.; Pradeep, N.S. Seed germination and seedling growth promoted by a Ceratobasidiaceae clone in Vanda thwaitesii Hook. f., an endangered orchid species endemic to South Western Ghats, India and Sri Lanka. S. Afr. J. Bot. 2018, 116, 222–229. [Google Scholar] [CrossRef]
- Meng, Y.Y.; Shao, S.C.; Liu, S.J.; Gao, J.Y. Do the fungi associated with roots of adult plants support seed germination? A case study on Dendrobium exile (Orchidaceae). Glob. Ecol. Conserv. 2019, 17, e00582. [Google Scholar] [CrossRef]
- Zi, X.M.; Sheng, C.L.; Goodale, U.M.; Shao, S.C.; Gao, J.Y. In situ seed baiting to isolate germination-enhancing fungi for an epiphytic orchid, Dendrobium aphyllum (Orchidaceae). Mycorrhiza 2014, 24, 487–499. [Google Scholar] [CrossRef]
- Athipunyakom, P.; Manoch, L.; Piluek, C. Isolation and identification of mycorrhizal fungi from eleven terrestrial orchids. Kasetsart J. Nat. Sci. 2004, 38, 216–228. [Google Scholar]
- Alurappa, R.; Chowdappa, S.; Narayanaswamy, R.; Sinniah, U.R.; Mohanty, S.K.; Swamy, M.K. Endophytic Fungi and Bioactive Metabolites Production: An Update. In Microbial Biotechnology; Patra, J., Das, G., Shin, H.S., Eds.; Springer: Singapore, 2018; pp. 455–482. [Google Scholar] [CrossRef]
- Barnett, J.L.; Hunter, B.B. Illustrated Genera of Imperfect Fungi; Burgess Publishing Company: Minneapolis, MN, USA, 1972; p. 90. [Google Scholar]
- Ellis, M.B. Demataceous Hyphomycetes; Commonwealth Mycological Institute: Kew, UK, 1976. [Google Scholar]
- Manganyi, M.C.; Regnier, T.; Kumar, A.; Bezuidenhout, C.C.; Ateba, C.N. Biodiversity and antibacterial screening of endophytic fungi isolated from Pelargonium sidoides. S. Afr. J. Bot. 2018, 116, 192–199. [Google Scholar] [CrossRef]
- Abliz, P.; Fukushima, K.; Takizawa, K.; Nieda, N.; Miyaji, M.; Nishimura, K. Rapid identification of the genus fonsecaea by PCR with specific oligonucleotide primers. J. Clin. Microbiol. 2013, 41, 873–876. [Google Scholar] [CrossRef] [PubMed] [Green Version]
- Sambrook, J.; Fritsch, E.F.; Maniatis, T. Molecular Cloning: A Laboratory Manual; Cold Spring Harbor Laboratory Press: New York, NY, USA, 1989. [Google Scholar]
- Cao, J.; Fan, X.; Sarsaiya, S.; Pan, X.; Yang, N.; Jin, L.; Zhang, B.; Shi, J.; Chen, J. Accumulative and component analysis of polysaccharide in protocorm of Dendrobium Candidum. J. Biobased Mater. Bioenergy 2018, 12, 348–355. [Google Scholar] [CrossRef]
- Hu, Y.; Zhang, B.; Jia, M.; Chen, J. Tissue Culture of Dendrobium candidum by Batch Immersion Bioreactor. China J. Agric. Sci. Technol. 2016, 18, 190–194. [Google Scholar]
- Yu, J.; Jiang, H.; Zhang, B.; Jin, L.; Xu, D.; Zhang, B.; Chen, J. Effects of two endophytic fungi from Dendrobium candidum on the growth of plantlets and protocorms. Acta Plant Pathol. 2017, 47, 541–550. [Google Scholar]
- Zhang, B.; Hu, Y.; Jin, L.; Chen, J. Comparison of tissue culture medicinal and nutrient content of Dendrobium candidum. Jiangsu Agric. Sci. 2015, 43, 324–327. [Google Scholar]
- Chiang, K.S.; Liu, H.I.; Bock, C.H. A discussion on disease severity index values. Part I: Warning on inherent errors and suggestions to maximise accuracy. Ann. Appl. Biol. 2017, 171, 139–154. [Google Scholar] [CrossRef]
- Currah, R.S.; Zelmer, C.D.; Hambleton, S.; Richardson, K.A. Fungi from Orchid Mycorrhizas. In Orchid Biology: Reviews and Perspectives; Arditti, J., Pridgeon, A., Eds.; Kluwer Academic Publisher: Dordrecht, The Netherlands, 1997; pp. 117–170. [Google Scholar]
- Sneh, B.; Burpee, L.; Ogoshi, A. Identification of Rhizoctonia Species; APS Press: St. Paul, MN, USA, 1991. [Google Scholar]
- Ding, C.H.; Wang, Q.B.; Guo, S.; Wang, Z.Y. The improvement of bioactive secondary metabolites accumulation in Rumex gmelini Turcz through co-culture with endophytic fungi. Braz. J. Microbiol. 2018, 49, 362–369. [Google Scholar] [CrossRef]








© 2020 by the authors. Licensee MDPI, Basel, Switzerland. This article is an open access article distributed under the terms and conditions of the Creative Commons Attribution (CC BY) license (http://creativecommons.org/licenses/by/4.0/).
Share and Cite
Sarsaiya, S.; Jain, A.; Jia, Q.; Fan, X.; Shu, F.; Chen, Z.; Zhou, Q.; Shi, J.; Chen, J. Molecular Identification of Endophytic Fungi and Their Pathogenicity Evaluation Against Dendrobium nobile and Dendrobium officinale. Int. J. Mol. Sci. 2020, 21, 316. https://doi.org/10.3390/ijms21010316
Sarsaiya S, Jain A, Jia Q, Fan X, Shu F, Chen Z, Zhou Q, Shi J, Chen J. Molecular Identification of Endophytic Fungi and Their Pathogenicity Evaluation Against Dendrobium nobile and Dendrobium officinale. International Journal of Molecular Sciences. 2020; 21(1):316. https://doi.org/10.3390/ijms21010316
Chicago/Turabian StyleSarsaiya, Surendra, Archana Jain, Qi Jia, Xiaokuan Fan, Fuxing Shu, Zhongwen Chen, Qinian Zhou, Jingshan Shi, and Jishuang Chen. 2020. "Molecular Identification of Endophytic Fungi and Their Pathogenicity Evaluation Against Dendrobium nobile and Dendrobium officinale" International Journal of Molecular Sciences 21, no. 1: 316. https://doi.org/10.3390/ijms21010316

