Affinity Maturation for Antibody Engineering: The Critical Role of Residues on CDR Loops of Antibodies in Antigen Binding
Abstract
1. Introduction
2. Results
3. Discussion
4. Materials and Methods
4.1. Expression and Purification of scFv
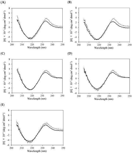
4.2. CD Experiments
4.3. ITC Experiments
4.4. DSC Experiments
Supplementary Materials
Author Contributions
Funding
Informed Consent Statement
Data Availability Statement
Acknowledgments
Conflicts of Interest
References
- Alt, F.W.; Baltimore, D. Joining of immunoglobulin heavy chain gene segments: Implications from a chromosome with evidence of three D-JH fusions. Proc. Natl. Acad. Sci. USA 1982, 79, 4118–4122. [Google Scholar] [CrossRef] [PubMed]
- Tonegawa, S. Somatic generation of antibody diversity. Nature 1983, 302, 575–581. [Google Scholar] [CrossRef] [PubMed]
- Motoyama, N.; Okada, H.; Azuma, T. Somatic mutation in constant regions of mouse l1 light chains. Proc. Natl. Acad. Sci. USA 1991, 88, 7933–7937. [Google Scholar] [CrossRef] [PubMed]
- Motoyama, N.; Miwa, T.; Suzuki, Y.; Okada, H.; Azuma, T. Comparison of somatic mutation frequency among immunoglobulin genes. J. Exp. Med. 1994, 179, 395–403. [Google Scholar] [CrossRef] [PubMed]
- Neuberger, M.S.; Milstein, C. Somatic hypermutation. Curr. Opin. Immunol. 1995, 7, 248–254. [Google Scholar] [CrossRef]
- Azuma, T. Somatic hypermutation in mouse λ chains. Immunol. Rev. 1998, 162, 97–105. [Google Scholar] [CrossRef] [PubMed]
- Vajda, S.; Porter, K.A.; Kozakov, D. Progress toward improved understanding of antibody maturation. Curr. Opin. Struct. Biol. 2021, 6, 226–231. [Google Scholar] [CrossRef] [PubMed]
- Li, J.; Kang, G.; Wang, J.; Yuan, H.; Wu, Y.; Meng, S.; Wang, P.; Zhang, M.; Wang, Y.; Feng, Y.; et al. Affinity maturation of antibody fragments: A review encompassing the development from random approaches to computational rational optimization. Int. J. Biol. Macromol. 2023, 247, 125733. [Google Scholar] [CrossRef]
- Son, A.; Park, J.; Kim, W.; Lee, W.; Yoon, Y.; Ji, J.; Kim, H. Integrating computational design and experimental approaches for next-generation biologics. Biomolecules 2024, 14, 1073. [Google Scholar] [CrossRef]
- Bothwell, A.L.M.; Paskind, M.; Reth, M.; Imanishi-Kari, T.; Rajewsky, K.; Baltimore, D. Heavy chain variable region contribution to the NPb family of antibodies: Somatic mutation evident in a γ2a variable region. Cell 1981, 24, 625–637. [Google Scholar] [CrossRef]
- Gearhart, P.J.; Johnson, N.D.; Douglas, R.; Hood, L. IgG antibodies to phosphorylcholine exhibit more diversity than their IgM counterparts. Nature 1981, 291, 29–34. [Google Scholar] [CrossRef] [PubMed]
- Kaartinnen, M.; Griffiths, G.M.; Markham, A.F.; Milstein, C. mRNA sequences define an unusually restricted IgG response to 2-phenyl oxazolone and its early diversification. Nature 1983, 304, 320–324. [Google Scholar] [CrossRef]
- French, D.L.; Laskov, R.; Scharff, M.D. The role of somatic hypermutation in the generation of antibody diversity. Science 1989, 244, 1152–1157. [Google Scholar] [CrossRef]
- Alzari, P.M.; Spinelli, S.; Mariuzza, R.A.; Boulot, G.; Poljak, R.J.; Jarvis, J.M.; Milstein, C. Three-dimensional structure determination of an anti-2-phenyloxazolone antibody: The role of somatic mutation and heavy/light chain pairing in the maturation of an immune response. EMBO J. 1990, 9, 3807–3814. [Google Scholar] [CrossRef]
- Foote, J.; Eisen, H.N. Kinetic and affinity limits on antibodies produced during immune responses. Proc. Natl. Acad. Sci. USA 1995, 92, 1254–1256. [Google Scholar] [CrossRef]
- Furukawa, K.; Akasako-Furukawa, A.; Shirai, H.; Nakamura, H.; Azuma, T. Junctional amino acids determine the maturation pathway of an antibody. Immunity 1999, 11, 329–338. [Google Scholar] [CrossRef] [PubMed]
- Oda, M.; Azuma, T. Reevaluation of stoichiometry and affinity/avidity in interactions between anti-hapten antibodies and mono- or multi-valent antigens. Mol. Immunol. 2000, 37, 1111–1122. [Google Scholar] [CrossRef]
- Sagawa, T.; Oda, M.; Ishimura, M.; Furukawa, K.; Azuma, T. Thermodynamic and kinetic aspects of antibody evolution during the immune response to hapten. Mol. Immunol. 2003, 39, 801–808. [Google Scholar] [CrossRef] [PubMed]
- Cumano, A.; Rajewsky, K. Structure of primary anti-(4-hydroxy-3-nitrophenyl)acetyl (NP) antibodies in normal and idiotypically suppressed C57BL/6 mice. Eur. J. Immunol. 1985, 15, 512–520. [Google Scholar] [CrossRef]
- Allen, D.; Simon, T.; Sablitzky, F.; Rajewsky, K.; Cumano, A. Antibody engineering for the analysis of affinity maturation of an anti-hapten response. EMBO J. 1988, 7, 1995–2001. [Google Scholar] [CrossRef]
- Taketani, M.; Naitoh, A.; Motoyama, N.; Azuma, T. Role of conserved amino acid residues in the complementarity determining regions on hapten-antibody interaction of anti-(4-hydroxy-3-nitrophenyl) acetyl antibodies. Mol. Immunol. 1995, 32, 983–990. [Google Scholar] [CrossRef] [PubMed]
- Torigoe, H.; Nakayama, T.; Imazato, M.; Shimada, I.; Arata, Y.; Sarai, A. The affinity maturation of anti-4-hydroxy-3-nitrophenylacetyl mouse monoclonal antibody. A calorimetric study of the antigen-antibody interaction. J. Biol. Chem. 1995, 270, 22218–22222. [Google Scholar] [CrossRef]
- Murakami, A.; Takahashi, Y.; Nishimura, M.; Shimizu, T.; Azuma, T. The amino acid residue at position 95 and the third CDR region in the H chain determine the ceiling affinity and the maturation pathway of an anti-(4-hydroxy-3-nitrophenyl)acetyl antibody. Mol. Immunol. 2010, 48, 48–58. [Google Scholar] [CrossRef]
- Gerstein, R.M.; Lieber, M.R. Extent to which homology can constrain coding exon junctional diversity in V(D)J recombination. Nature 1993, 363, 625–627. [Google Scholar] [CrossRef]
- Gilfillan, S.; Dierich, A.; Lemeur, M.; Benoist, C.; Mathis, D. Mice lacking TdT: Mature animals with an immature lymphocyte repertoire. Science 1993, 261, 1175–1178. [Google Scholar] [CrossRef]
- Kabat, E.A.; Reed-Miller, M.; Perry, H.M.; Gottesman, K.S. Sequences of Proteins of Immunological Interest, 5th ed.; Department of Health and Human Services, Public Health Service, National Institutes of Health: Bethesda, MA, USA, 1991. [Google Scholar]
- Nishiguchi, A.; Numoto, N.; Ito, N.; Azuma, T.; Oda, M. Three-dimensional structure of a high affinity anti-(4-hydroxy-3-nitrophenyl)acetyl antibody possessing a glycine residue at position 95 of the heavy chain. Mol. Immunol. 2019, 114, 545–552. [Google Scholar] [CrossRef] [PubMed]
- Yoshida, M.; Hanazono, Y.; Numoto, N.; Nagao, S.; Yabuno, S.; Kitagawa, Y.; Sekiguchi, H.; Ito, N.; Azuma, T.; Oda, M. Affinity-matured antibody with a disulfide bond in H-CDR3 loop. Arch. Biochem. Biophys. 2024, 758, 110068. [Google Scholar] [CrossRef]
- Mizutani, R.; Miura, K.; Nakayama, T.; Shimada, I.; Arata, Y.; Satow, Y. Three dimensional structures of the Fab fragment of murine N1G9 antibody from the primary immune response and of its complex with (4-hydroxy-3-nitrophenyl)acetate. J. Mol. Biol. 1995, 254, 208–222. [Google Scholar] [CrossRef] [PubMed]
- Wiseman, T.; Williston, S.; Brandts, J.F.; Lin, L.N. Rapid measurement of binding constants and heats of binding using a new titration calorimeter. Anal. Biochem. 1989, 179, 131–137. [Google Scholar] [CrossRef] [PubMed]
- Privalov, P.L.; Dragan, A.I. Microcalorimetry of biological macromolecules. Biophys. Chem. 2007, 126, 16–24. [Google Scholar] [CrossRef]
- Imanishi, T.; Mäkelä, O. Strain differences in the fine specificity of mouse anti-hapten antibodies. Eur. J. Immunol. 1973, 3, 323–330. [Google Scholar] [CrossRef] [PubMed]
- Reth, M.; Hammerling, G.J.; Rajewsky, K. Analysis of the repertoire of anti-NP antibodies in C57BL/6 mice by cell fusion. Eur. J. Immunol. 1978, 8, 393–400. [Google Scholar] [CrossRef] [PubMed]
- Oda, M.; Azuma, T. Affinity maturation of anti-(4-hydroxy-3-nitrophenyl)acetyl antibodies accompanies a modulation of antigen specificity. Mol. Immunol. 2016, 70, 8–12. [Google Scholar] [CrossRef]
- Fukada, H.; Takahashi, K.; Sturtevant, J.M. Thermodynamics of the binding of Streptomyces subtilisin inhibitor to a-chymotrypsin. Biochemistry 1985, 24, 5109–5115. [Google Scholar] [CrossRef]
- Kuroki, R.; Kawakita, S.; Nakamura, H.; Yutani, K. Entropic stabilization of a mutant human lysozyme induced by calcium binding. Proc. Natl. Acad. Sci. USA 1992, 89, 6803–6807. [Google Scholar] [CrossRef] [PubMed]
- Jumper, J.; Evans, R.; Pritzel, A.; Green, T.; Figurnov, M.; Ronneberger, O.; Tunyasuvunakool, K.; Bates, R.; Žídek, A.; Potapenko, A.; et al. Highly accurate protein structure prediction with AlphaFold. Nature 2021, 596, 583–589. [Google Scholar] [CrossRef]
- Abramson, J.; Adler, J.; Dunger, J.; Evans, R.; Green, T.; Pritzel, A.; Ronneberger, O.; Willmore, L.; Ballard, A.J.; Bambrick, J.; et al. Accurate structure prediction of biomolecular interactions with AlphaFold 3. Nature 2024, 630, 493–500. [Google Scholar] [CrossRef]
- Sato, Y.; Inaba, S.; Fukada, H.; Azuma, T.; Oda, M. Pronounced effect of hapten binding on thermal stability of an anti-(4-hydroxy-3-nitrophenyl)acetyl antibody possessing a glycine residue at position 95 of the heavy chain. Mol. Immunol. 2017, 85, 130–136. [Google Scholar] [CrossRef] [PubMed]
- Nishiguchi, A.; Murakami, A.; Azuma, T.; Oda, M. A trade-off between thermostability and binding affinity of anti-(4-hydroxy-3-nitrophenyl)acetyl antibodies during the course of affinity maturation. Protein J. 2022, 41, 293–303. [Google Scholar] [CrossRef] [PubMed]
- Sato, Y.; Tanaka, Y.; Inaba, S.; Sekiguchi, H.; Maruno, T.; Sasaki, Y.C.; Fukada, H.; Kobayashi, Y.; Azuma, T.; Oda, M. Structural dynamics of a single-chain Fv antibody against (4-hydroxy-3-nitrophenyl)acetyl. Int. J. Biol. Macromol. 2016, 91, 151–157. [Google Scholar] [CrossRef] [PubMed]
- Oda, M. Analysis of the structural dynamics of proteins in the ligand-unbound and -bound states by diffracted X-ray tracking. Int. J. Mol. Sci. 2023, 24, 13717. [Google Scholar] [CrossRef] [PubMed]
- Inaba, S.; Fukada, H.; Ikegami, T.; Oda, M. Thermodynamic effects of multiple protein conformations on stability and DNA binding. Arch. Biochem. Biophys. 2013, 537, 225–232. [Google Scholar] [CrossRef]







| CD | DSC | ||
|---|---|---|---|
| Tm (°C) | Td (°C) | ∆Hcal (kJ mol−1) | |
| C6 | 54.2 ± 1.4 | 50.6 ± 0.4 | 494 ± 30.0 |
| C6_R58KH | 54.9 ± 1.9 | 49.8 ± 0.2 | 454 ± 39.5 |
| C6_Q100EH | 53.4 ± 2.3 | 46.3 ± 0.1 | 365 ± 22.9 |
| C6_100aIH | 52.4 ± 1.0 | 48.5 ± 0.2 | 416 ± 22.7 |
| C6_Q100EH/100aIH | 54.6 ± 1.0 | 49.8 ± 0.3 | 470 ± 28.9 |
| E11 | 56.1 ± 1.2 | 51.7 ± 0.5 | 440 ± 5.9 |
| E11_Δ100aIH | 52.0 ± 2.2 | 45.8 ± 0.1 | 394 ± 8.5 |
| n | Ka | ∆G | ∆H | T∆S | |
|---|---|---|---|---|---|
| (M−1) | (kJ mol−1) | (kJ mol−1) | (kJ mol−1) | ||
| NP | |||||
| C6 | 1.05 | 2.12 (±0.44) × 107 | −41.8 | −46.1 ± 3.6 | −4.3 |
| C6_R58KH | 0.98 | 8.77 (±2.87) × 106 | −39.5 | −48.9 ± 1.1 | −9.4 |
| C6_Q100EH | 1.02 | 1.43 (±0.40) × 107 | −40.8 | −43.6 ± 0.9 | −2.8 |
| C6_100aIH | 0.96 | 3.90 (±0.97) × 105 | −31.9 | −12.3 ± 2.0 | 19.5 |
| C6_Q100EH/100aIH | 0.72 | 7.52 (±2.83) × 104 | −27.7 | −30.7 ± 3.2 | −3.0 |
| E11 a | 1.02 | 2.17 (±0.91) × 108 | −47.4 | −69.8 ± 2.0 | −22.4 |
| E11_Δ100aIH | 1.02 | 7.30 (±0.83) × 105 | −33.5 | −55.5 ± 1.6 | −22.0 |
| NNP | |||||
| C6 | 0.99 | 2.25 (±0.75) × 108 | −47.6 | −55.0 ± 1.9 | −7.5 |
| C6_R58KH | 0.92 | 3.06 (±1.04) × 108 | −48.3 | −59.9 ± 1.2 | −11.6 |
| C6_Q100EH | 0.94 | 1.80 (±1.27) × 108 | −46.7 | −51.3 ± 2.5 | −4.6 |
| C6_100aIH | 1.04 | 2.62 (±0.69) × 106 | −36.6 | −29.3 ± 0.3 | 7.3 |
| C6_Q100EH/100aIH | 0.99 | 1.95 (±0.39) × 106 | −35.9 | −27.5 ± 0.3 | 8.4 |
| E11 | 1.06 | 4.13 (±1.90) × 108 | −49.0 | −64.4 ± 2.8 | −15.3 |
| E11_Δ100aIH | 1.00 | 2.33 (±0.70) × 107 | −42.0 | −62.1 ± 1.9 | −20.1 |
| CD | DSC | ||
|---|---|---|---|
| Tm (°C) | Td (°C) | ∆Hcal (kJ mol−1) | |
| NP | |||
| C6 + NP | 62.5 ± 0.2 | 67.2 ± 0.3 | 731 ± 29.9 |
| C6_R58KH + NP | 58.1 ± 2.4 | 62.8 ± 0.2 | 654 ± 38.7 |
| C6_Q100EH + NP | 56.6 ± 0.2 | 61.8 ± 0.3 | 585 ± 40.8 |
| C6_100aIH + NP | 54.9 ± 1.3 | 53.0 ± 0.1 | 520 ± 21.4 |
| C6_Q100EH/100aIH + NP | 56.4 ± 1.4 | 52.8 ± 0.8 | 584 ± 29.3 |
| E11 + NP | 66.7 ± 2.1 | 71.9 ± 0.1 | 725 ± 23.0 |
| E11_Δ100aIH + NP | 54.3 ± 1.9 | 54.0 ± 0.2 | 514 ± 3.51 |
| NNP | |||
| C6 + NNP | n.d. | 70.6 ± 0.1 | 771 ± 36.9 |
| C6_R58KH + NNP | n.d. | 68.4 ± 0.0 | 692 ± 15.3 |
| C6_Q100EH + NNP | n.d. | 66.5 ± 0.1 | 657 ± 59.7 |
| C6_100aIH + NNP | 56.3 ± 0.3 | 59.3 ± 0.2 | 547 ± 29.4 |
| C6_Q100EH/100aIH + NNP | 59.7 ± 1.7 | 59.8 ± 0.2 | 635 ± 21.5 |
| E11 + NNP | 70.0 ± 0.3 | 77.2 ± 0.0 | 803 ± 5.2 |
| E11_Δ100aIH + NNP | 60.5 ± 1.0 | 59.8 ± 0.1 | 578 ± 10.8 |
Disclaimer/Publisher’s Note: The statements, opinions and data contained in all publications are solely those of the individual author(s) and contributor(s) and not of MDPI and/or the editor(s). MDPI and/or the editor(s) disclaim responsibility for any injury to people or property resulting from any ideas, methods, instructions or products referred to in the content. |
© 2025 by the authors. Licensee MDPI, Basel, Switzerland. This article is an open access article distributed under the terms and conditions of the Creative Commons Attribution (CC BY) license (https://creativecommons.org/licenses/by/4.0/).
Share and Cite
Yoshida, M.; Oda, M. Affinity Maturation for Antibody Engineering: The Critical Role of Residues on CDR Loops of Antibodies in Antigen Binding. Molecules 2025, 30, 532. https://doi.org/10.3390/molecules30030532
Yoshida M, Oda M. Affinity Maturation for Antibody Engineering: The Critical Role of Residues on CDR Loops of Antibodies in Antigen Binding. Molecules. 2025; 30(3):532. https://doi.org/10.3390/molecules30030532
Chicago/Turabian StyleYoshida, Mutsumi, and Masayuki Oda. 2025. "Affinity Maturation for Antibody Engineering: The Critical Role of Residues on CDR Loops of Antibodies in Antigen Binding" Molecules 30, no. 3: 532. https://doi.org/10.3390/molecules30030532
APA StyleYoshida, M., & Oda, M. (2025). Affinity Maturation for Antibody Engineering: The Critical Role of Residues on CDR Loops of Antibodies in Antigen Binding. Molecules, 30(3), 532. https://doi.org/10.3390/molecules30030532

