The Graphene Oxide/Gold Nanoparticles Hybrid Layers for Hydrogen Peroxide Sensing—Effect of the Nanoparticles Shape and Importance of the Graphene Oxide Defects for the Sensitivity
Abstract
1. Introduction
2. Results and Discussion
2.1. Characterization and Cyclic Voltammetry Responses of Studied Electrodes
2.2. Amperometric Responses to H2O2
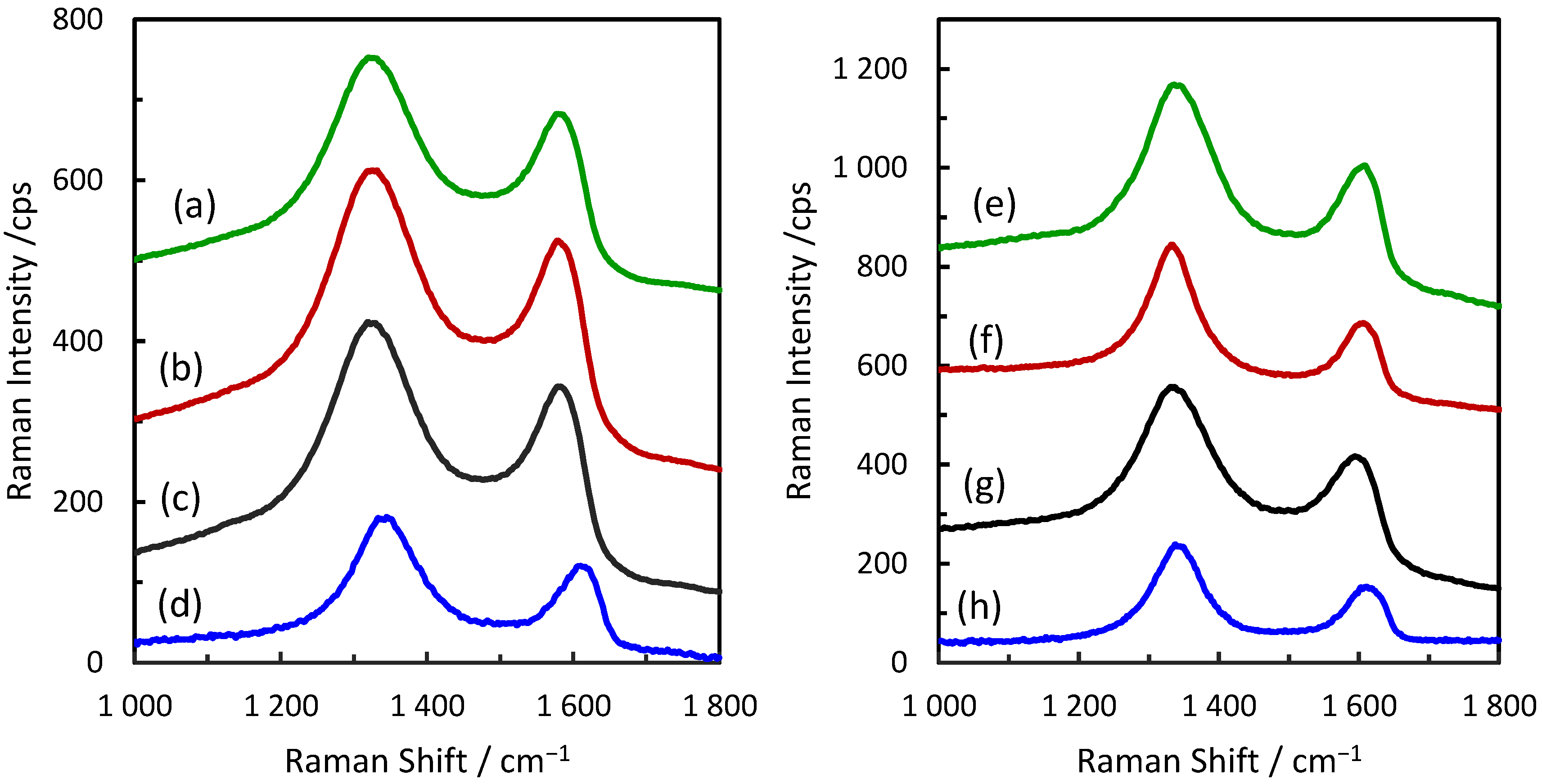
2.3. Correlation Between the Raman Spectra of the AuNPs—GO or ERGO Layers and Their Sensitivity to H2O2
3. Materials and Methods
3.1. Chemicals and Materials
3.2. Synthesis of Gold Nanoparticles
3.3. Synthesis of GO
3.4. Preparation of the Electrodes
3.5. Electrochemical Setup
3.6. Raman Spectra
3.7. Transmissive Electron Microscopy
4. Conclusions
Author Contributions
Funding
Institutional Review Board Statement
Informed Consent Statement
Data Availability Statement
Conflicts of Interest
References
- Xing, L.; Zhang, W.; Fu, L.; Lorenzo, J.M.; Hao, Y. Fabrication and Application of Electrochemical Sensor for Analyzing Hydrogen Peroxide in Food System and Biological Samples. Food Chem. 2022, 385, 132555. [Google Scholar] [CrossRef] [PubMed]
- Yu, K.; Li, M.; Chai, H.; Liu, Q.; Hai, X.; Tian, M.; Qu, L.; Xu, T.; Zhang, G.; Zhang, X. MOF-818 Nanozyme-Based Colorimetric and Electrochemical Dual-Mode Smartphone Sensing Platform for in Situ Detection of H2O2 and H2S Released from Living Cells. Chem. Eng. J. 2023, 451, 138321. [Google Scholar] [CrossRef]
- Di Marzo, N.; Chisci, E.; Giovannoni, R. The Role of Hydrogen Peroxide in Redox-Dependent Signaling: Homeostatic and Pathological Responses in Mammalian Cells. Cells 2018, 7, 156. [Google Scholar] [CrossRef]
- Lennicke, C.; Cochemé, H.M. Redox Metabolism: ROS as Specific Molecular Regulators of Cell Signaling and Function. Mol. Cell 2021, 81, 3691–3707. [Google Scholar] [CrossRef] [PubMed]
- Thatikayala, D.; Ponnamma, D.; Sadasivuni, K.; Cabibihan, J.-J.; Al-Ali, A.; Malik, R.; Min, B. Progress of Advanced Nanomaterials in the Non-Enzymatic Electrochemical Sensing of Glucose and H2O2. Biosensors 2020, 10, 151. [Google Scholar] [CrossRef] [PubMed]
- Shahidi, F.; Zhong, Y. Lipid Oxidation and Improving the Oxidative Stability. Chem. Soc. Rev. 2010, 39, 4067–4079. [Google Scholar] [CrossRef]
- Do, M.H.; Phan, N.H.; Nguyen, T.D.; Pham, T.T.S.; Nguyen, V.K.; Vu, T.T.T.; Nguyen, T.K.P. Activated Carbon/Fe3O4 Nanoparticle Composite: Fabrication, Methyl Orange Removal and Regeneration by Hydrogen Peroxide. Chemosphere 2011, 85, 1269–1276. [Google Scholar] [CrossRef] [PubMed]
- Zhang, X.; Lin, Y.; Gillies, R.J. Tumor pH and Its Measurement. J. Nucl. Med. 2010, 51, 1167–1170. [Google Scholar] [CrossRef] [PubMed]
- Chen, W.; Cai, S.; Ren, Q.-Q.; Wen, W.; Zhao, Y.-D. Recent Advances in Electrochemical Sensing for Hydrogen Peroxide: A Review. Analyst 2012, 137, 49–58. [Google Scholar] [CrossRef] [PubMed]
- Sophia, J.; Muralidharan, G. Gold Nanoparticles for Sensitive Detection of Hydrogen Peroxide: A Simple Non-Enzymatic Approach. J. Appl. Electrochem. 2015, 45, 963–971. [Google Scholar] [CrossRef]
- Jirkovský, J.S.; Halasa, M.; Schiffrin, D.J. Kinetics of Electrocatalytic Reduction of Oxygen and Hydrogen Peroxide on Dispersed Gold Nanoparticles. Phys. Chem. Chem. Phys. 2010, 12, 8042–8053. [Google Scholar] [CrossRef] [PubMed]
- Won, Y.-H.; Huh, K.; Stanciu, L.A. Au Nanospheres and Nanorods for Enzyme-Free Electrochemical Biosensor Applications. Biosens. Bioelectron. 2011, 26, 4514–4519. [Google Scholar] [CrossRef] [PubMed]
- Zhou, W.; Gao, X.; Liu, D.; Chen, X. Gold Nanoparticles for In Vitro Diagnostics. Chem. Rev. 2015, 115, 10575–10636. [Google Scholar] [CrossRef]
- Wu, B.; Zhao, N.; Hou, S.; Zhang, C. Electrochemical Synthesis of Polypyrrole, Reduced Graphene Oxide, and Gold Nanoparticles Composite and Its Application to Hydrogen Peroxide Biosensor. Nanomaterials 2016, 6, 220. [Google Scholar] [CrossRef]
- Alagiri, M.; Rameshkumar, P.; Pandikumar, A. Gold Nanorod-Based Electrochemical Sensing of Small Biomolecules: A Review. Microchim. Acta 2017, 184, 3069–3092. [Google Scholar] [CrossRef]
- George, J.M.; Antony, A.; Mathew, B. Metal Oxide Nanoparticles in Electrochemical Sensing and Biosensing: A Review. Microchim. Acta 2018, 185, 358. [Google Scholar] [CrossRef] [PubMed]
- Catania, F.; Marras, E.; Giorcelli, M.; Jagdale, P.; Lavagna, L.; Tagliaferro, A.; Bartoli, M. A Review on Recent Advancements of Graphene and Graphene-Related Materials in Biological Applications. Appl. Sci. 2021, 11, 614. [Google Scholar] [CrossRef]
- Pogacean, F.; Socaci, C.; Pruneanu, S.; Biris, A.R.; Coros, M.; Magerusan, L.; Katona, G.; Turcu, R.; Borodi, G. Graphene Based Nanomaterials as Chemical Sensors for Hydrogen Peroxide—A Comparison Study of Their Intrinsic Peroxidase Catalytic Behavior. Sens. Actuators B Chem. 2015, 213, 474–483. [Google Scholar] [CrossRef]
- Klekotka, E.; Kasztelan, M.; Palys, B. Factors Influencing the Electrocatalytic Properties of Graphene Oxide—Gold Nanoparticles Hybrid System. ChemElectroChem 2021, 8, 3080–3088. [Google Scholar] [CrossRef]
- Zhang, J.; Zhao, M.; Yang, J.; Wu, G.; Wu, H.; Chen, C.; Liu, A. Metal-Free rGO/GO Hybrid Microelectrode Array for Sensitive and in-Situ Hydrogen Peroxide Sensing. Electrochim. Acta 2019, 326, 134967. [Google Scholar] [CrossRef]
- Patil, P.O.; Pandey, G.R.; Patil, A.G.; Borse, V.B.; Deshmukh, P.K.; Patil, D.R.; Tade, R.S.; Nangare, S.N.; Khan, Z.G.; Patil, A.M.; et al. Graphene-Based Nanocomposites for Sensitivity Enhancement of Surface Plasmon Resonance Sensor for Biological and Chemical Sensing: A Review. Biosens. Bioelectron. 2019, 139, 111324. [Google Scholar] [CrossRef] [PubMed]
- Xu, Q.; Gu, S.-X.; Jin, L.; Zhou, Y.; Yang, Z.; Wang, W.; Hu, X. Graphene/Polyaniline/Gold Nanoparticles Nanocomposite for the Direct Electron Transfer of Glucose Oxidase and Glucose Biosensing. Sens. Actuators B Chem. 2014, 190, 562–569. [Google Scholar] [CrossRef]
- Berbeć, S.; Żołądek, S.; Jabłońska, A.; Pałys, B. Electrochemically Reduced Graphene Oxide on Gold Nanoparticles Modified with a Polyoxomolybdate Film. Highly Sensitive Non-Enzymatic Electrochemical Detection of H2O2. Sens. Actuators B Chem. 2018, 258, 745–756. [Google Scholar] [CrossRef]
- Berbeć, S.; Żołądek, S.; Wasilewski, P.; Jabłońska, A.; Kulesza, P.; Pałys, B. Electrochemically Reduced Graphene Oxide—Noble Metal Nanoparticles Nanohybrids for Sensitive Enzyme-Free Detection of Hydrogen Peroxide. Electrocatalysis 2020, 11, 215–225. [Google Scholar] [CrossRef]
- Ambrosi, A.; Chua, C.K.; Latiff, N.M.; Loo, A.H.; Wong, C.H.A.; Eng, A.Y.S.; Bonanni, A.; Pumera, M. Graphene and Its Electrochemistry—An Update. Chem. Soc. Rev. 2016, 45, 2458–2493. [Google Scholar] [CrossRef] [PubMed]
- Le Fevre, L.W.; Cao, J.; Kinloch, I.A.; Forsyth, A.J.; Dryfe, R.A.W. Systematic Comparison of Graphene Materials for Supercapacitor Electrodes. ChemistryOpen 2019, 8, 418–428. [Google Scholar] [CrossRef]
- Brodersen, S.H.; Grønbjerg, U.; Hvolbæk, B.; Schiøtz, J. Understanding the Catalytic Activity of Gold Nanoparticles through Multi-Scale Simulations. J. Catal. 2011, 284, 34–41. [Google Scholar] [CrossRef]
- Sharma, N.; Tomar, S.; Shkir, M.; Kant Choubey, R.; Singh, A. Study of Optical and Electrical Properties of Graphene Oxide. Mater. Today Proc. 2021, 36, 730–735. [Google Scholar] [CrossRef]
- Huang, Y.-F.; Zhang, M.; Zhao, L.-B.; Feng, J.-M.; Wu, D.-Y.; Ren, B.; Tian, Z.-Q. Activation of Oxygen on Gold and Silver Nanoparticles Assisted by Surface Plasmon Resonances. Angew. Chem. Int. Ed. 2014, 53, 2353–2357. [Google Scholar] [CrossRef]
- Van Venrooij, T.G.J.; Koper, M.T.M. Bursting and Mixed-Mode Oscillations during the Hydrogen Peroxide Reduction on a Platinum Electrode. Electrochim. Acta 1995, 40, 1689–1696. [Google Scholar] [CrossRef]
- Doblhofer, K.; Flätgen, G.; Horswell, S.; Pettinger, B.; Wasle, S.; Weil, K.G. Autocatalysis by the Intermediate Surface Hydroxide Formed during Hydrogen Peroxide Reduction on Silver Electrodes. Surf. Sci. 2009, 603, 1900–1903. [Google Scholar] [CrossRef]
- Faulkner, L.L.; Bard, A.J. Electrochemical Methods and Applications, 2nd ed.; Wiley: New York, NY, USA, 2001; ISBN 978-0-471-04372-0. [Google Scholar]
- Claramunt, S.; Varea, A.; López-Díaz, D.; Velázquez, M.M.; Cornet, A.; Cirera, A. The Importance of Interbands on the Interpretation of the Raman Spectrum of Graphene Oxide. J. Phys. Chem. C 2015, 119, 10123–10129. [Google Scholar] [CrossRef]
- López-Díaz, D.; López Holgado, M.; García-Fierro, J.L.; Velázquez, M.M. Evolution of the Raman Spectrum with the Chemical Composition of Graphene Oxide. J. Phys. Chem. C 2017, 121, 20489–20497. [Google Scholar] [CrossRef]
- Cançado, L.G.; Jorio, A.; Ferreira, E.H.M.; Stavale, F.; Achete, C.A.; Capaz, R.B.; Moutinho, M.V.O.; Lombardo, A.; Kulmala, T.S.; Ferrari, A.C. Quantifying Defects in Graphene via Raman Spectroscopy at Different Excitation Energies. Nano Lett. 2011, 11, 3190–3196. [Google Scholar] [CrossRef] [PubMed]
- Tuinstra, F.; Koenig, J.L. Raman Spectrum of Graphite. J. Chem. Phys. 1970, 53, 1126–1130. [Google Scholar] [CrossRef]
- Zhao, X.; Ando, Y. Raman Spectra and X-Ray Diffraction Patterns of Carbon Nanotubes Prepared by Hydrogen Arc Discharge. Jpn. J. Appl. Phys. 1998, 37, 4846. [Google Scholar] [CrossRef]
- Lee, A.Y.; Yang, K.; Anh, N.D.; Park, C.; Lee, S.M.; Lee, T.G.; Jeong, M.S. Raman Study of D* Band in Graphene Oxide and Its Correlation with Reduction. Appl. Surf. Sci. 2021, 536, 147990. [Google Scholar] [CrossRef]
- Kudin, K.N.; Ozbas, B.; Schniepp, H.C.; Prud’homme, R.K.; Aksay, I.A.; Car, R. Raman Spectra of Graphite Oxide and Functionalized Graphene Sheets. Nano Lett. 2008, 8, 36–41. [Google Scholar] [CrossRef]
- Ferreira, H.; Poma, G.; Acosta, D.R.; Barzola-Quiquia, J.; Quintana, M.; Barreto, L.; Champi, A. Laser Power Influence on Raman Spectra of Multilayer Graphene, Multilayer Graphene Oxide and Reduced Multilayer Graphene Oxide. J. Phys. Conf. Ser. 2018, 1143, 012020. [Google Scholar] [CrossRef]
- Nemanich, R.J.; Glass, J.T.; Lucovsky, G.; Shroder, R.E. Raman Scattering Characterization of Carbon Bonding in Diamond and Diamondlike Thin Films. J. Vac. Sci. Technol. A Vac. Surf. Film. 1988, 6, 1783–1787. [Google Scholar] [CrossRef]
- Kasztelan, M.; Zoladek, S.; Wieczorek, W.; Palys, B. Template-Free Synthesized Gold Nanobowls Composed with Graphene Oxide for Ultrasensitive SERS Platforms. J. Phys. Chem. C 2023, 127, 16960–16969. [Google Scholar] [CrossRef] [PubMed]
- Kasztelan, M.; Słoniewska, A.; Gorzkowski, M.; Lewera, A.; Pałys, B.; Zoladek, S. Ammonia Modified Graphene Oxide—Gold Nanoparticles Composite as a Substrate for Surface Enhanced Raman Spectroscopy. Appl. Surf. Sci. 2021, 554, 149060. [Google Scholar] [CrossRef]
- Hummers, W.S., Jr.; Offeman, R.E. Preparation of Graphitic Oxide. J. Am. Chem. Soc. 1958, 80, 1339. [Google Scholar] [CrossRef]








| Electrode | Sensitivity [µA·cm−2·mM−1] | Limit of Detection * [µM] |
|---|---|---|
| GO | 1.4 | 83.3 |
| ERGO | 27.7 | 50.1 |
| AuNSs | 112.6 | 18.2 |
| AuNSs/GO | 123.5 | 21.1 |
| AuNSs/ERGO | 164.7 | 24.0 |
| AuNBs | 151.5 | 12.8 |
| AuNBs/GO | 171.4 | 21.2 |
| AuNBs/ERGO | 253.5 | 21.1 |
| AuNUs | 202.2 | 11.0 |
| AuNUs/GO | 225.8 | 18.1 |
| AuNUs/ERGO | 314.1 | 8.5 |
| Electrode | Real Surface Area [cm−2] |
|---|---|
| GO | 0.311 |
| ERGO | 0.633 |
| AuNSs | 0.498 |
| AuNSs/GO | 0.335 |
| AuNSs/ERGO | 0.566 |
| AuNBs | 0.569 |
| AuNBs/GO | 0.211 |
| AuNBs/ERGO | 0.615 |
| AuNUs | 0.818 |
| AuNUs/GO | 0.611 |
| AuNUs/ERGO | 0.896 |
Disclaimer/Publisher’s Note: The statements, opinions and data contained in all publications are solely those of the individual author(s) and contributor(s) and not of MDPI and/or the editor(s). MDPI and/or the editor(s) disclaim responsibility for any injury to people or property resulting from any ideas, methods, instructions or products referred to in the content. |
© 2025 by the authors. Licensee MDPI, Basel, Switzerland. This article is an open access article distributed under the terms and conditions of the Creative Commons Attribution (CC BY) license (https://creativecommons.org/licenses/by/4.0/).
Share and Cite
Pupel, K.; Jędrzejewski, K.; Zoladek, S.; Palys, M.; Palys, B. The Graphene Oxide/Gold Nanoparticles Hybrid Layers for Hydrogen Peroxide Sensing—Effect of the Nanoparticles Shape and Importance of the Graphene Oxide Defects for the Sensitivity. Molecules 2025, 30, 533. https://doi.org/10.3390/molecules30030533
Pupel K, Jędrzejewski K, Zoladek S, Palys M, Palys B. The Graphene Oxide/Gold Nanoparticles Hybrid Layers for Hydrogen Peroxide Sensing—Effect of the Nanoparticles Shape and Importance of the Graphene Oxide Defects for the Sensitivity. Molecules. 2025; 30(3):533. https://doi.org/10.3390/molecules30030533
Chicago/Turabian StylePupel, Krystian, Kacper Jędrzejewski, Sylwia Zoladek, Marcin Palys, and Barbara Palys. 2025. "The Graphene Oxide/Gold Nanoparticles Hybrid Layers for Hydrogen Peroxide Sensing—Effect of the Nanoparticles Shape and Importance of the Graphene Oxide Defects for the Sensitivity" Molecules 30, no. 3: 533. https://doi.org/10.3390/molecules30030533
APA StylePupel, K., Jędrzejewski, K., Zoladek, S., Palys, M., & Palys, B. (2025). The Graphene Oxide/Gold Nanoparticles Hybrid Layers for Hydrogen Peroxide Sensing—Effect of the Nanoparticles Shape and Importance of the Graphene Oxide Defects for the Sensitivity. Molecules, 30(3), 533. https://doi.org/10.3390/molecules30030533

