Assessment of the Microbiological Potential and Spectroscopic Properties of New Imino-1,3,4-Thiadiazoles Showing the ESIPT Effect Strongly Enhanced by Aggregation
Abstract
1. Introduction
2. Results and Discussion
2.1. Study of Spectroscopic Effects
2.1.1. Stationary Spectroscopy of Electron Absorption and Fluorescence
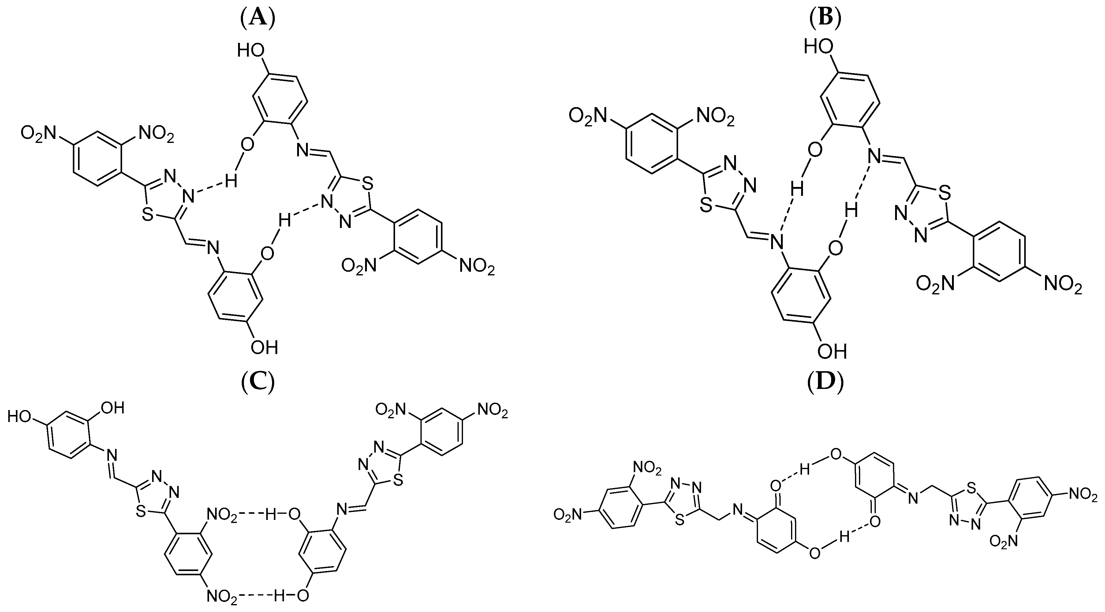
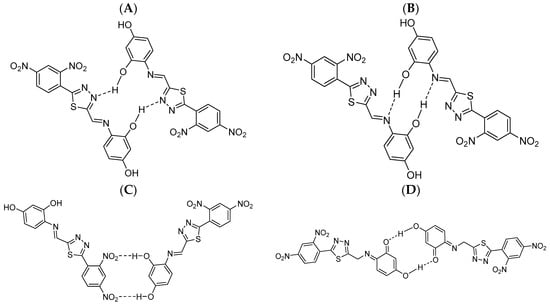
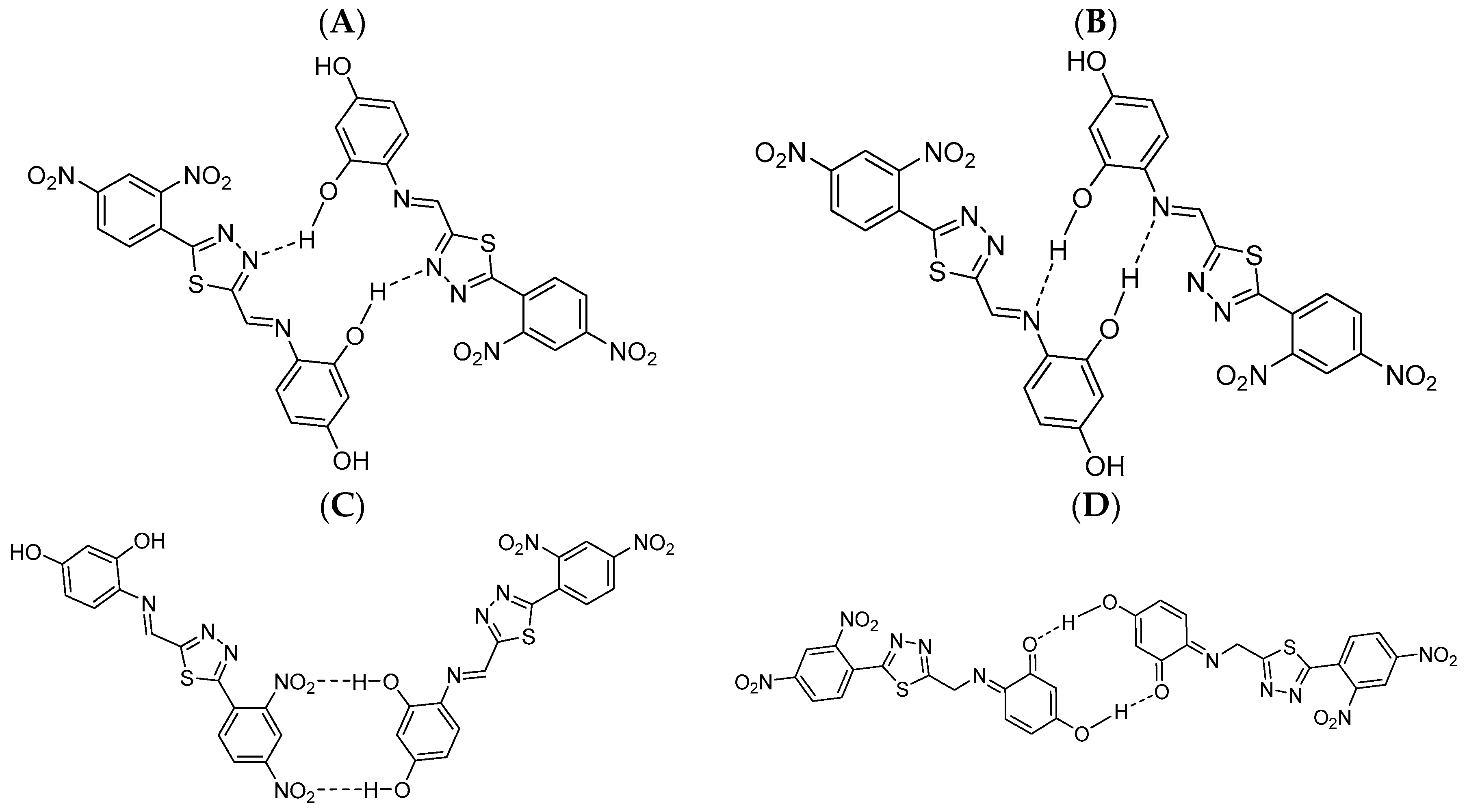
2.1.2. Spectroscopic Studies of Concentration Effects
2.1.3. Lifetimes of Fluorescence and Quantum Efficiency
2.2. Antifungal Activity
3. Materials and Methods
3.1. Synthesis of Thiadiazole Derived Imine
3.2. Antifungal Activities
3.3. Preparation of Compounds for Photophysical Measurements
3.3.1. NMR
3.3.2. Electronic Absorption and Fluorescence Spectra
3.3.3. Fluorescence Quantum Yield
3.3.4. Fluorescence Lifetimes
4. Conclusions
Supplementary Materials
Author Contributions
Funding
Institutional Review Board Statement
Informed Consent Statement
Data Availability Statement
Acknowledgments
Conflicts of Interest
References
- Jeschke, P. Progress of Modern Agricultural Chemistry and Future Prospects. Pest Manag. Sci. 2016, 72, 433–455. [Google Scholar] [CrossRef]
- Guan, A.; Liu, C.; Yang, X.; Dekeyser, M. Application of the Intermediate Derivatization Approach in Agrochemical Discovery. Chem. Rev. 2014, 114, 7079–7107. [Google Scholar] [CrossRef] [PubMed]
- Lv, P.; Chen, Y.; Zhao, Z.; Shi, T.; Wu, X.; Xue, J.; Li, Q.X.; Hua, R. Design, Synthesis, and Antifungal Activities of 3-Acyl Thiotetronic Acid Derivatives: New Fatty Acid Synthase Inhibitors. J. Agric. Food Chem. 2018, 66, 1023–1032. [Google Scholar] [CrossRef] [PubMed]
- EUROSTAT. 2024. Available online: https://Ec.Europa.Eu/Eurostat/Databrowser/View/Tag00027/Default/Table?Lang=en (accessed on 10 April 2023).
- Bentley, A.R.; Cromey, M.G.; Farrokhi-Nejad, R.; Leslie, J.F.; Summerell, B.A.; Burgess, L.W. Fusarium Crown and Root Rot Pathogens Associated with Wheat and Grass Stem Bases on the South Island of New Zealand. Australas. Plant Pathol. 2006, 35, 495–502. [Google Scholar] [CrossRef]
- Kuzdraliński, A.; Szczerba, H.; Kot, A.; Ostrowska, A.; Nowak, M.; Muszyńska, M. Development and Application of a New PCR Method for Detection of Blumeria graminis f. sp. Tritici. J. Mol. Microbiol. Biotechnol. 2018, 28, 137–146. [Google Scholar] [PubMed]
- Kuzdraliński, A.; Kot, A.; Szczerba, H.; Nowak, M.; Muszyńska, M. A Review of Conventional PCR Assays for the Detection of Selected Phytopathogens of Wheat. J. Mol. Microbiol. Biotechnol. 2017, 27, 175–189. [Google Scholar] [CrossRef] [PubMed]
- Figueroa, M.; Hammond-Kosack, K.E.; Solomon, P.S. A Review of Wheat Diseases—A Field Perspective. Mol. Plant Pathol. 2018, 19, 1523–1536. [Google Scholar] [CrossRef] [PubMed]
- Poole, N.F.; Arnaudin, M.E. The Role of Fungicides for Effective Disease Management in Cereal Crops. Can. J. Plant Pathol. 2014, 36, 1–11. [Google Scholar] [CrossRef]
- Chen, L.; Zhao, B.; Fan, Z.; Hu, M.; Li, Q.; Hu, W.; Li, J.; Zhang, J. Discovery of Novel Isothiazole, 1,2,3-Thiadiazole, and Thiazole-Based Cinnamamides as Fungicidal Candidates. J. Agric. Food Chem. 2019, 67, 12357–12365. [Google Scholar] [CrossRef]
- Chen, L.; Zhao, B.; Fan, Z.; Liu, X.; Wu, Q.; Li, H.; Wang, H. Synthesis of Novel 3,4-Chloroisothiazole-Based Imidazoles as Fungicides and Evaluation of Their Mode of Action. J. Agric. Food Chem. 2018, 66, 7319–7327. [Google Scholar] [CrossRef] [PubMed]
- He, L.; Liu, Y.; Mustapha, A.; Lin, M. Antifungal Activity of Zinc Oxide Nanoparticles against Botrytis cinerea and Penicillium expansum. Microbiol. Res. 2011, 166, 207–215. [Google Scholar] [CrossRef] [PubMed]
- Dai, H.; Ge, S.; Li, G.; Chen, J.; Shi, Y.; Ye, L.; Ling, Y. Synthesis and Bioactivities of Novel Pyrazole Oxime Derivatives Containing a 1,2,3-Thiadiazole Moiety. Bioorganic Med. Chem. Lett. 2016, 26, 4504–4507. [Google Scholar] [CrossRef] [PubMed]
- Dai, H.; Li, G.; Chen, J.; Shi, Y.; Ge, S.; Fan, C.; He, H. Synthesis and Biological Activities of Novel 1,3,4-Thiadiazole-Containing Pyrazole Oxime Derivatives. Bioorganic Med. Chem. Lett. 2016, 26, 3818–3821. [Google Scholar] [CrossRef] [PubMed]
- Hu, Y.; Li, C.-Y.; Wang, X.-M.; Yang, Y.-H.; Zhu, H.-L. 1,3,4-Thiadiazole: Synthesis, Reactions, and Applications in Medicinal, Agricultural, and Materials Chemistry. Chem. Rev. 2014, 114, 5572–5610. [Google Scholar] [CrossRef]
- Luo, Y.P.; Yang, G.F. Discovery of a New Insecticide Lead by Optimizing a Target-Diverse Scaffold: Tetrazolinone Derivatives. Bioorganic Med. Chem. 2007, 15, 1716–1724. [Google Scholar] [CrossRef]
- Chen, C.-J.; Song, B.-A.; Yang, S.; Xu, G.-F.; Bhadury, P.S.; Jin, L.-H.; Hu, D.-Y.; Li, Q.-Z.; Liu, F.; Xue, W.; et al. Synthesis and Antifungal Activities of 5-(3,4,5-Trimethoxyphenyl)-2-Sulfonyl-1,3,4-Thiadiazole and 5-(3,4,5-Trimethoxyphenyl)-2-Sulfonyl-1,3,4-Oxadiazole Derivatives. Bioorganic Med. Chem. 2007, 15, 3981–3989. [Google Scholar] [CrossRef] [PubMed]
- Zuo, X.; Mi, N.; Fan, Z.; Zheng, Q.; Zhang, H.; Wang, H.; Yang, Z. Synthesis of 4-Methyl-1,2,3-Thiadiazole Derivatives via Ugi Reaction and Their Biological Activities. J. Agric. Food Chem. 2009, 58, 2755–2762. [Google Scholar] [CrossRef]
- Zhou, M.; Wang, W. Recent Advances in Synthetic Chemical Inducers of Plant Immunity. Front. Plant Sci. 2018, 9, 1613. [Google Scholar] [CrossRef]
- Chen, L.; Zhu, Y.-J.; Fan, Z.-J.; Guo, X.-F.; Zhang, Z.-M.; Xu, J.-H.; Song, Y.-Q.; Yurievich, M.Y.; Belskaya, N.P.; Bakulev, V.A. Synthesis of 1,2,3-Thiadiazole and Thiazole-Based Strobilurins as Potent Fungicide Candidates. J. Agric. Food Chem. 2017, 65, 745–751. [Google Scholar] [CrossRef] [PubMed]
- Li, Z.S.; Wang, W.M.; Lu, W.; Niu, C.W.; Li, Y.H.; Li, Z.M.; Wang, J.G. Synthesis and Biological Evaluation of Nonsymmetrical Aromatic Disulfides as Novel Inhibitors of Acetohydroxyacid Synthase. Bioorganic Med. Chem. Lett. 2013, 23, 3723–3727. [Google Scholar] [CrossRef] [PubMed]
- Hoser, A.A.; Kamiński, D.M.; Skrzypek, A.; Matwijczuk, A.; Niewiadomy, A.; Gagoś, M.; Woźniak, K. Interplay of Inter- and Intramolecular Interactions in Crystal Structures of 1,3,4-Thiadiazole Resorcinol Derivatives. Cryst. Growth Des. 2018, 18, 3851–3862. [Google Scholar] [CrossRef]
- Karcz, D.; Matwijczuk, A.; Boroń, B.; Creaven, B.; Fiedor, L.; Niewiadomy, A.; Gagoś, M. Isolation and Spectroscopic Characterization of Zn (II), Cu (II), and Pd (II) Complexes of 1, 3, 4-Thiadiazole-Derived Ligand. J. Mol. Struct. 2017, 1128, 44–50. [Google Scholar] [CrossRef]
- Liu, F.; Chen, L. Thiadiazoles as Potent Inhibitors against Corrosion of Metals and Alloys: Challenges and Future Prospects. J. Mol. Liq. 2023, 390, 122904. [Google Scholar] [CrossRef]
- Otaiwi, A.S.; Mirghani, A.H.; Bostancı, H.E.; Coskun, A.; Tahtaci, H.; Uysal, S. Synthesis and Characterization of Oxime Derivatives and Their Some Transition Metal Complexes with Thiadiazole Groups: Biological Activities, and Molecular Docking Studies of the Ligands. ChemistrySelect 2024, 9, e202400863. [Google Scholar] [CrossRef]
- Joshi, H.C.; Antonov, L. Excited-State Intramolecular Proton Transfer: A Short Introductory Review. Molecules 2021, 26, 1475. [Google Scholar] [CrossRef] [PubMed]
- Tang, K.-C.; Chang, M.-J.; Lin, T.-Y.; Pan, H.-A.; Fang, T.-C.; Chen, K.-Y.; Hung, W.-Y.; Hsu, Y.-H.; Chou, P.-T. Fine Tuning the Energetics of Excited-State Intramolecular Proton Transfer (ESIPT): White Light Generation in A Single ESIPT System. J. Am. Chem. Soc. 2011, 133, 17738–17745. [Google Scholar] [CrossRef] [PubMed]
- Ila, R.D.; Verma, S.P.; Krishnamoorthy, G. The Origin of the Longer Wavelength Emission in 2-(4-Fluorophenylamino)-5-(2,4-Dihydroxybenzeno)-1,3,4-Thiadiazole and Its Analogue 2-Phenylamino-5-(2-Hydroxybenzono)-1,3,4-Thiadiazole. Photochem. Photobiol. Sci. 2020, 19, 844–853. [Google Scholar] [CrossRef]
- Ding, S.; Xu, A.; Sun, A.; Xia, Y.; Liu, Y. Substituent Effect on ESIPT and Hydrogen Bond Mechanism of N-(8-Quinolyl) Salicylaldimine: A Detailed Theoretical Exploration. Spectrochim. Acta Part A Mol. Biomol. Spectrosc. 2021, 245, 118937. [Google Scholar] [CrossRef] [PubMed]
- Sharma, D.; Om, H.; Sharma, A.K. Potential Synthetic Routes and Metal-Ion Sensing Applications of 1,3,4-Oxadiazoles: An Integrative Review. Crit. Rev. Anal. Chem. 2024, 54, 416–436. [Google Scholar] [CrossRef] [PubMed]
- Budziak-Wieczorek, I.; Kaczmarczyk, D.; Rząd, K.; Gagoś, M.; Stepulak, A.; Myśliwa-Kurdziel, B.; Karcz, D.; Starzak, K.; Burdziński, G.; Srebro-Hooper, M. Cooperativity of ESPT and Aggregation-Induced Emission Effects—An Experimental and Theoretical Analysis of a 1, 3, 4-Thiadiazole Derivative. Int. J. Mol. Sci. 2024, 25, 3352. [Google Scholar] [CrossRef]
- Younis, O.; Al-Hossainy, A.F.; Sayed, M.; Kamal El-dean, A.M.; Tolba, M.S. Synthesis and Intriguing Single-Component White-Light Emission from Oxadiazole or Thiadiazole Integrated with Coumarin Luminescent Core. J. Photochem. Photobiol. A Chem. 2022, 431, 113992. [Google Scholar] [CrossRef]
- Kakekochi, V.; Kumar, U.; Chandrasekharan, K. An Investigation on Photophysical and Third–Order Nonlinear Optical Properties of Novel Thermally–Stable Thiophene–Imidazo [2, 1-b][1, 3, 4] Thiadiazole Based Azomethines. Dye. Pigment. 2019, 167, 216–224. [Google Scholar] [CrossRef]
- Cheng, X.; Zhang, R.; Cai, X.; Liu, B. A Reusable and Naked-Eye Molecular Probe with Aggregation-Induced Emission (AIE) Characteristics for Hydrazine Detection. J. Mater. Chem. B 2017, 5, 3565–3571. [Google Scholar] [CrossRef] [PubMed]
- Nief, O.A. Photostabilization of Polyvinyl Chloride by Some New Thiadiazole Derivatives. Eur. J. Chem. 2015, 6, 242–247. [Google Scholar] [CrossRef]
- Kudelko, A.; Olesiejuk, M.; Luczynski, M.; Swiatkowski, M.; Sieranski, T.; Kruszynski, R. 1,3,4-Thiadiazole-Containing Azo Dyes: Synthesis, Spectroscopic Properties and Molecular Structure. Molecules 2020, 25, 2822. [Google Scholar] [CrossRef] [PubMed]
- Abo Dena, A.S.; Muhammad, Z.A.; Hassan, W.M.I. Spectroscopic, DFT Studies and Electronic Properties of Novel Functionalized Bis-1,3,4-Thiadiazoles. Chem. Pap. 2019, 73, 2803–2812. [Google Scholar] [CrossRef]
- Belowar, S.; Rahamatolla, M.; Islam, S.; Jalil, M.A.; Hossain, S.; Saeed, M.A.; Rahman Bhuiyan, M.M.; Kazi, F.; Shekh, S. Design, Synthesis, and Characterization of a Novel pH-Responsive Azo Dye Incorporating a 1,3,4-Thiadiazole Ring for Advanced Textile Applications. Dye. Pigment. 2024, 231, 112410. [Google Scholar] [CrossRef]
- Kuzu, B.; Tan, M.; Ekmekci, Z.; Menges, N. A Novel Structure for ESIPT Emission: Experimental and Theoretical Investigations. J. Photochem. Photobiol. A Chem. 2019, 381, 111874. [Google Scholar] [CrossRef]
- Rama, I.; Nathiya, S.; Panneerselvam, M.; Subashini, A.; Costa, L.T.; Jeeva, G.; Achiraman, S.; Dhinesh, K. An Insight Into Experimental and Theoretical Investigation of Structure, Photophysical Property by ESIPT Processes and Biological Activities of Schiff Base Copper Complex. Appl. Organomet. Chem. 2024, 38, e7737. [Google Scholar] [CrossRef]
- Laner, J.N.; Junior, H.d.C.S.; Rodembusch, F.S.; Moreira, E.C. New Insights on the ESIPT Process Based on Solid-State Data and State-of-the-Art Computational Methods. Phys. Chem. Chem. Phys. 2021, 23, 1146–1155. [Google Scholar] [CrossRef]
- Zhao, G.; Shi, W.; Xin, X.; Yang, Y.; Ma, F.; Li, Y. Insights from Computational Analysis: Excited-State Hydrogen-Bonding Interactions and ESIPT Processes in Phenothiazine Derivatives. Spectrochim. Acta Part A Mol. Biomol. Spectrosc. 2023, 286, 121935. [Google Scholar] [CrossRef] [PubMed]
- Yi, H.; Al-Faifi, S.; Iraqi, A.; Watters, D.C.; Kingsley, J.; Lidzey, D.G. Carbazole and Thienyl Benzo [1, 2, 5] Thiadiazole Based Polymers with Improved Open Circuit Voltages and Processability for Application in Solar Cells. J. Mater. Chem. 2011, 21, 13649–13656. [Google Scholar] [CrossRef]
- Weng, C.; Gao, L.; Zhang, Z.; Liu, Z.; Tan, S.; Li, Y. A New Polymer Acceptor Containing Naphthalene Diimide and 1,3,4-thiadiazole for All-polymer Solar Cells. J. Polym. Sci. B Polym. Phys. 2017, 55, 990–996. [Google Scholar] [CrossRef]
- Trannoy, V.; Léaustic, A.; Gadan, S.; Guillot, R.; Allain, C.; Clavier, G.; Mazerat, S.; Geffroy, B.; Yu, P. A Highly Efficient Solution and Solid State ESIPT Fluorophore and Its OLED Application. New J. Chem. 2021, 45, 3014–3021. [Google Scholar] [CrossRef]
- Toribio, R.; Muñoz, A.; Castro-Sanz, A.B.; Merchante, C.; Castellano, M.M. A Novel eIF4E-Interacting Protein That Forms Non-Canonical Translation Initiation Complexes. Nat. Plants 2019, 5, 1283–1296. [Google Scholar] [CrossRef]
- Klymchenko, A.S. Solvatochromic and Fluorogenic Dyes as Environment-Sensitive Probes: Design and Biological Applications. Acc. Chem. Res. 2017, 50, 366–375. [Google Scholar] [CrossRef]
- Sahu, S.; Das, M.; Bharti, A.K.; Krishnamoorthy, G. Proton Transfer Triggered Proton Transfer: A Self-Assisted Twin Excited State Intramolecular Proton Transfer. Phys. Chem. Chem. Phys. 2018, 20, 27131–27139. [Google Scholar] [CrossRef]
- Zeng, L.; Zhong, G.; Huang, Y.; Jia, J.; Bi, H. A Phosphopantetheinyl Transferase Gene Restricted to Porphyromonas. Res. Microbiol. 2022, 173, 103940. [Google Scholar] [CrossRef]
- Zhou, P.; Han, K. ESIPT-based AIE Luminogens: Design Strategies, Applications, and Mechanisms. Aggregate 2022, 3, e160. [Google Scholar] [CrossRef]
- Peng, L.; Xu, S.; Zheng, X.; Cheng, X.; Zhang, R.; Liu, J.; Liu, B.; Tong, A. Rational Design of a Red-Emissive Fluorophore with AIE and ESIPT Characteristics and Its Application in Light-Up Sensing of Esterase. Anal. Chem. 2017, 89, 3162–3168. [Google Scholar] [CrossRef]
- Huang, M.; Yu, R.; Xu, K.; Ye, S.; Kuang, S.; Zhu, X.; Wan, Y. An Arch-Bridge-Type Fluorophore for Bridging the Gap between Aggregation-Caused Quenching (ACQ) and Aggregation-Induced Emission (AIE). Chem. Sci. 2016, 7, 4485–4491. [Google Scholar] [CrossRef] [PubMed]
- Ma, X.; Sun, R.; Cheng, J.; Liu, J.; Gou, F.; Xiang, H.; Zhou, X. Fluorescence Aggregation-Caused Quenching versus Aggregation-Induced Emission: A Visual Teaching Technology for Undergraduate Chemistry Students. J. Chem. Educ. 2016, 93, 345–350. [Google Scholar] [CrossRef]
- Li, T.; Pang, H.; Wu, Q.; Huang, M.; Xu, J.; Zheng, L.; Wang, B.; Qiao, Y. Rigid Schiff Base Complex Supermolecular Aggregates as a High-Performance pH Probe: Study on the Enhancement of the Aggregation-Caused Quenching (ACQ) Effect via the Substitution of Halogen Atoms. Int. J. Mol. Sci. 2022, 23, 6259. [Google Scholar] [CrossRef] [PubMed]
- Luo, J.; Xie, Z.; Lam, J.W.Y.; Cheng, L.; Chen, H.; Qiu, C.; Kwok, H.S.; Zhan, X.; Liu, Y.; Zhu, D.; et al. Aggregation-Induced Emission of 1-Methyl-1,2,3,4,5-Pentaphenylsilole. Chem. Commun. 2001, 18, 1740–1741. [Google Scholar] [CrossRef] [PubMed]
- Krishnaveni, K.; Gurusamy, S.; Rajakumar, K.; Sathish, V.; Thanasekaran, P.; Mathavan, A. Aggregation Induced Emission (AIE), Selective Fluoride Ion Sensing and Lysozyme Interaction Properties of Julolidinesulphonyl Derived Schiff Base. J. Photochem. Photobiol. A Chem. 2022, 427, 113822. [Google Scholar] [CrossRef]
- He, Z.; Zhao, E.; Lam, J.W.Y.; Tang, B.Z. New Mechanistic Insights into the AIE Phenomenon; ACS Symposium Series; Fujiki, M., Liu, B., Tang, B.Z., Eds.; American Chemical Society: Washington, DC, USA, 2016; Volume 1226, pp. 5–20. ISBN 978-0-8412-3156-6. [Google Scholar]
- Mei, J.; Hong, Y.; Lam, J.W.Y.; Qin, A.; Tang, Y.; Tang, B.Z. Aggregation-Induced Emission: The Whole Is More Brilliant than the Parts. Adv. Mater. 2014, 26, 5429–5479. [Google Scholar] [CrossRef] [PubMed]
- Kluczyk, D.; Matwijczuk, A.; Górecki, A.; Karpińska, M.M.; Szymanek, M.; Niewiadomy, A.; Gagoś, M. Molecular Organization of Dipalmitoylphosphatidylcholine Bilayers Containing Bioactive Compounds 4-(5-Heptyl-1,3,4-Thiadiazol-2-Yl) Benzene-1,3-Diol and 4-(5-Methyl-1,3,4-Thiadiazol-2-Yl) Benzene-1,3-Diols. J. Phys. Chem. B 2016, 120, 12047–12063. [Google Scholar] [CrossRef]
- Chan, N.N.M.Y.; Idris, A.; Abidin, Z.H.Z.; Tajuddin, H.A.; Abdullah, Z. White Light Employing Luminescent Engineered Large (Mega) Stokes Shift Molecules: A Review. RSC Adv. 2021, 11, 13409–13445. [Google Scholar] [CrossRef]
- Hong, Y.; Lam, J.W.Y.; Tang, B.Z. Aggregation-Induced Emission: Phenomenon, Mechanism and Applications. Chem. Commun. 2009, 29, 4332–4353. [Google Scholar] [CrossRef] [PubMed]
- Polyutov, S.; Kühn, O.; Pullerits, T. Exciton-Vibrational Coupling in Molecular Aggregates: Electronic versus Vibronic Dimer. Chem. Phys. 2012, 394, 21–28. [Google Scholar] [CrossRef]
- Hestand, N.J.; Spano, F.C. Expanded Theory of H- and J-Molecular Aggregates: The Effects of Vibronic Coupling and Intermolecular Charge Transfer. Chem. Rev. 2018, 118, 7069–7163. [Google Scholar] [CrossRef] [PubMed]
- Matwijczuk, A.; Kluczyk, D.; Górecki, A.; Niewiadomy, A.; Gagoś, M. Spectroscopic Studies of Fluorescence Effects in Bioactive 4-(5-Heptyl-1,3,4-Thiadiazol-2-Yl)Benzene-1,3-Diol and 4-(5-Methyl-1,3,4-Thiadiazol-2-Yl)Benzene-1,3-Diol Molecules Induced by pH Changes in Aqueous Solutions. J. Fluoresc. 2017, 27, 1201–1212. [Google Scholar] [CrossRef] [PubMed]
- Pasternack, R.F.; Collings, P.J. Resonance Light Scattering: A New Technique for Studying Chromophore Aggregation. Science 1995, 269, 935–939. [Google Scholar] [CrossRef] [PubMed]
- Matwijczuk, A.; Karcz, D.; Walkowiak, R.; Furso, J.; Gładyszewska, B.; Wybraniec, S.; Niewiadomy, A.; Karwasz, G.P.; Gagoś, M. Effect of Solvent Polarizability on the Keto/Enol Equilibrium of Selected Bioactive Molecules from the 1,3,4-Thiadiazole Group with a 2,4-Hydroxyphenyl Function. J. Phys. Chem. A 2017, 121, 1402–1411. [Google Scholar] [CrossRef] [PubMed]
- Krishnaveni, K.; Gurusamy, S.; Sathish, V.; Thanasekaran, P.; Mathavan, A. Selective Anions Mediated Fluorescence “Turn-on”, Aggregation Induced Emission (AIE) and Lysozyme Targeting Properties of Pyrene-Naphthalene Sulphonyl Conjugate. Spectrochim. Acta Part A Mol. Biomol. Spectrosc. 2021, 252, 119537. [Google Scholar] [CrossRef] [PubMed]
- Pannipara, M.; Al-Sehemi, A.G.; Kalam, A.; Asiri, A.M.; Arshad, M.N. AIE Active Turn-off Fluorescent Probe for the Detection of Cu2+ Ions. Spectrochim. Acta Part A Mol. Biomol. Spectrosc. 2017, 183, 84–89. [Google Scholar] [CrossRef] [PubMed]
- Muthukumar, A.; Kalaiyar, S. AIE Paper Shred for the Detection of Evolved Amine Vapor from Putrefaction Processes of Fish. Spectrochim. Acta Part A Mol. Biomol. Spectrosc. 2024, 323, 124860. [Google Scholar] [CrossRef]
- Samanta, S.; Manna, U.; Ray, T.; Das, G. An Aggregation-Induced Emission (AIE) Active Probe for Multiple Targets: A Fluorescent Sensor for Zn2+ and Al3+ & a Colorimetric Sensor for Cu2+ and F−. Dalton Trans. 2015, 44, 18902–18910. [Google Scholar] [CrossRef] [PubMed]
- Samanta, S.; Manna, U.; Das, G. White-Light Emission from Simple AIE–ESIPT-Excimer Tripled Single Molecular System. New J. Chem. 2017, 41, 1064–1072. [Google Scholar] [CrossRef]
- Zalmi, G.A.; Jadhav, S.E.; Mirgane, H.A.; Madje, B.R.; Bhosale, S.V. A Phenolic Schiff Based AIE-Active Quinoxaline-Based Receptor for Selective Sensing of Fluoride Ions. ChemistrySelect 2023, 8, e202203380. [Google Scholar] [CrossRef]
- Das, B.; Dolai, M.; Dhara, A.; Ghosh, A.; Mabhai, S.; Misra, A.; Dey, S.; Jana, A. Solvent-Regulated Fluorimetric Differentiation of Al3+ and Zn2+ Using an AIE-Active Single Sensor. J. Phys. Chem. A 2021, 125, 1490–1504. [Google Scholar] [CrossRef] [PubMed]
- McDonald, L.; Wang, J.; Alexander, N.; Li, H.; Liu, T.; Pang, Y. Origin of Water-Induced Fluorescence Turn-On from a Schiff Base Compound: AIE or H-Bonding Promoted ESIPT? J. Phys. Chem. B 2016, 120, 766–772. [Google Scholar] [CrossRef] [PubMed]
- Das, B.; Dolai, M.; Dhara, A.; Mabhai, S.; Jana, A.; Dey, S.; Misra, A. Acetate Ion Augmented Fluorescence Sensing of Zn2+ by Salen-Based Probe, AIE Character, and Application for Picric Acid Detection. Anal. Sci. Adv. 2021, 2, 447–463. [Google Scholar] [CrossRef] [PubMed]
- Chen, L.; Fu, P.-Y.; Wang, H.-P.; Pan, M. Excited-State Intramolecular Proton Transfer (ESIPT) for Optical Sensing in Solid State. Adv. Opt. Mater. 2021, 9, 2001952. [Google Scholar] [CrossRef]
- Munch, M.; Colombain, E.; Stoerkler, T.; Vérité, P.M.; Jacquemin, D.; Ulrich, G.; Massue, J. Blue-Emitting 2-(2′-Hydroxyphenyl)Benzazole Fluorophores by Modulation of Excited-State Intramolecular Proton Transfer: Spectroscopic Studies and Theoretical Calculations. J. Phys. Chem. B 2022, 126, 2108–2118. [Google Scholar] [CrossRef] [PubMed]
- Li, Y.; Dahal, D.; Abeywickrama, C.S.; Pang, Y. Progress in Tuning Emission of the Excited-State Intramolecular Proton Transfer (ESIPT)-Based Fluorescent Probes. ACS Omega 2021, 6, 6547–6553. [Google Scholar] [CrossRef] [PubMed]
- Kuzu, B.; Ekmekci, Z.; Tan, M.; Menges, N. Excited State Intramolecular Proton Transfer (ESIPT)-Based Sensor for Ion Detection. J. Fluoresc. 2021, 31, 861–872. [Google Scholar] [CrossRef] [PubMed]
- Budziak-Wieczorek, I.; Ślusarczyk, L.; Myśliwa-Kurdziel, B.; Kurdziel, M.; Srebro-Hooper, M.; Korona-Glowniak, I.; Gagoś, M.; Gładyszewski, G.; Stepulak, A.; Kluczyk, D. Spectroscopic Characterization and Assessment of Microbiological Potential of 1, 3, 4-Thiadiazole Derivative Showing ESIPT Dual Fluorescence Enhanced by Aggregation Effects. Sci. Rep. 2022, 12, 22140. [Google Scholar] [CrossRef]
- Bhattacharyya, A.; Das, A.; Guchhait, N. Interrogating the Nature of Aggregates Formed in a Model Azine Based ESIPT Coupled AIE Active Probe: Stark Differences in Photodynamics in the Solid State and Aggregates in Water. Phys. Chem. Chem. Phys. 2023, 25, 31702–31713. [Google Scholar] [CrossRef]
- Petdee, S.; Arunlimsawat, S.; Itsoponpan, T.; Rueantong, K.; Saenubol, A.; Janthakit, P.; Nalaoh, P.; Sudyoadsuk, T.; Promarak, V. Solid-State Fluorophores with Synergic Excited State Intramolecular Proton Transfer (ESIPT) and Aggregation-Induced Emission (AIE) Properties as Effective Non-Doped Emitters for Electroluminescent Devices. Opt. Mater. 2024, 157, 116413. [Google Scholar] [CrossRef]
- Fu, P.-Y.; Yi, S.-Z.; Pan, M.; Su, C.-Y. Excited-State Intramolecular Proton Transfer (ESIPT) Based Metal–Organic Supramolecular Optical Materials: Energy Transfer Mechanism and Luminescence Regulation Strategy. Acc. Mater. Res. 2023, 4, 939–952. [Google Scholar] [CrossRef]
- Kumsampao, J.; Chaiwai, C.; Sukpattanacharoen, C.; Nalaoh, P.; Chawanpunyawat, T.; Chasing, P.; Namuangruk, S.; Kungwan, N.; Sudyoadsuk, T.; Promarak, V. Solid-State Fluorophores with Combined Excited-State Intramolecular Proton Transfer-Aggregation-Induced Emission as Efficient Emitters for Electroluminescent Devices. Adv. Photonics Res. 2022, 3, 2100141. [Google Scholar] [CrossRef]
- Wang, J.; Liu, Q.; Yang, D. Theoretical Insights into Excited-State Hydrogen Bonding Effects and Intramolecular Proton Transfer (ESIPT) Mechanism for BTS System. Sci. Rep. 2020, 10, 5119. [Google Scholar] [CrossRef]
- Chua, M.H.; Hui, B.Y.K.; Chin, K.L.O.; Zhu, Q.; Liu, X.; Xu, J. Recent Advances in Aggregation-Induced Emission (AIE)-Based Chemosensors for the Detection of Organic Small Molecules. Mater. Chem. Front. 2023, 7, 5561–5660. [Google Scholar] [CrossRef]
- Witte, F.; Rietsch, P.; Nirmalananthan-Budau, N.; Weigert, F.P.; Götze, J.; Resch-Genger, U.; Eigler, S.; Paulus, B. Aggregation-Induced Emission Leading to Two Distinct Emissive Species in the Solid-State Structure of High-Dipole Organic Chromophores. Phys. Chem. Chem. Phys. 2021, 23, 17521–17529. [Google Scholar] [CrossRef]
- Dwivedi, B.K.; Singh, V.D.; Paitandi, R.P.; Pandey, D.S. Substituent-Directed ESIPT-Coupled Aggregation-Induced Emission in Near-Infrared-Emitting Quinazoline Derivatives. ChemPhysChem 2018, 19, 2672–2682. [Google Scholar] [CrossRef]
- Li, Y.; Dahal, D.; Pang, Y. Fluorescence Lifetimes of NIR-Emitting Molecules with Excited-State Intramolecular Proton Transfer. Molecules 2023, 28, 125. [Google Scholar] [CrossRef]
- Más-Montoya, M.; Janssen, R.A.J. The Effect of H- and J-Aggregation on the Photophysical and Photovoltaic Properties of Small Thiophene–Pyridine–DPP Molecules for Bulk-Heterojunction Solar Cells. Adv. Funct. Mater. 2017, 27, 1605779. [Google Scholar] [CrossRef]
- Jones, G.; Jackson, W.R.; Choi, C.Y.; Bergmark, W.R. Solvent Effects on Emission Yield and Lifetime for Coumarin Laser Dyes. Requirements for a Rotatory Decay Mechanism. J. Phys. Chem. 1985, 89, 294–300. [Google Scholar] [CrossRef]
- Okoń, S.; Ociepa, T.; Paczos-Grzęda, E.; Kowalczyk, K. Analysis of the Level of Resistance of Polish Oat Cultivars (Avena sativa L.) to Powdery Mildew (Blumeria graminis DC. f. sp. Avenae Em. Marchal.)—Analiza Poziomu Odporności Polskich Odmian Owsa Zwyczajnego (Avena sativa L.) Na Mączniaka Prawdziwego. Ann. Univ. Mariae Curie-Skłodowska Sect. E Agric. 2016, 61, 51–60. [Google Scholar]
- Dean, R.; Van Kan, J.A.L.; Pretorius, Z.A.; Hammond-Kosack, K.E.; Di Pietro, A.; Spanu, P.D.; Rudd, J.J.; Dickman, M.; Kahmann, R.; Ellis, J.; et al. The Top 10 Fungal Pathogens in Molecular Plant Pathology. Mol. Plant Pathol. 2012, 13, 414–430. [Google Scholar] [CrossRef]
- Duveiller, E.; Singh, R.P.; Nicol, J.M. The Challenges of Maintaining Wheat Productivity: Pests, Diseases, and Potential Epidemics. Euphytica 2007, 157, 417–430. [Google Scholar] [CrossRef]
- Golzar, H.; Shankar, M.; D’Antuono, M. Responses of Commercial Wheat Varieties and Differential Lines to Western Australian Powdery Mildew (Blumeria graminis f. sp. Tritici) Populations. Australas. Plant Pathol. 2016, 45, 347–355. [Google Scholar] [CrossRef]
- Wu, X.; Bian, Q.; Gao, Y.; Ni, X.; Sun, Y.; Xuan, Y.; Cao, Y.; Li, T. Evaluation of Resistance to Powdery Mildew and Identification of Resistance Genes in Wheat Cultivars. PeerJ 2021, 9, e10425. [Google Scholar] [CrossRef]
- Liatukas, Ž.; Leistrumaitė, A. Field Resistance of Spring Barley Cultivars to Powdery Mildew in Lithuania. Biologia 2007, 62, 664–669. [Google Scholar] [CrossRef][Green Version]
- McDonald, B.A.; Linde, C. Pathogen Population Genetics, Evolutionary Potential, and Durable Resistance. Annu. Rev. Phytopathol. 2002, 40, 349–379. [Google Scholar] [CrossRef]
- Baker, R.H.A.; Sansford, C.E.; Jarvis, C.H.; Cannon, R.J.C.; MacLeod, A.; Walters, K.F.A. The Role of Climatic Mapping in Predicting the Potential Geographical Distribution of Non-Indigenous Pests under Current and Future Climates. Agric. Ecosyst. Environ. 2000, 82, 57–71. [Google Scholar] [CrossRef]
- Tang, X.; Cao, X.; Xu, X.; Jiang, Y.; Luo, Y.; Ma, Z.; Fan, J.; Zhou, Y. Effects of Climate Change on Epidemics of Powdery Mildew in Winter Wheat in China. Plant Dis. 2017, 101, 1753–1760. [Google Scholar] [CrossRef]
- Vielba-Fernández, A.; Polonio, Á.; Ruiz-Jiménez, L.; de Vicente, A.; Pérez-García, A.; Fernández-Ortuño, D. Fungicide Resistance in Powdery Mildew Fungi. Microorganisms 2020, 8, 1431. [Google Scholar] [CrossRef]
- Chin, K.M.; Chavaillaz, D.; Kaesbohrer, M.; Staub, T.; Felsenstein, F.G. Characterizing Resistance Risk of Erysiphe graminis f.sp. Tritici to Strobilurins. Crop Prot. 2001, 20, 87–96. [Google Scholar] [CrossRef]
- Fraaije, B.A.; Butters, J.A.; Coelho, J.M.; Jones, D.R.; Hollomon, D.W. Following the Dynamics of Strobilurin Resistance in Blumeria graminis f. sp. Tritici Using Quantitative Allele-Specific Real-Time PCR Measurements with the Fluorescent Dye SYBR Green I. Plant Pathol. 2002, 51, 45–54. [Google Scholar] [CrossRef]
- Miedaner, T.; Flath, K. Effectiveness and Environmental Stability of Quantitative Powdery Mildew (Blumeria graminis) Resistance among Winter Wheat Cultivars. Plant Breed. 2007, 126, 553–558. [Google Scholar] [CrossRef]
- Tucker, M.A.; Lopez-Ruiz, F.; Jayasena, K.; Oliver, R.P. Origin of Fungicide-Resistant Barley Powdery Mildew in Western Australia: Lessons to Be Learned. In Fungicide Resistance in Plant Pathogens; Springer: Berlin/Heidelberg, Germany, 2015; pp. 329–340. [Google Scholar] [CrossRef]
- Walker, A.-S.; Ravigne, V.; Rieux, A.; Ali, S.; Carpentier, F.; Fournier, E. Fungal Adaptation to Contemporary Fungicide Applications: The Case of Otrytis cinerea Populations from Champagne Vineyards (France). Mol. Ecol. 2017, 26, 1919–1935. [Google Scholar] [CrossRef]
- Makandar, R.; Nalam, V.J.; Lee, H.; Trick, H.N.; Dong, Y.; Shah, J. Salicylic Acid Regulates Basal Resistance to Fusarium Head Blight in Wheat. Molecular Plant-Microbe Interact. 2012, 25, 431–439. [Google Scholar] [CrossRef]
- Makandar, R.; Nalam, V.; Chaturvedi, R.; Jeannotte, R.; Sparks, A.A.; Shah, J. Involvement of Salicylate and Jasmonate Signaling Pathways in Arabidopsis Interaction with Fusarium graminearum. Mol. Plant-Microbe Interact. MPMI 2010, 23, 861–870. [Google Scholar] [CrossRef]
- Friedrich, L.; Lawton, K.; Ruess, W.; Masner, P.; Specker, N.; Rella, M.G.; Meier, B.; Dincher, S.; Staub, T.; Uknes, S.; et al. A Benzothiadiazole Derivative Induces Systemic Acquired Resistance in Tobacco. Plant J. 1996, 10, 61–70. [Google Scholar] [CrossRef]
- Giray, B.; Karadağ, A.E.; İpek, Ö.Ş.; Pekel, H.; Güzel, M.; Küçük, H.B. Design and Synthesis of Novel Cylopentapyrazoles Bearing 1,2,3-Thiadiazole Moiety as Potent Antifungal Agents. Bioorganic Chem. 2020, 95, 103509. [Google Scholar] [CrossRef]
- Rahim, F.; Javed, M.T.; Ullah, H.; Wadood, A.; Taha, M.; Ashraf, M.; Qurat-ul-Ain; Khan, M.A.; Khan, F.; Mirza, S.; et al. Synthesis, Molecular Docking, Acetylcholinesterase and Butyrylcholinesterase Inhibitory Potential of Thiazole Analogs as New Inhibitors for Alzheimer Disease. Bioorganic Chem. 2015, 62, 106–116. [Google Scholar] [CrossRef]
- Bharti, S.K.; Nath, G.; Tilak, R.; Singh, S.K. Synthesis, Anti-Bacterial and Anti-Fungal Activities of Some Novel Schiff Bases Containing 2,4-Disubstituted Thiazole Ring. Eur. J. Med. Chem. 2010, 45, 651–660. [Google Scholar] [CrossRef]
- Nam, N.-H.; Huong, T.L.; Dung, D.T.M.; Dung, P.T.P.; Oanh, D.T.K.; Park, S.H.; Kim, K.; Han, B.W.; Yun, J.; Kang, J.S.; et al. Synthesis, Bioevaluation and Docking Study of 5-Substitutedphenyl-1,3,4-Thiadiazole-Based Hydroxamic Acids as Histone Deacetylase Inhibitors and Antitumor Agents. J. Enzym. Inhib. Med. Chem. 2014, 29, 611–618. [Google Scholar] [CrossRef]
- Karcz, D.; Matwijczuk, A.; Kamiński, D.; Creaven, B.; Ciszkowicz, E.; Lecka-Szlachta, K.; Starzak, K. Structural Features of 1, 3, 4-Thiadiazole-Derived Ligands and Their Zn (II) and Cu (II) Complexes Which Demonstrate Synergistic Antibacterial Effects with Kanamycin. Int. J. Mol. Sci. 2020, 21, 5735. [Google Scholar] [CrossRef]
- Creaven, B.S.; Devereux, M.; Karcz, D.; Kellett, A.; McCann, M.; Noble, A.; Walsh, M. Copper(II) Complexes of Coumarin-Derived Schiff Bases and Their Anti-Candida Activity. J. Inorg. Biochem. 2009, 103, 1196–1203. [Google Scholar] [CrossRef]
- Sheldrick, G.M. SHELXT–Integrated Space-Group and Crystal-Structure Determination. Acta Crystallogr. Sect. A Found. Adv. 2015, 71, 3–8. [Google Scholar] [CrossRef]
- Sheldrick, G.M. Crystal Structure Refinement with SHELXL. Acta Crystallogr. Sect. C Struct. Chem. 2015, 71, 3–8. [Google Scholar]
- Hsam, S.L.K.; Peters, N.; Paderina, E.V.; Felsenstein, F.; Oppitz, K.; Zeller, F.J. Genetic Studies of Powdery Mildew Resistance in Common Oat (Avena sativa L.) I. Cultivars and Breeding Lines Grown in Western Europe and North America. Euphytica 1997, 96, 421–427. [Google Scholar] [CrossRef]









| Solvent | τInt [ns] | τAM [ns] | τ1 [ns] | ARel1 [%] | τ2 [ns] | ARel2 [%] | τ3 [ns] | ARel3 [%] |
|---|---|---|---|---|---|---|---|---|
| DMSO in 460 nm | 3.0422 | 2.1228 | 1.0080 | 29.0 | 3.8735 | 71.0 | - | - |
| Methanol in 540 nm | 0.1849 | 0.0657 | 0.0606 | 91.8 | 1.5830 | 8.2 | - | - |
| Isopropanol in 460 nm | 3.6860 | 2.4650 | 4.4820 | 77.3 | 0.9730 | 22.3 | - | - |
| Butanol in 440 nm | 0.4735 | 0.1865 | 0.2814 | 32.9 | 1.2291 | 27.8 | 0.0990 | 39.3 |
| ACN in 590 nm | 0.3182 | 0.2389 | 0.1045 | 15.2 | 0.3033 | 82.7 | 2.3960 | 2.1 |
| DMF in 600 nm | 1.6155 | 0.1087 | 0.0633 | 56.8 | 4.8730 | 30.5 | 0.7446 | 12.7 |
| Acetone in 560 nm | 1.3059 | 1.3059 | 1.3059 | 100% | - | - | - | - |
| THF in 535 nm | 1.0834 | 0.8788 | 0.8299 | 93.2 | 4.5570 | 6.8 | - | - |
| Cereal | Pathogen | Compound | Compound Concentration | Spraying Before Infection | Spraying After Infection | ||||||
|---|---|---|---|---|---|---|---|---|---|---|---|
| 20 | 10 | 9 | 8 | 7 | 6 | 5 | |||||
| Avena sativa (oat) | Blumeria graminis f.sp. avenae, | 3NTI | 100 | 100 | 94 | 92 | 74 | 62 | 56 | 98 | 96 |
| 1 | 0 | 0 | 0 | 0 | 0 | 0 | 0 | 0 | 0 | ||
| 2 | 0 | 0 | 0 | 0 | 0 | 0 | 0 | 0 | 0 | ||
| 3 | 0 | 0 | 0 | 0 | 0 | 0 | 0 | 0 | 0 | ||
| 4 | 0 | 0 | 0 | 0 | 0 | 0 | 0 | 0 | 0 | ||
| 5 | 0 | 0 | 0 | 0 | 0 | 0 | 0 | 0 | 0 | ||
| Puccinia coronata f.sp. avenae | 3NTI | 100 | 100 | 100 | 94 | 76 | 62 | 56 | 98 | 98 | |
| 1 | 0 | 0 | 0 | 0 | 0 | 0 | 0 | 0 | 0 | ||
| 2 | 0 | 0 | 0 | 0 | 0 | 0 | 0 | 0 | 0 | ||
| 3 | 0 | 0 | 0 | 0 | 0 | 0 | 0 | 0 | 0 | ||
| 4 | 0 | 0 | 0 | 0 | 0 | 0 | 0 | 0 | 0 | ||
| 5 | 0 | 0 | 0 | 0 | 0 | 0 | 0 | 0 | 0 | ||
| Triticum aestivum (wheat) | Blumeria graminis f.sp. tritici, | 3NTI | 100 | 100 | 98 | 94 | 74 | 68 | 62 | 98 | 94 |
| 1 | 0 | 0 | 0 | 0 | 0 | 0 | 0 | 0 | 0 | ||
| 2 | 0 | 0 | 0 | 0 | 0 | 0 | 0 | 0 | 0 | ||
| 3 | 0 | 0 | 0 | 0 | 0 | 0 | 0 | 0 | 0 | ||
| 4 | 0 | 0 | 0 | 0 | 0 | 0 | 0 | 0 | 0 | ||
| 5 | 0 | 0 | 0 | 0 | 0 | 0 | 0 | 0 | 0 | ||
| Puccinia recondita f.sp. tritici. | 3NTI | 100 | 100 | 100 | 92 | 76 | 56 | 56 | 98 | 96 | |
| 1 | 0 | 0 | 0 | 0 | 0 | 0 | 0 | 0 | 0 | ||
| 2 | 0 | 0 | 0 | 0 | 0 | 0 | 0 | 0 | 0 | ||
| 3 | 0 | 0 | 0 | 0 | 0 | 0 | 0 | 0 | 0 | ||
| 4 | 0 | 0 | 0 | 0 | 0 | 0 | 0 | 0 | 0 | ||
| 5 | 0 | 0 | 0 | 0 | 0 | 0 | 0 | 0 | 0 | ||
| Hordeum vulgare (barley) | Puccinia hordei | 3NTI | 100 | 100 | 98 | 96 | 78 | 68 | 62 | 98 | 96 |
| 1 | 0 | 0 | 0 | 0 | 0 | 0 | 0 | 0 | 0 | ||
| 2 | 0 | 0 | 0 | 0 | 0 | 0 | 0 | 0 | 0 | ||
| 3 | 0 | 0 | 0 | 0 | 0 | 0 | 0 | 0 | 0 | ||
| 4 | 0 | 0 | 0 | 0 | 0 | 0 | 0 | 0 | 0 | ||
| 5 | 0 | 0 | 0 | 0 | 0 | 0 | 0 | 0 | 0 | ||
| Triticosecale (triticale) | B. graminis f.sp. triticale | 3NTI | 100 | 100 | 96 | 90 | 70 | 62 | 56 | 98 | 96 |
| 1 | 0 | 0 | 0 | 0 | 0 | 0 | 0 | 0 | 0 | ||
| 2 | 0 | 0 | 0 | 0 | 0 | 0 | 0 | 0 | 0 | ||
| 3 | 0 | 0 | 0 | 0 | 0 | 0 | 0 | 0 | 0 | ||
| 4 | 0 | 0 | 0 | 0 | 0 | 0 | 0 | 0 | 0 | ||
| 5 | 0 | 0 | 0 | 0 | 0 | 0 | 0 | 0 | 0 | ||
| Cereal | Pathogen | Disease |
|---|---|---|
| oat | Blumeria graminis f.sp. avenae, | powdery mildew |
| Puccinia coronata f.sp. avenae | crown rust | |
| wheat | Blumeria graminis f.sp. tritici, | powdery mildew |
| Puccinia recondita f.sp. tritici. | brown rust | |
| barley | Puccinia hordei | leaf rust |
| triticale | B. graminis f.sp. triticale | powdery mildew |
| The Degree of Infection | Description of the Degree | Percentage Disease Control |
|---|---|---|
| 0 | Lack of symptoms | 100% |
| 1 | Limited development of the pathogen visible as single and small colonies | 90% |
| 2 | Mycelium visible with a small quantity of spores—less than 20% of the leaf area | 80% |
| 3 | Extensive mycelium occupying 20–50% leaf area | 50% |
| 4 | Abundant mycelium occupying more than 50% of the leaf surface | 0% |
Disclaimer/Publisher’s Note: The statements, opinions and data contained in all publications are solely those of the individual author(s) and contributor(s) and not of MDPI and/or the editor(s). MDPI and/or the editor(s) disclaim responsibility for any injury to people or property resulting from any ideas, methods, instructions or products referred to in the content. |
© 2025 by the authors. Licensee MDPI, Basel, Switzerland. This article is an open access article distributed under the terms and conditions of the Creative Commons Attribution (CC BY) license (https://creativecommons.org/licenses/by/4.0/).
Share and Cite
Chruściel, E.; Ślusarczyk, L.; Gładyszewska, B.; Karcz, D.; Luchowski, R.; Nucia, A.; Ociepa, T.; Nowak, M.; Kowalczyk, K.; Włodarczyk, A.; et al. Assessment of the Microbiological Potential and Spectroscopic Properties of New Imino-1,3,4-Thiadiazoles Showing the ESIPT Effect Strongly Enhanced by Aggregation. Molecules 2025, 30, 531. https://doi.org/10.3390/molecules30030531
Chruściel E, Ślusarczyk L, Gładyszewska B, Karcz D, Luchowski R, Nucia A, Ociepa T, Nowak M, Kowalczyk K, Włodarczyk A, et al. Assessment of the Microbiological Potential and Spectroscopic Properties of New Imino-1,3,4-Thiadiazoles Showing the ESIPT Effect Strongly Enhanced by Aggregation. Molecules. 2025; 30(3):531. https://doi.org/10.3390/molecules30030531
Chicago/Turabian StyleChruściel, Edyta, Lidia Ślusarczyk, Bożena Gładyszewska, Dariusz Karcz, Rafał Luchowski, Aleksandra Nucia, Tomasz Ociepa, Michał Nowak, Krzysztof Kowalczyk, Adam Włodarczyk, and et al. 2025. "Assessment of the Microbiological Potential and Spectroscopic Properties of New Imino-1,3,4-Thiadiazoles Showing the ESIPT Effect Strongly Enhanced by Aggregation" Molecules 30, no. 3: 531. https://doi.org/10.3390/molecules30030531
APA StyleChruściel, E., Ślusarczyk, L., Gładyszewska, B., Karcz, D., Luchowski, R., Nucia, A., Ociepa, T., Nowak, M., Kowalczyk, K., Włodarczyk, A., Gagoś, M., Okoń, S., & Matwijczuk, A. (2025). Assessment of the Microbiological Potential and Spectroscopic Properties of New Imino-1,3,4-Thiadiazoles Showing the ESIPT Effect Strongly Enhanced by Aggregation. Molecules, 30(3), 531. https://doi.org/10.3390/molecules30030531

