Performance Evaluation of Enhanced Oil Recovery by Host–Guest Interaction of β-Cyclodextrin Polymer/Hydrophobically Associative Polymer
Abstract
1. Introduction
2. Results and Discussion
2.1. Solution Properties of HPAM, HAP, and β-CDP/HAP
2.1.1. Shear Thinning Property
2.1.2. Shear Resistance
2.1.3. Salt Tolerance
2.1.4. Temperature Resistance
2.1.5. Viscoelasticity
2.2. Core Flooding Results
2.3. Enhanced Oil Recovery Experiment
3. Materials and Methods
3.1. Material
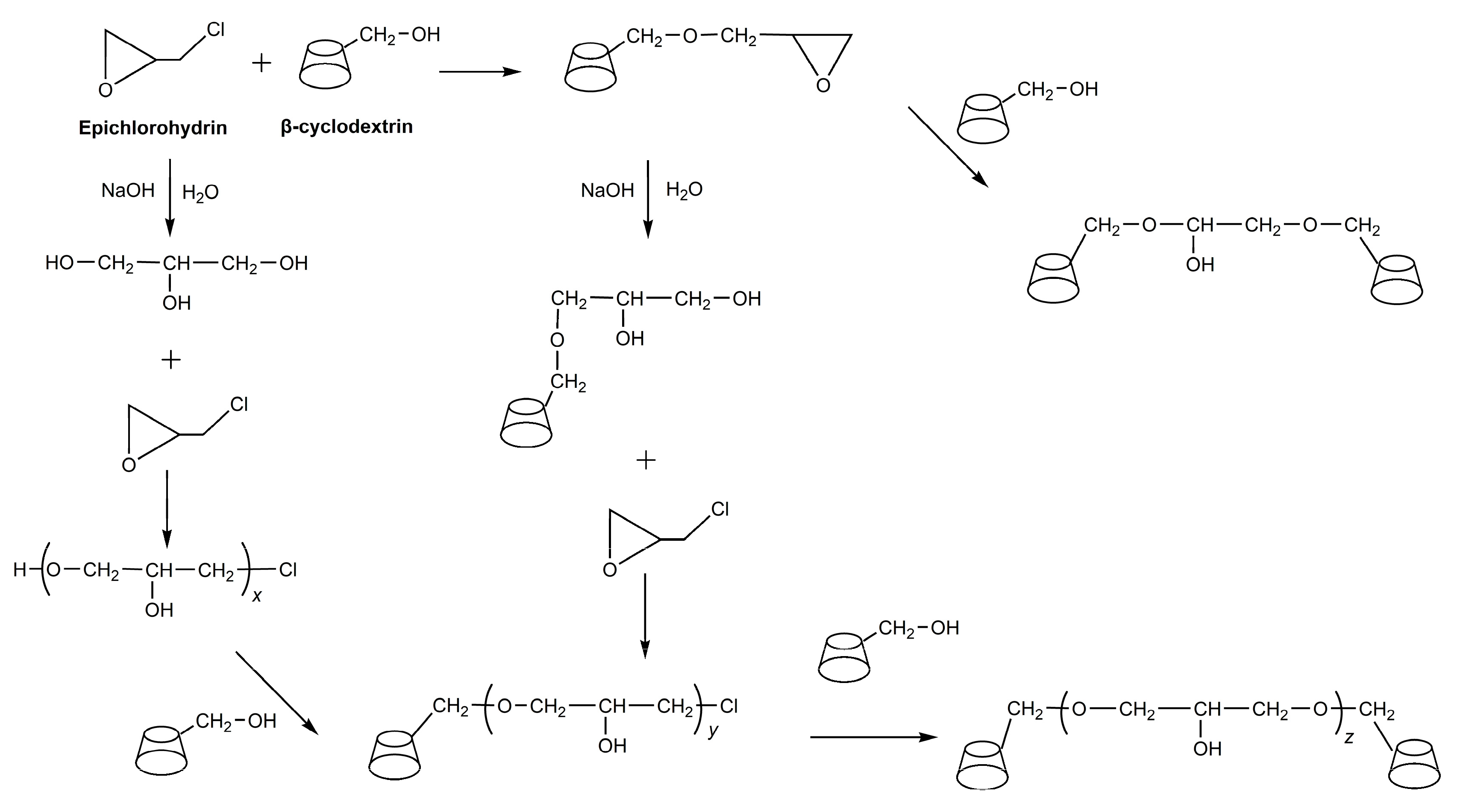
3.2. Synthesis of β-CDP
3.3. Evaluation of Solution Characteristics
3.4. Core Flooding Experiment
4. Conclusions
Supplementary Materials
Author Contributions
Funding
Institutional Review Board Statement
Informed Consent Statement
Data Availability Statement
Conflicts of Interest
References
- Afolabi, R.; Oluyemi, G.; Officer, S.; Ugwu, J. Hydrophobically associating polymers for enhanced oil recovery–Part A: A review on the effects of some key reservoir conditions. J. Petrol. Sci. Eng. 2019, 180, 681–698. [Google Scholar] [CrossRef]
- Taylor, K.; Nasr-El-Din, H. Hydrophobically Associating Polymers for Oil Field Applications. In Proceedings of the Canadian International Petroleum Conference, Calgary, AB, Canada, 12–14 June 2007. [Google Scholar] [CrossRef]
- Habib, S.H.; Yunus, R.; Zakaria, R.; Biak, D.R.A.; Jan, B.H.M.; Amir, Z. Chemical enhanced oil recovery: Synergetic mechanism of alkali, surfactant and polymer with overview of methyl ester sulfonate as a green alternative for EOR surfactant. Fuel 2024, 363, 130957. [Google Scholar] [CrossRef]
- Li, X.; Pu, X.; Wei, H. Enhanced oil recovery in fractured low-permeability reservoirs by a novel eel system prepared by sustained-release crosslinker and water-soluble thixotropic polymer. Geoenergy Sci. Eng. 2023, 222, 2–17. [Google Scholar] [CrossRef]
- Zhu, Y. Current developments and remaining challenges of chemical flooding EOR techniques in China. In Proceedings of the SPE Asia Pacific Enhanced Oil Recovery Conference, Kuala Lumpur, Malaysia, 11–13 August 2015. [Google Scholar] [CrossRef]
- Delamaide, E.; Tabary, R.; Rousseau, D. Chemical EOR in low permeability reservoirs. In Proceedings of the SPE EOR Conference at Oil and Gas West Asia, Muscat, Oman, 21–23 March 2014. [Google Scholar] [CrossRef]
- Lai, N.; Guo, X.; Zhou, N.; Xu, Q. Shear resistance properties of modified nano-SiO2/AA/AM copolymer oil displacement agent. Energies 2016, 9, 1037. [Google Scholar] [CrossRef]
- Lai, N.; Zhang, Y.; Zeng, F.; Wu, T.; Zhou, N.; Xu, Q.; Ye, Z. Effect of Degree of Branching on the Mechanism of Hyperbranched Polymer to Establish the Residual Resistance Factor in High-Permeability Porous Media. Energy Fuels 2016, 30, 5576–5584. [Google Scholar] [CrossRef]
- Wever, D.; Picchioni, F.; Broekhuis, A. Polymers for enhanced oil recovery: A paradigm for structure-property relationship in aqueous solution. Prog. Polym. Sci. 2011, 36, 1158–1628. [Google Scholar] [CrossRef]
- Feng, Y.; Billon, L.; Grassl, B.; Khoukh, A.; François, J. Hydrophobically associating polyacrylamides and their partially hydrolyzed derivatives prepared by post-modification 1. Synthesis and characterization. Polymer 2002, 43, 2055–2064. [Google Scholar] [CrossRef]
- Tang, W.; Zou, C.; Da, C.; Cao, Y.; Peng, H. A review on the recent development of cyclodextrin-based materials used in oilfield applications. Carbohyd. Polym. 2020, 240, 116321. [Google Scholar] [CrossRef]
- Pu, W.; Liu, R.; Wang, K.; Li, K.; Yan, Z.; Li, B.; Zhao, L. Water-soluble core-shell hyperbranched polymers for enhanced oil recovery. Ind. Eng. Chem. Res. 2015, 54, 798–807. [Google Scholar] [CrossRef]
- Pu, W.; Yang, Y.; Wei, B.; Yuan, C. Potential of a β-Cyclodextrin/Adamantane Modified Copolymer in Enhancing Oil Recovery through Host-Guest Interactions. Ind. Eng. Chem. Res. 2016, 55, 8679–8689. [Google Scholar] [CrossRef]
- Wei, B.; Lu, l.; Li, H.; Xue, Y. Novel wax-crystal modifier based on β-cyclodextrin: Synthesis, characterization and behavior in a highly waxy oil. J. Ind. Eng. Chem. 2016, 43, 86–92. [Google Scholar] [CrossRef]
- Weickenmeier, M.; Wenz, G.; Huff, J. Association thickener by host-guest interaction of a β-cyclodextrin polymer and a polymer with hydrophobic side-groups. Macromol. Rapid Comm. 1997, 18, 1117–1123. [Google Scholar] [CrossRef]
- Li, L.; Guo, X.; Wang, J.; Liu, P.; Prud’Homme, R.; May, B.; Lincoln, S. Polymer networks assembled by host-guest inclusion between adamantyl and β-cyclodextrin substituents on poly (acrylic acid) in aqueous solution. Macromolecules 2008, 41, 8677–8681. [Google Scholar] [CrossRef]
- Crini, G. Cyclodextrin–epichlorohydrin polymers synthesis, characterization and applications to wastewater treatment: A review. Environ. Chem. Lett. 2021, 19, 2383–2403. [Google Scholar] [CrossRef]
- Wilson, L.D.; Guo, R. Preparation and sorption studies of polyester microsphere copolymers containing β-cyclodextrin. J. Colloid Interface Sci. 2012, 387, 250–261. [Google Scholar] [CrossRef]
- Chauveteau, G. Rodlike Polymer Solution Flow through Fine Pores: Influence of Pore Size on Rheological Behavior. J. Rheol. 1982, 26, 111–142. [Google Scholar] [CrossRef]
- Sun, F.; Huang, Q.; Wu, J. Rheological behaviors of an exopolysaccharide from fermentation medium of a Cordyceps sinensis fungus (Cs-HK1). Carbohyd. Polym. 2014, 114, 506–513. [Google Scholar] [CrossRef]
- Ait-Kadi, A.; Carreau, P.; Chauveteau, G. Rheological Properties of Partially Hydrolyzed Polyacrylamide Solutions. J. Rheol. 1987, 31, 537–561. [Google Scholar] [CrossRef]
- Zhang, Y.; Feng, Y.; Li, B.; Han, P. Enhancing oil recovery from low-permeability reservoirs with a self-adaptive polymer: A proof-of-concept study. Fuel 2019, 251, 136–146. [Google Scholar] [CrossRef]
- Regalado, E.; Selb, J.; Candau, F. Viscoelastic behavior of semidilute solutions of multisticker polymer chains. Environ. Macromol. 1999, 32, 8580–8588. [Google Scholar] [CrossRef]
- Candau, F.; Selb, J. Hydrophobically-modified polyacrylamides prepared by micellar polymerization. Adv. Colloid. Interfac. 1999, 79, 149–172. [Google Scholar] [CrossRef]
- Volpert, E.; Selb, J.; Candau, F. Associating behaviour of polyacrylamides hydrophobically modified with dihexylacrylamide. Polymer 1998, 39, 1025–1033. [Google Scholar] [CrossRef]
- Kujawa, P.; Audibert-Hayet, A.; Selb, J.; Candau, F. Rheological properties of multisticker associative polyelectrolytes in semidilute aqueous solutions. J. Polym. Sci. Pol. Phys. 2004, 42, 1640–1655. [Google Scholar] [CrossRef]
- Peng, J.; Dong, R.; Ren, B.; Chang, X.; Tong, Z. Novel hydrophobically modified ethoxylated urethanes end-capped by percec-type alkyl substituted benzyl alcohol dendrons: Synthesis, characterization, and rheological behavior. Macromolecules 2014, 47, 5971–5981. [Google Scholar] [CrossRef]
- Beheshti, N.; Kjøniksen, A.; Zhu, K.; Knudsen, K.; Nyström, B. Viscosification in polymer-surfactant mixtures at low temperatures. J. Phys. Chem. B 2010, 114, 6273–6280. [Google Scholar] [CrossRef]
- Wu, D.; Cheng, J.; Su, X.; Feng, Y. Hydrophilic modification of methylcellulose to obtain thermoviscosifying polymers without macro-phase separation. Carbohyd. Polym. 2021, 260, 117792. [Google Scholar] [CrossRef]
- Liu, X.; Jiang, W.; Gou, S.; Ye, Z.; Feng, M.; Lai, N.; Liang, L. Synthesis and evaluation of novel water-soluble copolymers based on acrylamide and modular β-cyclodextrin. Carbohyd. Polym. 2013, 96, 47–56. [Google Scholar] [CrossRef]
- Wei, B. β-Cyclodextrin associated polymeric systems: Rheology, flow behavior in porous media and enhanced heavy oil recovery performance. Carbohyd. Polym. 2015, 134, 398–405. [Google Scholar] [CrossRef]
- Gogarty, W. Mobility Control with Polymer Solutions. Soc. Petrol. Eng. J. 1967, 7, 161–173. [Google Scholar] [CrossRef]
- Minko, S.; Müller, M.; Motornov, M.; Nitschke, M.; Grundke, K.; Stamm, M. Two-level structured self-adaptive surfaces with reversibly tunable properties. J. Am. Chem. Soc. 2003, 125, 3896–3900. [Google Scholar] [CrossRef]
- Dupuis, G.; Rousseau, D.; Tabary, R.; Grassi, B. Flow of hydrophobically modified water-soluble-polymer solutions in porous media: New experimental insights in the diluted regime. SPE J. 2011, 16, 43–54. [Google Scholar] [CrossRef]
- Dupuis, G.; Rousseau, D.; Tabary, R.; Grassl, B. Injectivity of hydrophobically modified water soluble polymers for IOR: Controlled resistance factors vs. flow-induced gelation. In Proceedings of the SPE International Symposium on Oilfield Chemistry, The Woodlands, TX, USA, 11–13 April 2011. [Google Scholar] [CrossRef]
- Reichenbach-Klinke, R.; Stavland, A.; Langlotz, B.; Wenzke, B.; Brodt, G. New insights into the mechanism of mobility reduction by associative type copolymers. In Proceedings of the SPE Enhanced Oil Recovery Conference, Kuala Lumpur, Malaysia, 23–25 July 2013. [Google Scholar] [CrossRef]
- Renard, E.; Barnathan, G.; Deratani, A.; Sebille, B. Characterization and Structure of Cyclodextrin -Epichlorohydrin Polymers—Effects of Synthesis Parameters. In Proceedings of the Eighth International Symposium on Cyclodextrins, Dordrecht, The Netherlands, 1 January 1996; pp. 115–120. [Google Scholar] [CrossRef]
- Renard, E.; Deratani, A.; Volet, G.; Sebille, B. Preparation and characterization of water soluble high molecular weight β-cyclodextrin-epichlorohydrin polymers. Eur. Polym. J. 1997, 33, 49–57. [Google Scholar] [CrossRef]









| Sample | η0 (mPa·s) | λS (s) | γc (s−1) | n |
|---|---|---|---|---|
| HPAM | 47.5 | 0.52 | 1.94 | 0.77 |
| HAP | 624.5 | 0.64 | 1.57 | 0.40 |
| β-CDP/HAP | 1513.9 | 0.81 | 1.24 | 0.35 |
| Core No. | Core Parameters | ||||
|---|---|---|---|---|---|
| Diameter | Length | Porosity (φ) | Permeability | Initial Oil Saturation | |
| (cm) | (cm) | (%) | (mD) | (%) | |
| 1 | 3.804 | 7.69 | 18.93 | 884 | - |
| 2 | 3.801 | 7.71 | 19.16 | 917 | - |
| 3 | 3.810 | 7.68 | 19.42 | 846 | - |
| 4 | 2.50 | 30.16 | 20.91 | 1338 | 75.2 |
| 5 | 2.50 | 30.16 | 20.09 | 1515 | 76.3 |
| 6 | 2.50 | 30.16 | 20.84 | 1427 | 73.9 |
Disclaimer/Publisher’s Note: The statements, opinions and data contained in all publications are solely those of the individual author(s) and contributor(s) and not of MDPI and/or the editor(s). MDPI and/or the editor(s) disclaim responsibility for any injury to people or property resulting from any ideas, methods, instructions or products referred to in the content. |
© 2024 by the authors. Licensee MDPI, Basel, Switzerland. This article is an open access article distributed under the terms and conditions of the Creative Commons Attribution (CC BY) license (https://creativecommons.org/licenses/by/4.0/).
Share and Cite
Li, X.; Ye, Z.; Luo, P. Performance Evaluation of Enhanced Oil Recovery by Host–Guest Interaction of β-Cyclodextrin Polymer/Hydrophobically Associative Polymer. Molecules 2025, 30, 109. https://doi.org/10.3390/molecules30010109
Li X, Ye Z, Luo P. Performance Evaluation of Enhanced Oil Recovery by Host–Guest Interaction of β-Cyclodextrin Polymer/Hydrophobically Associative Polymer. Molecules. 2025; 30(1):109. https://doi.org/10.3390/molecules30010109
Chicago/Turabian StyleLi, Xi, Zhongbing Ye, and Pingya Luo. 2025. "Performance Evaluation of Enhanced Oil Recovery by Host–Guest Interaction of β-Cyclodextrin Polymer/Hydrophobically Associative Polymer" Molecules 30, no. 1: 109. https://doi.org/10.3390/molecules30010109
APA StyleLi, X., Ye, Z., & Luo, P. (2025). Performance Evaluation of Enhanced Oil Recovery by Host–Guest Interaction of β-Cyclodextrin Polymer/Hydrophobically Associative Polymer. Molecules, 30(1), 109. https://doi.org/10.3390/molecules30010109

