Investigation of Spectroscopic Parameters and Trap Parameters of Eu3+-Activated Y2SiO5 Phosphors for Display and Dosimetry Applications
Abstract
1. Introduction
2. Experimental Section
3. Results and Discussions
3.1. XRD Analysis of Y2SiO5: Eu3+
3.2. FTIR Analysis of Y2SiO5: Eu3+
3.3. SEM and EDX Analysis of Y2SiO5: Eu3+
3.4. Photoluminescence Study of Y2SiO5: Eu3+
3.5. (CIE) Coordinates
3.6. (CIE) Coordinates Y2SiO5: Eu3+
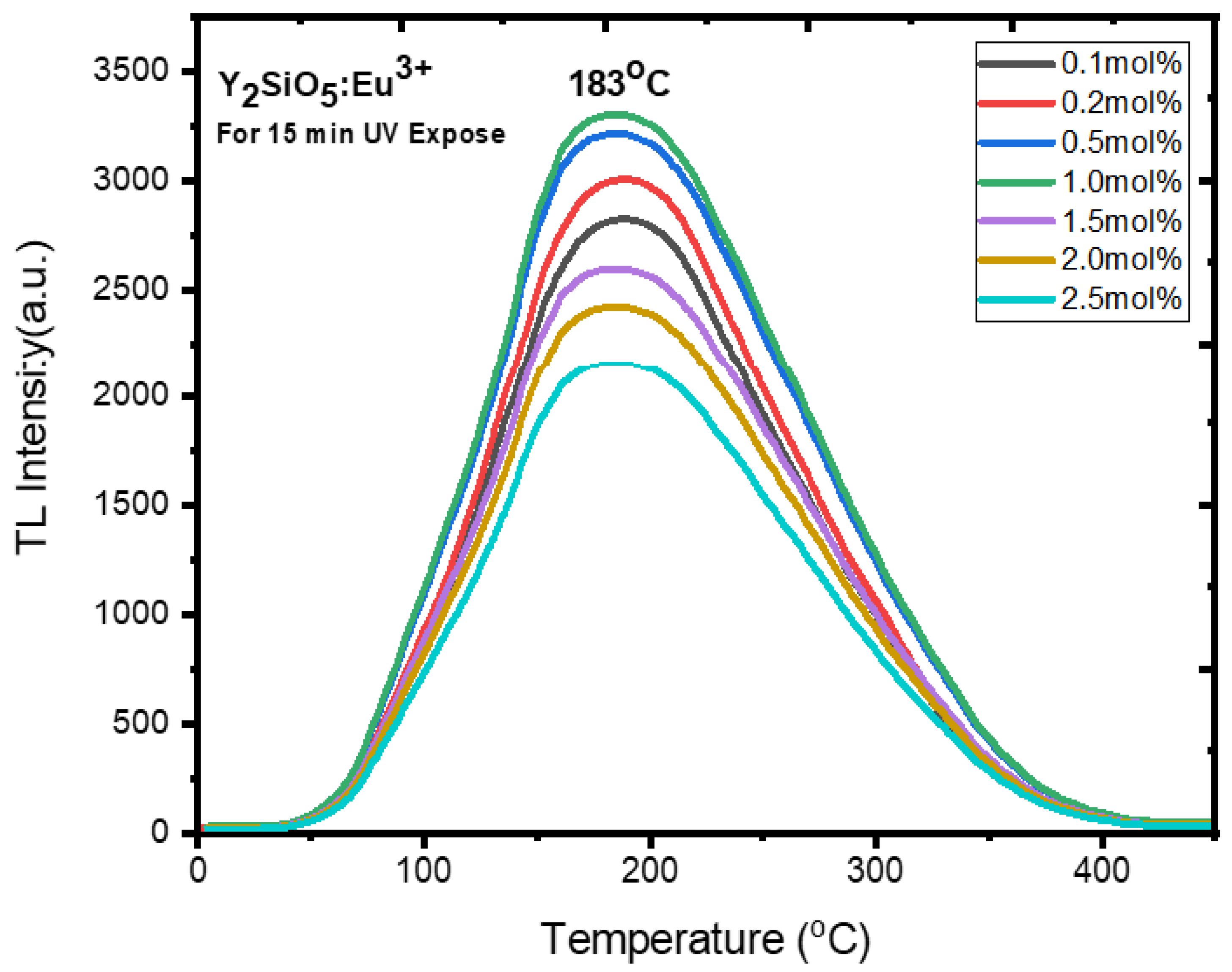
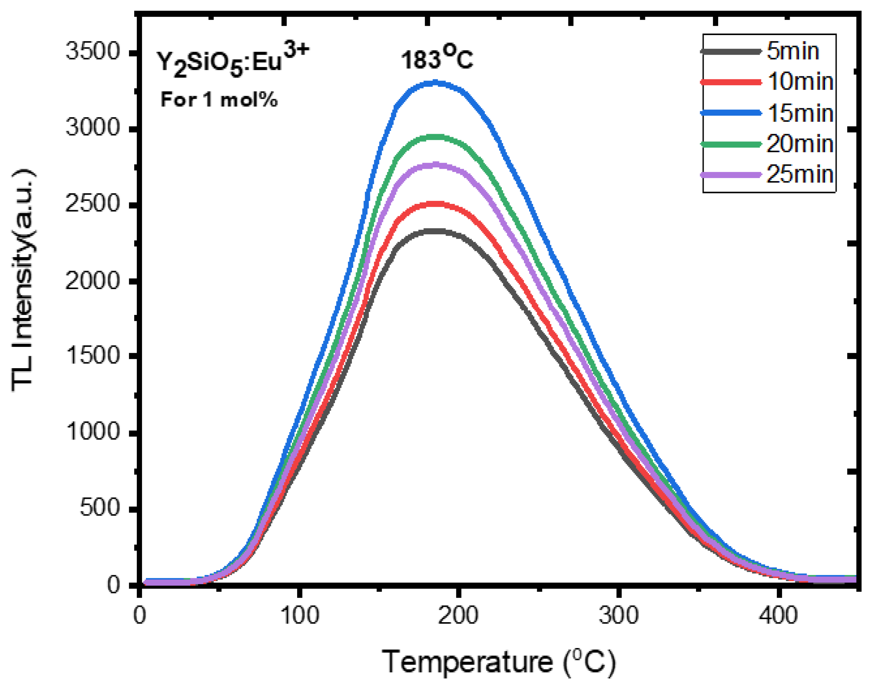
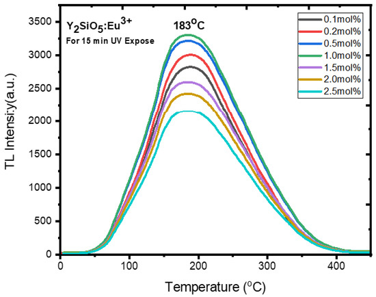
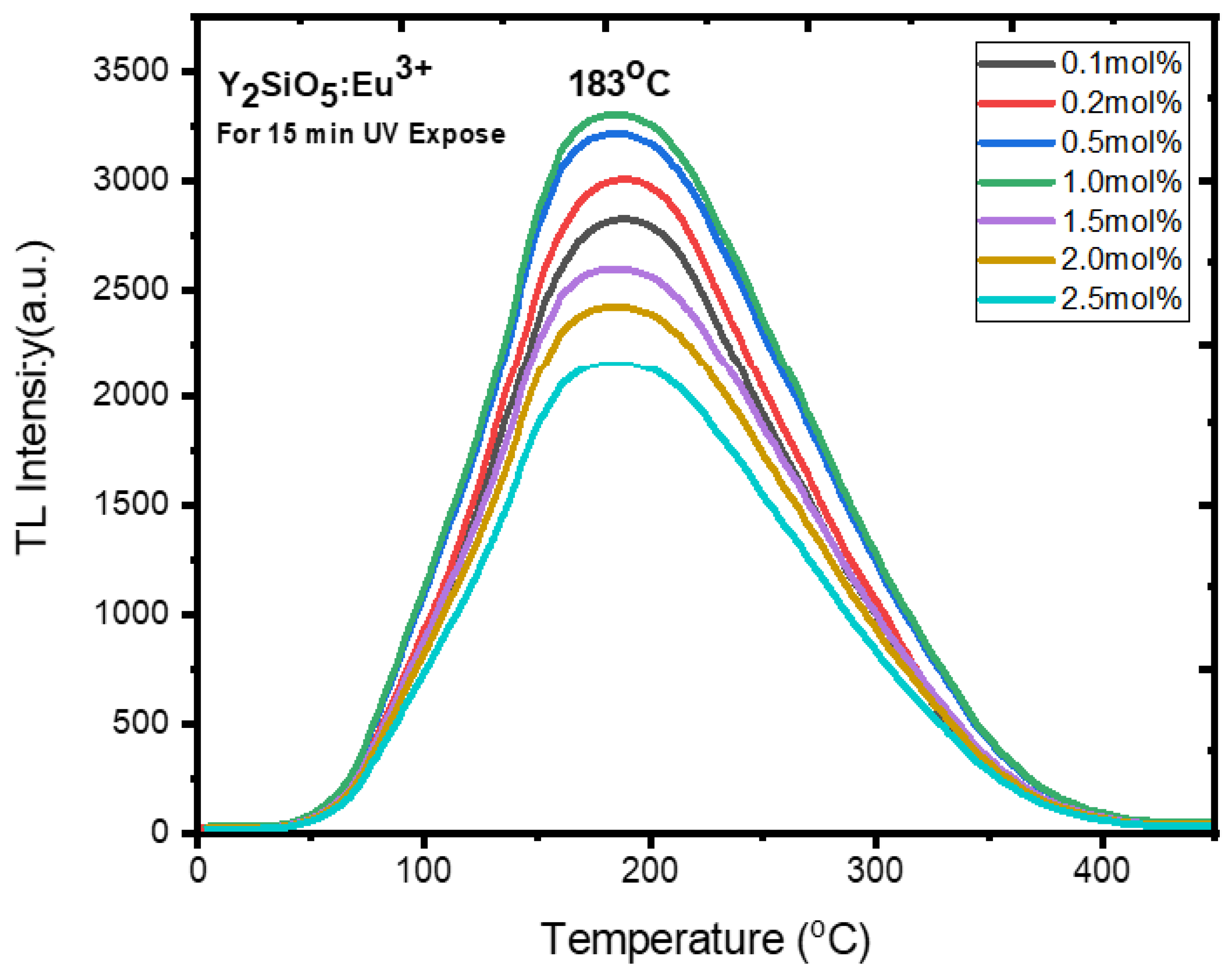
3.7. Thermoluminescence Study of Y2SiO5: Eu3+
3.8. Kinetic Parameter Calculation
3.9. Kinetic Parameter Calculation of Y2SiO5: Eu3+
4. Conclusions
Author Contributions
Funding
Institutional Review Board Statement
Informed Consent Statement
Data Availability Statement
Conflicts of Interest
References
- Saraf, R.; Shivakumara, C.; Dhananjaya, N.; Behera, S.; Nagabhushana, H.J. Photoluminescence properties of Eu3+-activated CaMoO4 phosphors for WLEDs applications and its Judd–Ofelt analysis. Mater. Sci. 2015, 50, 287. [Google Scholar] [CrossRef]
- Zhou, H.P.; Jin, Y.; Jiang, M.S.; Wang, Q.P.; Jiang, X.X. A single-phased tunable emission phosphor MgY2Si3O10: Eu3+, Bi3+ with efficient energy transfer for white LEDs. Dalton Trans. 2015, 44, 1102. [Google Scholar] [CrossRef]
- Fernandez-Carrion, A.J.; Ocana, M.; Garcia-Sevillano, J.; Cantelar, E.; Becerro, A.I. New single-phase, white-light-emitting phosphors based on δ-Gd2Si2O7 for solid-state lighting. J. Phys. Chem. C 2014, 118, 18035. [Google Scholar] [CrossRef]
- Streit, H.C.; Kramer, J.; Suta, M.; Wickleder, C. Red, green, and blue photoluminescence of Ba2SiO4: M (M = Eu3+, Eu2+, Sr2+) nanophosphors. Materials 2013, 6, 3079. [Google Scholar] [CrossRef]
- Xie, M.B.; Li, Y.B.; Li, L. Na2CaSiO4: Eu3+-deep red-emitting phosphors with intense 5D0→ 7F4 transition. J. Lumin. 2013, 136, 303. [Google Scholar] [CrossRef]
- Shmulovich, J.; Berkstresser, G.W.; Brandle, C.D.; Valentino, A.J. Single-crystal rare-earth-doped yttrium orthosilicate phosphors. Electrochem. Soc. 1998, 135, 3141. [Google Scholar] [CrossRef]
- Ricci, P.C.; Carbonaro, C.M.; Corpino, R.; Cannas, C.; Salis, M.J. Optical and structural characterization of terbium-doped Y2SiO5 phosphor particles. Phys. Chem. C 2011, 115, 16630. [Google Scholar] [CrossRef]
- Guo, L.N.; Wang, Y.H.; Zhang, J.; Dong, P.Y. Bright white up-conversion emission from Ho3+/Yb3+/Tm3+ tri-doped Y2SiO5 phosphors. J. Electrochem. Soc. 2011, 158, J225. [Google Scholar] [CrossRef]
- Fan, D.Y.; Yang, S.; Wang, J.Q.; Zheng, A.; Song, X.P.; Yu, D.M. Synthesis and cathodoluminescent properties of Y2SiO5: Tb3+ phosphors prepared from uniform precursor. J. Lumin. 2012, 132, 1122. [Google Scholar] [CrossRef]
- Zhang, H.; Liu, X.Y.; Zhao, F.Y.; Zhang, L.H.; Zhang, Y.F.; Guo, H. Efficient visible to near-infrared energy transfer in Ce3+–Yb3+ co-doped Y2SiO5 phosphors. Opt. Mater. 2012, 34, 1034. [Google Scholar] [CrossRef]
- Zhu, G.; Ci, Z.P.; Wang, Q.; Wen, Y.; Han, S.C.; Shi, Y.R.; Xin, S.Y.; Wang, Y.H. A new type of color tunable composite phosphor Y2SiO5:Ce/Y3Al5O12:Ce for field emission displays. J. Mater. Chem. C 2013, 1, 4490. [Google Scholar] [CrossRef]
- Zhang, Y.; Dong, Y.; Xu, J.; Wei, B. Ge4+, Eu3+-codoped Y2SiO5 as a novel red phosphor for white LED applications. Phys. Status Solidi (A) 2017, 214, 1600731. [Google Scholar] [CrossRef]
- Parganiha, Y.; Kaur, J.; Dubey, V.; Chandrakar, D. Synthesis, characterization, thermoluminescence and optical studies of Eu3+ doped Y2SiO5 phosphor. Superlattices Microstruct. 2015, 77, 152–161. [Google Scholar] [CrossRef]
- Parganiha, Y.; Kaur, J.; Dubey, V.; Murthy, K.V.R. Near UV–blue emission from Ce doped Y2SiO5 phosphor. Mater. Sci. Semicond. Process. 2015, 31, 715–719. [Google Scholar] [CrossRef]
- Kang, F.; Zhang, Y.; Peng, M. Controlling the energy transfer via multi luminescent centers to achieve white light/tunable emissions in a single-phased X2-type Y2SiO5: Eu3+, Bi3+ phosphor for ultraviolet converted LEDs. Inorg. Chem. 2015, 54, 1462–1473. [Google Scholar] [CrossRef]
- Upadhyay, K.; Thomas, S.; Tamrakar, R.K. Photoluminescence Properties of Y2SiO5 Doped with Eu3+ Phosphor. Braz. J. Phys. 2023, 53, 87. [Google Scholar] [CrossRef]
- Zhang, Q.Y.; Pita, K.; Buddhudu, S.; Kam, C.H. Luminescent properties of rare-earth ion doped yttrium silicate thin film phosphors for a full-colour display. J. Phys. D Appl. Phys. 2002, 35, 3085. [Google Scholar] [CrossRef]
- Salim, M.A.; Hussin, R.; Abdullah, M.S.; Abdullah, S.; Alias, N.S.; Fuzi, S.A.A.; Yusuf, M.N.M.; Mahbor, K.M. The local structure of phosphor material, Sr2MgSi2O7 and Sr2MgSi2O7: Eu2+ by infrared spectroscopy. Solid State Sci. Technol. 2009, 17, 59–64. [Google Scholar]
- Priya, R.; Kaur, S.; Sharma, U.; Pandey, O.P.; Dhoble, S.J. A review on recent progress in rare earth and transition metals activated SrY2O4 phosphors. J. Mater. Sci. Mater. Electron. 2020, 31, 13011–13027. [Google Scholar] [CrossRef]
- Ghorpade, S.P.; Krishna, R.H.; Melavanki, R.M.; Dubey, V.; Patil, N.R. Effect of Eu3+ on optical and energy bandgap of SrY2O4 nanophosphors for FED applications. Optik 2020, 208, 164533. [Google Scholar] [CrossRef]
- Taikar, D.R. Synthesis and luminescence property of SrY2O4: M (M = Eu3+, Tb3+, Sm3+ Tb3+, Sm3+, Ce3+, Bi3+) phosphors. J. Lumin. 2018, 204, 24–29. [Google Scholar] [CrossRef]
- Chen, J.; Wang, J.; Zhang, F.; Yan, D.; Zhang, G.; Zhuo, R.; Yan, P. Structure and photoluminescence property of Eu-doped SnO2 nanocrystalline powders fabricated by sol–gel calcination process. J. Phys. D. Appl. Phys. 2008, 41, 105306. [Google Scholar] [CrossRef]
- Dubey, V.; Kaur, J.; Agrawal, S. Effect of europium doping levels on photoluminescence and thermoluminescence of strontium yttrium oxide phosphor. Mater. Sci. Sem. Proc. 2015, 31, 27–37. [Google Scholar] [CrossRef]
- Song, H.J.; Zhou, L.Q.; Huang, Y.; Li, L.; Wang, T.; Yang, L. Synthesis, characterization and luminescent properties of La2Zr2O7: Eu3+ nanorods. Chin. J. Chem. Phys. 2013, 26, 83. [Google Scholar] [CrossRef]
- Chen, R. Glow curves with general order kinetics. J. Electrochem. Soc. 1969, 116, 1254. [Google Scholar] [CrossRef]
- Doredrajit, S.; Ingotombi, S. Thermoluminescence glow curve of gamma-irradiated calcite. J. Phys. D Appl. Phys. 1995, 28, 1509. [Google Scholar]
- Krish, Y.; Townsend, P.D.; Soval, S. Local transitions and charge transport in thermoluminescence of calcite. Nucl. Tracks Radiat. Meas. 1987, 13, 115. [Google Scholar] [CrossRef]
- Nambi, K.S.V.; Mitra, S. Thermoluminescence investigations of natural calcite crystals of differing genesis. Thermochim. Acta 1978, 27, 61. [Google Scholar] [CrossRef]
- Gartia, R.K.; Singh, S.J.; Mazumdar, P.S. Determination of the Activation Energy of Thermally Stimulated Lumincscence Peaks Obeying General-Order Kinetics. Phys. Status Solidi A 1989, 114, 407. [Google Scholar] [CrossRef]
- McKeever, S.W.S. Thermoluminescence of Solids; Cambridge University Press: Cambridge, UK, 1985; 390p. [Google Scholar]
- Martini, M.; Meinardi, F. Thermally stimulated luminescence: New Perspectives in the study of defects in solids. La Rivista del Nuovo Cimento 1997, 20–24, 1–71. [Google Scholar] [CrossRef]
- Chen, R.; McKeever, S.W.S. Theory of Thermoluminescence and Related Phenomenon; World Scientific: Singapore; Hackensack, NJ, USA; London, UK; Hong Kong, China, 1997; 559p. [Google Scholar]
- McKeever, S.W.S.; Moscovitch, M.; Townsend, P.D. Thermoluminescence Dosimetry Materials: Properties and Uses; Nuclear Technology Publishing: Ashford, UK, 1995; 221p. [Google Scholar]
- Martini, M.; Paravisi, S.; Liguori, C. A new high sensitivity spectrometer for 3D-thermoluminescence analysis. Radiat. Prot. Dosim. 1996, 66, 47–51. [Google Scholar] [CrossRef]
- Dubey, V.; Kaur, J.; Suryanarayana, N.S. Compare study of TL for lime stone powder and crystal irradiated by UV exposure. Int. J. Ind. Eng. Technol. 2010, 2, 383–386. [Google Scholar]
- Dubey, V.; Suryanarayana, N.S.; Kaur, J.J. Kinetics of TL glow peak of limestone from Patharia of CG Basin (India). Miner. Mater. Charac. Engin. 2010, 9, 1101–1111. [Google Scholar] [CrossRef]
- Shrivastava, R.; Kaur, J.; Dubey, V.; Jaykumar, B. Photoluminescence, trap states and thermoluminescence decay process study of Ca2MgSi2O7:Eu2+, Dy3+ phosphor. Bull. Mater. Sci. 2014, 37, 925–929. [Google Scholar] [CrossRef]
- Shrivastava, R.; Kaur, J.; Dubey, V.; Suryanarayana, N.S.; Jaykumar, B. Kinetics and TL glow curve study of europium-activated strontium aluminate. Res. Chem. Intermed. 2014, 40, 487–493. [Google Scholar] [CrossRef]
- Dubey, V.; Kaur, J.; Suryanarayana, N.S.; Murthy, K.V. Thermoluminescence study, including the effect of heating rate, and chemical characterization of Amarnath stone collected from Amarnath Holy Cave. Res. Chem. Intermed. 2015, 40, 531–536. [Google Scholar] [CrossRef]
- Kaur, J.; Dubey, V.; Suryanarayana, N.S. Comparative study of ML and PL spectra of different impurity-doped (Zn, Cd)S mixed phosphors. Res. Chem. Intermed. 2013, 39, 4337–4349. [Google Scholar] [CrossRef]
- Tamrakar, R.; Dubey, V.; Swamy, N.K.; Tiwari, R.; Pammi, S.V. Thermoluminescence studies of UV-irradiated Y2O3:Eu3+ doped phosphor. Res. Chem. Intermed. 2013, 39, 3919–3923. [Google Scholar] [CrossRef]
- Dubey, V.; Kaur, J.; Suryanarayana, N.S.; Murthy, K.V. Thermoluminescence and chemical characterization of natural calcite collected from Kodwa mines. Res. Chem. Intermed. 2013, 39, 3689–3697. [Google Scholar] [CrossRef]
- Dubey, V. Thermoluminescence Study of Semaria Limestone of C.G.Basin; Lap Lambert Academic Publishing: London, UK, 2012; ISBN 978-3-8473-4210-6. [Google Scholar]
- Chung, K.S.; Choe, H.S.; Lee, J.I.; Chang, S.Y. A computer program for the deconvolution of thermoluminescence glow curves. Radat. Prot. Dosim. 2005, 115, 136–143. [Google Scholar] [CrossRef]
- Som, S.; Choedhury, M.; Sharma, S.K. Kinetic parameters of γ-irradiated Y2O3 phosphors: Effect of doping/codoping and heating rate. Radat. Phys. Chem. 2015, 110, 51–58. [Google Scholar] [CrossRef]













| Peak Position (2 theta) | FWHM | Crystallite Size D (nm) | Average Size D (nm) |
|---|---|---|---|
| 23.33 | 0.202 | 40.201 | 30.824 |
| 29.667 | 0.163 | 50.388 | |
| 31.125 | 6.108 | 1.350 | |
| 41.661 | 0.512 | 16.606 | |
| 49.021 | 0.152 | 57.279 | |
| 53.018 | 1.360 | 6.25 | |
| 58.088 | 0.209 | 43.423 |
| Element | Line Type | wt% | Atomic% |
|---|---|---|---|
| O | K series | 30.18 | 65.7 |
| Si | K series | 8.55 | 10.6 |
| Y | L series | 59.47 | 23.3 |
| Eu | L series | 1.81 | 0.4 |
| Total | 100 | 100 |
| T1 (K) | Tm (K) | T2 (K) | t | d | w | m = d/w | Activation Energy E (eV) | Frequency Factor s (s−1) |
|---|---|---|---|---|---|---|---|---|
| 360 | 380 | 394 | 20 | 14 | 34 | 0.41 | 0.86 | 2.76 × 109 |
| 283 | 419 | 447 | 36 | 28 | 64 | 0.43 | 0.54 | 2.22 × 109 |
| 399 | 441 | 475 | 42 | 34 | 76 | 0.44 | 0.50 | 3.39 × 109 |
| 452 | 492 | 523 | 40 | 31 | 71 | 0.43 | 0.68 | 4.21 × 109 |
| 482 | 544 | 595 | 62 | 51 | 113 | 0.45 | 0.5 | 6.21 × 109 |
Disclaimer/Publisher’s Note: The statements, opinions and data contained in all publications are solely those of the individual author(s) and contributor(s) and not of MDPI and/or the editor(s). MDPI and/or the editor(s) disclaim responsibility for any injury to people or property resulting from any ideas, methods, instructions or products referred to in the content. |
© 2024 by the authors. Licensee MDPI, Basel, Switzerland. This article is an open access article distributed under the terms and conditions of the Creative Commons Attribution (CC BY) license (https://creativecommons.org/licenses/by/4.0/).
Share and Cite
Verma, N.; Michalska-Domańska, M.; Dubey, V.; Ram, T.; Kaur, J.; Dubey, N.; Aman, S.; Manners, O.; Saji, J. Investigation of Spectroscopic Parameters and Trap Parameters of Eu3+-Activated Y2SiO5 Phosphors for Display and Dosimetry Applications. Molecules 2025, 30, 108. https://doi.org/10.3390/molecules30010108
Verma N, Michalska-Domańska M, Dubey V, Ram T, Kaur J, Dubey N, Aman S, Manners O, Saji J. Investigation of Spectroscopic Parameters and Trap Parameters of Eu3+-Activated Y2SiO5 Phosphors for Display and Dosimetry Applications. Molecules. 2025; 30(1):108. https://doi.org/10.3390/molecules30010108
Chicago/Turabian StyleVerma, Neeraj, Marta Michalska-Domańska, Vikas Dubey, Tirath Ram, Jagjeet Kaur, Neha Dubey, Shireen Aman, Ovica Manners, and Janita Saji. 2025. "Investigation of Spectroscopic Parameters and Trap Parameters of Eu3+-Activated Y2SiO5 Phosphors for Display and Dosimetry Applications" Molecules 30, no. 1: 108. https://doi.org/10.3390/molecules30010108
APA StyleVerma, N., Michalska-Domańska, M., Dubey, V., Ram, T., Kaur, J., Dubey, N., Aman, S., Manners, O., & Saji, J. (2025). Investigation of Spectroscopic Parameters and Trap Parameters of Eu3+-Activated Y2SiO5 Phosphors for Display and Dosimetry Applications. Molecules, 30(1), 108. https://doi.org/10.3390/molecules30010108

