Phytochemistry and Pharmacology of Sesquiterpenoids from Atractylodes DC. Genus Rhizomes
Abstract
1. Introduction
2. Methodology
3. Phytochemical Constituents
3.1. Eudesmane-Type Sesquiterpenes
| NO. | Compounds | Structure | Source | Collection Area | Year |
|---|---|---|---|---|---|
| 1 | Atractylenolide I | ![]() | A. macrocephala [32], A. lancea [33] | China (Yuqian town, Zhejiang province); China (Heilongjiang province) | 2017, 2010 |
| 2 | Atractylenolide II | ![]() | A. macrocephala [32], A. lancea [34] | China (Yuqian town, Zhejiang province); Germany (Hospital for Traditional Chinese Medicine, Kötzting) | 2017, 1998 |
| 3 | Atractylenolide III/codonolactone | ![]() | A. macrocephala [32], A. lancea [35] | China (Yuqian town, Zhejiang province); Japan (Kampo Research Laboratories, Kracie Pharma, Ltd., Takaoka) | 2017, 2016 |
| 4 | Atractylenolide IV | ![]() | A. macrocephala [39], A. lancea [36] | China (Pan’an county, Zhejiang province); China (Maoshan mountain of Jiangsu province) | 2014, 2008 |
| 5 | Atractylenolide V | ![]() | A. macrocephala [38] | Korea (Ulsan-si Market) | 2016 |
| 6 | Atractylenolide VI | ![]() | A. macrocephala [40] | – | 2005 |
| 7 | Atractylenolide VII | ![]() | A. macrocephala [40] | – | 2005 |
| 8 | Biatractylenolide II | ![]() | A. macrocephala [41] | China (Qimen county, Anhui province) | 2017 |
| 9 | (1S,5R,10S)-atractylmacrene C | ![]() | A. macrocephala [18] | China (Bozhou Medicinal Materials Market) | 2021 |
| 10 | (1R,5S,10R)-atractylmacrene C | ![]() | A. macrocephala [18] | China (Bozhou Medicinal Materials Market) | 2021 |
| 11 | 4R,5R,8S,9S-diepoxyatractylenolide II | ![]() | A. macrocephala [18] | China (Bozhou Medicinal Materials Market) | 2021 |
| 12 | 4-oxo-8S,9S-epoxylatractylenolide II | ![]() | A. macrocephala [18] | China (Bozhou Medicinal Materials Market) | 2021 |
| 13 | 8S,9S-epoxylatractylenolide II | ![]() | A. macrocephala [18] | China (Bozhou Medicinal Materials Market) | 2021 |
| 14 | Eudesm-4(15),7-diene-3α,9β,11-triol | ![]() | A. macrocephala [42] | Vietnam (Quan ba city, Ha Giang province) | 2023 |
| 15 | Eudesm-4(15),7-diene-1β,3α,9β,11-tetraol | ![]() | A. macrocephala [42] | Vietnam (Quan ba city, Ha Giang province) | 2023 |
| 16 | (7Z)-8β,13-diacetoxy-eudesma-4(15),7(11)-diene | ![]() | A. macrocephala [43] | China (Jiaozuo city, Henan province) | 2022 |
| 17 | 7-oxo-7,8-secoeudesma-4(15),11-dien-8-oic acid | ![]() | A. macrocephala [43] | China (Jiaozuo city, Henan province) | 2022 |
| 18 | Atramacronoid A | ![]() | A. macrocephala [44] | China (Bozhou Medicinal Materials Market) | 2023 |
| 19 | Atramacronoid B | ![]() | A. macrocephala [44] | China (Bozhou Medicinal Materials Market) | 2023 |
| 20 | Atramacronoid C | ![]() | A. macrocephala [44] | China (Bozhou Medicinal Materials Market) | 2023 |
| 21 | Atramacronoid D | ![]() | A. macrocephala [45] | China (Bozhou Medicinal Materials Market) | 2023 |
| 22 | Atramacronoid E | ![]() | A. macrocephala [45] | China (Bozhou Medicinal Materials Market) | 2023 |
| 23 | Atramacronoid F | ![]() | A. macrocephala [45] | China (Bozhou Medicinal Materials Market) | 2023 |
| 24 | Atramacronoid G | ![]() | A. macrocephala [45] | China (Bozhou Medicinal Materials Market) | 2023 |
| 25 | Atramacronoid H | ![]() | A. macrocephala [45] | China (Bozhou Medicinal Materials Market) | 2023 |
| 26 | Atramacronoid I | ![]() | A. macrocephala [45] | China (Bozhou Medicinal Materials Market) | 2023 |
| 27 | Atramacronoid J | ![]() | A. macrocephala [45] | China (Bozhou Medicinal Materials Market) | 2023 |
| 28 | Atramacronoid K | ![]() | A. macrocephala [45] | China (Bozhou Medicinal Materials Market) | 2023 |
| 29 | Atramacronoid L | ![]() | A. macrocephala [45] | China (Bozhou Medicinal Materials Market) | 2023 |
| 30 | Atramacronoid M | ![]() | A. macrocephala [45] | China (Bozhou Medicinal Materials Market) | 2023 |
| 31 | Atramacronoid N | ![]() | A. macrocephala [45] | China (Bozhou Medicinal Materials Market) | 2023 |
| 32 | Atramacronoid O | ![]() | A. macrocephala [45] | China (Bozhou Medicinal Materials Market) | 2023 |
| 33 | Atramacronoid P | ![]() | A. macrocephala [45] | China (Bozhou Medicinal Materials Market) | 2023 |
| 34 | Atramacronoid Q | ![]() | A. macrocephala [45] | China (Bozhou Medicinal Materials Market) | 2023 |
| 35 | Atramacronoid R | ![]() | A. macrocephala [45] | China (Bozhou Medicinal Materials Market) | 2023 |
| 36 | Atramacronoid S | ![]() | A. macrocephala [46] | China (Bozhou Medicinal Materials Market) | 2023 |
| 37 | Atramacronoid T | ![]() | A. macrocephala [46] | China (Bozhou Medicinal Materials Market) | 2023 |
| 38 | Atramacronoid U | ![]() | A. macrocephala [46] | China (Bozhou Medicinal Materials Market) | 2023 |
| 39 | Atramacronoid V | ![]() | A. macrocephala [46] | China (Bozhou Medicinal Materials Market) | 2023 |
| 40 | Atramacronoid W | ![]() | A. macrocephala [46] | China (Bozhou Medicinal Materials Market) | 2023 |
| 41 | Atrchiterpene A | ![]() | A. lancea [47] | China (Heilongjiang province) | 2022 |
| 42 | Atrchiterpene B | ![]() | A. lancea [47] | China (Heilongjiang province) | 2022 |
| 43 | Atrchiterpene C | ![]() | A. lancea [47] | China (Heilongjiang province) | 2022 |
| 44 | 4(15)-eudesmene-1β,7,11-triol | ![]() | A. lancea [47] | China (Heilongjiang province) | 2022 |
| 45 | 3-eudesmene-1β,7,11-triol | ![]() | A. lancea [47] | China (Heilongjiang province) | 2022 |
| 46 | Eudesmane-4α,11,15-triol | ![]() | A. lancea [39] | China (Heilongjiang province) | 2022 |
| 47 | (4α,7β,9α)-farfugane-4,9,11-triol | ![]() | A. lancea [47] | China (Heilongjiang province) | 2022 |
| 48 | (4α,7α,9α)-farfugane-4,9,11-triol | ![]() | A. lancea [47] | China (Heilongjiang province) | 2022 |
| 49 | (1β,4α,6β)-gorgonane-1β,4α,11-triol | ![]() | A. lancea [47] | China (Heilongjiang province) | 2022 |
| 50 | 3α-hydroxy pterocarpol | ![]() | A. lancea [48] | Japan (Tokyo city, Kinokuniyakanyakkyoku. Co., Ltd.) | 2015 |
| 51 | (11R)-2,11,12-trihydroxy-β-selinene | ![]() | A. lancea [48] | Japan (Tokyo city, Kinokuniyakanyakkyoku. Co., Ltd.) | 2015 |
| 52 | Pterocarpol | ![]() | A. lancea [48] | Japan (Tokyo city, Kinokuniyakanyakkyoku. Co., Ltd.) | 2015 |
| 53 | Kudtdiol | ![]() | A. lancea [48] | Japan (Tokyo city, Kinokuniyakanyakkyoku. Co., Ltd.) | 2015 |
| 54 | (11S)-2,11,13-trihydroxy-β-selinene | ![]() | A. lancea [48] | Japan (Tokyo city, Kinokuniyakanyakkyoku. Co., Ltd.) | 2015 |
| 55 | β-Eudesmol | ![]() | A. macrocephala [50], A. lancea [49] | China (Qimen city); China (Anguo Chinese Herbs Market, Hebei province) | 2021, 2011 |
| 56 | (1R,7R,10R)-1-hydroxylcarissone-11-O-β-d-glucopyranoside | ![]() | A. lancea [53] | China (Huanggang city, Hubei province) | 2018 |
| 57 | Atractylmacrol B | ![]() | A. macrocephala [54] | China (Juhuacun Chinese Traditional Medicine Market, Kunming city, Yunnan province) | 2018 |
| 58 | Atractylmacrol C | ![]() | A. macrocephala [54] | China (Juhuacun Chinese Traditional Medicine Market, Kunming city, Yunnan province) | 2018 |
| 59 | Atractylmacrol D | ![]() | A. macrocephala [54] | China (Juhuacun Chinese Traditional Medicine Market, Kunming city, Yunnan province) | 2018 |
| 60 | Atractylmacrol E | ![]() | A. macrocephala [54] | China (Juhuacun Chinese Traditional Medicine Market, Kunming city, Yunnan province) | 2018 |
| 61 | 8β-methoxy-atractylenolide I | ![]() | A. macrocephala [54] | China (Juhuacun Chinese Traditional Medicine Market, Kunming city, Yunnan province) | 2018 |
| 62 | (3S)-3-hydroxyatractylenolide III 3-O-β-d-glucopyranoside | ![]() | A. lancea [55] | Japan (Tokyo city, Metropolitan Medical Plants Garden) | 2003 |
| 63 | Atractyloside C | ![]() | A. lancea [56] | Japan (Tokyo city, Metropolitan Medical Plants Garden) | 1989 |
| 64 | Atractyloside D | ![]() | A. lancea [56] | Japan (Tokyo city, Metropolitan Medical Plants Garden) | 1989 |
| 65 | Atractyloside E | ![]() | A. lancea [56] | Japan (Tokyo city, Metropolitan Medical Plants Garden) | 1989 |
| 66 | Atractyloside F | ![]() | A. lancea [56] | Japan (Tokyo city, Metropolitan Medical Plants Garden) | 1989 |
| 67 | Atractyloside G | ![]() | A. lancea [56] | Japan (Tokyo city, Metropolitan Medical Plants Garden) | 1989 |
| 68 | Atractyloside H | ![]() | A. lancea [56] | Japan (Tokyo city, Metropolitan Medical Plants Garden) | 1989 |
| 69 | Atractyloside G 2-O-β-d-glucopyranoside | ![]() | A. lancea [56] | Japan (Tokyo city, Metropolitan Medical Plants Garden) | 1989 |
| 70 | (2S,7R,10S)-3-hydroxylcarissone-11-O-β-d-glucopyranoside | ![]() | A. lancea [57] | China (Huanggang city, Hubei province) | 2016 |
| 71 | (2R,7R,10S)-3-hydroxylcarissone-11-O-β-d-glucopyranoside | ![]() | A. lancea [57] | China (Huanggang city, Hubei province) | 2016 |
| 72 | Eudesm-4(15)-ene-7α,11-diol | ![]() | A. lancea [58] | China (Lanzhou city, Gansu province) | 2008 |
| 73 | (5R,10S)-Eudesm-4(15),7-diene-11-ol-9-one | ![]() | A. lancea [58] | China (Lanzhou city, Gansu province) | 2008 |
| 74 | Eudesm-4(15),7(11)-diene-9α,11-diol | ![]() | A. macrocephala [37], A. lancea [58] | China (Hangzhou city, Zhejiang province); China (Lanzhou city, Gansu province) | 2011, 2008 |
| 75 | Atractylenolactam A | ![]() | A. macrocephala [59] | China (Jiaozuo city, Henan province) | 2022 |
| 76 | Atractylenolactam B | ![]() | A. macrocephala [59] | China (Jiaozuo city, Henan province) | 2022 |
| 77 | 8-methoxy-atractylenolide V | ![]() | A. macrocephala [59] | China (Jiaozuo city, Henan province) | 2022 |
| 78 | 15-acetoxyl atractylenolide III | ![]() | A. macrocephala [59] | China (Jiaozuo city, Henan province) | 2022 |
| 79 | Taenialactam A | ![]() | A. macrocephala [59] | China (Jiaozuo city, Henan province) | 2022 |
| 80 | Taenialactam B | ![]() | A. macrocephala [59] | China (Jiaozuo city, Henan province) | 2022 |
| 81 | Eudesma-4(15),7(11)-dien-8-one | ![]() | A. macrocephala [60] | China (Zhejiang province) | 1987 |
| 82 | 8β-methoxyatractylenolide | ![]() | A. macrocephala [60] | China (Zhejiang province) | 1987 |
| 83 | 4R,15-epoxyatractylenolide II | ![]() | A. macrocephala [52], A. lancea [61] | China (Pan’an county, Zhejiang province); China (Haerbin city, Heilongjiang province) | 2018, 2020 |
| 84 | Eudesma-7(11)-en-4-ol | ![]() | A. macrocephala [54], A. lancea [61] | China (Juhuacun Chinese Traditional Medicine Market, Kunming city, Yunnan province); China (Haerbin city, Heilongjiang province) | 2018, 2020 |
| 85 | 8β,9α-dihydroxyatractylenolide II | ![]() | A. macrocephala [52], A. lancea [61] | China (Pan’an county, Zhejiang province); China (Haerbin city, Heilongjiang province) | 2018, 2020 |
| 86 | Biepiasterolide | ![]() | A. lancea [61] | China (Haerbin city, Heilongjiang province) | 2020 |
| 87 | Atractylenother | ![]() | A. macrocephala [39], A. lancea [61] | China (Pan’an county, Zhejiang province); China (Haerbin city, Heilongjiang province) | 2014, 2020 |
| 88 | Biatractylenolide | ![]() | A. lancea [61] | China (Haerbin city, Heilongjiang province) | 2020 |
| 89 | Isoatractylenolide I | ![]() | A. macrocephala [32], A. lancea [61] | China (Yuqian town, Zhejiang province); China (Haerbin city, Heilongjiang province) | 2017, 2020 |
| 90 | 3β-acetoxyl atractylenolide I | ![]() | A. macrocephala [32] | China (Yuqian town, Zhejiang province) | 2017 |
| 91 | 4R,15-epoxy-8β-hydroxyatractylenolide II | ![]() | A. macrocephala [39] | China (Pan’an county, Zhejiang Province) | 2014 |
| 92 | 8-epiatractylenolide III | ![]() | A. macrocephala [39] | China (Pan’an county, Zhejiang Province) | 2014 |
| 93 | 8-epiasterolid | ![]() | A. macrocephala [18], A. lancea [35] | China (Bozhou Medicinal Materials Market); Kampo Research Laborato-ries, Kracie Pharma, Ltd., Ta-kaoka | 2021, 2016 |
| 94 | 3β-acetoxyl atractylon | ![]() | A. macrocephala [62] | China (Qimen county, Anhui province) | 1997 |
| 95 | 4-ketone-atractylenolide III | ![]() | A. macrocephala [38] | Korea (Ulsan-si) | 2016 |
| 96 | 13-hydroxyl-atractylenolide II | ![]() | A. macrocephala [38] | Korea (Ulsan-si) | 2016 |
| 97 | Atractylenolactam | ![]() | A. macrocephala [38] | Korea (Ulsan-si) | 2016 |
| 98 | Atractylon | ![]() | A. macrocephala [52], A. lancea [35] | China (Pan’an county, Zhejiang province); Kampo Research Laboratories, Kracie Pharma, Ltd., Takaoka | 2018, 2016 |
| 99 | Eudesm-4(15)-ene-7β,11-diol | ![]() | A. macrocephala [38] | Korea (Ulsan-si) | 2016 |
| 100 | Eudesma-4(14),7(11)-dien-8-one | ![]() | A. lancea [63] | Japan (Koshiro Co., Ltd.) | 2017 |
| 101 | Selina-4(14),7,11-trien-9-ol | ![]() | A. macrocephala [28] | China (Jiaozuo city, Henan province) | 2022 |
| 102 | Selina-4(14),11-dien-7-ol | ![]() | A. macrocephala [28] | China (Jiaozuo city, Henan province) | 2022 |
| 103 | Atractin A | ![]() | A. macrocephala [64] | China (Jinan city, Shandong province) | 2022 |
| 104 | Selina-4(14),7-dien-11-ol | ![]() | A. macrocephala [28] | China (Jiaozuo city, Henan province) | 2022 |
3.2. Guaiane-Type Sesquiterpenes
| NO. | Compounds | Structure | Source | Collection Area | Year |
|---|---|---|---|---|---|
| 105 | (4S,5S)-atractylmacrene A | ![]() | A. macrocephala [18] | China (Bozhou Medicinal Materials Market) | 2021 |
| 106 | (4R,5R)-atractylmacrene A | ![]() | A. macrocephala [18] | China (Bozhou Medicinal Materials Market) | 2021 |
| 107 | (1S,4S,5S)-atractylmacrene B | ![]() | A. macrocephala [18] | China (Bozhou Medicinal Materials Market) | 2021 |
| 108 | (1R,4R,5R)-atractylmacrene B | ![]() | A. macrocephala [18] | China (Bozhou Medicinal Materials Market) | 2021 |
| 109 | 4α,7α-epoxyguaiane-10α,11-diol | ![]() | A. lancea [58] | China (Lanzhou city, Gansu province) | 2008 |
| 110 | 7α,10α-epoxyguaiane-4α,11-diol | ![]() | A. lancea [58] | China (Lanzhou city, Gansu province) | 2008 |
| 111 | 10β,11β-epoxyguaiane-1α,4α-diol | ![]() | A. lancea [58] | China (Lanzhou city, Gansu province) | 2008 |
| 112 | 10β,11β-epoxyguaiane-1α,4α,7α-triol | ![]() | A. lancea [58] | China (Lanzhou city, Gansu province) | 2008 |
| 113 | 1-Patchoulene-4α,7α-diol | ![]() | A. lancea [58] | China (Lanzhou city, Gansu province) | 2008 |
| 114 | Secoatractylohexone A | ![]() | A. lancea [65] | China (Maoshan mountain in Jiangsu province) | 2022 |
| 115 | Dihydroxy-9-guaine-3-one-11-O-β-d-glucopyranoside | ![]() | A. lancea [65] | China (Maoshan mountain in Jiangsu province) | 2022 |
| 116 | (1S,4S,5S,7R,10S)-10,11,14-trihydroxyguai-3-one-11-O-β-d-glucopyranoside | ![]() | A. lancea [65] | China (Maoshan mountain in Jiangsu province) | 2022 |
| 117 | (1S,4S,5R,7R,10R)-11,14-dihydroxyguai-3-one-11-O-β-d-glucopyranoside | ![]() | A. lancea [65] | China (Maoshan mountain in Jiangsu province) | 2022 |
| 118 | (1S,5R,7R,10R)-secoatractylolactone | ![]() | A. macrocephala [42], A. lancea [65] | Vietnam (Quan ba city, Ha Giang province), China (Maoshan mountain in Jiangsu province) | 2023, 2022 |
| 119 | 4,10,11-trihydroxyguaiane | ![]() | A. lancea [47] | China (Heilongjiang province) | 2022 |
| 120 | Atrchiterpene D | ![]() | A. lancea [47] | China (Heilongjiang province) | 2022 |
| 121 | Macrochaetoside B | ![]() | A. lancea [47] | China (Heilongjiang province) | 2022 |
| 122 | Atractylmacrol A | ![]() | A. macrocephala [54] | China (Juhuacun Chinese Traditional Medicine Market, Kunming city, Yunnan province) | 2018 |
| 123 | (3R,4R,7R,10R)-2-hydroxypancherione-11-O-β-d-glucopyranoside | ![]() | A. lancea [17] | China (Huanggang city, Hubei province) | 2018 |
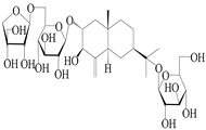
| 124 | Atractyloside A | ![]() | A. lancea [55] | Japan (Tokyo Metropolitan Medical Plants Garden) | 2003 |
| 125 | 10-epi-atractyloside A | ![]() | A. lancea [55] | Japan (Tokyo Metropolitan Medical Plants Garden) | 2003 |
| 126 | (1S,4S,5S,7R,10R)-10,11,14-trihydroxyguai-3-one-11-O-β-d-glucopyranoside | ![]() | A. lancea [66] | Japan (Tokyo Metropolitan Medical Plants Garden) | 2003 |
| 127 | (1S,4S,5R,7R,10R)-11,14-dihydroxyguai-3-one 11-O-β-d-glucopyranoside | ![]() | A. lancea [66] | Japan (Tokyo Metropolitan Medical Plants Garden) | 2003 |
| 128 | Atractyloside B | ![]() | A. lancea [55] | Japan (Tokyo Metropolitan Medical Plants Garden) | 2003 |
| 129 | (1S,5R,7R,10R)-secoatractylolactone-11-O-β-d-glucopyranoside | ![]() | A. macrocephala [42], A. lancea [55] | Vietnam (Quan ba city, Ha Giang province); Japan (Tokyo Metropolitan Medical Plants Garden) | 2023, 2003 |
| 130 | (1S,4S,5R,7R,10S)-4,11,14-trihydroxyguai-3-one-11-O-β-d-glucopyranoside | ![]() | A. lancea [67] | China (Maoshan mountain of Jiangsu province) | 2015 |
| 131 | (1S,4S,5R,7R)-4,11,14-trihydroxy-guaia-9-en-3-one-11-O-β-d-glucopyranoside | ![]() | A. lancea [68] | China (Nanjing city, Jiangsu province) | 2023 |
| 132 | (1R,7R,10S)-10,11-dihydroxy-4-guaien-3-one 11-O-β-d-glucopyranoside | ![]() | A. lancea [53] | China (Huanggang city, Hubei province) | 2018 |
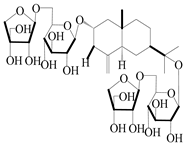
| 133 | Atractyloside A 14-O-β-d-fructofuranoside | ![]() | A. lancea [66] | Japan (Tokyo Metropolitan Medical Plants Garden) | 2003 |
| 134 | 1β,5α,7α-H-3β,4α,11,14-tetrahydroxy-guaia-9-en-11-O-β-d-glucopyranoside | ![]() | A. lancea [69] | China (Maoshan mountain of Jiangsu province) | 2015 |
| 135 | Guai-10(14)-en-11-ol | ![]() | A. macrocephala [43] | China (Jiaozuo city, Henan province) | 2022 |
| 136 | Seco-guaione | ![]() | A. lancea [29] | China (Bozhou city, Anhui province) | 2023 |
3.3. Spirovetivane-Type Sesquiterpenes
| NO. | Compounds | Structure | Source | Collection Area | Year |
|---|---|---|---|---|---|
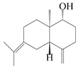
| 137 | Hinesol | ![]() | A. lancea [70] | Japan (Uchida Wakanyaku Ltd., Lot No. 08M1145) | 2015 |
| 138 | (4R,5S,7R)-hinesolone-11-O-β-d-glucopyranoside | ![]() | A. lancea [71] | China (Jurong city, Jiangsu province) | 2020 |
| 139 | Hinesolone | ![]() | A. lancea [72] | China (Chinese drug store, Taipei city, Taiwan province) | 2000 |
| 140 | 2-oxo-hinesol | ![]() | A. lancea [48] | Japan (Kinokuniyakanyakkyoku. Co., Ltd.) | 2015 |
| 141 | 2-oxo-12-hydroxy-hinesol | ![]() | A. lancea [48] | Japan (Kinokuniyakanyakkyoku. Co., Ltd.) | 2015 |
| 142 | 2-oxo-15-hydroxy-hinesol | ![]() | A. lancea [48] | Japan (Kinokuniyakanyakkyoku. Co., Ltd.) | 2015 |
| 143 | (7R)-3,4-dehydrohinesolone-11-O-β-d-glucopyranoside | ![]() | A. lancea [17] | China (Huanggang city, Hubei province) | 2018 |
| 144 | (7R)-3,4-dehydrohinesolone-11-O-β-d-apiofuranosyl-(1→6)-β-Dglucopyranoside | ![]() | A. lancea [17] | China (Huanggang city, Hubei province) | 2018 |
| 145 | (5R,7R)-14-hydroxy-3,4-dehydrohinesolone-11-O-β-d-glucopyranoside | ![]() | A. lancea [17] | China (Huanggang city, Hubei province) | 2018 |
| 146 | (5R,7R)-14-hydroxy-3,4-dehydrohinesolone-11-O-β-d-apiofuranosyl-(1→6)-β-d-glucopyranoside | ![]() | A. lancea [17] | China (Huanggang city, Hubei province) | 2018 |
| 147 | (5R,7R)-14-hydroxy-3,4-dehydrohinesolone-14-O-β-d-xylopyranoside | ![]() | A. lancea [17] | China (Huanggang city, Hubei province) | 2018 |
| 148 | (4R,5S,7R)-14-hydroxyhinesolone-14-O-β-d-xylopyranoside | ![]() | A. lancea [17] | China (Huanggang city, Hubei province) | 2018 |
| 149 | (3S,4S,5S,7R)-3-hydroxyhinesolone-11-O-β-d-glucopyranoside | ![]() | A. lancea [17] | China (Huanggang city, Hubei province) | 2018 |
| 150 | (4S,5S,7R)-15-hydroxyhinesolone-15-O-β-d-xylopyranoside | ![]() | A. lancea [17] | China (Huanggang city, Hubei province) | 2018 |
3.4. Isopterocarpolone-Type Sesquiterpenes
| NO. | Compounds | Structure | Source | Collection Area | Year |
|---|---|---|---|---|---|
| 151 | 14-hydroxy-isopterocarpolone | ![]() | A. lancea [48] | Japan (Kinokuniyakanyakkyoku. Co., Ltd.) | 2015 |
| 152 | Atractyloside I | ![]() | A. lancea [55] | Japan (Tokyo Metropolitan Medical Plants Garden) | 2003 |
| 153 | Cis-atractyloside I | ![]() | A. lancea [66] | Japan (Tokyo Metropolitan Medical Plants Garden) | 2003 |
| 154 | (5R,7R,10S)-14-hydroxylisopterocarpolone-11-O-β-d-glueopyranoside | ![]() | A. lancea [53] | China (Huanggang city, Hubei province) | 2018 |
| 155 | (5R,7R,10S)-3-O-β-d-glucopyranosylisopterocarpolone-11-O-β-d-apiofuranosyl-(1→6)-β-d-glucopyranoside | ![]() | A. lancea [53] | China (Huanggang city, Hubei province) | 2018 |
| 156 | (5R,7R,10S)-14-carboxylisopterocarpolone-11-O-β-d-glucopyranoside | ![]() | A. lancea [53] | China (Huanggang city, Hubei province) | 2018 |
| 157 | (5R,7R,10S)-3-hydroxylisopterocarpolone-3-O-β-d-glucopyranoside | ![]() | A. lancea [57] | China (Huanggang city, Hubei province) | 2016 |
| 158 | (5R,7R,10S)-6″-O-acetylatractyloside I | ![]() | A. lancea [57] | China (Huanggang city, Hubei province) | 2016 |
| 159 | (5R,7R,10S)-6′-O-acetylatractyloside I | ![]() | A. lancea [57] | China (Huanggang city, Hubei province) | 2016 |
| 160 | (5R,7R,10S)-isopterocarpolone-11-O-β-d-apiofuranosyl-(1→6)-β-d-glucopyranoside | ![]() | A. lancea [57] | China (Huanggang city, Hubei province) | 2016 |
| 161 | (5R,7R,10S)-isopterocarpolone-11-O-β-d-glucopyranoside | ![]() | A. lancea [66] | Japan (Tokyo Metropolitan Medical Plants Garden) | 2003 |
3.5. Eremophilane-Type Sesquiterpenes
| NO. | Compounds | Structure | Source | Collection Area | Year |
|---|---|---|---|---|---|
| 162 | (3S,4R,5R,7R)-3,11-dihydroxy-11,12-dihydronootkatone-11-O-β-d-glucopyranoside | ![]() | A. lancea [57] | China (Huanggang city, Hubei province) | 2016 |
| 163 | (3S,4R,5S,7R)-3,4,11-trihydroxy-11,12-dihydronootkatone-11-O-β-d-glucopyranoside | ![]() | A. lancea [57] | China (Huanggang city, Hubei province) | 2016 |
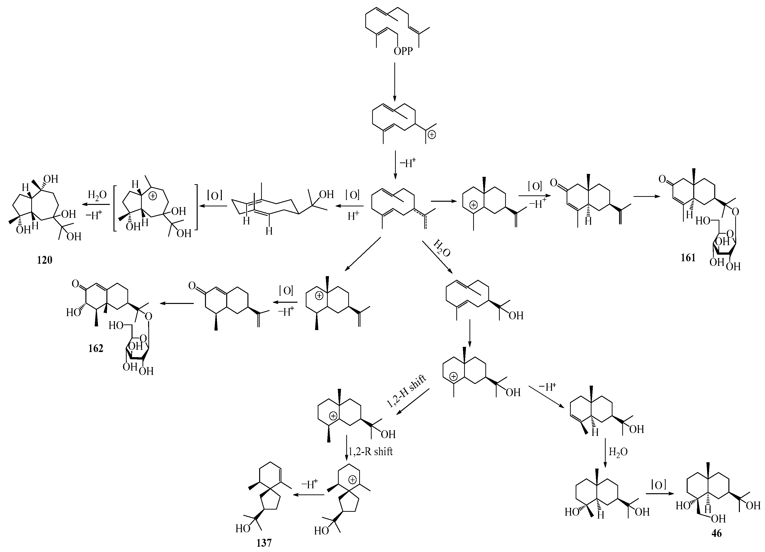
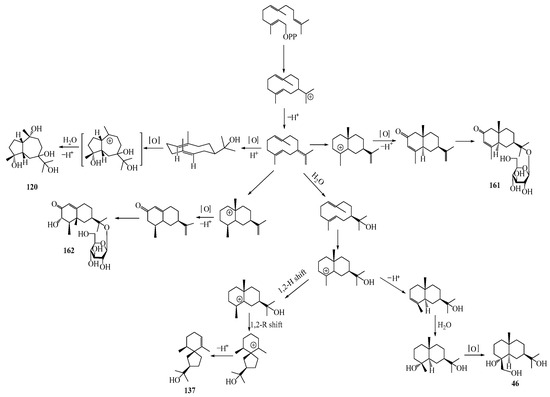
3.6. Biosynthesis of Sesquiterpenes
4. Pharmacological Activities
4.1. Anticancer Activity
4.2. Anti-Inflammatory Activity
4.3. Antimicrobial and Antiviral Activity
4.4. Insecticidal Activity
4.5. Neuroprotective Activity
4.6. Antioxidant Activity
4.7. Activity in Gastrointestinal System
4.8. Miscellaneous Activities
5. Conclusions
Author Contributions
Funding
Institutional Review Board Statement
Informed Consent Statement
Data Availability Statement
Conflicts of Interest
References
- Editorial Committee of Chinese Botany, Chinese Academy of Sciences. Flora of China; Science Press: Beijing, China, 1987; p. 23. [Google Scholar]
- Atractylodes, D.C. The World Flora Online. Available online: http://www.Worldfloraonline.Org/taxon/wfo-4000003599 (accessed on 16 February 2024).
- Liu, J.; Yang, W.; Liu, Y.; Lu, C.; Ruan, L.; Zhao, C.; Huo, R.; Shen, X.; Miao, Q.; Lv, W.; et al. Combination of Hua Shi Bai Du granule (Q-14) and standard care in the treatment of patients with coronavirus disease 2019 (COVID-19): A single-center, open-label, randomized controlled trial. Phytomedicine 2021, 91, 153671. [Google Scholar] [CrossRef] [PubMed]
- Liu, Y.Q.; Zhang, B.X.; Cai, Q. Study on the pharmacodynamics and metabolomics of five medicinal species in Atractylodes DC. on rats with rheumatoid arthritis. Biomed. Pharmacother. 2020, 131, 110554. [Google Scholar] [CrossRef] [PubMed]
- Koonrungsesomboon, N.; Na-Bangchang, K.; Karbwang, J. Therapeutic potential and pharmacological activities of Atractylodes lancea (Thunb.) DC. Asian Pac. J. Tro. Med. 2014, 7, 421–428. [Google Scholar] [CrossRef] [PubMed]
- Nishihara, M. The state of Atractylodes lancea (Hosoba-okera) in Sado after the showa period. J. Stage 2023, 58, 10–17. [Google Scholar]
- Commission, C.P. Pharmacopoeia of the People’s Republic of China; China Medical Science Press: Beijing, China, 2020; p. 168. [Google Scholar]
- The Committee on the Japanese Pharmacopoeia. The Japanese Pharmacopoeia, 17th ed.; The Minister of Health, Labour and Welfare: Tokyo, Japan, 2016; p. 1791.
- Yang, L.; Yu, H.; Hou, A.; Man, W.J.; Wang, S.; Zhang, J.X.; Wang, X.J.; Zheng, S.W.; Jiang, H.; Kuang, H.X. A review of the ethnopharmacology, phytochemistry, pharmacology, application, quality control, processing, toxicology, and pharmacokinetics of the dried rhizome of atractylodes macrocephala. Front. Pharmacol. 2021, 12, 727154. [Google Scholar] [CrossRef] [PubMed]
- Zhang, W.J.; Zhao, Z.Y.; Chang, L.K.; Cao, Y.; Wang, S.; Kang, C.Z.; Wang, H.Y.; Zhou, L.; Huang, L.Q.; Guo, L.P. Atractylodis Rhizoma: A review of its traditional uses, phytochemistry, pharmacology, toxicology and quality control. J. Ethnopharmacol. 2021, 266, 113415. [Google Scholar] [CrossRef]
- Zhu, B.; Zhang, Q.L.; Hua, J.W.; Cheng, W.L.; Qin, L.P. The traditional uses, phytochemistry, and pharmacology of Atractylodes macrocephala Koidz.: A review. J. Ethnopharmacol. 2018, 226, 143–167. [Google Scholar] [CrossRef] [PubMed]
- Liu, S.J.; Yao, J.; Song, X.; He, L.W.; Meng, X.C. Overview of chemical composition, pharmacological effects, and clinical application of medicinal plants of Atractylodes DC. Chin. Arch. Trad. Chin. Med. 2023, 41, 151–154. [Google Scholar]
- Fraga, B.M. Natural sesquiterpenoids. Nat. Prod. Rep. 2013, 30, 1226–1264. [Google Scholar] [CrossRef]
- Tian, X.H.; Hong, L.L.; Jiao, W.H.; Lin, H.W. Natural sesquiterpene quinone/quinols: Chemistry, biological activity, and synthesis. Nat. Prod. Rep. 2023, 40, 718–749. [Google Scholar] [CrossRef]
- Shulha, O.; Zidorn, C. Sesquiterpene lactones and their precursors as chemosystematic markers in the tribe Cichorieae of the Asteraceae revisited: An update (2008–2017). Phytochemistry 2019, 163, 149–177. [Google Scholar] [CrossRef]
- Abu-Izneid, T.; Rauf, A.; Shariati, M.A.; Khalil, A.A.; Imran, M.; Rebezov, M.; Uddin, S.; Mahomoodally, M.F.; Rengasamy, K.R. Sesquiterpenes and their derivatives-natural anticancer compounds: An update. Pharmacol. Res. 2020, 161, 105165. [Google Scholar] [CrossRef]
- Xu, K.; Jiang, J.S.; Feng, Z.M.; Yang, Y.N.; Li, L.; Zang, C.X.; Zhang, P.C. Bioactive sesquiterpenoid and polyacetylene glycosides from Atractylodes lancea. J. Nat. Prod. 2016, 79, 1567–1575. [Google Scholar] [CrossRef]
- Si, J.G.; Zhang, H.X.; Yu, M.; Li, L.Y.; Zhang, H.W.; Jia, H.M.; Ma, L.Y.; Qin, L.L.; Zhang, T.; Zou, Z.M. Sesquiterpenoids from the rhizomes of Atractylodes macrocephala and their protection against lipopolysaccharide-induced neuroinflammation in microglia BV-2 cells. J. Funct. Foods 2021, 83, 104541. [Google Scholar] [CrossRef]
- Liu, Y.Y.; Li, Y.Z.; Huang, S.Q.; Zhang, H.W.; Deng, C.; Song, X.M.; Zhang, D.D.; Wang, W. Genus Chloranthus: A comprehensive review of its phytochemistry, pharmacology, and uses. Arab. J. Chem. 2022, 15, 104260. [Google Scholar] [CrossRef]
- Wang, L.Y.; Li, M.Y.; Jin, L.H.; Wei, Y.C.; Wang, J.M.; Pan, J.L.; Zhang, C.C.; Li, C.Y.; Jiang, F.S. Chemical characterization and antioxidant, anti-inflammatory, and anti-septic activities of the essential oil from the aerial parts of Atractylodes macrocephala Koidz. Arab. J. Chem. 2022, 15, 104215. [Google Scholar] [CrossRef]
- Xie, Z.Y.; Lin, M.Q.; He, X.L.; Dong, Y.J.; Chen, Y.G.; Li, B.; Chen, S.H.; Lv, G.Y. Chemical constitution, pharmacological effects and the underlying mechanism of atractylenolides: A Review. Molecules 2023, 28, 3987. [Google Scholar] [CrossRef]
- Song, B.H.; Wang, W.; Liu, R.P.; Cai, J.J.; Jiang, Y.Y.; Tang, X.M.; Wu, H.F.; Ao, H.; Chen, L. Geographic differentiation of essential oil from rhizome of cultivated Atractylodes lancea by using GC-MS and chemical pattern recognition analysis. Molecules 2023, 28, 2216. [Google Scholar] [CrossRef]
- Wang, W.; Jiang, Y.; Song, B.; Tang, X.; Wu, H.; Jin, Z.; Chen, L. Discovery of quality markers in the rhizome of Atractylodes chinensis using GC–MS fingerprint and network pharmacology. Arab. J. Chem. 2023, 16, 105114. [Google Scholar] [CrossRef]
- Xu, R.; Lu, J.; Wu, J.; Yu, D.; Chu, S.; Guan, F.; Liu, W.; Hu, J.; Peng, H.; Zha, L. Comparative analysis in different organs and tissue-specific metabolite profiling of Atractylodes lancea from four regions by GC-MS and laser microdissection. J. Sep. Sci. 2022, 45, 1067–1079. [Google Scholar] [CrossRef] [PubMed]
- Ma, Z.C.; Liu, Z.Q.; Yang, Z.J.; Zhang, G.Q.; Sun, L.L.; Wang, M.; Ren, X.L. Species differentiation and quality evaluation for Atractylodes medicinal plants by GC/MS coupled with chemometric analysis. Chem. Biodivers. 2023, 20, e202300793. [Google Scholar] [CrossRef]
- Wang, Y.M.; Wang, Z.B.; Sun, Y.P.; Yang, B.Y.; Kuang, H.X. Research progress on chemical structure and biological activity of sesquiterpenes from Atractylodes. Chin. Tradit. Herbal. Drugs 2021, 52, 299–309. [Google Scholar]
- Kim, H.Y.; Kim, J.H. Sesquiterpenoids isolated from the rhizomes of genus Atractylodes. Chem. Biodivers 2022, 19, e202200703. [Google Scholar] [CrossRef]
- Zhao, Y.N.; Gao, G.; Ma, G.L.; Xu, R.Z.; Guo, T.; Wu, L.M.; Liu, X.G.; Xie, Z.S.; Xu, J.Y.; Zhang, Z.Q.; et al. Two new sesquiterpenes from the rhizomes of Atractylodes macrocephala and their biological activities. Nat. Prod. Res. 2022, 36, 1230–1235. [Google Scholar] [CrossRef] [PubMed]
- Liang, J.; Wang, H.J.; Hu, G.Q. Chemical constituents from Atractylodes chinensis and their angiogenesis inhibitory activities. Chin. Trad. Patent Med. 2023, 45, 3271–3276. [Google Scholar]
- Wu, Q.X.; Shi, Y.P.; Jia, Z.J. Eudesmane sesquiterpenoids from the Asteraceae family. Nat. Prod. Rep. 2006, 23, 699–734. [Google Scholar] [CrossRef]
- Bailly, C. Atractylenolides, essential components of Atractylodes-based traditional herbal medicines: Antioxidant, anti-inflammatory and anticancer properties. Eur. J. Pharmacol. 2021, 891, 173735. [Google Scholar] [CrossRef] [PubMed]
- Zhang, N.; Liu, C.; Sun, T.M.; Ran, X.K.; Kang, T.G.; Dou, D.Q. Two new compounds from Atractylodes macrocephala with neuroprotective activity. J. Asian Nat. Prod. Res. 2017, 19, 35–41. [Google Scholar] [CrossRef] [PubMed]
- Meng, H.; Li, G.; Dai, R.; Ma, Y.; Zhang, K.; Zhang, C.; Li, X.; Wang, J. Chemical constituents of Atractylodes chinensis (DC.) koidz. Biochem. Syst. Ecol. 2010, 38, 1220–1223. [Google Scholar] [CrossRef]
- Resch, M.; Steigel, A.; Chen, Z.L.; Bauer, R. 5-Lipoxygenase and cyclooxygenase-1 inhibitory active compounds from Atractylodes lancea. J. Nat. Prod. 1998, 61, 347–350. [Google Scholar] [CrossRef]
- Chen, L.G.; Jan, Y.S.; Tsai, P.W.; Norimoto, H.; Michihara, S.; Murayama, C.; Wang, C.C. Anti-inflammatory and antinociceptive constituents of Atractylodes japonica Koidzumi. J. Agric. Food Chem. 2016, 64, 2254–2262. [Google Scholar] [CrossRef]
- Duan, J.; Wang, Y.; Qian, S.H.; Su, S.L.; Tang, Y.P. A new cytotoxic prenylated dihydrobenzofuran derivative and other chemical constituents from the rhizomes of Atractylodes lancea DC. Arch. Pharm. Res. 2008, 31, 965–969. [Google Scholar] [CrossRef]
- Jiang, H.; Shi, J.; Li, Y.Y. Screening for compounds with aromatase inhibiting activities from Atractylodes macrocephala Koidz. Molecules 2011, 16, 3146–3151. [Google Scholar] [CrossRef]
- Hoang, L.S.; Tran, M.H.; Lee, J.S.; Ngo, Q.M.T.; Woo, M.H.; Min, B.S. Inflammatory inhibitory activity of sesquiterpenoids from Atractylodes macrocephala rhizomes. Chem. Pharm. Bull. 2016, 64, 507–511. [Google Scholar] [CrossRef]
- Li, Y.; Yang, X.W. New eudesmane-type sesquiterpenoids from the processed rhizomes of Atractylodes macrocephala. J. Asian Nat. Prod. Res. 2014, 16, 123–128. [Google Scholar] [CrossRef]
- Ding, X.Y.; Liu, M.Y.; Zhang, W.L.; Lin, H.Y. New sesquiterpenoids from the rhizomes of Atractylodes Macrocephala. J. Chin. Pharm. Sci. 2005, 57, 37–42. [Google Scholar]
- Li, Y.Z.; Dai, M.; Peng, D.Y. New bisesquiterpenoid lactone from the wild rhizome of Atractylodes macrocephala Koidz grown in Qimen. Nat. Prod. Res. 2017, 31, 2381–2386. [Google Scholar] [CrossRef] [PubMed]
- Hai, C.H.; Luyen, N.T.; Giang, D.H.; Minh, B.Q.; Trung, N.Q.; Chinh, P.T.; Hau, D.V.; Dat, N.T. Atractylodes macrocephala Koidz’s rhizomes contain anti-inflammatory sesquiterpenes. Chem. Pharm. Bull. 2023, 71, 451–453. [Google Scholar] [CrossRef] [PubMed]
- Xu, R.Z.; Zhao, X.; Du, Y.Y.; Xu, M.S.; Liu, X.G.; Xie, Z.S.; Gao, S.; Xu, J.Y.; Wang, P. New eudesmane sesquiterpenoids from Atractylodis macrocephalae rhizoma and their inhibitory activities against SREBPs. Chin. J. Chin. Mater. Med. 2022, 47, 428–432. [Google Scholar]
- Zhang, H.X.; Li, J.R.; Si, J.G.; Dong, C.Y.; Li, Q.; Yu, M.; Qin, L.L.; Li, L.Y.; Zhao, C.X.; Zhang, T.; et al. Atramacronoids A−C, three eudesmanolide sesquiterpene-phenol hybrids with an unprecedented C−C linkage from the rhizomes of Atractylodes macrocephala. Chinese Chem. Lett. 2023, 34, 107743. [Google Scholar] [CrossRef]
- Zhang, H.X.; Si, J.G.; Li, J.R.; Yu, M.; Qin, L.L.; Zhao, C.X.; Zhang, T.; Zou, Z.M. Eudesmane-type sesquiterpenes from the rhizomes of Atractylodes macrocephala and their bioactivities. Phytochemistry 2023, 206, 113545. [Google Scholar] [CrossRef] [PubMed]
- Zhang, H.X.; Lin, C.Y.; Yin, L.Y.; Si, J.G.; Yu, M.; Li, J.R.; Li, L.Y.; Zhang, T.; Zou, Z.M. Bioactive constituents from the rhizomes of Atractylodes macrocephala. Fitoterapia 2023, 165, 105431. [Google Scholar] [CrossRef] [PubMed]
- Zhuang, L.X.; Liu, Y.; Wang, S.Y.; Sun, Y.; Pan, J.; Guan, W.; Hao, Z.C.; Kuang, H.X.; Yang, B.Y. Cytotoxic sesquiterpenoids from Atractylodes chinensis (DC.) Koidz. Chem. Biodiversity 2022, 19, e202200812. [Google Scholar] [CrossRef] [PubMed]
- Kamauchi, H.; Kinoshita, K.; Takatori, K.; Sugita, T.; Takahashi, K.; Koyama, K. New sesquiterpenoids isolated from Atractylodes lancea fermented by marine fungus. Tetrahedron 2015, 71, 1909–1914. [Google Scholar] [CrossRef]
- Chu, S.S.; Jiang, G.H.; Liu, Z.L. Insecticidal compounds from the essential oil of Chinese medicinal herb Atractylodes chinensis. Pest Manag. Sci. 2011, 67, 1253–1257. [Google Scholar] [CrossRef] [PubMed]
- Zhu, Q.N.; Lin, M.; Zhuo, W.Y.; Li, Y.Z. Chemical constituents from the wild Atractylodes macrocephala Koidz and acetylcholinesterase inhibitory activity evaluation as well as molecular docking study. Molecules 2021, 26, 7299. [Google Scholar] [CrossRef]
- Zhang, J.Y.; Zhao, Y.Y.; Zhao, Y.S.; Yan, Z.S.; Lu, L.T.; Zheng, Y.G.; Fang, H.Y. Analysis of essential oil from medicinal and non-medicinal parts of Atractylodes chinensis and antibacterial activity in vitro. China Pharm. 2022, 33, 2609–2614. [Google Scholar]
- Li, Y.; Yang, X.W. Chemical constituents of rhizomes of Atractylodes macrocephala. Mod. Chin. Med. 2018, 20, 382–386. [Google Scholar]
- Jiang, J.S.; Xu, K.; Feng, Z.M.; Yang, Y.N.; Zhang, P.C. Four new sesquiterpenes from Atractylodes lancea. Phytochem. Lett. 2018, 26, 88–92. [Google Scholar] [CrossRef]
- Wang, S.Y.; Ding, L.F.; Su, J.; Peng, L.Y.; Song, L.D.; Wu, X.D. Atractylmacrols A-E, sesquiterpenes from the rhizomes of Atractylodes macrocephala. Phytochem. Lett. 2018, 23, 127–131. [Google Scholar] [CrossRef]
- Kitajima, J.; Kamoshita, A.; Ishikawa, T.; Takano, A.; Fukuda, T.; Isoda, S.; Ida, Y. Glycosides of Atractylodes japonica. Chem. Pharm. Bull. 2003, 51, 152–157. [Google Scholar] [CrossRef]
- Shoji, Y.; Tomoko, H.; Kazue, I.; Marubayashi, N.; Ueda, I.; Kohda, H.; Goto, K.; Izumi, H.; Nuno, M.; Katsuki, S.; et al. Studies on the constituents of Atractylodes lancea. Chem. Pharm. Bull. 1989, 37, 2995–3000. [Google Scholar]
- Xu, K.; Feng, Z.M.; Yang, Y.N.; Jiang, J.S.; Zhang, P.C. Eight new eudesmane-and eremophilane-type sesquiterpenoids from Atractylodes lancea. Fitoterapia 2016, 114, 115–121. [Google Scholar] [CrossRef]
- Wang, H.X.; Liu, C.M.; Liu, Q.; Gao, K. Three types of sesquiterpenes from rhizomes of Atractylodes lancea. Phytochemistry 2008, 69, 2088–2094. [Google Scholar] [CrossRef]
- Wang, P.; Zhao, Y.N.; Xu, R.Z.; Zhang, X.W.; Sun, Y.R.; Feng, Q.M.; Li, Z.H.; Xu, J.Y.; Xie, Z.S.; Zhang, Z.Q.; et al. Sesquiterpene lactams and lactones with antioxidant potentials from Atractylodes macrocephala discovered by molecular networking. Front. Nutr. 2022, 9, 865257. [Google Scholar] [CrossRef] [PubMed]
- Chen, Z.L. The acetylenes from Atractylodes macrocephala. Planta. Med. 1987, 53, 493–494. [Google Scholar] [CrossRef] [PubMed]
- Zhou, Y.Y.; Gao, H.R.; Wu, X.P.; Song, H.J.; Ma, D.N. Chemical constituents of petroleum ether extracted from Atractylodes Japonica. Acta. Chin. Med. Pharm. 2020, 48, 26–29. [Google Scholar]
- Chen, Z.L.; Cao, W.Y.; Zhou, G.X.; Wichtl, M. A sesquiterpene lactam from Artractylodes macrocephala. Phytochemistry 1997, 45, 765–767. [Google Scholar] [CrossRef]
- Toda, Y.; Shigemori, H.; Ueda, J.; Miyamoto, K. Isolation and identification of polar auxin transport inhibitors from Saussurea costus and Atractylodes japonica. Acta. Agrobotanica. 2017, 70, 1700. [Google Scholar] [CrossRef]
- Wen, S.S.; Wang, W.J.; Zheng, J.; Li, L.; Yang, S.J.; Zhang, L.Y.; Niu, C.; Xu, Y.W. Atractin A, a new sesquiterpenoid-geranylbenzofuran conjugate from Atractylodes macrocephala. Chem. Nat. Compd. 2022, 58, 1039–1041. [Google Scholar] [CrossRef]
- Liu, L.; Guan, F.; Chen, Y.; Wang, F.; Chen, P.; Yin, M.; Wang, B.; Li, L.; Wang, Q.; Gu, Y.; et al. Two novel sesquiterpenoid glycosides from the rhizomes of Atractylodes lancea. Molecules 2022, 27, 5753. [Google Scholar] [CrossRef]
- Kitajima, J.; Kamoshita, A.; Ishikawa, T.; Takano, A.; Fukuda, T.; Isoda, S.; Ida, Y. Glycosides of Atractylodes lancea. Chem. Pharm. Bull. 2003, 51, 673–678. [Google Scholar] [CrossRef]
- Yin, M.; Xiao, C.C.; Chen, Y.; Wang, M.; Guan, F.Q.; Wang, Q.Z.; Shan, Y.; Feng, X. A new sesquiterpenoid glycoside from rhizomes of Atractylodes lancea. Chin. Herb. Med. 2015, 7, 371–374. [Google Scholar] [CrossRef]
- Wang, M.D.; Chen, P.X.; Yin, M.; Xu, X.X.; Chen, Y.; Feng, X.; Guan, F.Q.; Liao, P.H.; Wang, Q.Z. Phytochemical and chemotaxonomic study on Atractylodes lancea. Biochem. Syst. Ecol. 2023, 111, 104734. [Google Scholar] [CrossRef]
- Yin, M.; Xiao, C.C.; Chen, Y.; Ming, W.; Guan, F.Q.; Dong, Y.F.; Feng, X. Two new sesquiterpenoid glycosides from rhizomes of Atractylodes lancea. Chem. Nat. Compd. 2015, 3, 495–499. [Google Scholar] [CrossRef]
- Masuda, Y.; Kadokura, T.; Ishii, M.; Takada, K.; Kitajima, J. Hinesol, a compound isolated from the essential oils of Atractylodes lancea rhizome, inhibits cell growth and induces apoptosis in human leukemia HL-60 cells. J. Natural. Med. 2015, 69, 332–339. [Google Scholar] [CrossRef] [PubMed]
- Long, L.P.; Wang, L.S.; Qi, S.Z.; Yang, Y.R.; Gao, H.Y. New sesquiterpenoid glycoside from the rhizomes of Atractylodes lancea. Nat. Prod. Res. 2020, 34, 1138–1145. [Google Scholar] [CrossRef] [PubMed]
- Ding, H.Y.; Wu, Y.C.; Lin, H.C. Phytochemical and pharmacological studies on Chinese Changzhu. J. Chin. Chem. Soc. 2000, 47, 561–566. [Google Scholar] [CrossRef]
- Hou, C.; Kulka, M.; Zhang, J.; Li, Y.; Guo, F. Occurrence and biological activities of eremophilane-type sesquiterpenes. Mini-Rev. Med. Chem. 2014, 14, 664–677. [Google Scholar] [CrossRef] [PubMed]
- Wang, C.F.; Zhao, Y.; Liu, Y.Z.; Zhang, Z.Z. Two new eremophilane-type sesquiterpenoids from the rhizomes of Ligularia veitchiana (Hemsl.) Greenm. Helv. Chim. Acta 2008, 91, 1712–1716. [Google Scholar] [CrossRef]
- Christianson, D.W. Structural and chemical biology of terpenoid cyclases. Chem. Rev. 2017, 117, 11570–11648. [Google Scholar] [CrossRef]
- Wang, D.; Chen, F.; Wang, C.Y.; Han, X.; Dai, C.C. Early stem growth mutation alters metabolic flux changes enhance sesquiterpenoids biosynthesis in Atractylodes lancea (Thunb.) DC. Plant Cell Tiss. Org. 2022, 149, 467–483. [Google Scholar] [CrossRef] [PubMed]
- Tissandié, L.; Viciana, S.; Brevard, H.; Meierhenrich, U.J.; Filippi, J.J. Towards a complete characterisation of guaiacwood oil. Phytochemistry 2018, 149, 64–81. [Google Scholar] [CrossRef] [PubMed]
- Han, L.; Zheng, W.; Qian, S.Y.; Yang, M.F.; Lu, Y.Z.; He, Z.J.; Kang, J.C. New guaiane-Type Sesquiterpenoids biscogniauxiaols A–G with anti-fungal and anti-inflammatory activities from the endophytic fungus Biscogniauxia Petrensis. J. Fungi 2023, 9, 393. [Google Scholar] [CrossRef]
- Ramirez, A.M.; Saillard, N.; Yang, T.; Franssen, M.C.; Bouwmeester, H.J.; Jongsma, M.A. Biosynthesis of sesquiterpene lactones in Pyrethrum (Tanacetum cinerariifolium). PLoS ONE 2013, 8, e65030. [Google Scholar] [CrossRef]
- Mao, J.J.; Wang, X.P.; Yu, M.H.; Sun, C.K. Effects of atractylon on proliferation and apoptosis of intestinal cancer cells through PI3K/AKT/mTOR signaling pathway. J. Modern Oncol. 2022, 68, 153–160. [Google Scholar]
- Cheng, Y.; Ping, J.; Chen, J.J.; Fu, Y.F.; Zhao, H.; Xue, J.H. Molecular mechanism of atractylon in the invasion and migration of hepatic cancer cells based on high-throughput sequencing. Mol. Med. Rep. 2022, 25, 112. [Google Scholar] [CrossRef] [PubMed]
- Vanaroj, P.; Chaijaroenkul, W.; Na-Bangchang, K. Atractylodin and β-eudesmol from Atractylodes lancea (Thunb.) DC. inhibit cholangiocarcinoma cell proliferation by downregulating the notch signaling pathway. Asian Pac. J. Cancer Prev. 2023, 24, 551–558. [Google Scholar] [CrossRef] [PubMed]
- Ma, E.L.; Li, Y.C.; Tsuneki, H.; Xiao, J.F.; Xia, M.Y.; Wang, M.W.; Kimura, I. Beta-eudesmol suppresses tumour growth through inhibition of tumour neovascularisation and tumour cell proliferation. J. Asian Nat. Prod. Res. 2008, 10, 159–167. [Google Scholar] [CrossRef]
- Guo, W.Q.; Liu, S.B.; Ju, X.; Du, J.H.; Xu, B.; Yuan, H.X.; Qin, F.J.; Li, L.Z. The antitumor effect of hinesol, extract from Atractylodes lancea (Thunb.) DC. by proliferation, inhibition, and apoptosis induction via MEK/ERK and NF-κB pathway in non–small cell lung cancer cell lines A549 and NCI-H1299. J. Cell Biochem. 2019, 120, 18600–18607. [Google Scholar] [CrossRef]
- Ye, Y.; Chou, G.X.; Wang, H.; Chu, J.H.; Fong, W.F.; Yu, Z.L. Effects of sesquiterpenes isolated from largehead atractylodes rhizome on growth, migration, and differentiation of B16 melanoma cells. Integr. Cancer Ther. 2011, 10, 92–100. [Google Scholar]
- Long, F.Y.; Jia, P.; Wang, H.F.; Qing, Y.; He, M.J.; Wang, X.L. Mechanisms and proliferation inhibitory effects of atractylenolideⅠon SK-OV-3 and OVCAR-3 ovarian cancer cell. J. Reg. Anat. Oper. Surg. 2017, 26, 89–93. [Google Scholar]
- Ma, L.; Mao, R.R.; Shen, K.; Zheng, Y.H.; Li, Y.Q.; Liu, J.W.; Ni, L. Atractylenolide I-mediated Notch pathway inhibition attenuates gastric cancer stem cell traits. Biochem. Biophys. Res. Commun. 2014, 450, 353–359. [Google Scholar] [CrossRef]
- Liu, H.; Zhu, Y.; Zhang, T.; Zhao, Z.; Zhao, Y.; Cheng, P.; Li, H.; Gao, H.; Su, X. Anti-tumor effects of Atractylenolide I isolated from Atractylodes macrocephala in human lung carcinoma cell lines. Molecules 2013, 18, 13357–13368. [Google Scholar] [CrossRef]
- Ye, Y.; Wang, H.; Chu, J.H.; Chou, G.X.; Chen, S.B.; Mo, H.; Fong, W.F.; Yu, Z.L. Atractylenolide II induces g1 cell-cycle arrest and apoptosis in b16 melanoma cells. J. Ethnopharmacol. 2011, 136, 279–282. [Google Scholar] [CrossRef]
- Tian, S.; Yu, H.D. Atractylenolide II inhibits proliferation, motility and induces apoptosis in human gastric carcinoma cell lines HGC-27 and AGS. Molecules 2017, 22, 1886. [Google Scholar] [CrossRef]
- Fu, J.; Ke, X.; Tan, S.; Liu, T.; Wang, S.; Ma, J.; Lu, H. The natural compound codonolactone attenuates TGF-β1-mediated epithelial-to-mesenchymal transition and motility of breast cancer cells. Oncol. Rep. 2016, 35, 117–126. [Google Scholar] [CrossRef] [PubMed]
- Kang, T.H.; Bang, J.Y.; Kim, M.H.; Kang, I.C.; Kim, H.M.; Jeong, H.J. Atractylenolide III, a sesquiterpenoid, induces apoptosis in human lung carcinoma A549 cells via mitochondria-mediated death pathway. Food Chem. Toxicol. 2011, 49, 514–519. [Google Scholar] [CrossRef] [PubMed]
- Wang, C.H.; Duan, H.J.; He, L.C. Inhibitory effect of atractylenolide I on angiogenesis in chronic inflammation in vivo and in vitro. Eur. J. Pharmacol. 2009, 612, 143–152. [Google Scholar] [CrossRef] [PubMed]
- Jin, H.J.; Kim, K.W.; Li, J.; Lee, D.Y.; Yoon, D.; Jeong, J.T.; Kim, G.S.; Oh, H.; An, R.B.; Kim, Y.C. Anti-inflammatory components isolated from Atractylodes macrocephala in LPS-induced RAW264.7 macrophages and BV2 microglial cells. Appl. Biol. Chem. 2022, 65, 11. [Google Scholar] [CrossRef]
- Li, W.; Zhi, W.; Liu, F.; He, Z.; Wang, X.; Niu, X. Atractylenolide I restores HO-1 expression and inhibits Ox-LDL-induced VSMCs proliferation, migration and inflammatory responses in vitro. Exp. Cell Res. 2017, 353, 26–34. [Google Scholar] [CrossRef]
- Li, C.Q.; He, L.C.; Dong, H.Y.; Ju, Q.J. Screening for the anti-inflammatory activity of fractions and compounds from Atractylodes macrocephala koidz. J. Ethnopharmacol. 2007, 114, 212–217. [Google Scholar] [CrossRef] [PubMed]
- Li, C.Q.; He, L.C. Establishment of the model of white blood cell membrane chromatography and screening of antagonizing TLR4 receptor component from Atractylodes macrocephala Koidz. Sci. China C. Life. Sci. 2006, 49, 182–189. [Google Scholar] [CrossRef]
- Ji, G.Q.; Chen, R.Q.; Zheng, J.X. Atractylenolide I inhibits lipopolysaccharide-induced inflammatory responses via mitogenactivated protein kinase pathways in RAW264.7 cells. Immunopharm. Immunot. 2014, 36, 420–425. [Google Scholar] [CrossRef]
- Li, C.Q.; He, L.C.; Jin, J.Q. Atractylenolide I and atractylenolide III inhibit lipopolysaccharide-induced TNF-alpha and NO production in macrophages. Phytother. Res. 2007, 21, 347–353. [Google Scholar] [CrossRef]
- Xu, Y.Z.; Hu, X.F.; Cai, J.L.; Li, Y.L.; Zou, Y.; Wang, Y.H.; Xie, C.N.; Xu, S.Y.; Wang, Y.Q.; Zheng, Y.L.; et al. Atractylenolide-III alleviates osteoarthritis and chondrocyte senescence by targeting NF-κB signaling. Phytother. Res. 2023, 37, 4607–4620. [Google Scholar] [CrossRef] [PubMed]
- Li, J.; Kim, Y.C.; Jin, H.G. Effects and mechanism of atractylone from rhizomes of Atractylodes macrocephala Koidzumi in LPS-induced neuro-inflammation in BV2 microglial cells. Nat. Prod. Res. Dev. 2020, 32, 826–830. [Google Scholar]
- Seo, M.-J.; Kim, S.-J.; Kang, T.-H.; Rim, H.-K.; Jeong, H.-J.; Um, J.-Y.; Hong, S.-H.; Kim, H.-M. The regulatory mechanism of β-eudesmol is through the suppression of caspase-1 activation in mast cell-mediated inflammatory response. Immunopharm. Immunot. 2011, 33, 178–185. [Google Scholar] [CrossRef]
- Han, J.H.; Zhu, X.Y.; Gao, Z.H.; Xiao, Y.; Zhang, J.X.; Wang, P.; Fang, J.B.; Li, Y.Q.; Zhu, Y.L.; Li, Y.; et al. Antiviral effects of atractyloside A on the influenza B virus (Victoria strain) infection. Front. Microbiol. 2023, 13, 1067725. [Google Scholar] [CrossRef]
- Shi, S.J.; Qin, Z.; Kong, S.Z.; Lai, X.P.; Su, Z.R.; Zeng, H.F. Effective component selection of atraotydin extract against influenza virus. Lishizhen Med. Materia. Med. Res. 2012, 23, 565–566. [Google Scholar]
- Cheng, Y.; Mai, J.Y.; Hou, T.L.; Ping, J.; Chen, J.J. Antiviral activities of atractylon from atractylodis rhizoma. Mol. Med. Rep. 2016, 14, 3704–3710. [Google Scholar] [CrossRef]
- Feng, H.; Wang, W.; Wu, M.C.; Fang, Y.P.; Wang, S.Z.; Yang, Y.; Ye, C.; Xiang, F. Antioxidant and antibacterial activities of essential oil from Atractylodes lancea rhizomes. Ind. Crop. Prod. 2020, 153, 112552. [Google Scholar]
- Peng, W.; Han, T.; Xin, W.-B.; Zhang, X.-G.; Zhang, Q.-Y.; Jia, M.; Qin, L.-P. Comparative research of chemical constituents and bioactivities between petroleum ether extracts of the aerial part and the rhizome of Atractylodes macrocephala. Med. Chem. Res. 2011, 20, 146–151. [Google Scholar] [CrossRef]
- Li, J.H.; Liu, Y.J. Research on the antimicrobial activity of Atractylodes Lancea extract against clinical isolates of multidrug-resistant Escherichia coli. Guangming J. Chin. Med. 2023, 38, 1688–1691. [Google Scholar]
- Wan, Y.H.; Chen, Q.H.; Xu, W.; Chen, Y.J. Effect of Atractylodes essential oil on different Colletotrichum species causing tea brown blight disease. Sci. Hortic-Amsterdam. 2024, 324, 112611. [Google Scholar] [CrossRef]
- Dayrit, F.M.; Trono, C.M.; Morallo-Rejesus, B.; Maini, H. Anti-pest compounds from the volatile oil of Vitex negundo L. Philippine J. Sci. 1995, 124, 15–27. [Google Scholar]
- Guo, S.S.; Wang, Y.; Pang, X.; Geng, Z.F.; Cao, J.Q. Seven herbs against the stored product insect: Toxicity evidence and the active sesquiterpenes from Atractylodes lancea. Ecotox. Environ. Safe. 2019, 169, 807–813. [Google Scholar] [CrossRef] [PubMed]
- Kim, H.K.; Yun, Y.K.; Ahn, Y.J. Toxicity of atractylon and atractylenolide III identified in Atractylodes ovata rhizome to Dermatophagoides farinae and Dermatophagoides pteronyssinus. J. Agric. Food Chem. 2007, 55, 6027–6031. [Google Scholar] [CrossRef] [PubMed]
- He, H.; Zhang, X.M.; Wang, Z.Q.; Ahn, Y.J.; Wang, M. Toxic effects of extract and active component from Atractylodes lancea on mosquito. J. Huazhong Agr. Univ. 2017, 36, 39–42. [Google Scholar]
- Ji, Z.H.; Liu, C.; Zhao, H.; Yu, X.Y. Neuroprotective effect of biatractylenolide against memory impairment in D-galactose-induced aging mice. J. Mol. Neurosci. 2015, 55, 678–683. [Google Scholar] [CrossRef]
- Zhu, L.; Ning, N.; Li, Y.; Zhang, Q.F.; Xie, Y.C.; Irshad, M.; Feng, X.; Tao, X.J. Biatractylolide modulates PI3K-Akt-GSK3β-Dependent pathways to protect against glutamate-induced cell damage in PC12 and SH-SY5Y Cells. Evid. Ba. Compl. Alt. Med. 2017, 2017, 1291458. [Google Scholar] [CrossRef]
- Gong, W.X.; Zhou, Y.Z.; Qin, X.M.; Du, G.H. Involvement of mitochondrial apoptotic pathway and MAPKs/NF-κB inflammatory pathway in the neuroprotective effect of atractylenolide III in corticosterone-induced PC12 cells. Chin. J. Nat. Med. 2019, 17, 264–274. [Google Scholar]
- Liu, C.; Zhao, H.; Ji, Z.H.; Xin, Y.Y. Neuroprotection of Atractylenolide III from Atractylodis macrocephalae against glutamate-induced neuronal apoptosis via inhibiting caspase signaling pathway. Neurochem. Res. 2014, 39, 1753–1758. [Google Scholar] [CrossRef]
- Gao, H.; Zhu, X.; Xi, Y.; Li, Q.; Shen, Z.; Yang, Y. Anti-depressant-like effect of atractylenolide I in a mouse model of depression induced by chronic unpredictable mild stress. Exp. Ther. Med. 2018, 15, 1574–1579. [Google Scholar] [CrossRef]
- Zhou, Y.; Huang, S.H.; Wu, F.L.; Zheng, Q.Y.; Zhang, F.S.; Luo, Y.X.; Jian, X.H. Atractylenolide III reduces depressive- and anxiogenic-like behaviors in rat depression models. Neurosci. Lett. 2021, 759, 136050. [Google Scholar] [CrossRef]
- Yu, X.W.; Qi, Y.W.; Li, Z. Atractylenolide II improves neuronal cell injury induced by oxidative stress through phosphatidylinositol-3 kinase/protein kinase B. Chin. J. Clin. Pharmacol. 2023, 39, 37–41. [Google Scholar]
- Tan, S.Y.; Yang, S.; Kang, H.M.; Zhou, K.; Wang, H.Q.; Zhang, Y.J.; Chen, S. Atractylenolide III ameliorated autophagy dysfunction via epidermal growth factor receptor-mammalian target of rapamycin signals and alleviated silicosis fibrosis in mice. Lab. Invest. 2023, 103, 100024. [Google Scholar] [CrossRef] [PubMed]
- Lin, Y.; Liu, X.X.; Tan, D.; Jiang, Z.Y. Atractylon treatment prevents sleep-disordered breathing-induced cognitive dysfunction by suppression of chronic intermittent hypoxia-induced M1 microglial activation. Biosci. Rep. 2020, 40, BSR20192800. [Google Scholar] [CrossRef] [PubMed]
- Kiso, Y.; Tohkin, M.; Hikino, H. Mechanism of antihepatotoxic activity of atractylon, I: Effect on free radical generation and lipid peroxidation. Planta Med. 1985, 2, 97–100. [Google Scholar] [CrossRef] [PubMed]
- Hwang, J.M.; Tseng, T.H.; Hsieh, Y.S.; Chou, F.P.; Wang, C.J.; Chu, C.Y. Inhibitory effect of atractylon on tert-butyl hydroperoxide induced DNA damage and hepatic toxicity in rat hepatocytes. Arch. Toxicol. 1996, 70, 640–644. [Google Scholar] [CrossRef] [PubMed]
- Xiao, C.; Xu, C.; He, N.; Liu, Y.; Wang, Y.; Zhang, M.; Ji, K.; Du, L.; Wang, J.; Wang, Q.; et al. Atractylenolide II prevents radiation damage via MAPKp38/Nrf2 signaling pathway. Biochem. Pharmacol. 2020, 177, 114007. [Google Scholar] [CrossRef] [PubMed]
- Song, H.P.; Hou, X.Q.; Li, R.Y.; Yu, R.; Li, X.; Zhou, S.N.; Huang, H.Y.; Cai, X.; Zhou, C. Atractylenolide I stimulates intestinal epithelial repair through polyamine-mediated Ca2+ signaling pathway. Phytomedicine 2017, 28, 27–35. [Google Scholar] [CrossRef] [PubMed]
- Wang, K.T.; Chen, L.G.; Wu, C.H.; Chang, C.C.; Wang, C.C. Gastroprotective activity of atractylenolide III from Atractylodes ovata on ethanol-induced gastric ulcer in vitro and in vivo. J. Pharm. Pharmacol. 2010, 62, 381–388. [Google Scholar] [CrossRef] [PubMed]
- Nogami, M.; Moriura, T.; Kubo, M.; Tani, T. Studies on the Origin, Processing and Quality of Crude Drugs. II.: Pharmacological Evaluation of the Chinese Crude Drug “Zhu” in Experimental Stomach Ulcer.(2).: Inhibitory Effect of Extract of Atractylodes lancea on Gastric Secretion. Chem. Pharm. Bull. 1986, 34, 3854–3860. [Google Scholar] [CrossRef] [PubMed]
- Wang, J.H.; Xue, B.Y.; Liang, A.H.; Wang, L.; Fu, M.H.; Ye, Z.G. Effects of β-eudesmol, an active constituent from rhizoma Atractylodis on small intestine movement in rats. Chin. Pharm. J. 2002, 37, 266–268. [Google Scholar]
- Kimura, Y.; Sumiyoshi, M. Effects of an Atractylodes lancea rhizome extract and a volatile component β-eudesmol on gastrointestinal motility in mice. J. Ethnopharmacol. 2012, 141, 530–536. [Google Scholar] [CrossRef]
- Li, X.Y.; Zhao, G.; Liu, P.L.; You, W.L. Effect of Atractylenolide I on intestinal flora in rats with slow transit constipation. J. Qingdao Univ. (Med. Sci.) 2023, 59, 216–220. [Google Scholar]
- Tu, J.; Xie, Y.; Xu, K.; Qu, L.; Lin, X.; Ke, C.; Yang, D.; Cao, G.; Zhou, Z.; Liu, Y. Treatment of spleen-deficiency syndrome with Atractyloside A from bran-processed Atractylodes lancea by protection of the intestinal mucosal barrier. Front. Pharmacol. 2020, 11, 583160. [Google Scholar] [CrossRef]
- Yu, Y.; Jia, T.Z.; Cai, Q.; Jiang, N.; Ma, M.Y.; Min, D.Y.; Yuan, Y. Comparison of the anti-ulcer activity between the crude and bran-processed Atractylodes lancea in the rat model of gastric ulcer induced by acetic acid. J. Ethnopharmacol. 2014, 160, 211–218. [Google Scholar] [CrossRef]
- Zhang, H.; Han, T.; Sun, L.N.; Huang, B.K.; Chen, Y.F.; Zheng, H.C.; Qin, L.P. Regulative effects of essential oil from Atractylodes lancea on delayed gastric emptying in stress-induced rats. Phytomedicine 2008, 15, 602–611. [Google Scholar] [CrossRef]
- Nakai, Y.; Kido, T.; Hashimoto, K.; Kase, Y.; Sakakibara, I.; Higuchi, M.; Sasaki, H. Effect of the rhizomes of Atractylodes lancea and its constituents on the delay of gastric emptying. J. Ethnopharmacol. 2003, 84, 51–55. [Google Scholar] [CrossRef]
- Yu, Z.Q.; Niu, P.; Su, Z.Y.; Ma, C.Y.; Wang, X.; Zhao, D.X.; Zhang, S. Role of atractylenolide I in cerebral ischemia reperfusion injury. Rev. Bras. Farmacogn. 2023, 33, 573–582. [Google Scholar] [CrossRef]
- Du, Z.Y.; Ma, Z.M.; Lai, S.L.; Ding, Q.C.; Hu, Z.Y.; Yang, W.W.; Qian, Q.Y.; Zhu, L.W.; Dou, X.B.; Li, S.T. Atractylenolide I ameliorates acetaminophen-induced acute liver injury via the TLR4/MAPKs/NF-κB signaling pathways. Front. Pharmacol. 2022, 13, 797499. [Google Scholar] [CrossRef]
- Wang, Y.; Shi, K.; Tu, J.Y.; Ke, C.; Chen, N.P.; Wang, B.; Liu, Y.J.; Zhou, Z.S. Atractylenolide III ameliorates bile duct ligation-induced liver fibrosis by inhibiting the PI3K/AKT pathway and regulating glutamine metabolism. Molecules 2023, 28, 5504. [Google Scholar] [CrossRef]
- Chen, Y.; Yang, W.; Guo, L.; Wu, X.; Zhang, T.; Liu, J.; Zhang, J. Atractylodes lactone compounds inhibit platelet activation. Platelets 2017, 28, 194–202. [Google Scholar] [CrossRef]
- Li, X.C.; Wei, G.; Wang, X.Z.; Liu, D.H.; Deng, R.D.; Li, H.; Zhou, J.H.; Li, Y.W.; Zeng, H.P.; Chen, D.F. Targeting of the Sonic Hedgehog pathway by atractylenolides promotes chondrogenic differentiation of mesenchymal stem cells. Biol. Pharm. Bull. 2012, 35, 1328–1335. [Google Scholar] [CrossRef] [PubMed]
- Tshering, G.; Pimtong, W.; Plengsuriyakarn, T.; Na-Bangchang, K. Anti-angiogenic effects of beta-eudesmol and atractylodin in developing zebrafish embryos. Comp. Biochem. Physiol. C Toxicol. Pharmacol. 2021, 243, 108980. [Google Scholar] [CrossRef]
- Tsuneki, H.; Ma, E.L.; Kobayashi, S.; Sekizaki, N.; Maekawa, K.; Sasaoka, T.; Wang, M.W.; Kimura, I. Antiangiogenic activity of β-eudesmol in vitro and in vivo. Eur. J. Pharmacol. 2005, 512, 105–115. [Google Scholar] [CrossRef] [PubMed]
- Jeong, Y.H.; Li, W.; Go, Y.; Oh, Y.C. Atractylodis rhizoma alba attenuates neuroinflammation in BV2 microglia upon LPS stimulation by inducing HO-1 activity and inhibiting NF-κB and MAPK. Int. J. Mol. Sci. 2019, 20, 4015. [Google Scholar] [CrossRef]
- Shanthini, N.; Pathangi, K.R. In vitro anti-inflammatory activity with ethanolic leaf extracts of Rivea hypocrateriformis LPS stimulated raw 264.7 macrophages. Curr. Bioact. Compd. 2023, 19, 51–59. [Google Scholar]
- Hwang, D.-R.; Wu, Y.-S.; Chang, C.-W.; Lien, T.-W.; Chen, W.-C.; Tan, U.-K.; Hsu, J.T.; Hsieh, H.-P. Synthesis and anti-viral activity of a series of sesquiterpene lactones and analogues in the subgenomic HCV replicon system. Bioorg. Med. Chem. 2006, 14, 83–91. [Google Scholar] [CrossRef] [PubMed]
- Barreto, I.C.; de Almeida, A.S.; Sena Filho, J.G. Taxonomic insights and its type cyclization correlation of volatile sesquiterpenes in Vitex species and potential source insecticidal compounds: A review. Molecules 2021, 26, 6405. [Google Scholar] [CrossRef]
- Wu, Z.L.; Wang, Q.; Dong, H.Y.; Li, H.L.; Wang, S.M.; Zhang, W.D. Five rare dimeric sesquiterpenes exhibiting potential neuroprotection activity from Vladimiria souliei. Fitoterapia 2018, 128, 192–197. [Google Scholar] [CrossRef] [PubMed]
- Shoaib, M.; Shah, I.; Ali, N.; Adhikari, A.; Tahir, M.N. Sesquiterpene lactone: A promising antioxidant, anticancer and moderate antinociceptive agent from Artemisia macrocephala jacquem. BMC Complement. Altern. Med. 2017, 17, 27. [Google Scholar] [CrossRef] [PubMed]

| Pharmacology | Compounds/Extracts | Active Concentration | Experimental Model | Mechanisms/Effects | Ref. |
|---|---|---|---|---|---|
| Anticancer activity | Atractylon (98) | 30 mg/mL | Intestinal cancer cells | Suppressing the PI3K/AKT/mTOR signaling pathway. | [80] |
| Atractylon (98) | 20 μΜ and 10 mg/kg | HepG2 liver cancer cells and BAL B/c nude mice | Regulating the expression of TMPO-AS1 and A coiled-coil domain-containing CCDC183-AS1 and subsequently inhibited the invasion and migration of hepatic carcinoma cells in vitro. | [81] | |
| β-eudesmol (55) | IC50 = 16.80 ± 4.41 µg/mL | HuCCT-1 cell | Upstream/downstream molecules in the CCA cell line at the gene and protein expression levels through the Notch signaling pathway. | [82] | |
| Hinesol (137) | 100 μΜ | HL-60 cells | Inducing apoptosis through the JNK signaling pathway. | [70] | |
| Atramacronoid A (18) | 13 μmol/L | SGC-7901 cells | Promoting the synthesis of NE. | [44] | |
| β-eudesmol (55) | 10–100 μM and 2.5–5 mg/kg | HeLa SGC-7901 and BEL-7402 in vitro and H22 and S180 mice in vivo | Suppressing CREB activation in growth factor signalling pathway. | [83] | |
| Hinesol (137) | 2 and 8 μg/mL | A549 and NCI-H1299 cell lines | Downregulating MEK/ERK and NF-κB pathways. | [84] | |
| AT-I (1), AT-II (2), and atractylenolactam (97) | 76.46, 84.02, and 54.88 μΜ | B16 cells | Inactivating Ras/ERK MAPK (for AT-I and AT-II) and PI3/AKT pathways. | [85] | |
| AT-I (1) | 20 μM | Ovarian cancer SK-OV-3 and OVCAR-3 cells | Downregulating the expression of CDK1 through PI3K/AKT pathway. | [86] | |
| AT-I (1) | 0–100 μM | HGC-27, MGC-803 and MKN-45 gastric stem-like cells | Inactivating the Notch1 pathway, leading to reduced expressions of downstream target Hes1, Hey1, and CD44 in vitro. | [87] | |
| AT-I (1) | 40 μM and 40 mg/kg | A549 and HCC827 cells and transplanted tumor nude mice | Inducing apoptosis via a mitochondria-mediated apoptosis pathway. | [88] | |
| AT-II (2) | 75 μM | B16 cells | Increasing the expression of phosphorylated-p38, decreasing the expression of phosphorylated-Akt and phosphorylated-ERK. | [89] | |
| AT-II (2) | 200 μM | HGC-27 and AGS gastric carcinoma cells | Modulating Akt/ERK signaling pathway, which upregulated the expression level of Bax but downregulated the expression levels of Bcl-2, p-Akt, and p-ERK. | [90] | |
| AT-III (3) | 40 μΜ and 75 mg/kg | Human breast cancer MDA-MB-468 and MDA-MB-231 cells and Five- to six-week-old female NOD/SCID mice | Downregulating TGF-β signaling and blocking the activation of Runx2 phosphorylation. | [91] | |
| AT-III (3) | 1–100 μM | Human lung carcinoma A549 cells | Inhibiting cell growth, increasing lactate dehydrogenase release and modulated cell cycle. | [92] | |
| Anti-inflammatory activity | AT-I (1) | 15.15 mg/kg and 3.89 μg/mL | FCA-induced air pouch mice and a model of the mice aortic ring co-cultured with peritoneal macrophages | Downregulating the actions of NO, TNF-α, IL-1β, IL-6, VEGF, and PlGF in chronic inflammation. | [93] |
| AT-I (1) | IC50 = 5.40 ± 0.50 μM and IC50 = 4.41 ± 0.45 μM | RAW264.7 cells and BV2 microglial cells | Inhibiting the LPS-induced phosphorylation of p38 and ERK MAPKs. | [94] | |
| AT-I (1) | 50 μM | Vascular smooth muscle cells | Responding to the expression of MCP-1 and downregulating the expression of effective inflammatory mediators of the vascular inflammatory response. | [95] | |
| AT-I (1) | 300 mg/kg | Acute and chronic inflammation models in mice | Acting on white blood cell membrane and its receptors. | [96] | |
| AT-I (1) | 300 mg/kg | A model of white blood cell membrane chromatography in vitro | Antagonizing TLR4 pathway. | [97] | |
| AT-I (1) | 1–100 µM | RAW264.7 cells | Inhibiting of the NF-κB, ERK ½, and p38 signaling pathways. | [98] | |
| AT-I (1) and AT-III (3) | 67.3 and 76.1 µM | Male inbred BALB/c mice | Downregulating LPS-induced TNF-α expression and iNOS expression. | [99] | |
| AT-III (3) | 5 mg/kg | Osteoarthritis rat model | Reducing the phosphorylation of IKK α/β, IκBα and P65 in NF-κB pathway, as well as nuclear translocation of p65. | [100] | |
| Atractylon (98) | 160 and 320 μM | BV2 cells | Downregulating the ERK, c-JNK and NF-κB pathways. | [101] | |
| Atractylon (98) | 40 mg/kg | RAW 264.7cells | Inhibiting NO and prostaglandin E2 production as well as inducible NO synthase and cyclooxygenase-2 expression. | [35] | |
| β-eudesmol (55) | 0.2–20 µM | HMC-1 cells | Suppressing the activation of p38 MAPKs and nuclear factor-κB. Suppressing the activation of caspase-1 and expression of receptor-interacting protein-2. | [102] | |
| Antimicrobial and antiviral activity | Atractyloside A (124) | 30 and 100 µM, 30 mg/kg | Human lung cancer cell line A549 and the canine kidney cell line MDCK, and MDCK, C57BL/6 mice | Regulating macrophage polarization to the M2-type. | [103] |
| Atractylon (98) | 78.125 μg/mL | Influenza virus A H3N2, influenza virus A H5N1, and influenza B virus | Exhibiting antivirus effect at nontoxic concentration. | [104] | |
| Atractylon (98) | 10–40 mg/kg | IAV-infected mice | Activating TLR-7 pathway to induce type I IFN production and NF-κB p65 inhibition. | [105] | |
| A. lancea rhizomes essential oil, mainly composed of β-eudesmol (36.5%), hinesol (29.4%), elemol (4.21%), and atractylone (4.10%) | The MICs of the tested bacteria were 64, 32, 64, 32, 64, and 64 μg/mL. The MBCs were 64, 64, 128, 64, 128, and 128 μg/mL | Staphylococcus aureus ATCC 25923, Bacillus cereus ATCC 14579, Bacillus subtilis ATCC 6633, Escherichia coli ATCC 25922, Proteus vulgaris ATCC 12453, and Pseudomonas aeruginosa ATCC 27853 | Disrupting the cell membrane. | [106] | |
| The petroleum ether extracts of A. macrocephala rhizomes, mainly composed of 3, 6-dimethyl-5- (prop-1-en-2-yl)-6-vinyl-4, 5, 6, 7-tetrahydrobenzofuran (72.49%) and Guaia-3, 9-diene (7.12%) | The MICs of the tested bacteria were 20, 10, 40, and 20 mg/mL. The MBCs were all >40 mg/mL | Staphylococcus aureus, Escherichia coli, Bacillus subtilis, and Shigella felxneri | Inhibiting bacterial growth. | [107] | |
| A. lancea rhizomes essential oil | 2.5–25 mg/mL | Multidrug-resistant Escherichia coli | Showing antibacterial effect on drug-resistant bacteria. | [108] | |
| Atractylodes essential oil | The EC50 values of the tested bacteria were 0.089, 0.165, 0.108, 0.205, and 0.092 mg/mL | Colletotrichum karstii, Colletotrichum gloeosporioides, Colletotrichum camelliae, Colletotrichum fioriniae, and Colletotrichum chongqingense | Influencing the morphology of conidia and hyphae, biological activity of TP, MDA, SOD, AKP, and CAT, and gene expression. | [109] | |
| Insecticidal activity | The essential oil of A. lancea, and atractylon (98) and β-eudesmol (55) | LD50 = 2.44 μg/adult and LD50 = 1.63 and LD50 = 2.65 μg/adult, control (commercial botanical, rotenone with an LD50 = 3.70 μg/adult | Drosophila melanogaster | Showing pronounced contact toxicity. | [49] |
| β-eudesmol (55) | – | Plutella xylostella diamondback moth | Exhibiting antipest activity. | [110] | |
| β-eudesmol (55) | 60.74 μg/adult | Tribolium castaneum adults (red flour beetles) | Possessing contact toxicity. | [111] | |
| AT-III (3) and atractylon (98) | 103.3 and 136.2 mg/m2, 73.8 and 72.1 mg/m2 | Dermatophagoides farinae and Dermatophagoides pteronyssinus | Showing acaricidal activity in the vapor phase. | [112] | |
| The hexane-soluble phase of A. lancea rhizomes | LC50 = 16.87 μg/mL | Aedes albopictus | Showing high lavicidal activity against susceptible A. albopictus. | [113] | |
| Activities on the nervous system | Biatractylenolide (88) | 1 and 2 mg/kg | D-galactose-treated mice | Decreasing the formation of ROS and the activity of AChE and increasing the expression of synapsin I and PKC. | [114] |
| Biatractylolide (88) | 8.5 mM and 10 mM | PC 12 and SH-SY5Y Cells | Modulating PI3K-Akt-GSK3β-dependent pathways. | [115] | |
| AT-III (3) | 1–20 μmol/L | PC 12 cells | Inhibiting the intracellular Ca2+ overloading, inhibiting the mitochondrial apoptotic pathway, and modulating the MAPK/NF-κB inflammatory pathways. | [116] | |
| AT-III (3) | 40 μM | Cerebral cortical neurons from embryos of BALB/c mice | Inhibiting caspase signaling pathway, which markedly attenuated caspases-3-like activity. | [117] | |
| AT-I (1) | 5, 10, and 20 mg/kg | Chronic unpredictable mild stress mice | Inhibiting NLRP3 inflammasome activation to decrease IL-1β production. | [118] | |
| AT-III (3) | 3, 10, and 30 mg/kg | Rat depression models | Decreasing the proinflammatory cytokines levels in the hippocampus of CUMS exposed rats. | [119] | |
| AT-II (2) | 30, 40, and 50 μmol/L | Neuronal HT22 cells | Reducing the injury of neuronal HT22 cells through PI3K/AKT pathway. | [120] | |
| AT-I (1), biepiasterolid (86), isoatractylenolide I (89), and AT-III (3) | 10 μM | SH-SY5Y cells | Playing a significant protective effect on MPP+-induced SH-SY5Y cells. | [121] | |
| Atractylon (98) | 25 mg/kg and 25 μg/mL | Chronic intermittent hypoxia-exposed mice and CIH-induced BV2 cells | Suppressing M1 microglial activation and promoting M2 microglial activation, promoting sirtuin 3 expression. | [122] | |
| Antioxidant activity | Selina-4(14),7(11)-dien-8-one (100) and selina-4(14),7,11-trien-9-ol (101) | 34.0 μM | HEK293T cells | Activating the Nrf2-ARE receptor in Keap1-Nrf2-ARE signaling pathway. | [28] |
| Atractylon (98) | 1.0 mg/mL | Wistar strain rats | Scavenging CCl3 radical in the absence of PBN, inhibiting lipid peroxidation by CCl4, and suppressing CCl4-induced liver lesion. | [123] | |
| Atractylon (98) | 0.01, 0.1, 1 mg/mL | Primary cultured rat hepatocytes | Decreasing the formation of MDA and leakage of LDH and alanine ALT and repair synthesis of DNA. | [124] | |
| AT-II (2) | 50 μM | HaCaT cells | Promoting the expression of antioxidant factors HO-1 and NQO-1, which are mediated by Nrf2 signaling pathway, upregulating the expression of MAPKp38. | [125] | |
| Activity in gastrointestinal system | AT-I (1) | 5 and 10 μM | The IEC-6 cell line | Stimulating intestinal epithelial cell migration and proliferation via the polyamine-mediated Ca2+ signaling pathway. | [126] |
| AT-III (2) | 0.27 mM and 10 mg/kg | Ethanol-induced PRGM cell damage in vitro and ethanol-induced acute rat gastric ulcer models in vivo | Inhibiting MMP-2 and MMP-9 expression, decreasing the ECM damage and preventing gastric ulcer formation. | [127] | |
| β-eudesmol (55) and hinesol (137) | 50 and 100 mg/kg | Pylorus-ligated rat | Blocking the histamine H2-receptor. | [128] | |
| β-eudesmol (55) | 60 and 120 mg/kg | Spleen-deficient mice | Exhibiting antagonistic effect of gastrointestinal movement induced by neostigmine. | [129] | |
| β-eudesmol (55) | 100 mg/kg | Male ICR mice | Inhibiting the dopamine D2 receptor and HT3 receptor. | [130] | |
| AT-I (1) | 10 mg/kg | Constipation rats | Improving intestinal flora disturbance and increasing the content of acetic acid and propionic acid. | [131] | |
| Atractyloside A (124) | 1.25, 2.5, and 5 mg/kg, | Spleen-deficiency syndrome rats | Protecting the intestinal mucosal barrier via inhibition of the p38 MAPK pathway. | [132] | |
| A. lancea processed | 0.625, 1.25, and 2.5 g/kg | The rat model of gastric ulcer induced by acetic acid | Downregulating TNF-α, IL-6, IL-8, and PGE2, upregulating EGF and TFF2. | [133] | |
| A. lancea rhizome essential oil, mainly containing β-eudesmol (34.15%, w/w) and hinesol (4.32%, w/w) | 30, 60, and 120 mg/kg | Vagotomized rats | Inhibiting the release of central CRF and activation of vagal pathway. | [134] | |
| The lipophilic fractions of A. lancea rhizomes | 4 mg/kg | Gastric emptying of rats | Improving delayed gastric emptying. | [135] | |
| Miscellaneous activities | |||||
| Alleviate cerebral ischemia/reperfusion injury | AT-I (1) | 50 mg/kg | Induction of middle cerebral artery occlusion in C57BL/6 mice | Inactivating the nuclear factor-κB pathway. | [136] |
| Ameliorate liver injury | AT-I (1) | 60 and 120 mg/kg | C57BL/6 mice | Regulating the TLR4/MAPK/ NF-κB signaling pathways. | [137] |
| AT-III (3) | 10 and 50 mg/kg | A bile duct ligation mice model | Downregulating the activity of glutamine and glutamine metabolism. | [138] | |
| Inhibit platelet activation | AT-II (2) and AT-III (3) | 60 mg/kg | Iron chloride-induced carotid artery thrombosis mice | Reducing agonistinduced platelet aggregation and ATP secretion, downregulating p-Akt and p-p38 MAPK levels, and inhibiting platelet proliferation and clot contraction but also prolonged the time to first occlusion and prolonged bleeding. | [139] |
| Enhance chondrogenic differentiation | AT-I (1) and AT-III (3) | 1–300 μg/mL | mesenchymal stem cells | Activating the Shh pathway. | [140] |
| Antiangiogenic activity | β-eudesmol (55) | 6.3, 12.5, and 25 μM | Ebra fish embryos | Downregulating Vegfaa gene expression. | [141] |
| Block angiogenesis | β-eudesmol (55) | 50–100 μM, 0.90 μmol/kg | Cerebral and peripheral vascular endothelial cells in vitro and Matrigel plugs and adjuvant-induced granuloma mice in vivo | Blockading the ERK signaling pathway. | [142] |
Disclaimer/Publisher’s Note: The statements, opinions and data contained in all publications are solely those of the individual author(s) and contributor(s) and not of MDPI and/or the editor(s). MDPI and/or the editor(s) disclaim responsibility for any injury to people or property resulting from any ideas, methods, instructions or products referred to in the content. |
© 2024 by the authors. Licensee MDPI, Basel, Switzerland. This article is an open access article distributed under the terms and conditions of the Creative Commons Attribution (CC BY) license (https://creativecommons.org/licenses/by/4.0/).
Share and Cite
Qu, Z.; Liu, H.; Zhang, Z.; Zheng, P.; Zhao, S.; Hou, W. Phytochemistry and Pharmacology of Sesquiterpenoids from Atractylodes DC. Genus Rhizomes. Molecules 2024, 29, 1379. https://doi.org/10.3390/molecules29061379
Qu Z, Liu H, Zhang Z, Zheng P, Zhao S, Hou W. Phytochemistry and Pharmacology of Sesquiterpenoids from Atractylodes DC. Genus Rhizomes. Molecules. 2024; 29(6):1379. https://doi.org/10.3390/molecules29061379
Chicago/Turabian StyleQu, Zhengyi, Hongqun Liu, Zhenghai Zhang, Peihe Zheng, Shuting Zhao, and Wei Hou. 2024. "Phytochemistry and Pharmacology of Sesquiterpenoids from Atractylodes DC. Genus Rhizomes" Molecules 29, no. 6: 1379. https://doi.org/10.3390/molecules29061379
APA StyleQu, Z., Liu, H., Zhang, Z., Zheng, P., Zhao, S., & Hou, W. (2024). Phytochemistry and Pharmacology of Sesquiterpenoids from Atractylodes DC. Genus Rhizomes. Molecules, 29(6), 1379. https://doi.org/10.3390/molecules29061379



































































































































































