Dielectric and Magnetoelectric Properties of TGS–Magnetite Composite
Abstract
1. Introduction
2. Results and Discussion
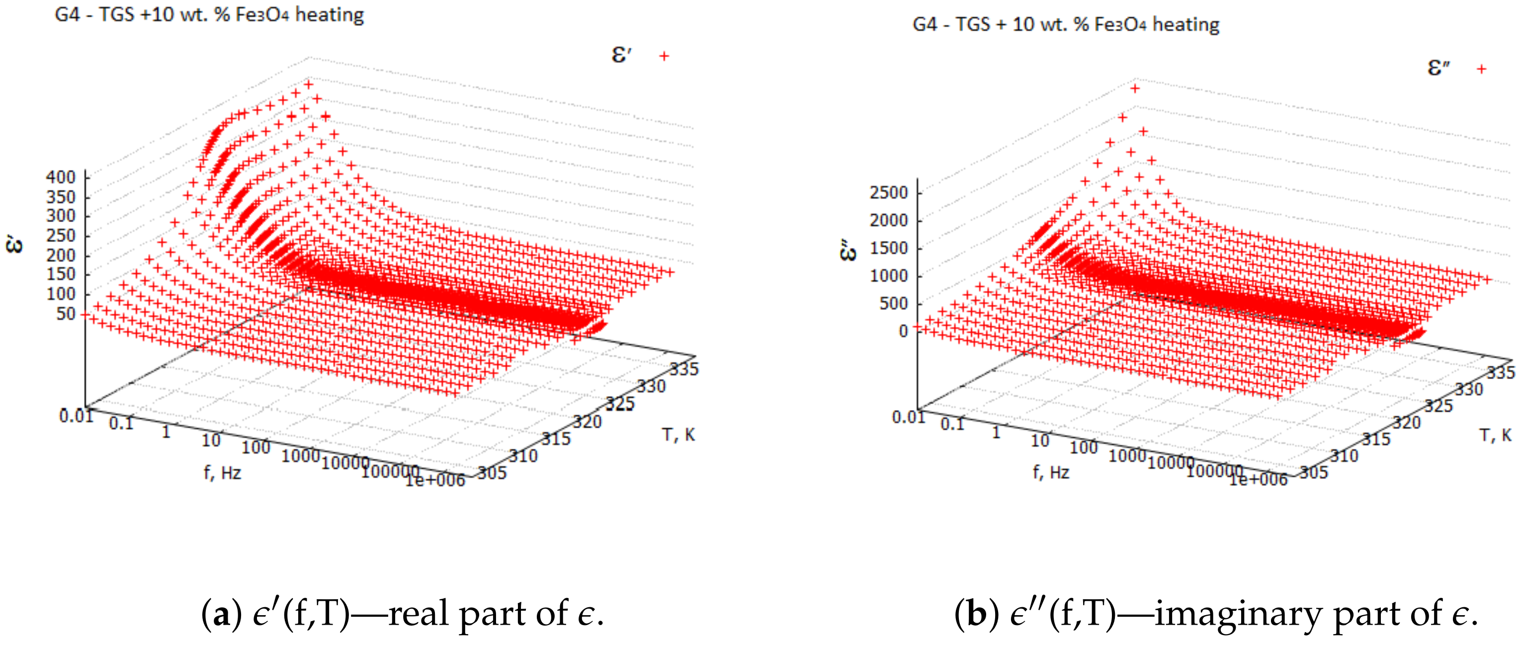
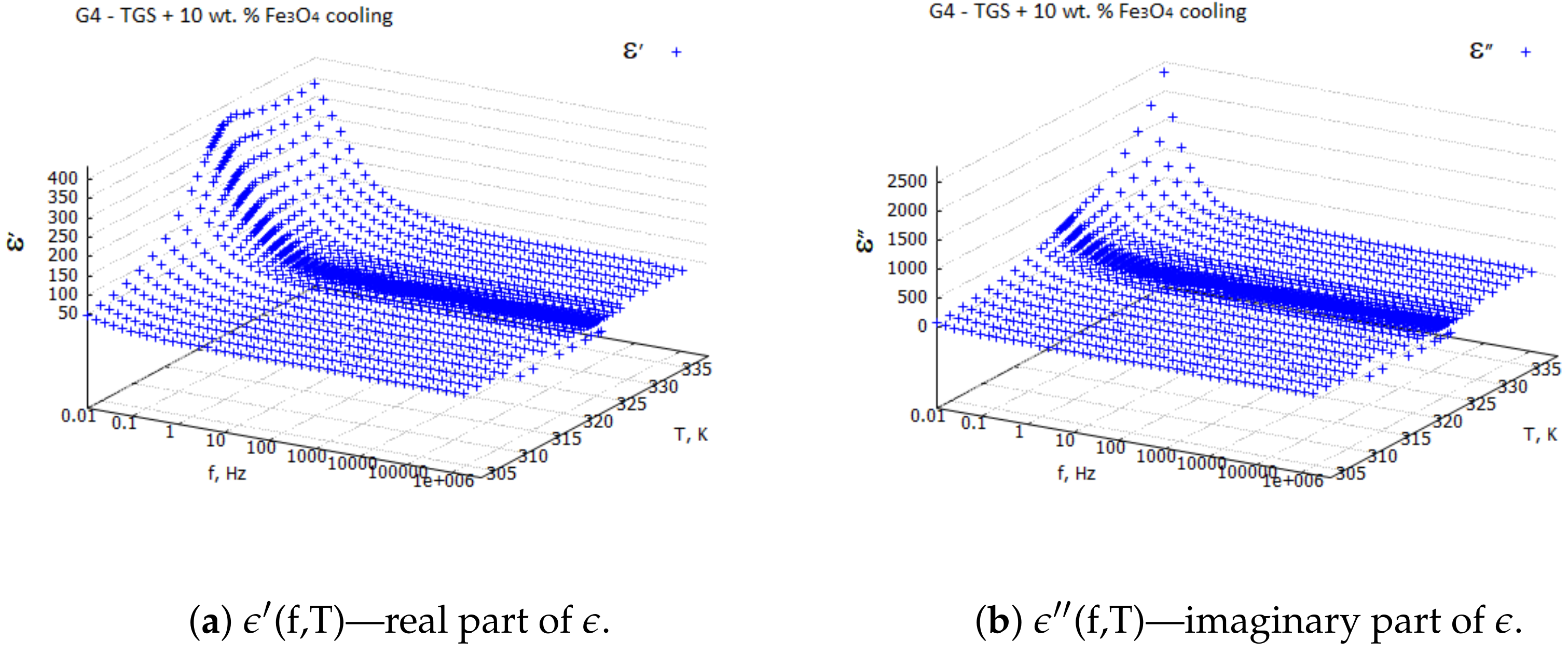
2.1. Results of Dielectric Measurements
- G1—monocrystalline TGS samples;
- G2—samples made of powdered TGS (grain size ≤ 5 m);
- G3—composite samples doped with carbon powder, which is a non-magnetic material (grain size ≤ 5 m);
- G4—composite samples doped with magnetite (grain size ≤ 5 m).
2.2. Results of Magnetoelectric Coupling Measurements
3. Materials and Methods
3.1. Magnetic Part of the Composite
3.2. Electric Part of the Composite
3.3. Composite Fabrication
3.4. Measurements Methods
4. Theoretical Model
5. Conclusions
Author Contributions
Funding
Institutional Review Board Statement
Informed Consent Statement
Data Availability Statement
Acknowledgments
Conflicts of Interest
References
- Khomskii, D. Classyfying multiferroics: Mechanisms and effects. Physics 2009, 2, 20–28. [Google Scholar] [CrossRef]
- Fiebig, M. Revival of the magnetoelectric effect. Topical Review. J. Phys. D Appl. Phys. 2005, 38, R123–R152. [Google Scholar] [CrossRef]
- Fiebig, M.; Lottermoser, T.; Meier, D.; Trassin, M. The evolution of multiferroics. Nat. Rev. Mater. 2016, 1, 1–11. [Google Scholar] [CrossRef]
- Cheong, S.-W.; Mostovoy, M. Multiferroics: A magnetic twist for ferroelectricity. Nat. Mater. 2007, 6, 13–20. [Google Scholar] [CrossRef]
- Spaldin, N.A.; Cheong, S.W.; Ramesh, R. Multiferroics: Past, present, and future. Phys. Today 2010, 63, 38–43. [Google Scholar] [CrossRef]
- Ramesh, R.; Spaldin, N.A. Multiferroics: Progress and prospects in thin films. Nat. Mater. 2007, 6, 21–29. [Google Scholar] [CrossRef]
- Eerenstein, W.; Mathur, N.; Scott, J.F. Multiferroic and magnetoelectric materials. Nature 2006, 442, 759–765. [Google Scholar] [CrossRef] [PubMed]
- Khomeriki, R.; Chotorlishvili, L.; Tralle, I.; Berakdar, J. Positive–negative birefringence in multiferroic layered metasurfaces. Nano Lett. 2016, 16, 7290–7294. [Google Scholar] [CrossRef]
- Stagraczyński, S.; Chotorlishvili, L.; Schüler, M.; Mierzejewski, M.; Berakdar, J. Many-body localization phase in a spin-driven chiral multiferroic chain. Phys. Rev. B 2017, 96, 054440–054447. [Google Scholar] [CrossRef]
- Khomeriki, R.; Chotorlishvili, L.; Malomed, B.A.; Berakdar, J. Creation and amplification of electro-magnon solitons by electric field in nanostructured multiferroics. Phys. Rev. B 2015, 91, 041408(R)–041412(R). [Google Scholar] [CrossRef]
- Pradhan, D.K.; Puli, V.S.; Kumari, S.; Sahoo, S.; Das, P.T.; Pradhan, K.; Pradhan, D.K.; Scott, J.F.; Katiyar, R.S. Studies of phase transitions and magnetoelectric coupling in PFN-CZFO multiferroic composites. J. Phys. Chem. C 2016, 120, 1936–1944. [Google Scholar] [CrossRef]
- Evans, D.M.; Alexe, M.; Schilling, A.; Kumar, A.; Sanchez, D.; Ortega, N.; Katiyar, R.S.; Scott, F.; Gregg, J.M. The nature of magnetoelectric coupling in Pb(Zr,Ti)O3-Pb(Fe,Ta)O3. Adv. Mater. 2015, 27, 6068–6073. [Google Scholar] [CrossRef] [PubMed]
- Tripathy, S.N.; Pradhan, D.K.; Mishra, K.K.; Sen, S.; Palai, R.; Paulch, M.; Scott, J.F.; Katiyar, R.S.; Pradhan, D.K. Phase transition and enhanced magneto-dielectric response in BiFeO3.-DyMnO3. multiferroics. J. Appl. Phys. 2015, 117, 144103. [Google Scholar] [CrossRef]
- Ovchinnikova, G.I.; Eremeev, A.P.; Belugina, N.V.; Gainutdinov, R.V.; Ivanova, E.S.; Tolstikhina, A.L. Dielectric Losses in the Triglycine Sulfate Crystal under Heating and Cooling. Phys. Wave Phenom. 2017, 25, 231–237. [Google Scholar] [CrossRef]
- Bartkowska, J.A.; Dercz, J. Determination of the magnetoelectric coupling coefficient from temperature dependences of the dielectric permittivity for multiferroic ceramics Bi5.Ti3.FeO15. J. Exp. Theor. Phys. 2013, 117, 875–878. [Google Scholar] [CrossRef]
- Bartkowska, J. The magnetoelectric coupling effect in multiferroic composites based on PZT–ferrite. J. Magn. Magn. Mater. 2015, 374, 703–706. [Google Scholar] [CrossRef]
- Mufti, N.; Blake, G.R.; Mostovoy, M.; Riyadi, S.; Nugroho, A.A.; Palstra, T.T. Magnetoelectric coupling in MnTiO3. Phys. Rev. B 2011, 83, 104416–104425. [Google Scholar] [CrossRef]
- Kąkol, Z.; Kozłowski, A. Possible influence of electron-lattice interactions on the Verwey transition in magnetite. Solid State Sci. 2000, 2, 737–746. [Google Scholar] [CrossRef]
- Saragi, T.; Permana, B.; Therigan, A.; Hidayat, S.; Syakir, N.; Risdiana, R. Physical Properties of Encapsulated Iron Oxide, Materials Science Forum. Trans. Tech. Publ. 2019, 966, 277–281. [Google Scholar]
- Puspita, D.A.; Rohman, L.; Arkundato, A.; Syarifah, R.D. Phase Transition of Fe3O4 Magnetic Material Based on Observation of Curie Temperature and Hysteresis Curve: Micromagnetic Simulation Study. Eur. J. Appl. Phys. 2021, 3, 3–10. [Google Scholar] [CrossRef]
- Wang, Y.; Li, T.; Zhao, L.; Hu, Z.; Gu, Y. Research Progress on Nanostructured Radar Absorbing Materials. Energy Power Eng. 2011, 3, 580–584. [Google Scholar] [CrossRef]
- ASM. Metal Handbook, Material Characterization; ASM International: Almere, The Netherlands, 1992; Volume 10. [Google Scholar]
- Tauxe, L. Paleomagnetic Principles, and Practice; Kluwer Academic Publishers: Alphen aan den Rijn, The Netherlands, 1998. [Google Scholar]
- Chen, F.; Ilyas, N.; Liu, X.; Li, Z.; Yan, S.; Fu, H. Size Effect of Fe3O4 Nanoparticles on Magnetism and Dispersion Stability of Magnetic Nanofluid. Front. Energy Res. 2021, 9, 780008. [Google Scholar] [CrossRef]
- Pandian, M.S.; Ramasamy, P.; Kumar, B. A comparative study of ferroelectric triglycine sulfate (TGS) crystals grown by conventional slow evaporation and unidirectional method. Mater. Res. Bull. 2012, 47, 1587–1597. [Google Scholar] [CrossRef]
- Hudspeth, J.M.; Goossens, D.J.; Welberry, T.R.; Gutmann, M.J. Diffuse scattering and the mechanism for the phase transition in triglycine sulphate. J. Mater. Sci. 2013, 48, 6605–6612. [Google Scholar] [CrossRef]
- Trybus, M.; Paszkiewicz, T.; Woś, B. Dynamics of Hydrogen Bonds in TGS Crystals Observed by Means of Measurements of Pyroelectric Currents Induced by Linear Changes of Temperature. Acta Phys. Pol. Ser. 2017, 132, 161–163. [Google Scholar] [CrossRef]
- Ghandhe, A.R.; Sannakki, B. Growth of single and its electrical properties of ferroelectric TGS crystals. Mater. Today Proc. 2020, 26, 1506–1513. [Google Scholar] [CrossRef]
- Muzaffar Iqbal Khan, M.I.; Upadhyay, T.C. Theoretical Study of Temperature Dependence of Ferroelectric Mode Frequency, Dielectric Constant and Loss Tangent Properties in hydrogen-bonded Triglycine Sulphate Crystal (TGS). Aip Conf. Proc. 2020, 2220, 040040. [Google Scholar]
- Trybus, M. Phase Transition in Triglycine Sulphate Investigated Using Two-Phase Bridge Measurements. Infrared Phys. Technol. 2020, 109, 103409. [Google Scholar] [CrossRef]
- Trybus, M. Pyroelectric effect in Tryglicyne Sulphate single crystals—Differential measurement method. Infrared Phys. Technol. 2018, 91, 72–77. [Google Scholar] [CrossRef]
- Narayanasamy, D.; Kumaresan, P.; Anbarasan, P.M. Effect of Dyes on TGS Crystals for IR Detector Applications. Int. J. Adv. Res. Phys. Sci. 2015, 2, 19–24. [Google Scholar]
- Khanum, F.; Podder, J. Crystallization and Characterization of Triglycine Sulfate (TGS) Crystal Doped with NiSO4. J. Cryst. Process. Technol. 2011, 1, 49–54. [Google Scholar] [CrossRef][Green Version]
- Muralidharan, R.; Mohankumar, R.; Ushasree, P.M.; Jayavel, R.; Ramasamy, P. Effect of rare-earth dopants on the growth and properties of triglycine sulphate single crystals. J. Cryst. Growth 2002, 234, 545–550. [Google Scholar] [CrossRef]
- Mai, B.D.; Nguyen, H.T.; Ta, D.H. Effects of Moisture on Structure and Electrophysical Properties of a Ferroelectric Composite from Nanoparticles of Cellulose and Triglycine Sulfate. Braz. J. Phys. 2019, 49, 333–340. [Google Scholar]
- Amin, M.; Balloomal, L.S.; Osman, H.; Ibrahim, S.S. Electrical properties of TGS-PVA composites. Ferroelectrics 2011, 109, 211–216. [Google Scholar] [CrossRef]
- Shehap, A.M.; Mahmoud, K.; El-Kader, M.F.A.; El-Basheer, T.M. Preparation and Thermal Properties of Gelatin/TGS Composite Films. Middle East J. Appl. Sci. 2015, 5, 157–170. [Google Scholar]
- Yang, Y.; Chan, H.L.; Choy, C.L. Properties of triglycine sulfate/poly(vinylidene fluoride-trifluoroethylene) 0–3 composites. J. Mater. Sci. 2006, 41, 251–258. [Google Scholar]
- Nguen, K.T. Dielectric Properties of Composites Based on Nanocrystalline Cellulose with Triglycine Sulfate. Phys. Solid State 2015, 57, 503–506. [Google Scholar] [CrossRef]
- Rysiakiewicz-Pasek, E.; Poprawski, R.; Polanska, J.; Sieradzki, A.; Radojewska, E.B. Ferroelectric phase transition in triglycine sulphate embedded into porous glasses. J. Non-Cryst. Solids 2005, 351, 2703–2709. [Google Scholar] [CrossRef]
- Golitsyna, O.M.; Drozhdin, S.N. Influence of a static magnetic field on the dielectric properties of triglycine sulfate. Ferroelectrics 2020, 567, 244–263. [Google Scholar] [CrossRef]
- Pandian, M.S.; Verma, S.; Karuppasamy, P.; Padmanabhan, V.; Ramasamy, P.; Tiwari, V.S.; Karnal, A.K. TGS crystal growth below and above Curie temperature (Tc). J. Cryst. Growth 2020, 546, 125793. [Google Scholar] [CrossRef]
- Choudhury, R.R.; Chitra, R.; Ramanadham, M. Effect of isotope substitution and pressure on the phase transition in triglycine sulphate. In Solid State Physics; Division, Bhabha Atomic Research Center: Trombay, Mumbai, 2005; p. 400085. [Google Scholar] [CrossRef]
- Petrzhik, E.A.; Ivanova, E.S.; Alshits, V.I. Changes in the microhardness and dielectric permittivity of TGS crystals after their exposure to a static magnetic field or ultralow crossed fields in the EPR scheme. Bull. Russ. Acad. Sci. Phys. 2014, 78, 1052–1057. [Google Scholar] [CrossRef]
- Jartych, E.; Pikula, T.; Kowal, K.; Dzik, J.; Guzdek, P.; Czekaj, D. Magnetoelectric Effect in Ceramics Based on Bismuth Ferrite. Nanoscale Res. Lett. 2016, 11, 234. [Google Scholar] [CrossRef] [PubMed]
- Grotel, J.; Pikula, T. Mech R.: Application of the Lock-In Technique in Magnetoelectric Coupling Measurements of the PZT/Terfenol-D Composite. Appl. Sci. 2023, 13, 9543. [Google Scholar] [CrossRef]
- Schiebl, M.; Shuvaev, A.; Pimenov, A.; Johnstone, G.E.; Dziom, V.; Mukhin, A.A.; Ivanov, V.Y.; Pimenov, A. Order-disorder type critical behavior at the magnetoelectric phase transition in multiferroic. Phys. Rev. B. 2015, 91, 224205–224215. [Google Scholar] [CrossRef]
- Risken, H. The Fokker–Planck Equation. In Methods of Solution and Applications, 2nd ed.; Springer: Berlin/Heidelberg, Germany, 1996; pp. 56–59. [Google Scholar]
- Chotorlishvili, L.; Toklikishvili, Z.; Wang, X.-G.; Dugaev, V.K.; Barnaś, J.; Berakdar, J. Stratonovich-ito integration scheme in ultrafast spin caloritronics. Phys. Rev. B 2020, 102, 024413–024419. [Google Scholar] [CrossRef]










| Heating | ’ | ” |
|---|---|---|
| 303 K static | 48 | 16 |
| 303 K infinity | 90 | 0.3 |
| 326 K static | 350 | 800 |
| 326 K infinity | 21 | 0.2 |
| 338 K static | 330 | 2300 |
| 338 K infinity | 20 | 0.5 |
| Cooling | ||
| 338 K static | 330 | 2300 |
| 338 K infinity | 20 | 1.5 |
| 326 K static | 360 | 760 |
| 326 K infinity | 22 | 0.3 |
| 303 K static | 48 | 75 |
| 303 K infinity | 17 | 0.3 |
Disclaimer/Publisher’s Note: The statements, opinions and data contained in all publications are solely those of the individual author(s) and contributor(s) and not of MDPI and/or the editor(s). MDPI and/or the editor(s) disclaim responsibility for any injury to people or property resulting from any ideas, methods, instructions or products referred to in the content. |
© 2024 by the authors. Licensee MDPI, Basel, Switzerland. This article is an open access article distributed under the terms and conditions of the Creative Commons Attribution (CC BY) license (https://creativecommons.org/licenses/by/4.0/).
Share and Cite
Trybus, M.; Chotorlishvili, L.; Jartych, E. Dielectric and Magnetoelectric Properties of TGS–Magnetite Composite. Molecules 2024, 29, 1378. https://doi.org/10.3390/molecules29061378
Trybus M, Chotorlishvili L, Jartych E. Dielectric and Magnetoelectric Properties of TGS–Magnetite Composite. Molecules. 2024; 29(6):1378. https://doi.org/10.3390/molecules29061378
Chicago/Turabian StyleTrybus, Mariusz, Levan Chotorlishvili, and Elżbieta Jartych. 2024. "Dielectric and Magnetoelectric Properties of TGS–Magnetite Composite" Molecules 29, no. 6: 1378. https://doi.org/10.3390/molecules29061378
APA StyleTrybus, M., Chotorlishvili, L., & Jartych, E. (2024). Dielectric and Magnetoelectric Properties of TGS–Magnetite Composite. Molecules, 29(6), 1378. https://doi.org/10.3390/molecules29061378

