Spectroscopic and Quantum Chemical Evidence of Amine–CO2 and Alcohol–CO2 Interactions: Confirming an Intriguing Affinity of CO2 to Monoethanolamine (MEA)
Abstract
1. Introduction
2. Results and Discussion
2.1. Infrared Spectrum for the Weakly Bound Binary 1:1 MEA··CO2 van der Waals Complex
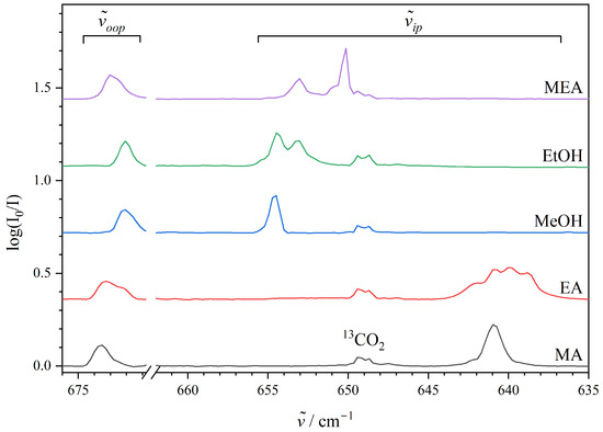
2.2. Infrared Spectra for Weakly Bound Binary 1:1 Amine··CO2 and Alcohol··CO2 van der Waals Complexes
2.3. Quantum Chemical Conformational Analysis of the Weakly Bound Binary 1:1 Amine··CO2 and Alcohol··CO2 van der Waals Complexes
3. Materials and Methods
3.1. Experimental Details
3.2. Computational Details
4. Conclusions
Supplementary Materials
Author Contributions
Funding
Institutional Review Board Statement
Informed Consent Statement
Data Availability Statement
Acknowledgments
Conflicts of Interest
References
- Hashimoto, K. Global Temperature and Atmospheric Carbon Dioxide Concentration. In Global Carbon Dioxide Recycling; Springer: Singapore, 2019; pp. 5–17. [Google Scholar] [CrossRef]
- Zhang, G.; Qian, J.; Liu, J.; Yu, T.; Liu, Q. Insight and assessment of CO2 capture using diethylenetriamine/2-(diethylamino)ethanol/n-propanol water-lean biphasic solvent: Experimental and quantum chemical calculation. Chem. Eng. J. 2024, 500, 156834. [Google Scholar] [CrossRef]
- Jin, L.; Hou, X.; Zhan, L.; Hou, D.; Gu, L.; Zhang, D.; Shen, J.; Zheng, Z.; Lv, C.; Liu, S.; et al. Analysis of the changes in the absorption and regeneration performance of diethylenetriamine in carbon capture environments with functionalized alcohols and mixed amines. Fuel 2024, 368, 131375. [Google Scholar] [CrossRef]
- Shaikh, A.R.; Ashraf, M.; AlMayef, T.; Chawla, M.; Poater, A.; Cavallo, L. Amino acid ionic liquids as potential candidates for CO2 capture: Combined density functional theory and molecular dynamics simulations. Chem. Phys. Lett. 2020, 745, 137239. [Google Scholar] [CrossRef]
- Earle, M.J.; Seddon, K.R. Ionic liquids. Green solvents for the future. Pure Appl. Chem. 2000, 72, 1391–1398. [Google Scholar] [CrossRef]
- Brennecke, J.F.; Maginn, E.J. Ionic liquids: Innovative fluids for chemical processing. AIChE J. 2001, 47, 2384–2389. [Google Scholar] [CrossRef]
- Shim, Y.; Jeong, D.; Manjari, S.; Choi, M.Y.; Kim, H.J. Solvation, Solute Rotation and Vibration Relaxation, and Electron-Transfer Reactions in Room-Temperature Ionic Liquids. Acc. Chem. Res. 2007, 40, 1130–1137. [Google Scholar] [CrossRef]
- Cadena, C.; Anthony, J.L.; Shah, J.K.; Morrow, T.I.; Brennecke, J.F.; Maginn, E.J. Why Is CO2 So Soluble in Imidazolium-Based Ionic Liquids? J. Am. Chem. Soc. 2004, 126, 5300–5308. [Google Scholar] [CrossRef]
- Bates, E.D.; Mayton, R.D.; Ntai, I.; Davis, J.H. CO2 Capture by a Task-Specific Ionic Liquid. J. Am. Chem. Soc. 2002, 124, 926–927. [Google Scholar] [CrossRef]
- Bao, W.; Wang, Z.; Li, Y. Synthesis of Chiral Ionic Liquids from Natural Amino Acids. J. Org. Chem. 2003, 68, 591–593. [Google Scholar] [CrossRef]
- Dutcher, B.; Fan, M.; Russell, A.G. Amine-based CO2 capture technology development from the beginning of 2013—A review. ACS Appl. Mater. Interfaces 2015, 7, 2137–2148. [Google Scholar] [CrossRef]
- Plaza, M.; González, A.; Pis, J.; Rubiera, F.; Pevida, C. Production of microporous biochars by single-step oxidation: Effect of activation conditions on CO2 capture. Appl. Energy 2014, 114, 551–562. [Google Scholar] [CrossRef]
- Nugent, P.; Giannopoulou, E.G.; Burd, S.D.; Elemento, O.; Forrest, K.; Pham, T.; Ma, S.; Space, B.; Wojtas, L.; Eddaoudi, M.; et al. Porous materials with optimal adsorption thermodynamics and kinetics for CO2 separation. Nature 2013, 495, 80–84. [Google Scholar] [CrossRef]
- Lee, S.C.; Kwon, Y.M.; Jung, S.Y.; Lee, J.B.; Ryu, C.K.; Kim, J.C. Excellent thermal stability of potassium-based sorbent using ZrO2 for post combustion CO2 capture. Fuel 2014, 115, 97–100. [Google Scholar] [CrossRef]
- Sedghkerdar, M.H.; Mahinpey, N.; Sun, Z.; Kaliaguine, S. Novel synthetic sol-gel CaO based pellets using porous mesostructured silica in cyclic CO2 capture process. Fuel 2014, 127, 101–108. [Google Scholar] [CrossRef]
- Rochelle, G.; Chen, E.; Freeman, S.; Van Wagener, D.; Xu, Q.; Voice, A. Aqueous piperazine as the new standard for CO2 capture technology. Chem. Eng. J. 2011, 171, 725–733. [Google Scholar] [CrossRef]
- Freeman, S.A.; Dugas, R.; Van Wagener, D.H.; Nguyen, T.; Rochelle, G.T. Carbon dioxide capture with concentrated, aqueous piperazine. Int. J. Greenh. Gas Control 2010, 4, 119–124. [Google Scholar] [CrossRef]
- Chen, X.; Rochelle, G.T. Aqueous piperazine derivatives for CO2 capture: Accurate screening by a wetted wall column. Chem. Eng. Res. Des. 2011, 89, 1693–1710. [Google Scholar] [CrossRef]
- Yu, C.H.; Huang, C.H.; Tan, C.S. A review of CO2 capture by absorption and adsorption. Aerosol Air Qual. Res. 2012, 12, 745–769. [Google Scholar] [CrossRef]
- Kubota, Y.; Bučko, T. Carbon dioxide capture in 2,2′-iminodiethanol aqueous solution from ab initio molecular dynamics simulations. J. Chem. Phys. 2018, 149, 224103. [Google Scholar] [CrossRef]
- Narku-Tetteh, J.; Muchan, P.; Idem, R. Effect of alkanol chain length of primary alkanolamines and alkyl chain length of secondary and tertiary alkanolamines on their CO2 capture activities. Sep. Purif. Technol. 2017, 187, 453–467. [Google Scholar] [CrossRef]
- Jackson, P.; Beste, A.; Attalla, M. Insights into amine-based CO2 capture: An ab initio self-consistent reaction field investigation. Struct. Chem. 2011, 22, 537–549. [Google Scholar] [CrossRef]
- Narimani, M.; Amjad-Iranagh, S.; Modarress, H. CO2 absorption into aqueous solutions of monoethanolamine, piperazine and their blends: Quantum mechanics and molecular dynamics studies. J. Mol. Liq. 2017, 233, 173–183. [Google Scholar] [CrossRef]
- Samanta, A.; Bandyopadhyay, S.S. Absorption of carbon dioxide into aqueous solutions of piperazine activated 2-amino-2-methyl-1-propanol. Chem. Eng. Sci. 2009, 64, 1185–1194. [Google Scholar] [CrossRef]
- Rochelle, G. 3—Conventional amine scrubbing for CO2 capture. In Absorption-Based Post-Combustion Capture of Carbon Dioxide; Feron, P.H., Ed.; Woodhead Publishing: Cambridge, UK, 2016; pp. 35–67. [Google Scholar] [CrossRef]
- Rochelle, G.T. Amine Scrubbing for CO2 Capture. Science 2009, 325, 1652–1654. [Google Scholar] [CrossRef]
- Yang, X.; Rees, R.J.; Conway, W.; Puxty, G.; Yang, Q.; Winkler, D.A. Computational Modeling and Simulation of CO2 Capture by Aqueous Amines. Chem. Rev. 2017, 117, 9524–9593. [Google Scholar] [CrossRef]
- Iida, K.; Sato, H. Proton transfer step in the carbon dioxide capture by monoethanol amine: A theoretical study at the molecular level. J. Phys. Chem. B 2012, 116, 2244–2248. [Google Scholar] [CrossRef]
- Hwang, G.S.; Stowe, H.M.; Paek, E.; Manogaran, D. Reaction mechanisms of aqueous monoethanolamine with carbon dioxide: A combined quantum chemical and molecular dynamics study. Phys. Chem. Chem. Phys. 2015, 17, 831–839. [Google Scholar] [CrossRef]
- Kubota, Y.; Ohnuma, T.; Bučko, T. Carbon dioxide capture in 2-aminoethanol aqueous solution from ab initio molecular dynamics simulations. J. Chem. Phys. 2017, 146, 094303. [Google Scholar] [CrossRef]
- Xie, H.; Wang, P.; He, N.; Yang, X.; Chen, J. Toward rational design of amines for CO2 capture: Substituent effect on kinetic process for the reaction of monoethanolamine with CO2. J. Environ. Sci. 2015, 37, 75–82. [Google Scholar] [CrossRef]
- Lv, B.; Guo, B.; Zhou, Z.; Jing, G. Mechanisms of CO2 Capture into Monoethanolamine Solution with Different CO2 Loading during the Absorption/Desorption Processes. Environ. Sci. Technol. 2015, 49, 10728–10735. [Google Scholar] [CrossRef]
- Xie, H.B.; Zhou, Y.; Zhang, Y.; Johnson, J.K. Reaction mechanism of monoethanolamine with CO2 in aqueous solution from molecular modeling. J. Phys. Chem. A 2010, 114, 11844–11852. [Google Scholar] [CrossRef]
- Xie, F.; Sun, W.; Pinacho, P.; Schnell, M. CO2 Aggregation on Monoethanolamine: Observations from Rotational Spectroscopy. Angew. Chem.-Int. Ed. 2023, 62, e202218539. [Google Scholar] [CrossRef]
- Han, B.; Zhou, C.; Wu, J.; Tempel, D.J.; Cheng, H. Understanding CO2 Capture Mechanisms in Aqueous Monoethanolamine via First Principles Simulations. J. Phys. Chem. Lett. 2011, 2, 522–526. [Google Scholar] [CrossRef]
- Davran-Candan, T. DFT Modeling of CO2 Interaction with Various Aqueous Amine Structures. J. Phys. Chem. A 2014, 118, 4582–4590. [Google Scholar] [CrossRef]
- Barclay, A.; McKellar, A.; Moazzen-Ahmadi, N. Infrared spectra of (CO2)2–Rg trimers, Rg = Ne, Ar, Kr, and Xe. J. Mol. Spectrosc. 2022, 387, 111673. [Google Scholar] [CrossRef]
- Barclay, A.J.; McKellar, A.R.W.; Moazzen-Ahmadi, N. Spectra of CO2–N2 dimer in the 4.2 μm region: Symmetry breaking of the intramolecular CO2 bend, the intermolecular bend, and higher K-Values Fundam. J. Chem. Phys. 2020, 153, 014303. [Google Scholar] [CrossRef]
- Oliaee, J.N.; Dehghany, M.; Moazzen-Ahmadi, N.; McKellar, A.R.W. Spectroscopic identification of carbon dioxide clusters: (CO2)6 to (CO2)13. Phys. Chem. Chem. Phys. 2011, 13, 1297–1300. [Google Scholar] [CrossRef]
- Norooz Oliaee, J.; Dehghany, M.; McKellar, A.R.W.; Moazzen-Ahmadi, N. High resolution infrared spectroscopy of carbon dioxide clusters up to (CO2)13. J. Chem. Phys. 2011, 135, 044315. [Google Scholar] [CrossRef][Green Version]
- Bödecker, M.; Mihrin, D.; Suhm, M.A.; Wugt Larsen, R. Regularities and Anomalies in Neon Matrix Shifts of Hydrogen-Bonded O–H Stretching Fundamentals. J. Phys. Chem. A 2024, 128, 7124–7136. [Google Scholar] [CrossRef] [PubMed]
- Andersen, J.; Heimdal, J.; Mahler, D.W.; Nelander, B.; Wugt Larsen, R. Communication: THz absorption spectrum of the CO2–H2O complex: Observation and assignment of intermolecular van der Waals vibrations. J. Chem. Phys. 2014, 140, 091103. [Google Scholar] [CrossRef]
- Andersen, J.; Voute, A.; Mihrin, D.; Heimdal, J.; Berg, R.W.; Torsson, M.; Wugt Larsen, R. Probing the global potential energy minimum of (CH2O)2: THz absorption spectrum of (CH2O)2 in solid neon and Para-Hydrog. J. Chem. Phys. 2017, 146, 244311. [Google Scholar] [CrossRef]
- Andersen, J.; Heimdal, J.; Nelander, B.; Wugt Larsen, R. Competition between weak OH···π and CH···O hydrogen bonds: THz spectroscopy of the C2H2—H2O and C2H4—H2O complexes. J. Chem. Phys. 2017, 146, 194302. [Google Scholar] [CrossRef]
- Soulard, P.; Tremblay, B. Vibrational investigations of CO2-H2O, CO2-(H2O)2, and (CO2)2-H2O complexes isolated in solid neon. J. Chem. Phys. 2015, 143, 224311. [Google Scholar] [CrossRef]
- Yazdabadi, S.H.; Mihrin, D.; Feilberg, K.L.; Wugt Larsen, R. Self-aggregation and microhydration mechanisms of monoethanolamine: Far-infrared identification of large-amplitude hydrogen bond libration. J. Chem. Phys. 2024, 161, 154301. [Google Scholar] [CrossRef]
- Soulard, P.; Tremblay, B. Matrix infrared spectroscopic and ab initio investigations of methylamine-CO2 and methylamine-CO2-water complexes. J. Mol. Struct. 2023, 1288, 135777. [Google Scholar] [CrossRef]
- Brauman, J.I.; Riveros, J.M.; Blair, L.K. Gas-phase basicities of amines. J. Am. Chem. Soc. 1971, 93, 3914–3916. [Google Scholar] [CrossRef]
- Headley, A.D. Substituent effects on the basicity of dimethylamines. J. Am. Chem. Soc. 1987, 109, 2347–2348. [Google Scholar] [CrossRef]
- Mihrin, D.; Feilberg, K.L.; Wugt Larsen, R. Self-Association and Microhydration of Phenol: Identification of Large-Amplitude Hydrogen Bond Librational Modes. Molecules 2024, 29, 3012. [Google Scholar] [CrossRef]
- Mihrin, D.; Voute, A.; Jakobsen, P.W.; Feilberg, K.L.; Wugt Larsen, R. The effect of alkylation on the micro-solvation of ethers revealed by highly localized water librational motion. J. Chem. Phys. 2022, 156, 084305. [Google Scholar] [CrossRef]
- Mihrin, D.; Andersen, J.; Jakobsen, P.W.; Wugt Larsen, R. Highly localized H2O librational motion as a far-infrared spectroscopic probe for microsolvation of organic molecules. Phys. Chem. Chem. Phys. 2019, 21, 1717–1723. [Google Scholar] [CrossRef]
- Andersen, J.; Heimdal, J.; Wugt Larsen, R. The influence of large-amplitude librational motion on the hydrogen bond energy for alcohol—water complexes. Phys. Chem. Chem. Phys. 2015, 17, 23761–23769. [Google Scholar] [CrossRef]
- Heger, M.; Andersen, J.; Suhm, M.A.; Wugt Larsen, R. The donor OH stretching–libration dynamics of hydrogen-bonded methanol dimers in cryogenic matrices. Phys. Chem. Chem. Phys. 2016, 18, 3739–3745. [Google Scholar] [CrossRef]
- Pracht, P.; Bohle, F.; Grimme, S. Automated exploration of the low-energy chemical space with fast quantum chemical methods. Phys. Chem. Chem. Phys. 2020, 22, 7169–7192. [Google Scholar] [CrossRef]
- Neese, F.; Wennmohs, F.; Becker, U.; Riplinger, C. The ORCA quantum chemistry program package. J. Chem. Phys. 2020, 152, 224108. [Google Scholar] [CrossRef]
- Neese, F. Software update: The ORCA program system—Version 5.0. Wiley Interdiscip. Rev. Comput. Mol. Sci. 2022, 12, e1606. [Google Scholar] [CrossRef]
- Neese, F. The SHARK integral generation and digestion system. J. Comput. Chem. 2022, 44, 381–396. [Google Scholar] [CrossRef]
- DTU Computing Center. DTU Computing Center Resources; Technical University of Denmark: Kongens Lyngby, Denmark, 2024. [Google Scholar] [CrossRef]
- Bannwarth, C.; Ehlert, S.; Grimme, S. GFN2-xTB—An Accurate and Broadly Parametrized Self-Consistent Tight-Binding Quantum Chemical Method with Multipole Electrostatics and Density-Dependent Dispersion Contributions. J. Chem. Theory Comput. 2019, 15, 1652–1671. [Google Scholar] [CrossRef]
- Stephens, P.J.; Devlin, F.J.; Chabalowski, C.F.; Frisch, M.J. Ab initio calculation of vibrational absorption and circular dichroism spectra using density functional force fields. J. Phys. Chem. 1994, 98, 11623–11627. [Google Scholar] [CrossRef]
- Caldeweyher, E.; Ehlert, S.; Hansen, A.; Neugebauer, H.; Spicher, S.; Bannwarth, C.; Grimme, S. A generally applicable atomic-charge dependent London dispersion correction. J. Chem. Phys. 2019, 150, 154122. [Google Scholar] [CrossRef]
- Caldeweyher, E.; Bannwarth, C.; Grimme, S. Extension of the D3 dispersion coefficient model. J. Chem. Phys. 2017, 147, 034112. [Google Scholar] [CrossRef]
- Neese, F.; Wennmohs, F.; Hansen, A.; Becker, U. Efficient, approximate and parallel Hartree–Fock and hybrid DFT calculations. A ‘chain-of-spheres’ algorithm for the Hartree–Fock exchange. Chem. Phys. 2009, 356, 98–109. [Google Scholar] [CrossRef]
- Helmich-Paris, B.; de Souza, B.; Neese, F.; Izsák, R. An improved chain of spheres for exchange algorithm. J. Chem. Phys. 2021, 155, 104109. [Google Scholar] [CrossRef]
- Kossmann, S.; Neese, F. Efficient Structure Optimization with Second-Order Many-Body Perturbation Theory: The RIJCOSX-MP2 Method. J. Chem. Theory Comput. 2010, 6, 2325–2338. [Google Scholar] [CrossRef]
- Bernholdt, D.E.; Harrison, R.J. Large-scale correlated electronic structure calculations: The RI-MP2 method on parallel computers. Chem. Phys. Lett. 1996, 250, 477–484. [Google Scholar] [CrossRef]
- Kendall, R.A.; Dunning, T.H.; Harrison, R.J. Electron affinities of the first-row atoms revisited. Systematic basis sets and wave functions. J. Chem. Phys. 1992, 96, 6796–6806. [Google Scholar] [CrossRef]
- Neese, F. An improvement of the resolution of the identity approximation for the formation of the Coulomb matrix. J. Comput. Chem. 2003, 24, 1740–1747. [Google Scholar] [CrossRef]
- Neese, F.; Wennmohs, F.; Hansen, A. Efficient and accurate local approximations to coupled-electron pair approaches: An attempt to revive the pair natural orbital method. J. Chem. Phys. 2009, 130, 114108. [Google Scholar] [CrossRef]
- Riplinger, C.; Sandhoefer, B.; Hansen, A.; Neese, F. Natural triple excitations in local coupled cluster calculations with pair natural orbitals. J. Chem. Phys. 2013, 139, 134101. [Google Scholar] [CrossRef]
- Neese, F.; Hansen, A.; Liakos, D.G. Efficient and accurate approximations to the local coupled cluster singles doubles method using a truncated pair natural orbital basis. J. Chem. Phys. 2009, 131, 064103. [Google Scholar] [CrossRef]
- Riplinger, C.; Neese, F. An efficient and near linear scaling pair natural orbital based local coupled cluster method. J. Chem. Phys. 2013, 138, 034106. [Google Scholar] [CrossRef]
- Riplinger, C.; Pinski, P.; Becker, U.; Valeev, E.F.; Neese, F. Sparse maps—A systematic infrastructure for reduced-scaling electronic structure methods. II. Linear scaling domain based pair natural orbital coupled cluster theory. J. Chem. Phys. 2016, 144, 024109. [Google Scholar] [CrossRef] [PubMed]
- Kossmann, S.; Neese, F. Comparison of two efficient approximate Hartee–Fock approaches. Chem. Phys. Lett. 2009, 481, 240–243. [Google Scholar] [CrossRef]
- Liakos, D.G.; Sparta, M.; Kesharwani, M.K.; Martin, J.M.L.; Neese, F. Exploring the Accuracy Limits of Local Pair Natural Orbital Coupled-Cluster Theory. J. Chem. Theory Comput. 2015, 11, 1525–1539. [Google Scholar] [CrossRef]





| System | (CO2) | ∠distort | ||||||
|---|---|---|---|---|---|---|---|---|
| Methanol··CO2 | 654 | 672 | 18 | 651 | 668 | 17 | 0.31 | 2.10 |
| Ethanol··CO2 (g) | 653 | 672 | 19 | 643 | 669 | 26 | 0.35 | 2.16 |
| Ethanol··CO2 (t) | 653 | 672 | 19 | 648 | 667 | 19 | 0.25 | 1.95 |
| Monoethanolamine··CO2 | 650 | 673 | 23 | 643 | 668 | 25 | 0.47 | 2.49 |
| Methylamine··CO2 | 641 | 674 | 33 [47] | 633 | 677 | 44 | 0.67 | 2.94 |
| Ethylamine··CO2 | 640 | 673 | 33 | 632 | 675 | 43 | 0.71 | 2.98 |
| Dimethylamine··CO2 | 634 | 673 | 39 | 626 | 669 | 43 | 0.93 | 3.42 |
| Trimethylamine··CO2 | 627 | 673 | 46 | 612 | 670 | 58 | 1.27 | 3.99 |
| Mode Description | System | ||||
|---|---|---|---|---|---|
| OH str | MEA | 3748 (76) | 3554 [46] | ||
| MEA··CO2 | 3728 (88) | −20 | 3538 | −16 | |
| NH2 asym str | MEA | 3640 (10) | 3439 [46] | ||
| MEA··CO2 | 3641 (11) | 1 | - | - | |
| NH2 bend | MEA | 1652 (30) | 1628 | ||
| MEA··CO2 | 1652 (30) | 0 | - | - | |
| NH2 wag | MEA | 932 (45) | 903 | ||
| MEA··CO2 | 931 (48) | −1 | - | - | |
| OH tors | MEA | 557 (89) | 472 [46] | ||
| MEA··CO2 | 581 (95) | 24 | 500 | 28 | |
| CO2 bend | CO2 | 664 (23) | 668 [45] | ||
| MEA··CO2 ip | 643 (52) | −21 | 650 | −18 | |
| MEA··CO2 oop | 668 (26) | 4 | 673 | 5 |
| B3LYP-D4 | RI-MP2 | DLPNO-CCSD(T) | ||||||
|---|---|---|---|---|---|---|---|---|
| System | De | ZPE | D0 | De | ZPE | D0 | De 1 | D0 2 |
| Methanol··CO2 | 14.3 | 2.7 | 11.5 | 15.1 | 2.8 | 12.3 | 14.9 | 12.1 |
| Ethanol··CO2 (t) | 14.0 | 2.2 | 11.8 | 15.2 | 2.2 | 13.0 | 14.9 | 12.7 |
| Ethanol··CO2 (g) | 14.3 | 2.5 | 11.8 | 15.1 | 2.4 | 12.7 | 14.8 | 12.5 |
| Monoethanolamine··CO2 | 15.5 | 2.6 | 12.9 | 16.8 | 2.5 | 14.3 | 16.0 | 13.5 |
| Methylamine··CO2 | 15.2 | 2.9 | 12.4 | 15.4 | 3.0 | 12.4 | 14.9 | 11.9 |
| Ethylamine··CO2 | 16.0 | 2.8 | 13.2 | 16.8 | 3.0 | 13.8 | 15.9 | 12.9 |
| DMA | 16.8 | 2.7 | 14.1 | 18.1 | 2.7 | 15.4 | 16.6 | 14.0 |
| TMA | 18.0 | 2.6 | 15.4 | 20.1 | 2.2 | 17.9 | 17.9 | 15.7 |
Disclaimer/Publisher’s Note: The statements, opinions and data contained in all publications are solely those of the individual author(s) and contributor(s) and not of MDPI and/or the editor(s). MDPI and/or the editor(s) disclaim responsibility for any injury to people or property resulting from any ideas, methods, instructions or products referred to in the content. |
© 2024 by the authors. Licensee MDPI, Basel, Switzerland. This article is an open access article distributed under the terms and conditions of the Creative Commons Attribution (CC BY) license (https://creativecommons.org/licenses/by/4.0/).
Share and Cite
Hafizi Yazdabadi, S.; Mihrin, D.; Feilberg, K.L.; Wugt Larsen, R. Spectroscopic and Quantum Chemical Evidence of Amine–CO2 and Alcohol–CO2 Interactions: Confirming an Intriguing Affinity of CO2 to Monoethanolamine (MEA). Molecules 2024, 29, 5521. https://doi.org/10.3390/molecules29235521
Hafizi Yazdabadi S, Mihrin D, Feilberg KL, Wugt Larsen R. Spectroscopic and Quantum Chemical Evidence of Amine–CO2 and Alcohol–CO2 Interactions: Confirming an Intriguing Affinity of CO2 to Monoethanolamine (MEA). Molecules. 2024; 29(23):5521. https://doi.org/10.3390/molecules29235521
Chicago/Turabian StyleHafizi Yazdabadi, Sahar, Dmytro Mihrin, Karen Louise Feilberg, and René Wugt Larsen. 2024. "Spectroscopic and Quantum Chemical Evidence of Amine–CO2 and Alcohol–CO2 Interactions: Confirming an Intriguing Affinity of CO2 to Monoethanolamine (MEA)" Molecules 29, no. 23: 5521. https://doi.org/10.3390/molecules29235521
APA StyleHafizi Yazdabadi, S., Mihrin, D., Feilberg, K. L., & Wugt Larsen, R. (2024). Spectroscopic and Quantum Chemical Evidence of Amine–CO2 and Alcohol–CO2 Interactions: Confirming an Intriguing Affinity of CO2 to Monoethanolamine (MEA). Molecules, 29(23), 5521. https://doi.org/10.3390/molecules29235521

