Effects of Ethylene Propylene Diene Monomer (EPDM)-Based Polar Macromolecular Compatibilizers on the Low-Temperature Properties of Fluoroelastomer/EPDM Rubber Blends
Abstract
1. Introduction
2. Results and Discussion
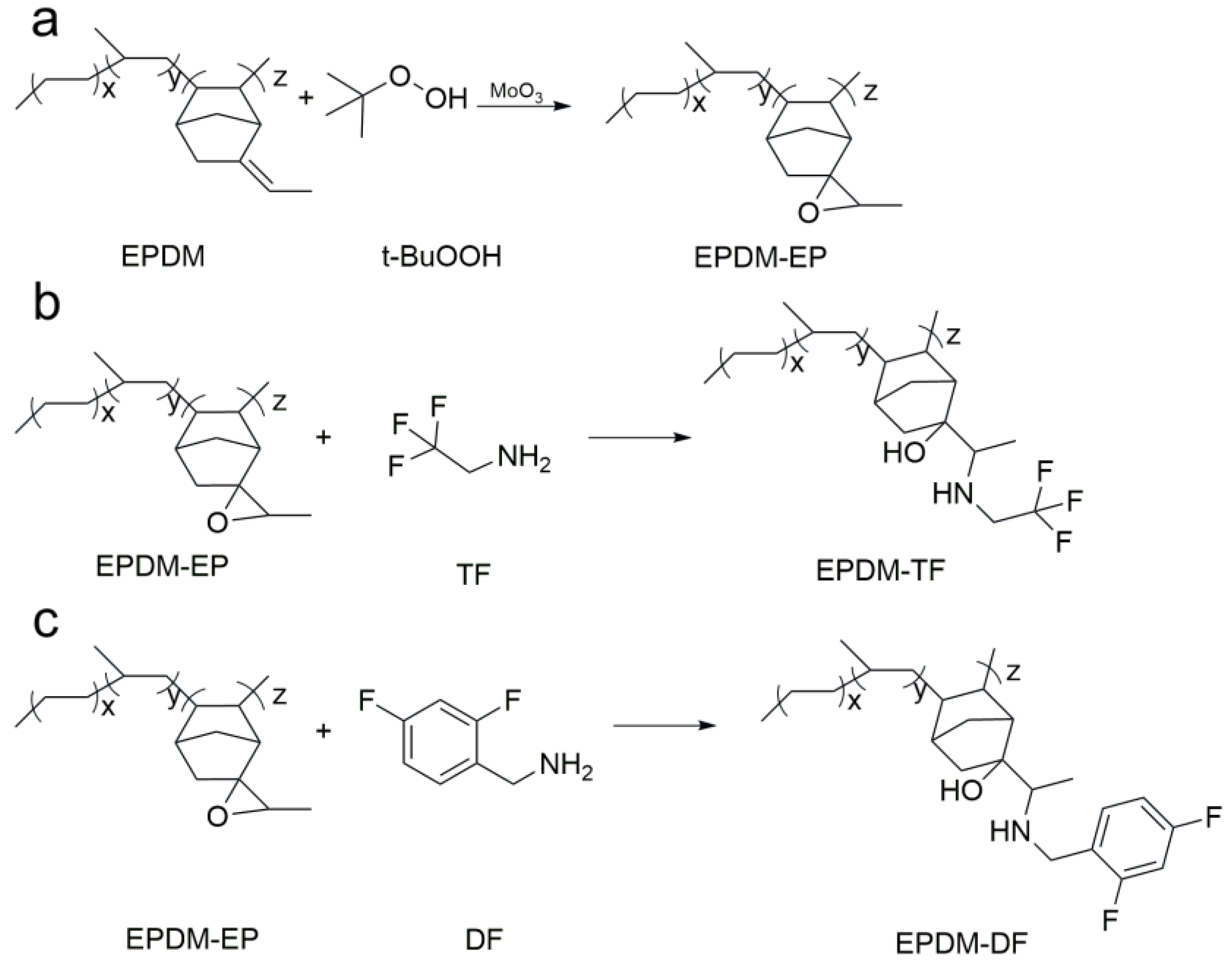
2.1. Composition and Structure of EPDM-EP, EPDM-TF and EPDM-DF
2.2. Effect of EPDM-TF and EPDM-DF on the Interface Structure of Blending Rubbers
2.3. The Impact of Compatibilizers on the Low-Temperature Properties and Compatibility of Blending Rubbers
2.4. The Effect of EPDM-EP, EPDM-TF, and EPDM-DF on the Mechanical Properties of Blending Rubbers
3. Materials and Methods
3.1. Materials
3.2. Preparation of EPDM-EP by EPDM Epoxy Modification
3.3. Preparation of EPDM-TF/DF by Grafting Modification of EPDM-EP
3.4. Preparation of FKM/EPDM Rubber Blends
3.5. Characterization
4. Conclusions
Author Contributions
Funding
Institutional Review Board Statement
Informed Consent Statement
Data Availability Statement
Conflicts of Interest
References
- Gao, J.C.; Wu, Y.D.; Liu, Y.Y.; Zhou, Z.M.; Fan, Z.Q.; Wei, T.T.; Yin, D.W.; Zhou, F.; Fu, H.; Jin, H.L. Preparation of high performance fluoroelastomers by modifying carbon fiber with PEI and fluorinated coupling agent. Eur. Polym. J. 2024, 203, 112701. [Google Scholar] [CrossRef]
- Simon, A.; Pepin, J.; Berthier, D.; Méo, S. Degradation mechanism of FKM during thermo-oxidative aging from mechanical and network structure correlations. Polym. Degrad. Stab. 2023, 208, 110271. [Google Scholar] [CrossRef]
- Tang, S.; Li, J.; Wang, Z.; Zhang, L.Q. Design and Synthesis of Novel Bio-Based Polyester Elastomer with Tunable Oil Resistance. Macromol. Rapid Commun. 2023, 44, 2300166. [Google Scholar] [CrossRef]
- Shi, D.C.; Cai, L.; Zhang, C.Z.; Chen, D.F.; Pan, Z.H.; Kang, Z.; Liu, Y.; Zhang, J.J. Fabrication methods, structure design and durability analysis of advanced sealing materials in proton exchange membrane fuel cells. Chem. Eng. J. 2023, 454, 139995. [Google Scholar] [CrossRef]
- Wang, S.H.; Hou, M.C.; Ma, K.; Li, Z.W.; Geng, H.; Zhang, W.W.; Li, N. Research on the Influence of Extremely Cold Environment on the Performance of Silicone Rubber and Fluorinated Silicone Rubber. Polymers 2022, 14, 1898. [Google Scholar] [CrossRef]
- Kim, D.H.; Hwang, S.H.; Kim, B.S. The effects of technological compatibility for silicone rubber/fluororubber blends. J. Appl. Polym. Sci. 2012, 125, 1625–1635. [Google Scholar] [CrossRef]
- Wu, W.L.; Li, X. Wear and thermal properties of carbon fiber reinforced silicone rubber/fluorine rubber composites. J. Rubber Res. 2019, 22, 119–126. [Google Scholar] [CrossRef]
- Colom, X.; Carrillo-Navarrete, F.; Saeb, M.R.; Marin, M.; Formela, K.; Cañavate, J. Evaluation and rationale of the performance of several elastomeric composites incorporating devulcanized EPDM. Polym. Test. 2023, 121, 107976. [Google Scholar] [CrossRef]
- Spanheimer, V.; Jaber, G.G.; Katrakova-Krüger, D. Ground Tire Rubber Particles as Substitute for Calcium Carbonate in an EPDM Sealing Compound. Polymers 2023, 15, 2174. [Google Scholar] [CrossRef]
- Tom, M.; Thomas, S.; Seantier, B.; Grohens, Y.; Mohamed, P.K.; Ramakrishnan, S.; Kuriakose, J. Aspects of Dynamic Mechanical Analysis in Polymeric Materials, 1st ed.; CRC Press: London, UK, 2023; Volume 5, ISBN 9781003319139. [Google Scholar]
- Toczek, K.; Lipinska, M.; Pietrasik, J. Smart TPE Materials Based on Recycled Rubber Shred. Materials 2021, 14, 6237. [Google Scholar] [CrossRef]
- Liu, B.; Wu, W. Nonisothermal crystallization kinetics of poly(butylene terephthalate)/epoxidized ethylene propylene diene rubber/glass fiber composites. Polym. Eng. Sci. 2018, 59, 330–343. [Google Scholar] [CrossRef]
- Dietz, J.P.; Lucas, T.; Gross, J.; Seitel, S.; Brauer, J.; Ferenc, D.; Gupton, B.F.; Opatz, T. Six-Step Gram-Scale Synthesis of the Human Immunodeficiency Virus Integrase Inhibitor Dolutegravir Sodium. Org. Process Res. Dev. 2021, 25, 1898–1910. [Google Scholar] [CrossRef]
- Ali, A.; Akram, M.A.; Guo, Y.; Wu, H.; Liu, W.; Khan, A.; Liu, X.; Fu, Z.; Fan, Z. Ethylene–propylene copolymerization and their terpolymerization with dienes using ansa-Zirconocene catalysts activated by borate/alkylaluminum. J. Macromol. Sci. Part A 2019, 57, 156–164. [Google Scholar] [CrossRef]
- de Roo, C.M.; Kasper, J.B.; van Duin, M.; Mecozzi, F.; Browne, W. Off-line analysis in the manganese catalysed epoxidation of ethylene-propylene-diene rubber (EPDM) with hydrogen peroxide. RSC Adv. 2021, 11, 32505–32512. [Google Scholar] [CrossRef]
- Junior, A.J.A.; Saron, C. Mechanical recycling of expanded polystyrene and tire rubber waste as compatibilized and toughened blends. J. Appl. Polym. Sci. 2023, 140, e54267. [Google Scholar] [CrossRef]
- Zhu, Z.; Chen, H.; Zhu, X.; Sang, Z.; Sukhishvili, S.A.; Uenuma, S.; Ito, K.; Kotaki, M.; Sue, H.-J. Strengthening and toughening of polybenzoxazine by incorporation of polyrotaxane molecules. Compos. Sci. Technol. 2023, 235, 109976. [Google Scholar] [CrossRef]
- Khalf, A.I.; Nashar, D.E.E.; Maziad, N.A. Effect of grafting cellulose acetate and methylmethacrylate as compatibilizer onto NBR/SBR blends. Mater. Des. 2010, 31, 2592–2598. [Google Scholar] [CrossRef]
- Debbah, I.; Krache, R.; Aranburu, N.; Etxeberria, A.; Pérez, E.; Benavente, R. Influence of abs type and compatibilizer on the thermal and mechanical properties of pc/abs blends. Int. Polym. Process. 2020, 35, 83–94. [Google Scholar] [CrossRef]
- Malani, R.S.; Malshe, V.C.; Thorat, B.N. Polyols and polyurethanes from renewable sources: Past, present and future—Part 1: Vegetable oils and lignocellulosic biomass. J. Coat. Technol. Res. 2022, 19, 201–222. [Google Scholar] [CrossRef]
- Lu, H.; Dun, C.; Jariwala, H.; Wang, R.; Cui, P.Y.; Zhang, H.P.; Dai, Q.G.; Yang, S.; Zhang, H.C. Improvement of bio-based polyurethane and its optimal application in controlled release fertilizer. J. Control. Release 2022, 350, 748–760. [Google Scholar] [CrossRef]
- Lou, W.X.; Dai, Z.D.; Jiang, P.P.; Zhang, P.B.; Bao, Y.M.; Gao, X.W.; Xia, J.L.; Haryono, A. Development of soybean oil-based aqueous polyurethanes and the effect of hydroxyl value on its properties. Polym. Adv. Technol. 2022, 33, 2393–2403. [Google Scholar] [CrossRef]
- ISO 37:2017; Rubber, Vulcanized or Thermoplastic-Determination of Tensile Stress-Strain Properties. ISO: Geneva, Switzerland, 2017.
- ISO 34-1:2022; Rubber, Vulcanized or Thermoplastic-Determination of Tear Strength-Part 1: Trouser, Angle and Crescent Test Pieces. ISO: Geneva, Switzerland, 2022.
- ISO 815-1:2019; Rubber, Vulcanized or Thermoplastic-Determination of Compression Set-Part 1: At Ambient or Elevated Temperatures. ISO: Geneva, Switzerland, 2019.
- ISO 7619-1:2004; Rubber, Vulcanized or Thermoplastic-Determination of Indentation Hardness-Part 1: Durometer Method (Shore Hardness). ISO: Geneva, Switzerland, 2004.










| Sample | Tg (F) (°C) | Tg (E) (°C) | Tg (F)-Tg (E) |
|---|---|---|---|
| FKM | 4.74 | / | / |
| EPDM | / | −33.51 | / |
| F/E | −0.07 | −34.51 | 34.44 |
| F/E/EPDM-EP4 | −0.76 | −34.57 | 33.81 |
| F/E/EPDM-EP10 | −0.13 | −33.44 | 33.31 |
| F/E/EPDM-TF4 | −2.08 | −34.71 | 32.63 |
| F/E/EPDM-TF10 | −2.8 | −34.34 | 31.54 |
| F/E/EPDM-DF4 | −1.44 | −33.45 | 32.01 |
| F/E/EPDM-DF10 | −1.14 | −33.31 | 32.17 |
| Materials | Dosages (phr) | Materials | Dosages (phr) |
|---|---|---|---|
| FKM | 70 | Stearic acid | 0.3 |
| EPDM | 30 | Carnauba wax | 1 |
| Carbon black N990 | 21 | BPAF | 2.5 |
| MgO | 2.1 | BPP | 0.6 |
| Ca(OH)2 | 4.2 | S | 0.3 |
| Carbon black N330 | 9 | CBS | 0.3 |
| ZnO | 1.5 | TMTD | 0.15 |
Disclaimer/Publisher’s Note: The statements, opinions and data contained in all publications are solely those of the individual author(s) and contributor(s) and not of MDPI and/or the editor(s). MDPI and/or the editor(s) disclaim responsibility for any injury to people or property resulting from any ideas, methods, instructions or products referred to in the content. |
© 2024 by the authors. Licensee MDPI, Basel, Switzerland. This article is an open access article distributed under the terms and conditions of the Creative Commons Attribution (CC BY) license (https://creativecommons.org/licenses/by/4.0/).
Share and Cite
Liu, G.; Du, F.; Yao, Z.; Li, G.; Kuang, W.; Zhu, C.; Liu, Y.; Chen, H.; Wang, F.; Zhou, C.; et al. Effects of Ethylene Propylene Diene Monomer (EPDM)-Based Polar Macromolecular Compatibilizers on the Low-Temperature Properties of Fluoroelastomer/EPDM Rubber Blends. Molecules 2024, 29, 5522. https://doi.org/10.3390/molecules29235522
Liu G, Du F, Yao Z, Li G, Kuang W, Zhu C, Liu Y, Chen H, Wang F, Zhou C, et al. Effects of Ethylene Propylene Diene Monomer (EPDM)-Based Polar Macromolecular Compatibilizers on the Low-Temperature Properties of Fluoroelastomer/EPDM Rubber Blends. Molecules. 2024; 29(23):5522. https://doi.org/10.3390/molecules29235522
Chicago/Turabian StyleLiu, Gen, Faxin Du, Zhangjun Yao, Guangzhao Li, Wen Kuang, Chongyu Zhu, Yi Liu, Honglin Chen, Fumei Wang, Ce Zhou, and et al. 2024. "Effects of Ethylene Propylene Diene Monomer (EPDM)-Based Polar Macromolecular Compatibilizers on the Low-Temperature Properties of Fluoroelastomer/EPDM Rubber Blends" Molecules 29, no. 23: 5522. https://doi.org/10.3390/molecules29235522
APA StyleLiu, G., Du, F., Yao, Z., Li, G., Kuang, W., Zhu, C., Liu, Y., Chen, H., Wang, F., Zhou, C., Wei, X., Wang, W., & Han, R. (2024). Effects of Ethylene Propylene Diene Monomer (EPDM)-Based Polar Macromolecular Compatibilizers on the Low-Temperature Properties of Fluoroelastomer/EPDM Rubber Blends. Molecules, 29(23), 5522. https://doi.org/10.3390/molecules29235522

