Quantitative Changes and Transformation Mechanisms of Saponin Components in Chinese Herbal Medicines during Storage and Processing: A Review
Abstract
1. Introduction
2. Effect of Storage Condition on the Saponin Components of CHMs
2.1. Storage Temperature
2.2. Storage Humidity
2.3. Light Exposure
2.4. Oxygen and Packaging
3. Effect of Processing Technology on the Saponin Components of CHMs
3.1. Effect of Processing Methods on the Saponin Components of CHMs
3.1.1. Drying
- Traditional shade drying can prevent quality loss due to exposure to high temperatures, but glycoside hydrolases in CHMs, which remain highly active, can hydrolyze saponins to secondary saponins or sapogenins [28]. The shade-drying method is an inefficient process and is rarely used today. CHMs with saponins as markers or functional components are not suitable for this method [29]. Sun drying is highly dependent on natural climatic conditions, resulting in unstable drying quality. Consequently, it has largely been replaced by the oven-drying method in current production practices [30]. In the oven-drying method, the drying temperature significantly affects the saponin components of Notoginseng Radix et Rhizoma. After fresh cutting, the samples were dried at temperatures of 40 °C, 50 °C, and 60 °C. The contents of saponins R1, Rg1, and Rb1 were observed to initially increase and then decrease with the increasing temperature, peaking at 50 °C [31]. Fresh Ginseng Radix et Rhizoma was subjected to drying at temperatures of 30 °C, 40 °C, 50 °C, 55 °C, and 60 °C. The contents of ginsenosides Rg1 and Re initially increased with the rise in temperature and then decreased, reaching their peak at 50 °C [32]. High drying temperatures can transform the saponins contained in some medicinal materials into rarer saponins. Ginsenosides may hydrolyze and lose part of their sugar groups at high temperatures, turning into less polar saponins, which are more easily absorbed into the blood circulation [33,34,35]. Malonyl ginsenosides in ginseng are prone to decarboxylation and subsequent degradation at elevated temperatures, transforming into other neutral saponins and rare saponins [36,37,38]. Although the low-temperature drying method cannot completely inhibit enzyme activity, which may lead to the hydrolysis of some saponins, it results in a significantly better retention rate of total saponin contents compared to the sun-drying method. High-temperature drying effectively inactivates endogenous enzymes, but also predisposes saponin components to decomposition or conversion [30].
- In hot air drying, heated air is employed as the drying medium, transferring heat from the surface to the interior of CHMs through a temperature gradient, thereby achieving the objective of drying. A study investigated the effects of boiling, hot air drying, sun drying, and shade drying on the levels of ginsenoside Ro and chikusetsu saponin IVa in Panacis Majoris Rhizoma, and the results indicated that the saponin contents was higher in samples subjected to hot air drying than in those subjected to sun drying, shade drying, or boiling [39]. The total saponin contents of Polygonati Rhizoma dried by hot air was higher than that obtained by the sun-drying method [40]. The total saponin content of Ginseng Radix et Rhizoma dried in hot air at a low temperature of 40 to 50 °C was higher than that of samples dried by the sun-drying, shade-drying, and microwave-drying methods [41]. Hot air drying has several advantages over shade drying and sun drying, including reduced drying time, improved efficiency, and increased saponin yield. However, it can also cause crusting on the surface of the herb, which can impede the diffusion of internal moisture. Therefore, when employing hot air drying, it is crucial to control the pile thickness of the material to prevent incomplete drying or excessively long drying times [42].
- Microwave drying utilizes microwave energy to rapidly heat CHMs from the inside out, enabling efficient and thorough drying. A comparison of five drying methods on the total saponin contents of Polygonati Rhizoma revealed the following order of efficacy: atmospheric microwave drying, vacuum microwave drying, vacuum drying, hot air drying, and natural drying. The total saponin contents of the samples dried using both microwave methods were close to the maximum value recorded in the study [40]. However, some studies have reported that the total saponin contents of microwave-dried Paridis Rhizoma were close to or lower than those of samples dried using low-temperature methods [43]. The contents of 14 ginsenosides, including Rg1, Re, Rb1, Rc, Rb2, Rb3, Rd, and their malonyl ginsenosides, in samples of Ginseng Radix et Rhizoma and Panacis Quinquefolii Radix flowers dried using microwave energy were all found to be lower than those in samples dried at 40 °C. This reduction may be due to the thermal sensitivity of certain ginsenosides, which can be destroyed by the localized high heat generated during microwave drying [44]. Microwave drying has been shown to yield higher amounts of saponins in some CHMs compared to natural drying. However, controlling the local temperature during microwave drying is challenging. Therefore, further in-depth research is needed to effectively apply microwave-drying technology to the processing of saponin-rich CHMs.
- Infrared drying utilizes infrared radiation to directly heat CHM, causing the material to heat up internally. This internal heat then facilitates the migration of moisture through heat conduction, thereby achieving the drying objective. Infrared radiation is a type of electromagnetic wave with wavelengths ranging from 0.76 to 1000 μm. It is categorized into near, middle, and far infrared based on these wavelengths [45]. A comparison of the total saponin contents in Ginseng Radix et Rhizoma under infrared drying, hot air drying, and combined infrared–hot air drying conditions at temperatures of 50 °C, 60 °C, and 70 °C showed that the saponin contents were higher in samples dried by the infrared and combined infrared and hot air methods than those dried by hot air alone at the same temperature [46]. A comparative study of sun-drying, shade-drying, oven-drying, far-infrared-drying, and microwave-drying methods on Anemarrhenae Rhizoma revealed that far-infrared drying preserved the highest content of timosaponin A-III [47]. The above study discovered that infrared drying can increase the content of saponin components in CHMs, such as Panax ginseng and Anemarrhena asphodeloides rhizoma.
- Freeze drying, or lyophilization, effectively reduces changes in the chemical composition and preserves the appearance of natural raw materials [39,48]. One study investigated and compared the effects of various drying methods, including shade drying, sun drying, freeze drying, microwave drying, and hot air drying (at temperatures ranging from 40 to 80 °C), on the total saponin contents of Ginseng Radix et Rhizoma pieces. The results indicated that freeze-dried samples had the highest total saponin contents, followed by those dried using low-temperature (40 to 50 °C) hot air drying. Shade drying and other mild drying methods yielded intermediate contents, while microwave drying resulted in the lowest saponin content [41]. The study showed that the total saponin contents of freeze-dried Ginseng Radix et Rhizoma were significantly higher than those of samples dried by the hot air- and vacuum microwave-drying methods, indicating the superiority of freeze drying in preserving saponin contents [49]. Freeze drying is recognized as an industrialized drying technology that excels in preserving the fresh quality of raw materials. However, its application in the processing of common CHMs is limited due to the high energy costs associated with the process.
3.1.2. Pulverization
3.1.3. Extraction
- The ultrasonic-assisted extraction method enhances the solvent extraction process by incorporating ultrasonic energy during the extraction. Ultrasound-assisted extraction is widely utilized in the field of phytochemical analysis due to its high efficiency, energy-saving properties, and cost-effectiveness. One study investigated the effects of decoction, reflux extraction, and ultrasonic-assisted extraction on Notoginseng Radix et Rhizoma using panax notoginseng saponins, ginsenosides Rb1 and Rg1, as indices. The results indicated that ultrasonic-assisted extraction yielded the highest saponin extraction efficiency [57]. Ultrasonic-assisted extraction of saponins from Chenopodium Qquinoa Willd. seeds demonstrated a significant advantage over the reflux extraction method, with a higher saponin extraction rate [58]. The extraction rate of jujube saponin A from Ziziphi Spinosae seeds was found to be 14.25% higher compared to reflux extraction at 65 °C [59]. Ultrasonic-assisted extraction accelerates the transfer of saponins into the solvent and enhances their dissolution through the cavitation, mechanical, and thermal effects generated by ultrasound [60,61].
- The microwave-assisted extraction method combines microwave energy with conventional extraction techniques, utilizing the thermal effects of microwaves to extract the active components from CHMs. Methanol and ethanol were used as extraction solvents to compare the saponin constituents of Chenopodium album via microwave-assisted extraction and soxhlet extraction. The yields from microwave-assisted extraction were 3.05 ± 0.112 mg/g for methanol and 3.22 ± 0.061 mg/g for ethanol, which were 68.5% and 75.0% higher, respectively, than those obtained by soxhlet extraction [62]. A comparison of microwave-assisted extraction, solvent extraction, and ultrasonic-assisted extraction for total saponins in Asteroidea revealed that microwave-assisted extraction yielded an extraction rate of 60.3 ± 0.6 mg/g. This rate was 3.3 times higher than that of ultrasonic-assisted extraction and 7.8 times higher than the solvent extraction method [63]. Microwave-assisted extraction leverages microwave energy to rupture cell walls and membranes, accelerating the release of saponin components and thereby enhancing dissolution efficiency. However, temperature control during microwave heating is a challenge with this extraction method [64].
- Enzyme-assisted extraction involves the use of exogenous enzymes to break down the cell wall structure, thereby allowing the active ingredients in CHMs to be fully released into the extraction medium. A comparison of the ethanol reflux method, cellulase-assisted extraction, pectinase-assisted extraction, and the combined cellulase–pectinase-assisted extraction on Gynostemma pentaphyllum (Thunb.) Makino revealed that the gypenoside extraction rates followed this order: combined cellulase–pectinase-assisted extraction > cellulase-assisted extraction > pectinase-assisted extraction > ethanol reflux extraction. Notably, the extraction rate of gypenosides by the combined cellulase–pectinase method was 31% higher than that of the ethanol reflux extraction method [65]. Enzymatic extraction methods yielded higher saponin contents from Chenopodium quinoa Willd. than the ethanol reflux extraction method. Specifically, the cellulase–pectinase-assisted extraction yielded a saponin content of 42.220 mg/g, which was 15.935 mg/g higher than ethanol extraction, 8.531 mg/g higher than pectinase extraction, and 6.647 mg/g higher than cellulase extraction alone [66]. Cellulase and pectinase effectively degrade pectin and cellulose in plant cell walls and intercellular substances, disrupting the cell wall structure of plant tissues. This action reduces cell wall density, which facilitates the dissolution of saponin components. However, enzymatic extraction requires precise experimental conditions; an inappropriate environment can easily lead to enzyme inactivation and denaturation.
- Supercritical fluid extraction utilizes the dissolution properties of supercritical fluids, which change with variations in density. By adjusting the pressure or temperature, the density of the supercritical fluid can be significantly altered, thereby modifying its dissolution capabilities. Water reflux extraction, ethanol reflux extraction, enzymatic extraction, percolation extraction, and supercritical CO2 fluid extraction were employed to extract total saponins from Smilacis Chinae Rhizoma. Among these methods, supercritical CO2 fluid extraction yielded the highest total saponin content, which was 3.39, 1.34, 1.36, and 1.47 times higher than those obtained by water reflux extraction, ethanol reflux extraction, enzymatic extraction, and percolation extraction, respectively [67]. A comparison of the saponin contents in Astragalus Radix extracted by water reflux extraction, ethanol reflux extraction, and supercritical fluid extraction revealed that the supercritical fluid extraction method yielded the highest extraction rates for total saponins and astragaloside A, with values of 1242.5 ± 18.9 μg/g and 1211.3 ± 16.9 μg/g, respectively [68]. Supercritical fluid extraction can selectively extract a variety of compounds by adjusting pressure or temperature. However, the extraction of high-molecular-weight and polar saponins often requires the use of entrainment agents. The inclusion of these agents can further complicate the high-pressure phase equilibrium, leading to variable pressure operation, increased costs, and challenges in scaling up for industrial production [69].
3.2. Effect of Processing Conditions on the Saponin Components of CHMs
3.2.1. Processing Temperature
3.2.2. Conditional pH
3.2.3. Enzymes
3.2.4. Metal Ions
4. Transformation Mechanisms of Saponins in Storage and Processing of CHMs
4.1. Dissolution Effect
4.1.1. Dissolution Effect Due to Particle Size
4.1.2. Dissolution Effects Due to Wall-Breaking
4.2. Hydrolysis Reaction
4.2.1. Enzyme Hydrolysis
4.2.2. Non-Enzymatic Hydrolysis
4.3. Isomerization Reaction
4.4. Decomposition Reaction
4.5. Complexation Reaction
5. Summary and Prospects
Author Contributions
Funding
Institutional Review Board Statement
Informed Consent Statement
Data Availability Statement
Conflicts of Interest
References
- Zhi, D.; Zhu, P.F.; Hui, L.; Li, X.C.; Zhu, Y.Y.; Liu, Y.; Shi, X.L.; Chen, W.D.; Liu, Y.P.; Zhao, Y.L.; et al. Discovery of potent immune-modulating molecule taccaoside A against cancers from structures-active relationships of natural steroidal saponins. Phytomedicine 2022, 104, 154335. [Google Scholar] [CrossRef]
- Xu, X.H.; Li, T.; Fong, C.M.V.; Chen, X.P.; Chen, X.J.; Wang, Y.T.; Huang, M.Q.; Lu, J.J. Saponins from Chinese Medicines as Anticancer Agents. Molecules 2016, 21, 1326. [Google Scholar] [CrossRef]
- Zhu, M.T.; Sun, Y.P.; Bai, H.D.; Wang, Y.M.; Yang, B.Y.; Wang, Q.H.; Kuang, H.X. Effects of saponins from Chinese herbal medicines on signal transduction pathways in cancer: A review. Front. Pharmacol. 2023, 14, 1159985. [Google Scholar] [CrossRef]
- Yao, L.; Lu, J.; Wang, J.; Gao, W.Y. Advances in biosynthesis of triterpenoid saponins in medicinal plants. Chin. J. Nat. Med. 2020, 18, 417–424. [Google Scholar] [CrossRef]
- Passos, F.; Araújo-Filho, H.G.; Monteiro, B.S.; Shanmugam, S.; Araújo, A.; Almeida, J.; Thangaraj, P.; Júnior, L.; Quintans, J. Anti-inflammatory and modulatory effects of steroidal saponins and sapogenins on cytokines: A review of pre-clinical research. Phytomedicine 2022, 96, 153842. [Google Scholar] [CrossRef]
- Liu, J.; Xu, Y.R.; Yang, J.J.; Wang, W.Z.; Zhang, J.Q.; Zhang, R.M.; Meng, Q.G. Discovery, semisynthesis, biological activities, and metabolism of ocotillol-type saponins. J. Ginseng Res. 2017, 41, 373–378. [Google Scholar] [CrossRef] [PubMed]
- Xu, C.F.; Xia, B.H.; Zhang, Z.M.; Lin, Y.; Li, C.; Lin, L.M. Research progress in steroidal saponins from the genus Polygonatum: Chemical components, biosynthetic pathways and pharmacological effects. Phytochemistry 2023, 213, 113731. [Google Scholar] [CrossRef] [PubMed]
- Liang, Y.T.; Chen, B.Q.; Liang, D.; Quan, X.X.; Gu, R.L.; Meng, Z.Y.; Gan, H.; Wu, Z.N.; Sun, Y.B.; Liu, S.C.; et al. Pharmacological Effects of Astragaloside IV: A Review. Molecules 2023, 28, 6118. [Google Scholar] [CrossRef]
- Singh, B.; Singh, J.P.; Singh, N.; Kaur, A. Saponins in pulses and their health promoting activities: A review. Food Chem. 2017, 233, 540–549. [Google Scholar] [CrossRef]
- Jia, A.; Yang, X.H.; Zou, B.; Li, J.; Wang, Y.F.; Ma, R.X.; Li, J.; Yao, Y. Saikosaponins: A Review of Structures and Pharmacological Activities. Nat. Prod. Commun. 2022, 17, 1934578X221094908. [Google Scholar] [CrossRef]
- Fan, W.X.; Fan, L.H.; Wang, Z.Y.; Mei, Y.Q.; Liu, L.C.; Li, L.N.; Yang, L.; Wang, Z.T. Rare ginsenosides: A unique perspective of ginseng research. J. Adv. Res. 2024. [Google Scholar] [CrossRef] [PubMed]
- Qi, L.W.; Wang, C.Z.; Yuan, C.S. American ginseng: Potential structure–function relationship in cancer chemoprevention. Biochem. Pharmacol. 2010, 80, 947–954. [Google Scholar] [CrossRef] [PubMed]
- Li, Y.; Zhang, P.; Yu, R.; Chen, R.Z.; Si, J.P.; Zhang, X.F. Effects of Different Storage Conditions on Edible Quality and Antioxidant Activity of Polygonatum cyrtonema Flowers. China J. Chin. Mater. Medica 2021, 46, 3091–3101. [Google Scholar] [CrossRef]
- Ma, P.; Li, L.Y.; Zhang, Y. Impact of storage conditions and time on herb of Lonicera macranthoides. China J. Chin. Mater. Medica 2014, 39, 981–991. [Google Scholar]
- Zhang, L.W.; Qiu, H.L.; Yuan, S.; Guo, M.Z.; Guo, Z.Y.; Yu, L.J. Revelation of mechanism for aqueous saponins content decrease during storage of Dioscorea zingiberensis C. H. Wright tubers: An essential prerequisite to ensure clean production of diosgenin. Ind. Crop. Prod. 2018, 125, 178–185. [Google Scholar] [CrossRef]
- Lee, S.H.; Kim, K.M.; Kim, D.; Han, G.D. Changes in ginsenoside patterns of red ginseng extracts according to manufacturing and storage conditions. Food Sci. Biotechnol. 2017, 26, 1735–1741. [Google Scholar] [CrossRef]
- Sun, H. Study on Preparation Artwork and Anti-Cervical Cancer Activity Ofheat-Processed Hydrolysate of Ginsenosides Rb1. Master’s Thesis, Jilin Agricultural University, Changchun, China, 2021. [Google Scholar] [CrossRef]
- Shi, P.P. Preparation of Ginsenoside Rg3 by Biotransformation Ginsenoside Rb1 in Deep Eutectic Solvent. Master’s Thesis, University of Science and Technology Liaoning, Anshan, China, 2023. [Google Scholar] [CrossRef]
- Hwang, C.R.; Lee, S.H.; Jang, G.Y.; Hwang, I.G.; Kim, H.Y.; Woo, K.S.; Lee, J.; Jeong, H.S. Changes in ginsenoside compositions and antioxidant activities of hydroponic-cultured ginseng roots and leaves with heating temperature. J. Ginseng Res. 2014, 38, 180–186. [Google Scholar] [CrossRef]
- Zhu, D.S.; Zhang, H. Effects of Different Temperature, Humidity and Packing Conditions on Storage of Dehydrated American Ginseng. Dry. Technol. Equip. 2004, 4, 28–31. [Google Scholar]
- Han, X.T.; Tang, Y.N.; Liu, Z.Q.; Bao, L.Y.; Han, S.; Liu, K.Y.; Wang, H.Y.; Guo, X.G.; Li, W.F.; Du, H.; et al. Influence of different storage conditions on quality of Codonopsis Radix pieces. Chin. Tradit. Herb. Drugs 2022, 53, 858–867. [Google Scholar]
- Zheng, Y.F.; Cai, J.H.; Tan, Y.Q.; Wei, F.; Wei, H.J. Study on the Extraction and Stability of Saponin from Star Anise. China Condiment 2023, 48, 96–99. [Google Scholar] [CrossRef]
- Zhen, L.H.; Lu, C.J.; Zhou, Z.K.; Cao, H.; Wu, S.Z. Determination of 5 saponins in total saponins of Panax Notoginseng by HPLC and study on their stability. Clin. J. Tradit. Chin. Med. 2012, 24, 73–75. [Google Scholar] [CrossRef]
- Silpa, S.G.; Smitha, G.R.; Ranjitha, K. Drying and Packaging Methods Impact the Bacoside Profile and Microbiological Quality of Brahmi Herb (Bacopa monnieri L.) During Storage. Ind. Crop. Prod. 2021, 159, 113064. [Google Scholar] [CrossRef]
- Yu, F.; Wan, N.; Li, Y.H.; Wang, X.C.; Wu, Z.F.; Liu, Z.F.; Yang, M. Analysis on the Change Rule and Mechanism of Physicochemical Properties of Chinese Medicinal Materials During Drying. Chin. Tradit. Herb. Drugs 2021, 52, 2144–2153. [Google Scholar] [CrossRef]
- Nurhaslina, C.R.; Sharlien, A.B.; Mustapa, A.N. Review on drying methods for herbal plants. Mater. Today Proc. 2022, 63, S122–S139. [Google Scholar] [CrossRef]
- Li, L.S.; Chen, L.P.; Pan, D.J.; Zhu, Y.; Huang, R.S.; Chen, J.; Ye, C.Y.; Yao, S.C. Evaluation of different drying methods on the quality of Cinnamomum cassia barks by analytic hierarchy process method. Heliyon 2024, 10, e34608. [Google Scholar] [CrossRef]
- Dong, L.H.; Kuang, Y.H.; Fan, D.D.; Jiang, T.; Chen, L.M.; Zhang, D.; Zhu, J.J.; Wang, Z.M.; Wang, D.Q.; Li, C.Y. Comparison of saponins from Gynostemma pentaphyllum leaves prepared by different processing methods. China J. Chin. Mater. Medica 2018, 43, 502–510. [Google Scholar]
- Yazici, M.; Kose, R. Energy, exergy and economic investigation of novel hybrid dryer, indirect solar dryer and traditional shade drying. Therm. Sci. Eng. Prog. 2024, 49, 102502. [Google Scholar] [CrossRef]
- Fan, T.C.; Du, Z.Y.; Li, J.; Wen, Y.L.; Liu, L.T.; Liu, Y.N. Effects of Different Drying Methods on Chemical Components of Traditional Chinese Medicine: A Review. Mod. Chin. Med. 2021, 23, 2017–2024. [Google Scholar] [CrossRef]
- Liu, Y.; Chen, J.F.; Xu, N.; Lin, W.G.; Liu, Y.M.; Chen, M.L.; Liu, D.H. Effects of fresh-cut on drying rate and quality of Panax notoginseng. China J. Chin. Mater. Medica 2019, 44, 1381–1391. [Google Scholar] [CrossRef]
- Xu, M.D.; Zhang, X.J.; Liu, X.K.; Gong, J.Y.; Yu, P.; Xie, X.Y.; Cai, G.R. Quality evaluation of Panax ginseng decoction slices based on fresh cutting and traditional processing technology. Chin. Tradit. Herb. Drugs 2023, 54, 2437–2445. [Google Scholar]
- Li, X. Effects of Thermal Processing on Phenolic Components, Antioxidant Activities and Saponins Conversion Mechanisms of Panax ginseng C.A. Meyer Flowers and Pulps. Master’s Thesis, Beijing Forestry University, Beijing, China, 2018. [Google Scholar] [CrossRef]
- Ning, X.F.; Feng, Y.L.; Gong, Y.J.; Chen, Y.L.; Qin, J.W.; Wang, D.Y. Drying features of microwave and far-infrared combination drying on white ginseng slices. Food Sci. Biotechnol. 2019, 28, 1065–1072. [Google Scholar] [CrossRef] [PubMed]
- Li, T.; Yan, Y.T.; Han, L.L.; Li, M.K.; Liu, S.Y.; Zhou, X.Y.; Lee, J.; Li, X.M.; Zhao, Y.Q. Ginseng fruit rare saponins (GFRS), a promising anti-wrinkle agent: Evidence of its antioxidant effect and its capacity to prevent matrix metalloproteinase (MMPs) expression in vitro and in vivo. Ind. Crop. Prod. 2024, 215, 118716. [Google Scholar] [CrossRef]
- Zhang, D.L.; Li, M.Y.; Wang, D.S.; Wen, X.; Li, J.X.; Liu, Z. Effects of Different Heating Methods on Degradation of Malonyl ginsenosides and Changes in Antioxidant Activity. J. Jilin Agric. Univ. 2023, 45, 773–780. [Google Scholar] [CrossRef]
- Liu, Z.; Xia, J.; Wang, C.Z.; Zhang, J.Q.; Ruan, C.C.; Sun, G.Z.; Yuan, C.S. Remarkable Impact of Acidic Ginsenosides and Organic Acids on Ginsenoside Transformation from Fresh Ginseng to Red Ginseng. J. Agric. Food. Chem. 2016, 64, 5389–5399. [Google Scholar] [CrossRef] [PubMed]
- Awang, D.V.C. The Neglected Ginsenosides of North American Ginseng (Panax quinquefolius L.). J. Herbs Spices Med. Plants 2000, 7, 103–109. [Google Scholar] [CrossRef]
- Li, Q.H.; Duan, L.H.; Lv, D.; Cui, X.M. Optimization of vacuum freeze-drying process and comparison of anticoagulation effect in Panacis Majoris Rhizoma. J. Chin. Med. Mater. 2023, 46, 1402–1407. [Google Scholar] [CrossRef]
- Heng, Y.X.; Zheng, X.X.; Yin, Z.Y.; Bian, F.X.; Liu, D.D. The effects of different drying methods on the drying characteristics and quality of Polygonatum odoratum. Sci. Technol. Food Ind. 2018, 39, 158–161. [Google Scholar] [CrossRef]
- Song, L.H.; Zhang, R.; Xu, T.Y.; Yu, P. Effects of different drying methods and temperatures on the content of chemical components and antioxidant activity of Ginseng decoction pieces. Lishizhen Med. Mater. Medica Res. 2023, 34, 2412–2418. [Google Scholar] [CrossRef]
- Luo, Y.; Li, W.Q.; Wan, F.X.; Huang, X.P. Drying Characteristics of Platycodon grandiflorum Slice by Hot-Wind Based on Weibull Distribution Function. J. Agric. Sci. Technol. 2020, 22, 132–140. [Google Scholar] [CrossRef]
- Zhang, J.; Ding, B.; Zhang, H.; Qi, J.S.; Shen, Y.X.; Zhou, N.; Chen, X.H.; Yang, D.M. Effects of Different Drying Methods on Total Saponin Content and Antioxidant Capacity of Paris polyphylla var.yunnanensis. Chin. J. Inf. Tradit. Chin. Med. 2016, 23, 95–97. [Google Scholar]
- Li, F.; Li, Q.; Song, D.; Liu, P.P.; Lu, C.N.; Wang, J.; Jia, L.Y.; Lu, J.C. Effect of different drying methods on ginsenosides in flower of Panax ginseng and Panax quinquefolius. Chin. Tradit. Herb. Drugs 2015, 46, 2937–2942. [Google Scholar] [CrossRef]
- Wang, L.Y.; Li, C.H.; Liu, M.Z.; Li, K.; Ye, X.R.; Wang, Z.W.; Fan, L.T.; Wang, R.K.; Zhao, H.Y.; Kan, Z.; et al. Research status of drying technology and equipment of Chinese medicinal materials. Trans. Chin. Soc. Agric. Eng. 2024, 40, 1–28. [Google Scholar] [CrossRef]
- Pei, Y.; Li, Z.; Song, C.; Li, J.; Song, F.H.; Zhu, G.Y.; Liu, M.B. Effects of combined infrared and hot-air drying on ginsenosides and sensory properties of ginseng root slices (Panax ginseng Meyer). J. Food Process Preserv. 2019, 44, e14312. [Google Scholar] [CrossRef]
- Guo, X.Y.; Yang, D.S.; Ma, C.H.; Wang, W.C.; Huang, J.M.; Yin, Y.S. The Influence of Different Drying Techniques for the Contents of Effective Ingredients in Rhizoma Anemarrhenae. Chin. J. Ration. Drug Use 2012, 9, 17–20. [Google Scholar] [CrossRef]
- Liu, X.S.; Qiu, Z.F.; Wang, L.H.; Chen, Y. Quality evaluation of Panax notoginseng extract dried by different drying methods. Food Bioprod. Process. 2010, 89, 10–14. [Google Scholar] [CrossRef]
- Popovich, D.G.; Hu, C.; Durance, T.D.; Kitts, D.D. Retention of Ginsenosides in Dried Ginseng Root: Comparison of Drying Methods. J. Food Sci. 2005, 70, s355–s358. [Google Scholar] [CrossRef]
- Liu, D.; Yu, Z.X.; Sang, M.; Gu, Y.; Gao, Y.; Tang, Y.F.; Qian, F. Analysis of problems related to the pre-mashing of Chinese medicine pieces. Lishizhen Med. Mater. Medica Res. 2020, 31, 1887–1888. [Google Scholar] [CrossRef]
- Luo, G.; Chen, L.T.; Zhou, J. Application of ultra-fine pulverization technology in Chinese materia medica. Drugs Clin. 2011, 26, 108–112. [Google Scholar]
- Li, C.H. Study on Superfine Pulverization of Chinese Traditional Medcines and Dissolving-Out Characteristics of Effective Compositions. Ph.D. Thesis, Kunming University of Science and Technology, Kunming, China, 2002. [Google Scholar]
- Zhang, J.; Wang, X.Q.; Wang, D.Q.; Hou, J.G. Effects of Superfine Comminution on Leaching of Ginsenosides in Panax ginseng. Food Sci. 2009, 30, 96–98. [Google Scholar] [CrossRef]
- Islam, M.; Malakar, S.; Rao, M.V.; Kumar, N.; Sahu, J.K. Recent advancement in ultrasound-assisted novel technologies for the extraction of bioactive compounds from herbal plants: A review. Food Sci. Biotechnol. 2023, 32, 1763–1782. [Google Scholar] [CrossRef]
- Peng, Y.Q.; Liu, S.; Kang, Z.P.; Du, C.Y.; Liang, Z.S. Study on Extraction Technology and Content Determination of Saikosaponin. Chem. Reag. 2021, 43, 1677–1682. [Google Scholar] [CrossRef]
- Costa, J.R.; Tonon, R.V.; Cabral, L.; Gottschalk, L.; Pastrana, L.; Pintado, M.E. Valorization of Agricultural Lignocellulosic Plant Byproducts through Enzymatic and Enzyme-Assisted Extraction of High-Value-Added Compounds: A Review. ACS Sustain. Chem. Eng. 2020, 8, 13112–13125. [Google Scholar] [CrossRef]
- Zhao, H.Y.; Liu, F.Q.; Wang, Y.P.; Zhao, N.; Wu, Y.Y.; Wang, X.Y. Comparative study of extraction process on the effective components of Panax notoginseng. J. Pharm. Pract. Serv. 2009, 27, 205–208. [Google Scholar] [CrossRef]
- Feng, H.Q.; Xu, X.F.; Yang, H.W.; Shen, B.Y.; Hu, J.; Li, C.Z. Comparative studies on different extraction process of saponin from quinoa seeds. Sci. Technol. Food Ind. 2016, 37, 216–221. [Google Scholar] [CrossRef]
- Chen, M.; Liao, Y.; Wu, Y.; Li, L. Comparative Study on Different Extraction Methods of Jujuboside A. Farm Prod. Process. 2021, 24, 32–38. [Google Scholar] [CrossRef]
- Wen, C.T.; Zhang, J.X.; Zhang, H.H.; Dzah, C.S.; Zandile, M.; Duan, Y.Q.; Ma, H.L.; Luo, X.P. Advances in ultrasound assisted extraction of bioactive compounds from cash crops—A review. Ultrason. Sonochem. 2018, 48, 538–549. [Google Scholar] [CrossRef]
- Xue, F.; Li, C.N.; Li, P.S.; Liu, Y.Y.; Fan, B.D.; Bao, H.Y.; Xu, T.H.; Liu, T.H. Application in Ultrasonic Extraction Chemical Constituents of Traditional Chinese Medicine. Chin. J. Exp. Tradit. Med. Formulae 2014, 20, 231–234. [Google Scholar] [CrossRef]
- Choudhary, N.; Chatterjee, M.; Kumar, S.; Singh, G.; Suttee, A. Effect of conventional method and microwave assisted extraction on phytoconstituents of Chenopodium album. Mater. Today Proc. 2021, 45, 5362–5367. [Google Scholar] [CrossRef]
- Dahmoune, B.; Houma-Bachari, F.; Chibane, M.; Akrour-Aissou, C.; Guégan, J.; Vives, T.; Jéhan, P.; Dahmoune, F.; Mouni, L.; Ferrières, V.; et al. Microwave assisted extraction of bioactive saponins from the starfish Echinaster sepositus: Optimization by response surface methodology and comparison with ultrasound and conventional solvent extraction. Chem. Eng. Process. 2021, 163, 108359. [Google Scholar] [CrossRef]
- Fan, Y.; Li, Z.M.; Liu, L.; Xi, J. Combination of liquid-phase pulsed discharge and ultrasonic for saponins extraction from lychee seeds. Ultrason. Sonochem. 2020, 69, 105264. [Google Scholar] [CrossRef]
- Yang, J.J.; He, S.G.; Zhao, M.Q.; Zhang, X. Compared study on extraction of total gypenosides by different methods. Sci. Technol. Food 2016, 37, 269–272. [Google Scholar] [CrossRef]
- Shan, H.J. Study on Extraction and Isolation of Saponins from Chenopodium quinoa and its Anti-Colon Cancer. Master’s Thesis, Hefei University of Technology, Hefei, China, 2022. [Google Scholar] [CrossRef]
- Wang, M.J.; Wang, L.L.; Du, X.X.; Zhang, T.J.; Gong, S.X.; Yang, J.Y. Effects of different extracting methods on total saponins extraction efficacy from Smilax china. Chin. Tradit. Herb. Drugs 2012, 43, 2194–2196. [Google Scholar]
- Li, J.J.; Fan, S.W.; Yu, R.L. Analysis of active components and antioxidant activity of Astragalus astragalus by supercritical fluid extraction. J. Chin. Med. Mater. 2024, 3, 692–696. [Google Scholar] [CrossRef]
- Dassoff, E.S.; Li, Y.O. Mechanisms and effects of ultrasound-assisted supercritical CO2 extraction. Trends Food Sci. Technol. 2019, 86, 492–501. [Google Scholar] [CrossRef]
- Li, Z.J.; Xu, Y.B.; Liu, Y.W.; Kong, M.R.; Ma, K.; Wang, J.R.; Wang, H.G.; Zhao, Y.H. Ultrasonic pretreatment combined with microwave-assisted hydrodistillation for the situ extraction of essential oil from Pinus koraiensis seed scales induced by tea saponin: Functional activity, composition, thermal stability and material characterization. Ind. Crop. Prod. 2024, 210, 118191. [Google Scholar] [CrossRef]
- Yan, Y.X.; Fu, Z.X.; Wan, J.F.; Zhang, Y.J.; Gao, J.L.; Gao, J.Q.; Wang, W. Enhancing the recovery of complex amino acids from excess sludge via low-intensity ultrasound-assisted enzymatic hydrolysis. Chem. Eng. J. 2024, 489, 151179. [Google Scholar] [CrossRef]
- Zhang, H.L.; Li, X.P.; Kang, M.; Li, Z.R.; Wang, X.W.; Jing, X.; Han, J.J. Sustainable ultrasound-assisted extraction of Polygonatum sibiricum saponins using ionic strength-responsive natural deep eutectic solvents. Ultrason. Sonochem. 2023, 100, 106640. [Google Scholar] [CrossRef]
- Ou, X.H.; Wang, X.; Yang, Y.; Liu, W.; Jin, H.; Xiao, Y.B.; Liu, D.H. Study on Extraction Conditions of Panax notoginseng Saponins by Orthogonal Experiment. Mod. Chin. Med. 2012, 14, 48–52. [Google Scholar] [CrossRef]
- Qi, H.; He, Y.N.; Wang, F.; Wu, J.; Ci, Z.M.; Chen, L.M.; Xu, R.C.; Yang, M.; Lin, J.Z.; Han, L.; et al. Microwave technology: A novel approach to the transformation of natural metabolites. Chin. Med. 2021, 16, 87. [Google Scholar] [CrossRef]
- Ke, S.T.; Zhu, Y.Y. Analysis on Extraction Technology of Effective Components of Chinese Herbal Medicine and Detection Method of Toxic Components. Mod. Chem. Res. 2021, 2, 149–150. [Google Scholar] [CrossRef]
- Rafińska, K.; Wrona, O.; Krakowska-Sieprawska, A.; Walczak-Skierska, J.; Kiełbasa, A.; Rafiński, Z.; Pomastowski, P.; Kolankowski, M.; Buszewski, B. Enzyme-assisted extraction of plant material—New functional aspects of the process on an example of Medicago sativa L. Ind. Crop. Prod. 2022, 187, 115424. [Google Scholar] [CrossRef]
- Wrona, O.; Rafińska, K.; Możeński, C.; Buszewski, B. Supercritical Fluid Extraction of Bioactive Compounds from Plant Materials. J. Aoac Int. 2017, 100, 1624–1635. [Google Scholar] [CrossRef] [PubMed]
- Xing, Y.B.; Wang, X.Y.; Wang, M.Y.; Qi, X.; Cui, C.B. Process Optimization of Total Saponins from Adventitious Roots of Ginseng and Their Antioxidant and Anti-fatigue Effects. Sci. Technol. Food Ind. 2024, 45, 193–201. [Google Scholar] [CrossRef]
- Yuan, L. Study on the Preparation of Total Saponins and Polysaccharides from Polygonati rhizoma and the Effect of Soil Moisture Content on Its Quality during Cultivation. Master’s Thesis, Qingdao University, Qingdao, China, 2015. [Google Scholar]
- Xu, X.F.; Gao, Y.; Xu, S.Y.; Liu, H.; Xue, X.; Zhang, Y.; Zhang, H.; Liu, M.N.; Xiong, H.; Lin, R.C.; et al. Remarkable impact of steam temperature on ginsenosides transformation from fresh ginseng to red ginseng. J. Ginseng Res. 2018, 42, 277–287. [Google Scholar] [CrossRef] [PubMed]
- Li, J.; Chen, L.N.; Jiang, H.; Zhang, Q.; Zhang, Y.P. Study on the Degradation of Saikosaponin a in Water Solution. Lishizhen Med. Mater. Medica Res. 2014, 25, 2062–2064. [Google Scholar]
- Shi, D.Z.; Wu, F.L.; Tan, L.Y.; Zhou, B.S.; Liu, J.P.; Li, P.Y.; Lai, S.H. Optimization of preparation of ginsenoside Rg2 by alkali-hydrolyzed ginseng stem and leaf triol saponins by Box-Behnken Design-response surface method. J. Chin. Med. Mater. 2022, 45, 173–176. [Google Scholar] [CrossRef]
- Zhang, X.; Song, F.R.; Liu, Z.Q.; Liu, S.Y. Studies on the Stripping Regularity of Ginsenosides in Aqueous Solutions with Different pH Values by HPLC-ESI-MSn. Chem. J. Chin. Univ.-Chin. 2006, 27, 1640–1644. [Google Scholar] [CrossRef]
- Zhang, G.S.; Feng, C.H.; Luo, X.J.; Su, S.N.; Hu, P.Y.; Wang, Y.S. Optimization of Extraction Technology for Saikosaponins from Bupleurum. Chin. J. Exp. Tradit. Med. Formulae 2011, 17, 17–20. [Google Scholar] [CrossRef]
- Tan, X.M. Study on the Furostanol Saponins from Paris polyphylla var. chinensis and their Conversion Mechanism during Drying Processing. Master’s Thesis, Tianjin University of Traditional Chinese Medicine, Tianjin, China, 2021. [Google Scholar] [CrossRef]
- Wang, L.J. Cloning and Catalytic Function of Anemarrhenae rhizoma Steroidal Saponin 26-O-β-Glucosidase Gene. Master’s Thesis, Hunan University of Chinese Medicine, Changsha, China, 2019. [Google Scholar] [CrossRef]
- Xu, T.Z.; Wu, M.R.; Shao, J.L.; Chang, Y.; Zhu, Y.T.; Chen, J.X.; Chen, L.Y.; Chen, Y.D.; Yang, H.; Xia, G.H. Preparation of rare protosaikosaponin A by enzymatic hydrolysis of saikosaponin B1. Chin. Tradit. Pat. Med. 2023, 45, 4156–4160. [Google Scholar] [CrossRef]
- Mok, I.; Jung, H.; Kim, H.; Kim, D. Biotransformation of ginsenosides from Korean wild-simulated ginseng (Panax ginseng C. A. Mey.) using the combination of high hydrostatic pressure, enzymatic hydrolysis, and sonication. Food Biosci. 2023, 53, 102687. [Google Scholar] [CrossRef]
- Wei, X.Y.; Guo, X.N.; Wei, L.Z.; Gong, J.F.; Leng, X.X.; Cai, D.Y. Extraction and antioxidant activity of total saponins from Chenopodium quinoa. J. Tradit. Chin. Vet. Med. 2020, 39, 16–20. [Google Scholar] [CrossRef]
- Chen, Q.L.; Hua, Y.; Wang, C.L.; Zhang, N.; Sun, Y.N.; Wang, Z.; Liu, J.L. Analytical method to evaluate chelating capacity of constituents in decoction of Chinese materia medica with free iron ions. Chin. Tradit. Herb. Drugs 2014, 45, 1402–1406. [Google Scholar] [CrossRef]
- Cao, B.Y.; Xu, S.Y.; Li, G.H.; Wang, Y.; Yu, H.S. Catalytic effect of metal ions on ginsenoside Rb1 in an ethanol system. Chem. Reag. 2024, 46, 88–93. [Google Scholar] [CrossRef]
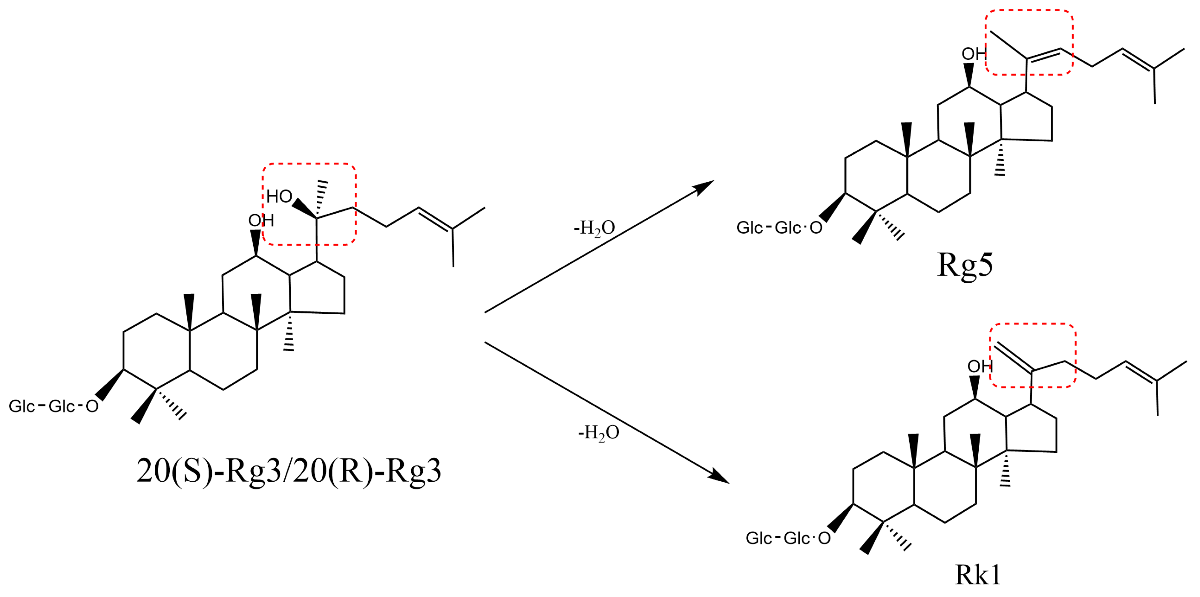
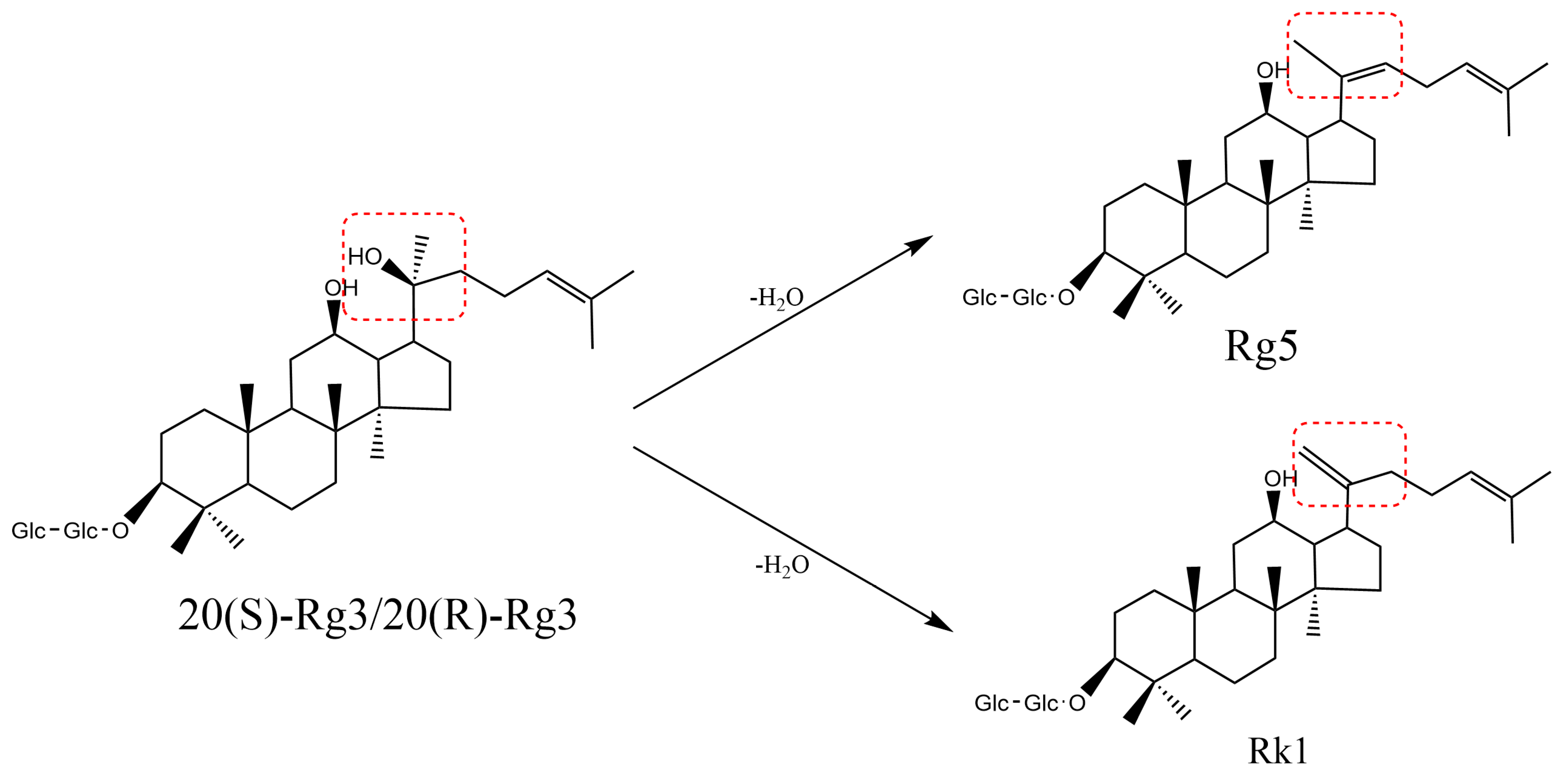
- Gui, L.; Xu, L.Q.; Song, J.G.; Yu, H.S. Optimization of preparation process of rare ginsenosides Rk1 and Rg5 catalyzed by metal ions. J. Dalian Polytech. Univ. 2020, 39, 401–405. [Google Scholar] [CrossRef]
- Yuan, T.; Liu, C.Y.; Xu, L.Q.; Song, J.G.; Yu, H.S. Metal ions catalyzed conversion of ginsenoside Rg1 to Rh1. J. Dalian Polytech. Univ. 2019, 38, 338–343. [Google Scholar] [CrossRef]
- Lucie, K.; Václav, S.; Gabriela, Z.; Tomáš, Z. The effect of porosity and particle size on the kinetics of porous carbon xerogels surface oxidation. Carbon 2023, 206, 303–313. [Google Scholar] [CrossRef]
- Kubicek, C.P.; Starr, T.L.; Glass, N.L. Plant cell wall-degrading enzymes and their secretion in plant-pathogenic fungi. Annu. Rev. Phytopathol. 2014, 52, 427. [Google Scholar] [CrossRef]
- Hu, W.W. The Mechanism of Manosonication-Assisted Extraction of Rhamnogalacturonan I (RG-I) Enriched Pectic Polysaccharides. Ph.D. Thesis, Zhejiang University, Hangzhou, China, 2021. [Google Scholar]
- Yang, Y.; Zhang, J.L.; Zhou, Q.; Wang, L.; Huang, W.; Wang, R.D. Effect of ultrasonic and ball-milling treatment on cell wall, nutrients, and antioxidant capacity of rose (Rosa rugosa) bee pollen, and identification of bioactive components. J. Sci. Food. Agric. 2019, 99, 5350–5357. [Google Scholar] [CrossRef]
- Hao, Q.; Den, Q.C.; Zhou, B.; Chen, Y.M.; Zhou, Q.; Chen, H.J.; Den, Z.Y.; Chen, Y.S. High efficiency enzymatic hydrolysis technique of polysaccharide in plant cell wall and its application in food processing. Food Sci. 2024, 12, 304–314. [Google Scholar]
- Thite, V.S.; Nerurkar, A.S. Crude Xylanases and Pectinases from Bacillus spp. Along with Commercial Cellulase Formulate an Efficient Tailor-Made Cocktail for Sugarcane Bagasse Saccharification. Bioenergy Res. 2020, 13, 286–300. [Google Scholar] [CrossRef]
- Li, M.; Huang, Z.; Zhang, R.; Zhou, J. Review of probiotics, gut microorganisms, and their enzymes involved in the conversion of ginsenosides. Food Biosci. 2024, 58, 103829. [Google Scholar] [CrossRef]
- Song, Y.; Xu, S.; Yu, H. Preparation of rare ginsenosides C-K by enzymatic transformation of ginseng-leaf protopanaxadiol type ginsenosides. Food Ferment. Ind. 2024, 1–8. [Google Scholar] [CrossRef]
- Fu, Y.Y.; Yu, H.S.; Tang, S.H.; Hu, X.C.; Wang, Y.H.; Liu, B.; Yu, C.X.; Jin, F.X. New dioscin-glycosidase hydrolyzing multi-glycosides of dioscin from Absidia strain. J. Microbiol. Biotechnol. 2010, 20, 1011. [Google Scholar] [CrossRef]
- Zhang, J.H.; Zhou, J.; Song, H.Q.; Wu, Z.L. Study on technology of improving astragaloside in Astragalus herb by alkaline hydrolysate. Lishizhen Med. Mater. Medica Res. 2010, 21, 2935–2937. [Google Scholar] [CrossRef]
- Wang, Z.H.; Zhao, M.Y.; Tian, L.; Chen, S.J.; Jiao, L.L.; Liu, S.Y.; Zhao, H.X.; Xiu, Y. Structure and pathway analysis of chemical transformation products of saiko-saponins c based on HPLC-Q Exactive-Orbitrap mass spectrometry. Chin. J. Anal. Lab. 2023, 42, 853–859. [Google Scholar] [CrossRef]
- Kang, K.S.; Kim, H.Y.; Baek, S.H.; Yoo, H.H.; Park, J.H.; Yokozawa, T.; Ainstitute, O.N.M.; University, O.T.; Bcollege, O.P.; Seoul, N.U. Study on the Hydroxyl Radical Scavenging Activity Changes of Ginseng and Ginsenoside-Rb2 by Heat Processing. Biol. Pharm. Bull. 2007, 30, 724–728. [Google Scholar] [CrossRef]
- Duan, Y.; Yang, J.; Xie, J.B.; Xie, P.; Qi, Y.S.; Zhao, M.T.; Piao, X.L. Simultaneous quantitative analysis of nine saponins in Gynostemma pentaphyllum before and after heat processing based on UPLC-Q-Trap-MS. China J. Chin. Mater. Medica 2021, 46, 5314–5319. [Google Scholar] [CrossRef]
- Sung, M.W.; Li, P.C.H. Chemical analysis of raw, dry-roasted, and honey-roasted licorice by capillary electrophoresis. Electrophoresis 2004, 25, 3434–3440. [Google Scholar] [CrossRef]
- Wang, Q.; Shen, J. Research progress of metal complexes in traditional Chinese medicine. J. North Pharm. 2021, 18, 193–196. [Google Scholar] [CrossRef]
- Hassan, E.A.; Abou, E.W.; Abo-Elfadl, M.T.; Hassan, M.L. New pectin derivatives with antimicrobial and emulsification properties via complexation with metal-terpyridines. Carbohydr. Polym. 2021, 268, 118230. [Google Scholar] [CrossRef]
- Jing, J.J.; Zhang, R.Y.; Du, X.; Du, L.D.; Liu, Z.L.; Lin, B.J.; Zhang, F.X.; Xue, P. Synthesis and Synergistic Antibacterial Activity of Complexes of Quinoa Saponins with Silver Nanoparticles. Sci. Technol. Food Ind. 2021, 42, 50–55. [Google Scholar] [CrossRef]
- Zeng, C.C. The Study on Antitumor Activity of Platycodin D and Metal (Ruthenium, Iridium) Complexes. Master’s Thesis, Guangdong Pharmaceutical University, Guangzhou, China, 2018. [Google Scholar]
- Zhou, W.J. Study on the Effects of Different Storage Environments and Packaging Materials on Quality of Semen Arecae and other Traditional Chinese Medicines. Master’s Thesis, Jiangsu University, Zhenjiang, China, 2017. [Google Scholar]
- He, W.W.; Hang, D.D.; Wei, C.C.; Lv, R.; Jin, L. Research on the correlation between packaging and quality of Chinese medicinal materials. J. Chin. Med. Mater. 2018, 41, 2480–2484. [Google Scholar] [CrossRef]
- Li, P.Y.; Zheng, J.C.; Yang, H.B.; Wang, J.W.; Zen, Y.; Du, J.; Wang, J.Y. Policy Implementation Effects and Suggestions on Primary Processing (Fresh-cut) of Chinese Medicinal Materials. Mod. Chin. Med. 2024, 26, 593–602. [Google Scholar] [CrossRef]
- Yang, P. Study on Lily Bulb Drying Based on Blanching Pretreatment Process Optimization. Master’s Thesis, Central South University of Forestry and Technology, Changsha, China, 2022. [Google Scholar] [CrossRef]






| Method | Advantage | Disadvantage | Reference |
|---|---|---|---|
| Maceration method | Simple process, low cost and avoid the influence of temperature. | Large amount of solvent, Long extraction time and low efficiency. | [50] |
| Reflux method | Simple process, low cost and shorter extraction time. | Low safety factor and high temperature is easy to cause the loss of saponins. | [73] |
| Ultrasound-assisted method | Simple operation, higher extraction yield and eco-friendly. | Louder noise, mostly used in laboratory production, and industrial mass production is difficult. | [60,61] |
| Microwave-assisted method | Shorter extraction time, higher extraction yield and eco-friendly. | The actual operation is difficult to control, the generated energy is large and with a risk of triggering bumping. | [64,74] |
| Enzyme-assisted method | Simple operation, the shorter extraction time and higher extraction yield. | The appropriate enzyme needs to be selected, and experimental conditions are highly demanding. | [75,76] |
| Supercritical fluid extraction method | Higher extraction yield, resistance to oxidation and no solvent residue. | Higher investment costs, complex operation, and the extraction of saponins often requires the addition of entraining agents, such as water, methanol, ethanol, acetone, etc. | [69,77] |
Disclaimer/Publisher’s Note: The statements, opinions and data contained in all publications are solely those of the individual author(s) and contributor(s) and not of MDPI and/or the editor(s). MDPI and/or the editor(s) disclaim responsibility for any injury to people or property resulting from any ideas, methods, instructions or products referred to in the content. |
© 2024 by the authors. Licensee MDPI, Basel, Switzerland. This article is an open access article distributed under the terms and conditions of the Creative Commons Attribution (CC BY) license (https://creativecommons.org/licenses/by/4.0/).
Share and Cite
Wu, Y.; Zheng, H.; Zheng, T.; Jiang, J.; Xu, Y.; Jia, F.; He, K.; Yang, Y. Quantitative Changes and Transformation Mechanisms of Saponin Components in Chinese Herbal Medicines during Storage and Processing: A Review. Molecules 2024, 29, 4486. https://doi.org/10.3390/molecules29184486
Wu Y, Zheng H, Zheng T, Jiang J, Xu Y, Jia F, He K, Yang Y. Quantitative Changes and Transformation Mechanisms of Saponin Components in Chinese Herbal Medicines during Storage and Processing: A Review. Molecules. 2024; 29(18):4486. https://doi.org/10.3390/molecules29184486
Chicago/Turabian StyleWu, Yuhang, Hui Zheng, Tao Zheng, Jiani Jiang, Yao Xu, Fan Jia, Kai He, and Yong Yang. 2024. "Quantitative Changes and Transformation Mechanisms of Saponin Components in Chinese Herbal Medicines during Storage and Processing: A Review" Molecules 29, no. 18: 4486. https://doi.org/10.3390/molecules29184486
APA StyleWu, Y., Zheng, H., Zheng, T., Jiang, J., Xu, Y., Jia, F., He, K., & Yang, Y. (2024). Quantitative Changes and Transformation Mechanisms of Saponin Components in Chinese Herbal Medicines during Storage and Processing: A Review. Molecules, 29(18), 4486. https://doi.org/10.3390/molecules29184486

