The Effects of a Cultivar and Production System on the Qualitative and Quantitative Composition of Bioactive Compounds in Spring Wheat (Triticum sp.)
Abstract
1. Introduction
2. Results and Discussion
2.1. The Results of the Organic Production System
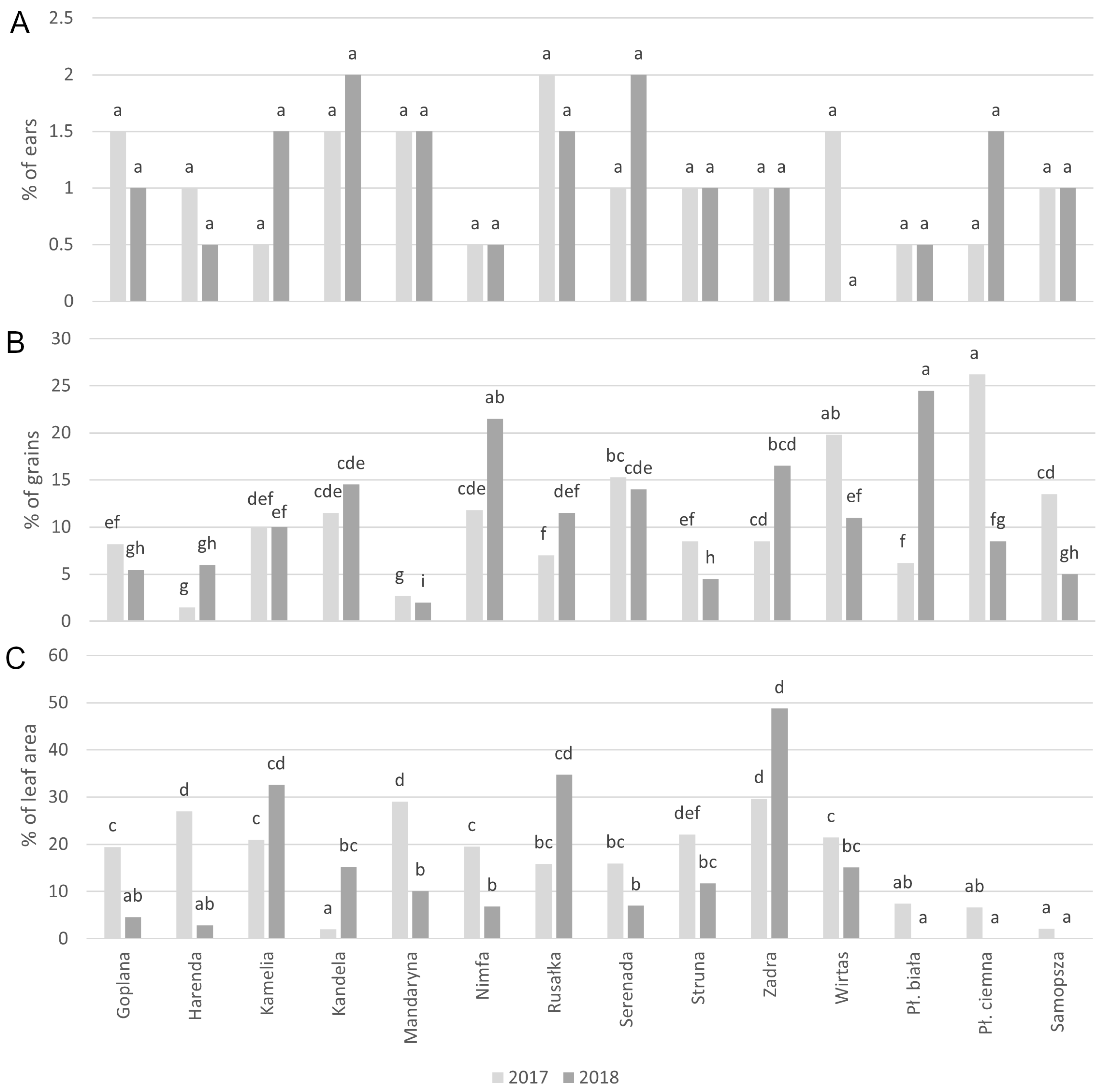
2.1.1. Biometric Analyses and Grain Yield, Evaluation of Plant Infestation by Pathogens and Fusarium spp. Occurrence
2.1.2. Quantitative and Qualitative Analysis of PAs in Grain and Husk
2.1.3. Antiradical Activity of PAs Fraction
2.1.4. Identification and Quantification of Alkylresorcinols (ARs, Resorcinolic Lipids)
2.1.5. Antiradical Activity of ARs
2.2. Comparison of Three Different Production Systems
2.2.1. Quantitative, Qualitative Analysis and Antiradical Activity of PAs
2.2.2. Identification, Quantification and Antiradical Activity of ARs
3. Materials and Methods
3.1. Characteristics of Sites, Agronomic Practices, and Design of Experiment
3.2. Plant Material
3.3. Biometric Analyses and Grain Yield
3.4. Assessment of Plant Infestation by Pathogens
3.5. Assessment of Fusarium spp. Occurrence
3.6. Chemicals
3.7. Chemical Analyses
3.7.1. Phenolic Acids (PAs)
Extraction of PAs from Spring Wheat Samples
Determination of PAs Using UPLC-DAD-MS
Antiradical Activity of PAs
3.7.2. Alkylresorcinols (ARs, Resorcinolic Lipids)
Extraction of ARs from Wheat Samples
UPLC-PDA-MS/MS Analysis of ARs
Free Radical Scavenging Activity of ARs
3.8. Statistical Analysis
4. Conclusions
Supplementary Materials
Author Contributions
Funding
Institutional Review Board Statement
Informed Consent Statement
Data Availability Statement
Conflicts of Interest
Abbreviations
References
- Rachoń, L.; Bobryk-Mamczarz, A.; Kiełtyka-Dadasiewicz, A. Hulled wheat productivity and quality in modern agriculture against conventional wheat species. Agriculture 2020, 10, 275. [Google Scholar] [CrossRef]
- Trčková, M.; Raimanová, I.; Stehno, Z. Differences among Triticum dicoccum, T. monococcum and T. spelta in rate of nitrate uptake. Czech J. Genet. Plant Breed. 2005, 41, 322–324. [Google Scholar] [CrossRef]
- Żuk-Gołaszewska, K.; Majewska, K.; Tyburski, J.; Gołaszewski, J. Nutritional properties of organic spelt wheats in different growth stages and the resulting flours. J. Elem. 2022, 27, 645–662. [Google Scholar] [CrossRef]
- Biskup, I.; Gajcy, M.; Fecka, I. The potential role of selected bioactive compounds from spelt and common wheat in glycemic control. Adv. Clin. Exp. Med. 2017, 26, 1013–1019. [Google Scholar] [CrossRef]
- Brouns, F.; van Buul, W.; Shewry, P.R. Does wheat make us fat and sick? J. Cereal Sci. 2013, 58, 209–215. [Google Scholar] [CrossRef]
- Abdel-Aal, E.S.M.; Hucl, P.; Sosulski, F.W. Compositional and nutritional characteristics of spring einkorn and spelt wheats. Cereal Chem. 1995, 72, 621–624. [Google Scholar]
- Barański, M.; Lacko-Bartošová, M.; Rembiałkowska, E.; Lacko-Bartošová, L. The effect of species and cultivation year on phenolic acids content in ancient wheat. Agronomy 2020, 10, 673. [Google Scholar] [CrossRef]
- Frégeau-Reid, J.; Abdel-Aal, E.S.M. Einkorn: A potential functional wheat and genetic resource. In Speciality Grains for Food and Feed; Abdel-Aal, E.S.M., Wood, P., Eds.; American Association of Cereal Chemists Inc.: St. Paul, MN, USA, 2004; pp. 37–62. [Google Scholar]
- Marconi, E.; Cubadda, R. Emmer Wheat. In Specialty Grains for Food and Feed; Abdel-Aal, E.S.M., Wood, P., Eds.; American Association of Cereal Chemists Inc.: St. Paul, MN, USA, 2005. [Google Scholar]
- Shewry, P.R.; Hey, S. Do “ancient” wheat species differ from modern bread wheat in their contents of bioactive components? J. Cereal Sci. 2015, 65, 236–243. [Google Scholar] [CrossRef]
- Liu, L.; Winter, K.M.; Stevenson, L.; Morris, C.; Leach, D.N. Wheat bran lipophilic compounds with in vitro anticancer effects. Food Chem. 2012, 130, 156–164. [Google Scholar] [CrossRef]
- Shestopalov, A.V.; Gaponov, A.M.; Zabolotneva, A.A.; Appolonova, S.A.; Markin, P.A.; Borisenko, O.V.; Tutelyan, A.V.; Rumyantsev, A.G.; Teplyakova, E.D.; Shin, V.F.; et al. Alkylresorcinols: New potential bioregulators in the superorganism system (human-microbiota). Biol. Bull. 2022, 49, 150–159. [Google Scholar] [CrossRef]
- Zabolotneva, A.A.; Shatova, O.P.; Sadova, A.A.; Shestopalov, A.V.; Roumiantsev, S.A. An overview of alkylresorcinols biological properties and effects. J. Nutr. Metab. 2022, 2022, 4667607. [Google Scholar] [CrossRef] [PubMed]
- Tsirivakou, A.; Melliou, E.; Magiatis, P. A method for the rapid measurement of alkylresorcinols in flour, bread and related products based on 1H qNMR. Foods 2020, 9, 1025. [Google Scholar] [CrossRef] [PubMed]
- Pu, Z.; Liu, Q.; Li, Z.; Chen, S.; Liu, Y.; Qi, P.; Wei, Y.; Zheng, Y. Planting locations with higher temperature produce more bioactive compounds and antioxidant capacities of wheat. Agronomy 2019, 9, 538. [Google Scholar] [CrossRef]
- Fernandez-Orozco, R.; Li, L.; Harflett, C.; Shewry, P.R.; Ward, J. Effects of environment and genotype on phenolic acids in wheat in the HEALTHGRAIN diversity screen. J. Agric. Food Chem. 2010, 58, 9341–9352. [Google Scholar] [CrossRef]
- Shamloo, M.; Babawale, E.A.; Furtado, A.; Henry, R.J.; Eck, P.K.; Jones, P.J. Effects of genotype and temperature on accumulation of plant secondary metabolites in Canadian and Australian wheat grown under controlled environments. Sci. Rep. 2017, 7, 9133. [Google Scholar] [CrossRef]
- Zrckova, M.; Capouchova, I.; Paznocht, L.; Eliášova, M.; Dvořák, P.; Konvalina, P.; Janovská, D.; Orsák, M.; Bečková, L. Variation of the total content of polyphenols and phenolic acids in einkorn, emmer, spelt and common wheat grain as a function of genotype, wheat species and crop year. Plant Soil Environ. 2019, 65, 260–266. [Google Scholar] [CrossRef]
- Shamanin, V.P.; Tekin-Cakmak, Z.H.; Gordeeva, E.I.; Karasu, S.; Pototskaya, I.; Chursin, A.S.; Pozherukova, V.E.; Ozulku, G.; Morgounov, A.I.; Sagdic, O.; et al. Antioxidant capacity and profiles of phenolic acids in various genotypes of purple wheat. Foods 2022, 11, 2515. [Google Scholar] [CrossRef] [PubMed]
- Li, L.; Shewry, P.R.; Ward, J.L. Phenolic acids in wheat varieties in the HEALTHGRAIN diversity screen. J. Agric. Food Chem. 2008, 56, 9732–9739. [Google Scholar] [CrossRef]
- Skrajda-Brdak, M.; Konopka, I.; Tańska, M.; Szczepanek, M.; Sadowski, T.; Rychcik, B. Low molecular phytochemicals of Indian dwarf (Triticum sphaerococcum Percival) and Persian wheat (T. carthlicum Nevski) grain. J. Cereal Sci. 2020, 91, 102887. [Google Scholar] [CrossRef]
- Okarter, N.; Liu, C.; Sorrells, M.E.; Liu, R.H. Phytochemical content and antioxidant activity of six diverse varieties of whole wheat. Food Chem. 2010, 119, 249–257. [Google Scholar] [CrossRef]
- Mpofu, A.; Sapirstein, H.D.; Beta, T. Genotype and environmental variation in phenolic content, phenolic acid composition, and antioxidant activity of hard spring wheat. J. Agric. Food Chem. 2006, 54, 1265–1270. [Google Scholar] [CrossRef] [PubMed]
- Żuchowski, J.; Jończyk, K.; Pecio, Ł.; Oleszek, W. Phenolic acid concentrations in organically and conventionally cultivated spring and winter wheat. J. Sci. Food Agr. 2011, 91, 1089–1095. [Google Scholar] [CrossRef] [PubMed]
- Abdel-Aal, E.; Hucl, P.; Sosulski, F.W.; Graf, R.; Gillott, C.; Pietrzak, L. Screening spring wheat for midge resistance in relation to ferulic acid content. J. Agric. Food Chem. 2001, 49, 3559–3566. [Google Scholar] [CrossRef]
- Lacko-Bartosova, M.; Lacko-Bartosova, L.; Kobida, L.; Kaur, A.; Moudry, J. Phenolic acids profiles and phenolic concentrations of emmer cultivars in response to growing year under organic management. Foods 2023, 12, 1480. [Google Scholar] [CrossRef]
- Chen, J.; Yang, J.; Ma, L.; Li, J.; Shahzad, N.; Kim, C.K. Structure-antioxidant activity relationship of methoxy, phenolic hydroxyl, and carboxylic acid groups of phenolic acids. Sci. Rep. 2020, 10, 2611. [Google Scholar]
- Levakova, L.; Lacko-Bartosova, M. Phenolic acids and antioxidant activity of wheat species: A review. Agriculture 2017, 63, 92–101. [Google Scholar] [CrossRef]
- Kowalska, I.; Mołdoch, J.; Pawelec, S.; Podolska, G.; von Cossel, M.; Derycke, V.; Haesaert, G.; Lana, M.A.; da Silva Lopes, M.; Riche, A.B.; et al. Environmental and cultivar variability in composition, content and biological activity of phenolic acids and alkylresorcinols of winter wheat grains from a multi-site field trial across Europe. J. Cereal Sci. 2022, 107, 103527. [Google Scholar] [CrossRef]
- Skrajda-Brdak, M.; Konopka, I.; Tańska, M.; Sulewska, H. Phenolic nutrient composition and grain morphology of winter spelt wheat (Triticum aestivum ssp. spelta) cultivated in Poland. Qual. Assur. Saf. Crop. 2018, 10, 285–295. [Google Scholar] [CrossRef]
- Kulawinek, M.; Jaromin, A.; Kozubek, A.; Zarnowski, R. Alkylresorcinols in selected Polish rye and wheat cereals and whole-grain cereal products. J. Agric. Food Chem. 2008, 56, 7236–7242. [Google Scholar] [CrossRef]
- Kowalska, I.; Jędrejek, D. Benzoxazinoid and alkylresorcinol content, and their antioxidant potential, in a grain of spring and winter wheat cultivated under different production systems. J. Cereal Sci. 2020, 95, 103063. [Google Scholar] [CrossRef]
- Zarnowski, R.; Suzuki, Y.; Pietr, J. Alkyl-and alkenylresorcinols of wheat grains and their chemotaxonomic significance. J. Nat. Res. 2004, 59, 190–196. [Google Scholar] [CrossRef] [PubMed]
- Andersson, A.A.; Kamal-Eldin, A.; Aman, P. Effects of environment and variety on alkylresorcinols in wheat in the HEALTHGRAIN diversity screen. J. Agric. Food Chem. 2010, 58, 9299–9305. [Google Scholar] [CrossRef] [PubMed]
- Kamal-Eldin, A.; Pouru, A.; Eliasson, C.; Aman, P. Alkylresorcinols as antioxidants: Hydrogen donation and peroxyl radical-scavenging effects. J. Sci. Food Agric. 2000, 81, 353–356. [Google Scholar] [CrossRef]
- Ma, D.; Wang, C.; Feng, J.; Xu, B. Wheat grain phenolics: A review on composition, bioactivity, and influencing factors. J. Sci. Food Agric. 2021, 101, 6167–6185. [Google Scholar] [CrossRef]
- Stumpf, B.; Yan, F.; Honermeier, B. Influence of nitrogen fertilization on yield and phenolic compounds in wheat grains (Triticum aestivum L. ssp. aestivum). J. Plant Nutr. Soil Sc. 2019, 182, 111–118. [Google Scholar] [CrossRef]
- Pandino, G.; Mattiolo, E.; Lombardo, S.; Lombardo, G.M.; Mauromicale, G. Organic cropping system affects grain chemical composition, rheological and agronomic performance of durum wheat. Agriculture 2020, 10, 46. [Google Scholar] [CrossRef]
- Takač, V.; Tóth, V.; Rakszegi, M.; Mikó, P.; Mikić, S.; Mirosavljević, M. The influence of farming systems, genotype and their interaction on bioactive compound, protein and starch content of bread and spelt wheat. Foods 2022, 11, 4028. [Google Scholar] [CrossRef] [PubMed]
- EPPO Standards. Guidelines for the Efficacy Evaluation of Plant Protection Products: PP 1/26, PP 1/28; EPPO: Paris, France, 1999. [Google Scholar]
- Kwaśna, H.; Chełkowski, J.; Zajkowski, P. Fungi, XII; Polish Academy of Sciences: Warsaw, Poland, 1991; p. 136. [Google Scholar]
- Czaban, J.; Sułek, A.; Pecio, Ł.; Żuchowski, J.; Podolska, G. Effect of genotype and crop management systems on phenolic acid content in winter wheat grain. J. Food Agric. Environ. 2013, 11, 1201–1206. [Google Scholar]







| PHENOLIC ACID | Production System (A) | Year (B) | Cultivar (C) | LSD50 | ||||||
|---|---|---|---|---|---|---|---|---|---|---|
| 2017 | 2018 | Harenda | Kandela | Mandaryna | Serenada | (A) | (B) | (C) | ||
| Protocatechuic acid | ORG | 1.58 b | 1.74 a | 1.75 a | 1.75 a | 1.46 c–f | 1.68 ab | 0.2 | 0.2 | 0.2 |
| INT | 1.22 c | 1.75 a | 1.63 a–c | 1.60 a–d | 1.27 f | 1.45 c–f | ||||
| CONV | 1.27 c | 1.63 ab | 1.39 d–f | 1.52 b–e | 1.55 a–e | 1.35 ef | ||||
| p-OH-Benzoic acid | ORG | 4.42 b | 7.21 a | 6.14 b | 4.48 d | 5.53 bc | 6.99 a | 0.7 | 0.5 | 0.7 |
| INT | 3.90 c | 7.10 a | 5.81 bc | 4.52 d | 4.75 d | 6.94 a | ||||
| CONV | 3.93 c | 6.90 a | 5.16 cd | 4.52 d | 5.15 cd | 6.83 a | ||||
| Vanillic acid | ORG | 7.92 cd | 9.48 b | 8.22 b–d | 9.10 bc | 9.31 ab | 8.18 b–d | 1.3 | 1.1 | 1.5 |
| INT | 7.20 d | 9.15 b | 7.92 cd | 8.29 bcd | 8.96 bc | 7.53 d | ||||
| CONV | 8.08 c | 10.77 a | 8.77 b–d | 9.45 ab | 10.58 a | 8.91 bc | ||||
| Caffeic acid | ORG | 16.96 a | 17.11 a | 19.08 a | 15.06 cd | 18.15 ab | 15.85 bc | 2.3 | 1.9 | 2.5 |
| INT | 12.14 c | 12.17 c | 13.00 d–f | 10.21 g | 12.00 fg | 13.40 d–f | ||||
| CONV | 13.15 bc | 14.16 b | 14.44 c–e | 13.30 d–f | 12.58 ef | 14.31 c–e | ||||
| Syringic acid | ORG | 8.04 e | 10.03 c | 7.80 h | 8.37 gh | 9.97 cde | 10.00 c–e | 1.1 | 0.9 | 1.2 |
| INT | 8.66 de | 11.24 b | 9.63 d–f | 8.74 f–h | 10.99 a–c | 10.45 b–d | ||||
| CONV | 8.97 d | 12.43 a | 9.27 e–g | 10.32 b–e | 11.41 ab | 11.80 a | ||||
| p-Coumaric acid | ORG | 13.04 c | 26.72 b | 19.83 abc | 19.44 abc | 20.52 ab | 19.73 a–c | 6.3 | 5.2 | 6.9 |
| INT | 10.07 c | 31.00 a | 25.20 a | 17.74 bc | 13.89 c | 25.32 a | ||||
| CONV | 10.41 c | 34.67 a | 22.84 ab | 22.15 ab | 24.80 a | 20.37 ab | ||||
| Ferulic acid | ORG | 649.18 c | 837.05 a | 854.67 a | 715.06 b–d | 765.65 ab | 637.07 c–e | 117.6 | 97.7 | 129.6 |
| INT | 525.43 d | 700.24 bc | 689.66 b–d | 544.76 e | 603.19 de | 613.74 de | ||||
| CONV | 568.80 d | 721.84 b | 732.85 bc | 636.00 c–e | 553.09 e | 659.33 b–e | ||||
| Sinapic acid | ORG | 48.91 bc | 58.98 a | 67.06 a | 40.28 ef | 70.31 a | 38.12 fg | 8.4 | 7.0 | 9.3 |
| INT | 46.63 c | 46.8 c | 54.46 b | 31.57 g | 56.88 bc | 40.96 d–f | ||||
| CONV | 52.50 b | 47.96 bc | 65.28 ab | 38.70 fg | 48.03 de | 48.92 cd | ||||
| Total | ORG | 750.05 c | 968.32 a | 984.55 a | 813.65 b–d | 900.92 ab | 737.62 c–f | 130.1 | 108.1 | 143.4 |
| INT | 615.25 d | 819.46 bc | 810.30 b–d | 627.42 f | 711.91 d–f | 719.79 d–f | ||||
| CONV | 667.11 d | 850.37 b | 859.99 a–c | 735.95 c–f | 667.20 ef | 771.82 b–e | ||||
| Antiradical activity | ORG | 0.198 b | 0.214 a | 0.233 a | 0.186 bc | 0.221 ab | 0.186 c | 0.1 | 0.1 | 0.1 |
| INT | 0.131 d | 0.190 bc | 0.179 c | 0.146 e | 0.159 d | 0.158 d | ||||
| CONV | 0.141 d | 0.195 b | 0.198 b | 0.154 d | 0.157 d | 0.165 cd | ||||
| Alkylresorcinol | Production System (A) | Year (B) | Cultivar (C) | LSD50 | ||||||
|---|---|---|---|---|---|---|---|---|---|---|
| 2017 | 2018 | Harenda | Kandela | Mandaryna | Serenada | (A) | (B) | (C) | ||
| C17:0 + 19:1 | ORG | 66.66 c | 80.13 a | 84.01 a | 70.46 c | 72.97 c | 66.12 d | 1.4 | 1.0 | 1.8 |
| INT | 65.87 c | 74.63 b | 73.31 c | 71.16 c | 77.69 b | 58.86 e | ||||
| CONV | 64.73 c | 80.17 a | 80.67 ab | 65.01 d | 78.63 b | 65.49 d | ||||
| C19:0 | ORG | 205.35 d | 282.18 a | 271.02 a | 247.38 c | 249.97 c | 206.68 f | 4.2 | 2.8 | 5.3 |
| INT | 198.25 de | 262.15 c | 249.92 c | 235.27 d | 251.11 bc | 184.49 g | ||||
| CONV | 194.20 e | 272.64 b | 263.38 a | 219.69 e | 262.39 ab | 188.22 g | ||||
| C21:0 | ORG | 260.57 c | 374.17 a | 326.66 b | 297.91 c | 318.40 b | 326.50 b | 5.7 | 3.8 | 7.2 |
| INT | 253.67 c | 329.21 b | 343.14 a | 261.02 ef | 284.75 cd | 276.84 de | ||||
| CONV | 254.28 c | 337.09 b | 352.03 a | 247.13 f | 299.60 c | 283.99 cd | ||||
| C23:0 | ORG | 37.67 d | 71.68 a | 59.91 a | 45.35 c | 55.52 a | 57.93 a | 2.7 | 1.8 | 3.4 |
| INT | 36.92 d | 60.25 c | 61.39 a | 45.26 c | 42.72 c | 44.98 c | ||||
| CONV | 37.81 d | 65.26 b | 60.96 a | 43.00 c | 47.61 bc | 54.58 ab | ||||
| C25:0 | ORG | 11.42 c | 25.29 a | 20.80 b–d | 21.77 a-c | 18.06 cd | 12.78 ef | 1.7 | 1.1 | 2.1 |
| INT | 12.97 c | 19.54 b | 21.36 a–d | 16.57 de | 16.82 de | 10.28 f | ||||
| CONV | 12.81 c | 26.04 a | 17.00 c–e | 23.24 ab | 25.77 a | 11.69 f | ||||
| Total | ORG | 581.66 d | 833.44 a | 762.41 a | 682.87 bc | 714.92 b | 670.01 c | 11.5 | 7.7 | 14.6 |
| INT | 567.69 d | 745.78 c | 749.13 a | 629.27 d | 673.10 c | 575.45 e | ||||
| CONV | 563.84 d | 781.20 b | 774.03 a | 598.07 de | 713.99 b | 603.98 de | ||||
| Antiradical activity | ORG | 0.129 d | 0.167 a | 0.170 a | 0.132 c | 0.156 b | 0.134 bc | 0.1 | 0.2 | 0.1 |
| INT | 0.127 d | 0.146 c | 0.159 ab | 0.127 d | 0.134 bc | 0.126 d | ||||
| CONV | 0.129 d | 0.154 b | 0.152 b | 0.125 d | 0.157 b | 0.133 c | ||||
Disclaimer/Publisher’s Note: The statements, opinions and data contained in all publications are solely those of the individual author(s) and contributor(s) and not of MDPI and/or the editor(s). MDPI and/or the editor(s) disclaim responsibility for any injury to people or property resulting from any ideas, methods, instructions or products referred to in the content. |
© 2024 by the authors. Licensee MDPI, Basel, Switzerland. This article is an open access article distributed under the terms and conditions of the Creative Commons Attribution (CC BY) license (https://creativecommons.org/licenses/by/4.0/).
Share and Cite
Kowalska, I.; Pawelec, S.; Pecio, Ł.; Feledyn-Szewczyk, B. The Effects of a Cultivar and Production System on the Qualitative and Quantitative Composition of Bioactive Compounds in Spring Wheat (Triticum sp.). Molecules 2024, 29, 4106. https://doi.org/10.3390/molecules29174106
Kowalska I, Pawelec S, Pecio Ł, Feledyn-Szewczyk B. The Effects of a Cultivar and Production System on the Qualitative and Quantitative Composition of Bioactive Compounds in Spring Wheat (Triticum sp.). Molecules. 2024; 29(17):4106. https://doi.org/10.3390/molecules29174106
Chicago/Turabian StyleKowalska, Iwona, Sylwia Pawelec, Łukasz Pecio, and Beata Feledyn-Szewczyk. 2024. "The Effects of a Cultivar and Production System on the Qualitative and Quantitative Composition of Bioactive Compounds in Spring Wheat (Triticum sp.)" Molecules 29, no. 17: 4106. https://doi.org/10.3390/molecules29174106
APA StyleKowalska, I., Pawelec, S., Pecio, Ł., & Feledyn-Szewczyk, B. (2024). The Effects of a Cultivar and Production System on the Qualitative and Quantitative Composition of Bioactive Compounds in Spring Wheat (Triticum sp.). Molecules, 29(17), 4106. https://doi.org/10.3390/molecules29174106

