Synthesis, Docking, and Machine Learning Studies of Some Novel Quinolinesulfonamides–Triazole Hybrids with Anticancer Activity
Abstract
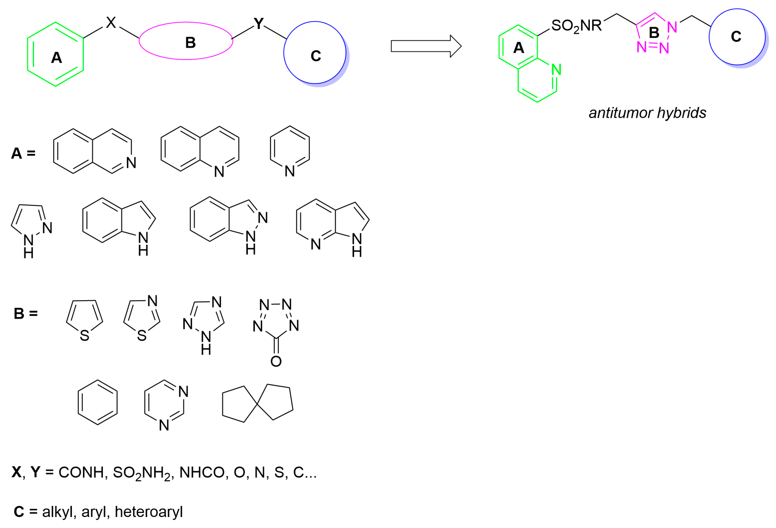
1. Introduction
2. Results and Discussion
2.1. Design and In Silico Prediction of ROCK1 Inhibitors
2.1.1. Machine Learning
2.1.2. Molecular Docking
2.1.3. Molecular Dynamics Calculations
2.1.4. Prediction of Drug-likeness and ADMET Profile of Designed Compounds
2.2. Chemistry
- (i)
- 8-quinolinesulfochloride 1 (1 eq), conc. NH4OH, 45 °C, 0.5 h;
- (ii)
- 8-quinolinesulfonamide 2 (1 eq), KOH (1.5 eq), propargyl alcohol, b.p, 6 h;
- (iii)
- 8-(N-propargyl)quinolinesulfonamide 3a (1 eq), CH3I (1.1 eq), 5% NaOH, r.t., over night;
- (iv)
- Procedure A: 8-quinolinesulfonamide 3a or 3b (1 eq), organic azide (1.1. eq), CuSO4 × 5 H2O, sodium acorbate, DMF/H2O, ambient terperatur, over night; Procedure B: organic bromide (1 eq), NaN3 (1.2 eq), DMF, ambient terperatur, over night and then 8-quinolinesulfonamide (1 eq), CuSO4 × 5 H2O, sodium acorbate, DMF/H2O, ambient terperatur, over night.
2.3. In Vitro Studies
3. Materials and Methods
3.1. In Silico
3.2. Chemistry
3.2.1. General Chemistry Methods
3.2.2. Synthesis of Quinolinesulfonamide 2
3.2.3. Synthesis of Quinolinesulfonamide 3a
3.2.4. Synthesis of Quinolinesulfonamide 3b
3.2.5. Synthesis of Triazoles 4–14
3.3. In Vitro Studies
4. Conclusions
Supplementary Materials
Author Contributions
Funding
Institutional Review Board Statement
Informed Consent Statement
Data Availability Statement
Conflicts of Interest
References
- Al-Busafi, S.N.; Suliman, F.E.O.; Al-Alawi, Z.R. 8-Hydroxyquinoline and Its Derivatives: Synthesis and Applications. Res. Rev. J. Chem. 2014, 3, 1–10. [Google Scholar]
- Gerrits, C.J.H.; Burris, H.; Schellens, J.H.M.; Planting, A.S.T.; van den Burg, M.E.L.; Rodriguez, G.I.; van Beurden, V.; Loos, W.J.; Hudson, I.; Fields, S.; et al. Five Days of Oral Topotecan (Hycamtin®), a Phase I and Pharmacological Study in Adult Patients with Solid Tumours. Eur. J. Cancer 1998, 34, 1030–1035. [Google Scholar] [CrossRef] [PubMed]
- O’Reilly, S.; Rowinsky, E.K. The Clinical Status of Irinotecan (CPT-11), a Novel Water Soluble Camptothecin Analogue: 1996. Crit. Rev. Oncol. Hematol. 1996, 24, 47–70. [Google Scholar] [CrossRef] [PubMed]
- Vultur, A.; Buettner, R.; Kowolik, C.; Liang, W.; Smith, D.; Boschelli, F.; Jove, R. SKI-606 (Bosutinib), a Novel Src Kinase Inhibitor, Suppresses Migration and Invasion of Human Breast Cancer Cells. Mol. Cancer Ther. 2008, 7, 1185–1194. [Google Scholar] [CrossRef] [PubMed]
- Matsui, J.; Funahashi, Y.; Uenaka, T.; Watanabe, T.; Tsuruoka, A.; Asada, M. Multi-Kinase Inhibitor E7080 Suppresses Lymph Node and Lung Metastases of Human Mammary Breast Tumor MDA-MB-231 via Inhibition of Vascular Endothelial Growth Factor-Receptor (VEGF-R) 2 and VEGF-R3 Kinase. Clin. Cancer Res. 2008, 14, 5459–5465. [Google Scholar] [CrossRef] [PubMed]
- You, W.-K.; Sennino, B.; Williamson, C.W.; Falcón, B.; Hashizume, H.; Yao, L.-C.; Aftab, D.T.; McDonald, D.M. VEGF and C-Met Blockade Amplify Angiogenesis Inhibition in Pancreatic Islet Cancer. Cancer Res. 2011, 71, 4758–4768. [Google Scholar] [CrossRef] [PubMed]
- Sparano, J.A.; Moulder, S.; Kazi, A.; Coppola, D.; Negassa, A.; Vahdat, L.; Li, T.; Pellegrino, C.; Fineberg, S.; Munster, P.; et al. Phase II Trial of the Farnesyl Transferase Inhibitor Tipifarnib plus Neoadjuvant Doxorubicin-Cyclophosphamide in Patients with Clinical Stage IIB-IIIC Breast Cancer. Clin. Cancer Res. 2009, 15, 2942–2948. [Google Scholar] [CrossRef] [PubMed]
- Afzal, O.; Kumar, S.; Haider, M.R.; Ali, M.R.; Kumar, R.; Jaggi, M.; Bawa, S. A Review on Anticancer Potential of Bioactive Heterocycle Quinoline. Eur. J. Med. Chem. 2015, 97, 871–910. [Google Scholar] [CrossRef] [PubMed]
- Heiniger, B.; Gakhar, G.; Prasain, K.; Hua, D.H.; Nguyen, T.A. Second-Generation Substituted Quinolines as Anticancer Drugs for Breast Cancer. Anticancer. Res. 2010, 30, 3927–3932. [Google Scholar] [PubMed]
- Bassissi, F.; Beret, A.; Brun, S.; Courcambeck, J.; Dubray, C.; Nicolas, G.; Halfon, P. Substituted 2,4 Diamino-Quinoline as New Anticancer Agents. EP3212629B1, 24 October 2018. [Google Scholar]
- Bassyouni, F.A.; Abu-Baker, S.M.; Mahmoud, K.; Moharam, M.; El-Nakkady, S.S.; Rehim, M.A. Synthesis and Biological Evaluation of Some New Triazolo[1,5-a]Quinoline Derivatives as Anticancer and Antimicrobial Agents. RSC Adv. 2014, 4, 24131–24141. [Google Scholar] [CrossRef]
- Yurttaş, L.; Çiftçi, G.A. New Quinoline Based Sulfonamide Derivatives: Cytotoxic and Apoptotic Activity Evaluation Against Pancreatic Cancer Cells. Anticancer. Agents Med. Chem. 2018, 18, 1122–1130. [Google Scholar] [CrossRef] [PubMed]
- Özdemir, A.; Şimay, Y.D.; İbişoğlu, B.; Yaren, B.; Bülbül, D.; Ark, M. Cardiac Glycoside-Induced Cell Death and Rho/Rho Kinase Pathway: Implication of Different Regulation in Cancer Cell Lines. Steroids 2016, 109, 29–43. [Google Scholar] [CrossRef] [PubMed]
- Shaldam, M.; Nocentini, A.; Elsayed, Z.M.; Ibrahim, T.M.; Salem, R.; El-Domany, R.A.; Capasso, C.; Supuran, C.T.; Eldehna, W.M. Development of Novel Quinoline-Based Sulfonamides as Selective Cancer-Associated Carbonic Anhydrase Isoform IX Inhibitors. Int. J. Mol. Sci. 2021, 22, 11119. [Google Scholar] [CrossRef] [PubMed]
- Szafrański, K.; Sławiński, J.; Kawiak, A. Anticancer Evaluation of 4-Substituted-N-(Quinolin-8-Yl)Pyridine-3-Sulfonamides. Med. Sci. Forum 2022, 14, 51. [Google Scholar] [CrossRef]
- Jain, S.; Chandra, V.; Kumar Jain, P.; Pathak, K.; Pathak, D.; Vaidya, A. Comprehensive Review on Current Developments of Quinoline-Based Anticancer Agents. Arab. J. Chem. 2019, 12, 4920–4946. [Google Scholar] [CrossRef]
- Edukondalu, P.; Sireesha, R.; Kavuluri, P.; Suresh, P.; Rao, G.P.C.; Chandrasekhar, C.; Raju, R.R. Design, Synthesis and Biological Evaluation of Sulfonamide Derivatives of Benzothiazol-Quinoline-Pyrazoles as Anticancer Agents. Chem. Data Collect. 2024, 51, 101136. [Google Scholar] [CrossRef]
- Billiard, J.; Dennison, J.B.; Briand, J.; Annan, R.S.; Chai, D.; Colón, M.; Dodson, C.S.; Gilbert, S.A.; Greshock, J.; Jing, J.; et al. Quinoline 3-Sulfonamides Inhibit Lactate Dehydrogenase A and Reverse Aerobic Glycolysis in Cancer Cells. Cancer Metab. 2013, 1, 19. [Google Scholar] [CrossRef] [PubMed]
- Granchi, C.; Fancelli, D.; Minutolo, F. An Update on Therapeutic Opportunities Offered by Cancer Glycolytic Metabolism. Bioorganic Med. Chem. Lett. 2014, 24, 4915–4925. [Google Scholar] [CrossRef] [PubMed]
- Marciniec, K.; Rzepka, Z.; Chrobak, E.; Boryczka, S.; Latocha, M.; Wrześniok, D.; Beberok, A. Design, Synthesis and Biological Evaluation of Quinoline-8-Sulfonamides as Inhibitors of the Tumor Cell-Specific M2 Isoform of Pyruvate Kinase: Preliminary Study. Molecules 2023, 28, 2509. [Google Scholar] [CrossRef]
- Canale, V.; Kotańska, M.; Dziubina, A.; Stefaniak, M.; Siwek, A.; Starowicz, G.; Marciniec, K.; Kasza, P.; Satała, G.; Duszyńska, B.; et al. Design, Sustainable Synthesis and Biological Evaluation of a Novel Dual α2A/5-HT7 Receptor Antagonist with Antidepressant-Like Properties. Molecules 2021, 26, 3828. [Google Scholar] [CrossRef] [PubMed]
- Marciniec, K.; Pawełczak, B.; Latocha, M.; Skrzypek, L.; Maciążek-Jurczyk, M.; Boryczka, S. Synthesis, Anti-Breast Cancer Activity, and Molecular Docking Study of a New Group of Acetylenic Quinolinesulfonamide Derivatives. Molecules 2017, 22, 300. [Google Scholar] [CrossRef] [PubMed]
- Ghorab, M.M.; Ragab, F.A.; Hamed, M.M. Synthesis and Docking Studies of Some Novel Quinoline Derivatives Bearing a Sulfonamide Moiety as Possible Anticancer Agents. Arzneimittelforschung 2010, 60, 141–148. [Google Scholar] [CrossRef] [PubMed]
- Zhao, Y.; Zhang, Y.; Vazirinejad Mehdiabad, M.; Zhou, K.; Chen, Y.; Li, L.; Guo, J.; Xu, C. Enhanced Anti-Tumor Effect of Liposomal Fasudil on Hepatocellular Carcinoma in Vitro and in Vivo. PLoS ONE 2019, 14, e0223232. [Google Scholar] [CrossRef] [PubMed]
- Hsu, T.-S.; Chen, C.; Lee, P.-T.; Chiu, S.-J.; Liu, H.-F.; Tsai, C.-C.; Chao, J.-I. 7-Chloro-6-Piperidin-1-Yl-Quinoline-5,8-Dione (PT-262), a Novel Synthetic Compound Induces Lung Carcinoma Cell Death Associated with Inhibiting ERK and CDC2 Phosphorylation via a P53-Independent Pathway. Cancer Chemother. Pharmacol. 2008, 62, 799–808. [Google Scholar] [CrossRef] [PubMed]
- Liu, J.; Liu, C.; Zhang, X.; Yu, L.; Gong, X.; Wang, P. Anticancer Sulfonamide Hybrids That Inhibit Bladder Cancer Cells Growth and Migration as Tubulin Polymerisation Inhibitors. J. Enzym. Inhib. Med. Chem. 2019, 34, 1380–1387. [Google Scholar] [CrossRef] [PubMed]
- Nakagawa, O.; Fujisawa, K.; Ishizaki, T.; Saito, Y.; Nakao, K.; Narumiya, S. ROCK-I and ROCK-II, Two Isoforms of Rho-Associated Coiled-Coil Forming Protein Serine/Threonine Kinase in Mice. FEBS Lett. 1996, 392, 189–193. [Google Scholar] [CrossRef]
- Wirth, A. Rho Kinase and Hypertension. Biochim. Et Biophys. Acta (BBA) Mol. Basis Dis. 2010, 1802, 1276–1284. [Google Scholar] [CrossRef] [PubMed]
- Naraoka, M.; Munakata, A.; Matsuda, N.; Shimamura, N.; Ohkuma, H. Suppression of the Rho/Rho-Kinase Pathway and Prevention of Cerebral Vasospasm by Combination Treatment with Statin and Fasudil After Subarachnoid Hemorrhage in Rabbit. Transl. Stroke Res. 2013, 4, 368–374. [Google Scholar] [CrossRef] [PubMed]
- Matoba, K.; Kawanami, D.; Nagai, Y.; Takeda, Y.; Akamine, T.; Ishizawa, S.; Kanazawa, Y.; Yokota, T.; Utsunomiya, K. Rho-Kinase Blockade Attenuates Podocyte Apoptosis by Inhibiting the Notch Signaling Pathway in Diabetic Nephropathy. Int. J. Mol. Sci. 2017, 18, 1795. [Google Scholar] [CrossRef]
- Nourinia, R.; Nakao, S.; Zandi, S.; Safi, S.; Hafezi-Moghadam, A.; Ahmadieh, H. ROCK Inhibitors for the Treatment of Ocular Diseases. Br. J. Ophthalmol. 2018, 102, 1–5. [Google Scholar] [CrossRef] [PubMed]
- Rikitake, Y.; Kim, H.-H.; Huang, Z.; Seto, M.; Yano, K.; Asano, T.; Moskowitz, M.A.; Liao, J.K. Inhibition of Rho Kinase (ROCK) Leads to Increased Cerebral Blood Flow and Stroke Protection. Stroke 2005, 36, 2251–2257. [Google Scholar] [CrossRef]
- Uehata, M.; Ishizaki, T.; Satoh, H.; Ono, T.; Kawahara, T.; Morishita, T.; Tamakawa, H.; Yamagami, K.; Inui, J.; Maekawa, M.; et al. Calcium Sensitization of Smooth Muscle Mediated by a Rho-Associated Protein Kinase in Hypertension. Nature 1997, 389, 990–994. [Google Scholar] [CrossRef] [PubMed]
- Jiang, L.; Wen, J.; Luo, W. Rho-associated Kinase Inhibitor, Y-27632, Inhibits the Invasion and Proliferation of T24 and 5367 Bladder Cancer Cells. Mol. Med. Rep. 2015, 12, 7526–7530. [Google Scholar] [CrossRef] [PubMed]
- Vennin, C.; Rath, N.; Pajic, M.; Olson, M.F.; Timpson, P. Targeting ROCK Activity to Disrupt and Prime Pancreatic Cancer for Chemotherapy. Small GTPases 2020, 11, 45–52. [Google Scholar] [CrossRef]
- Vennin, C.; Chin, V.T.; Warren, S.C.; Lucas, M.C.; Herrmann, D.; Magenau, A.; Melenec, P.; Walters, S.N.; del Monte-Nieto, G.; Conway, J.R.W.; et al. Transient Tissue Priming via ROCK Inhibition Uncouples Pancreatic Cancer Progression, Sensitivity to Chemotherapy, and Metastasis. Sci. Transl. Med. 2017, 9, eaai8504. [Google Scholar] [CrossRef]
- Tilson, S.G.; Haley, E.M.; Triantafillu, U.L.; Dozier, D.A.; Langford, C.P.; Gillespie, G.Y.; Kim, Y. ROCK Inhibition Facilitates In Vitro Expansion of Glioblastoma Stem-Like Cells. PLoS ONE 2015, 10, e0132823. [Google Scholar] [CrossRef] [PubMed]
- Ma, W.; Sze, K.M.-F.; Chan, L.K.; Lee, J.M.-F.; Wei, L.L.; Wong, C.-M.; Lee, T.K.-W.; Wong, C.C.-L.; Ng, I.O.-L. RhoE/ROCK2 Regulates Chemoresistance through NF-κB/IL-6/ STAT3 Signaling in Hepatocellular Carcinoma. Oncotarget 2016, 7, 41445–41459. [Google Scholar] [CrossRef] [PubMed]
- Matsubara, M.; Bissell, M.J. Inhibitors of Rho Kinase (ROCK) Signaling Revert the Malignant Phenotype of Breast Cancer Cells in 3D Context. Oncotarget 2016, 7, 31602–31622. [Google Scholar] [CrossRef] [PubMed]
- Xia, Y.; Cai, X.; Fan, J.; Zhang, L.; Li, Z.; Ren, J.; Wu, G.; Zhu, F. RhoA/ROCK Pathway Inhibition by Fasudil Suppresses the Vasculogenic Mimicry of U2OS Osteosarcoma Cells In Vitro. Anti Cancer Drugs 2017, 28, 514. [Google Scholar] [CrossRef] [PubMed]
- Xu, X.; Yao, L. Recent Advances in the Development of Rho Kinase Inhibitors (2015–2021). Med. Res. Rev. 2023, 44, 406–421. [Google Scholar] [CrossRef]
- Amen, Y.; Zhu, Q.; Tran, H.-B.; Afifi, M.S.; Halim, A.F.; Ashour, A.; Shimizu, K. Partial Contribution of Rho-Kinase Inhibition to the Bioactivity of Ganoderma Lingzhi and Its Isolated Compounds: Insights on Discovery of Natural Rho-Kinase Inhibitors. J. Nat. Med. 2017, 71, 380–388. [Google Scholar] [CrossRef] [PubMed]
- Yu, N.; Huang, Y.; Jiang, Y.; Zou, L.; Liu, X.; Liu, S.; Chen, F.; Luo, J.; Zhu, Y. Ganoderma Lucidum Triterpenoids (GLTs) Reduce Neuronal Apoptosis via Inhibition of ROCK Signal Pathway in APP/PS1 Transgenic Alzheimer’s Disease Mice. Oxidative Med. Cell. Longev. 2020, 2020, e9894037. [Google Scholar] [CrossRef]
- ColabFold: Making Protein Folding Accessible to All|Nature Methods. Available online: https://www.nature.com/articles/s41592-022-01488-1 (accessed on 27 September 2023).
- Highly Accurate Protein Structure Prediction with AlphaFold|Nature. Available online: https://www.nature.com/articles/s41586-021-03819-2 (accessed on 27 September 2023).
- Baek, M.; DiMaio, F.; Anishchenko, I.; Dauparas, J.; Ovchinnikov, S.; Lee, G.R.; Wang, J.; Cong, Q.; Kinch, L.N.; Schaeffer, R.D.; et al. Accurate Prediction of Protein Structures and Interactions Using a Three-Track Neural Network. Science 2021, 373, 871–876. [Google Scholar] [CrossRef] [PubMed]
- Rognan, D. The Impact of in Silico Screening in the Discovery of Novel and Safer Drug Candidates. Pharmacol. Ther. 2017, 175, 47–66. [Google Scholar] [CrossRef] [PubMed]
- Slater, O.; Kontoyianni, M. The Compromise of Virtual Screening and Its Impact on Drug Discovery. Expert Opin. Drug Discov. 2019, 14, 619–637. [Google Scholar] [CrossRef] [PubMed]
- Gimeno, A.; Ojeda-Montes, M.J.; Tomás-Hernández, S.; Cereto-Massagué, A.; Beltrán-Debón, R.; Mulero, M.; Pujadas, G.; Garcia-Vallvé, S. The Light and Dark Sides of Virtual Screening: What Is There to Know? Int. J. Mol. Sci. 2019, 20, 1375. [Google Scholar] [CrossRef] [PubMed]
- Can Machine Learning Consistently Improve the Scoring Power of Classical Scoring Functions? Insights into the Role of Machine Learning in Scoring Functions|Briefings in Bioinformatics|Oxford. Academic. Available online: https://academic.oup.com/bib/article/22/1/497/5715927 (accessed on 27 September 2023).
- Nogueira, M.S.; Koch, O. The Development of Target-Specific Machine Learning Models as Scoring Functions for Docking-Based Target Prediction. J. Chem. Inf. Model. 2019, 59, 1238–1252. [Google Scholar] [CrossRef] [PubMed]
- Singh, N.; Villoutreix, B.O. A Hybrid Docking and Machine Learning Approach to Enhance the Performance of Virtual Screening Carried out on Protein–Protein Interfaces. Int. J. Mol. Sci. 2022, 23, 14364. [Google Scholar] [CrossRef] [PubMed]
- Chandak, T.; Wong, C.F. EDock-ML: A Web Server for Using Ensemble Docking with Machine Learning to Aid Drug Discovery. Protein Sci. 2021, 30, 1087–1097. [Google Scholar] [CrossRef]
- Chandak, T.; Mayginnes, J.P.; Mayes, H.; Wong, C.F. Using Machine Learning to Improve Ensemble Docking for Drug Discovery. Proteins 2020, 88, 1263–1270. [Google Scholar] [CrossRef] [PubMed]
- Alam, M.M. 1,2,3-Triazole Hybrids as Anticancer Agents: A Review. Arch. Pharm. 2022, 355, e2100158. [Google Scholar] [CrossRef]
- Belay, Y.; Muller, A.; Mokoena, F.S.; Adeyinka, A.S.; Motadi, L.R.; Oyebamiji, A.K. 1,2,3-Triazole and Chiral Schiff Base Hybrids as Potential Anticancer Agents: DFT, Molecular Docking and ADME Studies. Sci. Rep. 2024, 14, 6951. [Google Scholar] [CrossRef] [PubMed]
- Siddappa, T.P.; Bhol, C.S.; Ravish, A.; Xi, Z.; Narasimhachar, B.C.; Kumar, A.M.; Basappa, S.; Chinnathambi, A.; Govindasamy, C.; Gaonkar, S.L.; et al. Synthesis of Novel Triazoles as Anticancer Agents Targeting pJNK in Human Breast Cancer Cells. New J. Chem. 2024, 48, 11662–11673. [Google Scholar] [CrossRef]
- SwissADME. Available online: http://www.swissadme.ch/ (accessed on 28 May 2024).
- pkCSM. Available online: https://biosig.lab.uq.edu.au/pkcsm/prediction (accessed on 28 May 2024).
- Pires, D.E.V.; Blundell, T.L.; Ascher, D.B. pkCSM: Predicting Small-Molecule Pharmacokinetic and Toxicity Properties Using Graph-Based Signatures. J. Med. Chem. 2015, 58, 4066–4072. [Google Scholar] [CrossRef] [PubMed]
- Delaney, J.S. ESOL: Estimating Aqueous Solubility Directly from Molecular Structure. J. Chem. Inf. Comput. Sci. 2004, 44, 1000–1005. [Google Scholar] [CrossRef] [PubMed]
- Karthika, C.; Sureshkumar, R.; Zehravi, M.; Akter, R.; Ali, F.; Ramproshad, S.; Mondal, B.; Tagde, P.; Ahmed, Z.; Khan, F.S.; et al. Multidrug Resistance of Cancer Cells and the Vital Role of P-Glycoprotein. Life 2022, 12, 897. [Google Scholar] [CrossRef]
- Krüger, A.; Gonçalves Maltarollo, V.; Wrenger, C.; Kronenberger, T. ADME Profiling in Drug Discovery and a New Path Paved on Silica. In Drug Discovery and Development-New Advances; IntechOpen: London, UK, 2020. [Google Scholar] [CrossRef]
- Stéen, E.J.L.; Vugts, D.J.; Windhorst, A.D. The Application of in Silico Methods for Prediction of Blood-Brain Barrier Permeability of Small Molecule PET Tracers. Front. Nucl. Med. 2022, 2, 853475. [Google Scholar] [CrossRef]
- Daina, A.; Michielin, O.; Zoete, V. SwissADME: A Free Web Tool to Evaluate Pharmacokinetics, Drug-Likeness and Medicinal Chemistry Friendliness of Small Molecules. Sci. Rep. 2017, 7, 42717. [Google Scholar] [CrossRef]
- Tran, T.T.V.; Surya Wibowo, A.; Tayara, H.; Chong, K.T. Artificial Intelligence in Drug Toxicity Prediction: Recent Advances, Challenges, and Future Perspectives. J. Chem. Inf. Model. 2023, 63, 2628–2643. [Google Scholar] [CrossRef]
- Feeney, S.V.; Lui, R.; Guan, D.; Matthews, S. Multiple Instance Learning Improves Ames Mutagenicity Prediction for Problematic Molecular Species. Chem. Res. Toxicol. 2023, 36, 1227–1237. [Google Scholar] [CrossRef]
- Eberhardt, J.; Santos-Martins, D.; Tillack, A.F.; Forli, S. AutoDock Vina 1.2.0: New Docking Methods, Expanded Force Field, and Python Bindings. J. Chem. Inf. Model. 2021, 61, 3891–3898. [Google Scholar] [CrossRef] [PubMed]
- Dallakyan, S.; Olson, A.J. Small-Molecule Library Screening by Docking with PyRx. Methods Mol. Biol. 2015, 1263, 243–250. [Google Scholar] [CrossRef] [PubMed]
- SYSTÈMES, BIOVIA Discovery Studio. Dassault Syst. Mes. BIOVIA, Discovery Studio Modeling Environment, Release 2017. 2016. Available online: https://www.3ds.com/products/biovia/discovery-studio (accessed on 27 September 2023).
- Phillips, J.C.; Hardy, D.J.; Maia, J.D.C.; Stone, J.E.; Ribeiro, J.V.; Bernardi, R.C.; Buch, R.; Fiorin, G.; Hénin, J.; Jiang, W.; et al. Scalable Molecular Dynamics on CPU and GPU Architectures with NAMD. J. Chem. Phys. 2020, 153, 044130. [Google Scholar] [CrossRef] [PubMed]
- Humphrey, W.; Dalke, A.; Schulten, K. VMD: Visual Molecular Dynamics. J. Mol. Graph. 1996, 14, 33–38. [Google Scholar] [CrossRef] [PubMed]
- Vanommeslaeghe, K.; Hatcher, E.; Acharya, C.; Kundu, S.; Zhong, S.; Shim, J.; Darian, E.; Guvench, O.; Lopes, P.; Vorobyov, I.; et al. CHARMM General Force Field: A Force Field for Drug-like Molecules Compatible with the CHARMM All-Atom Additive Biological Force Fields. J. Comput. Chem. 2010, 31, 671–690. [Google Scholar] [CrossRef] [PubMed]
- Ribeiro, J.V.; Bernardi, R.C.; Rudack, T.; Stone, J.E.; Phillips, J.C.; Freddolino, P.L.; Schulten, K. QwikMD—Integrative Molecular Dynamics Toolkit for Novices and Experts. Sci. Rep. 2016, 6, 26536. [Google Scholar] [CrossRef]









| Compound | Edock-ML | Vina ∆G [kcal/mol] | ||
|---|---|---|---|---|
| Sensitivity | Specificity | AUC Value | ||
| 4a | 0.9 | 0.77 | 0.82 | −9.2 |
| 4b | 0.9 | 0.71 | 0.82 | −9.3 |
| 5a | 0.9 | 0.9 | 0.82 | −9.7 |
| 5b | 0.9 | 0.64 | 0.82 | −9.4 |
| 6a | 0.9 | 0.71 | 0.82 | −9.5 |
| 6b | 0.9 | 0.64 | 0.82 | −9.6 |
| 7a | 0.9 | 0.56 | 0.82 | −9.4 |
| 7b | 0.9 | 0.56 | 0.82 | −9.2 |
| 8a | 0.9 | 0.9 | 0.82 | −9.1 |
| 8b | 0.9 | 0.64 | 0.82 | −9.1 |
| 9a | 0.9 | 0.9 | 0.82 | −9.7 |
| 9b | 0.9 | 0.9 | 0.82 | −10.4 |
| 10a | 0.9 | 0.71 | 0.82 | −10.3 |
| 10b | 0.9 | 0.77 | 0.82 | −10.0 |
| 11a | 0.9 | 0.9 | 0.82 | −9.9 |
| 11b | 0.9 | 0.56 | 0.82 | −9.7 |
| 12a | 0.9 | 0.71 | 0.82 | −7.9 |
| 12b | 0.9 | 0.56 | 0.82 | −8.2 |
| 13a | 0.9 | 0.64 | 0.82 | −8.1 |
| 13b | 0.9 | 0.64 | 0.82 | −8.2 |
| 14a | 0.9 | 0.64 | 0.82 | −9.7 |
| 14b | 0.9 | 0.9 | 0.82 | −9.7 |
| Fasudil | 0.9 | 0.71 | 0.82 | −7.9 |
| Protein | Ligand | Interaction | |||
|---|---|---|---|---|---|
| Name | Residue | Name | Residue | Type | Distance [Å] |
| ROCK1 | Asn203 Asp216 Arg84 Ile82 Lys105 Asp216 Asp216 Val90 Leu205 Phe120 Ala103 Val90 Met153 Ala103 Met153 Ala215 Val90 Val90 Leu205 | 9b | methylene group methylene group methyl group pyridine ring benzene ring triazole ring benzene ring benzene ring benzene ring pyridine ring chlorine atom chlorine atom chlorine atom benzene ring benzene ring benzene ring triazole ring pyridine ring pyridine ring | carbon–hydrogen bond carbon–hydrogen bond carbon–hydrogen bond carbon–hydrogen bond π–cation π–anion π–anion π–sigma π–sigma π–sigma π–π, T-shaped alkyl alkyl π–alkyl π–alkyl π–alkyl π–alkyl π–alkyl π–alkyl | 2.76 3.03 2.83 2.25 4.29 3.29 3.66 3.93 3.77 5.31 3.00 4.59 3.22 5.06 5.47 4.61 5.39 4.19 5.29 |
| Gly85 Ile82 Lys105 Asp216 Asp216 Asp216 Val90 Leu205 Met153 Phe120 Ala103 Ile82 Leu205 Tyr155 Phe368 Val90 Val90 Leu205 Ala103 Ala215 | 10a | sulfonamide group pyridine ring benzene ring benzene ring pyridine ring triazole ring benzene ring benzene ring benzene ring pyridine ring benzene ring bromine atom bromine atom bromine atom bromine atom pyridine ring triazole ring pyridine ring bromine atom benzene ring | carbon–hydrogen bond carbon–hydrogen bond π–cation π–anion π–anion π–anion π–sigma π–sigma π–sulphur π–π, T-shaped alkyl alkyl alkyl π–alkyl π–alkyl π–alkyl π–alkyl π–alkyl π–alkyl π–alkyl | 3.52 3.23 3.31 3.31 4.19 4.76 3.79 3.84 5.32 5.34 3.68 5.16 5.15 5.08 5.03 5.42 4.54 5.15 5.13 4.80 | |
| Asn203 Arg84 Ile82 Lys105 Asp216 Asp216 Val90 Leu205 Met153 Phe120 Ala103 Ile82 Leu205 Tyr155 Phe368 Val90 Leu205 Ala103 Ala215 | 10b | methylene group methyl group pyridine ring benzene ring benzene ring triazole ring benzene ring benzene ring benzene ring pyridine ring benzene ring bromine atom bromine atom bromine atom bromine atom benzene ring pyridine ring bromine atom benzene ring | carbon–hydrogen bond carbon–hydrogen bond carbon–hydrogen bond π–cation π–anion π–anion π–sigma π–sigma π–sulphur π–π, T-shaped alkyl alkyl alkyl π–alkyl π–alkyl π–alkyl π–alkyl π–alkyl π–alkyl | 3.60 3.61 3.23 4.38 3.32 3.81 3.85 3.81 5.34 5.15 3.62 5.14 5.20 5.09 5.07 4.58 5.12 5.19 4.75 | |
| Comp. | Physicochemical Properties | |||||||
|---|---|---|---|---|---|---|---|---|
| MW | nROT | nHBA | nHBD | MR | TPSA | MLOGP | WLOGP | |
| 4a | 379.44 | 6 | 6 | 1 | 101.45 | 98.15 | 1.52 | 3.28 |
| 4b | 393.46 | 6 | 6 | 0 | 106.36 | 89.36 | 1.75 | 3.62 |
| 5a | 404.45 | 6 | 7 | 1 | 106.17 | 121.94 | 0.89 | 3.15 |
| 5b | 418.47 | 6 | 7 | 0 | 111.07 | 113.15 | 1.11 | 3.50 |
| 6a | 397.43 | 6 | 7 | 1 | 101.41 | 98.15 | 1.90 | 3.84 |
| 6b | 411.45 | 6 | 7 | 0 | 106.31 | 89.36 | 2.13 | 4.18 |
| 7a | 424.43 | 7 | 8 | 1 | 110.28 | 143.97 | 0.67 | 3.19 |
| 7b | 438.46 | 7 | 8 | 0 | 115.18 | 135.18 | 0.89 | 3.53 |
| 8a | 411.50 | 7 | 6 | 1 | 108.21 | 123.45 | 1.79 | 3.83 |
| 8b | 425.53 | 7 | 6 | 0 | 113.11 | 114.66 | 2.01 | 4.17 |
| 9a | 450.90 | 5 | 7 | 1 | 117.35 | 111.04 | 2.03 | 4.42 |
| 9b | 464.93 | 5 | 7 | 0 | 122.25 | 102.25 | 2.25 | 4.77 |
| 10a | 495.35 | 5 | 7 | 1 | 120.04 | 111.04 | 2.14 | 4.53 |
| 10b | 509.38 | 5 | 7 | 0 | 124.94 | 102.25 | 2.35 | 4.88 |
| 11a | 513.53 | 7 | 10 | 3 | 126.96 | 182.47 | −0.93 | 0.59 |
| 11b | 527.55 | 7 | 10 | 2 | 131.86 | 173.68 | −0.71 | 0.93 |
| 12a | 345.42 | 7 | 6 | 1 | 91.39 | 98.15 | 1.02 | 3.03 |
| 12b | 395.45 | 7 | 6 | 0 | 96.29 | 89.36 | 1.26 | 3.38 |
| 13a | 389.43 | 9 | 8 | 1 | 97.48 | 124.45 | 0.44 | 2.19 |
| 13b | 403.46 | 9 | 8 | 0 | 102.38 | 115.66 | 0.67 | 2.53 |
| 14a | 814.09 | 12 | 10 | 1 | 225.82 | 150.75 | 5.14 | 9.37 |
| 14b | 828.11 | 12 | 10 | 0 | 230.73 | 141.96 | 5.30 | 9.71 |
| Lipinski’s Rule (MW ≤ 500; MLOGP ≤ 4.15; nHBA ≤ 10; nHBD ≤ 5) | Ghose’s Rule (160 ≤ MW ≤ 480; 40 ≤ MR ≤ 130 −0.4 ≤ WLOG ≤ 5.6; 20 ≤ Atoms ≤ 70 | Veber’s Rule (nROT ≤ 10; TPSA ≤ 140 Å2) | |||||||
|---|---|---|---|---|---|---|---|---|---|
| Drug- Likeness | Number and Type of Violations | Drug- Likeness | Number and Type of Violations | Drug- Likeness | Number and Type of Violations | ||||
| 7a | Yes | 0 | - | Yes | 0 | - | No | 1 | TPSA |
| 10a | Yes | 0 | - | No | 1 | MW | Yes | 0 | - |
| 10b | Yes | 1 | MW | No | 1 | MW | Yes | 0 | - |
| 11a | Yes | 1 | MW | No | 1 | MW | No | 1 | TPSA |
| 11b | Yes | 1 | MW | No | 2 | MW MR | No | 1 | TPSA |
| 14a | No | 2 | MW MLOGP | No | 4 | MW WLOGP MR #atoms | No | 2 | nROT TPSA |
| 14b | No | 2 | MW MLOGP | No | 4 | MW WLOGP MR #atoms | No | 2 | nROT TPSA |
| Absorption | Distribution | Metabolism | Tox. | ||||||||
|---|---|---|---|---|---|---|---|---|---|---|---|
| LogS (ESOL) * | Caco2 Perm. | HIA | P-gp Sub. | BBB Perm. | CNS Perm. | CYP1A2 Inh. | CYP3A4 Inh. | CYP2C19 Inh. | CYP2D6 Inh. | Ames | |
| 4a | −3.66 | 0.948 | 96.972 | yes | −0.942 | −2.617 | yes | yes | yes | no | no |
| 4b | −3.84 | 0.917 | 99.431 | no | −1.108 | −2.486 | yes | yes | yes | no | yes |
| 5a | −3.60 | 0.24 | 92.754 | yes | −1.11 | −2.684 | yes | yes | yes | no | no |
| 5b | −3.79 | 0.926 | 94.5 | no | −1.276 | −2.553 | no | yes | yes | no | yes |
| 6a | −3.82 | 1.104 | 96.47 | yes | −1.162 | −3.195 | yes | yes | yes | no | no |
| 6b | −4.00 | 1.072 | 98.929 | no | −1.328 | −3.092 | no | yes | yes | no | yes |
| 7a | −3.71 | −0.199 | 91.898 | yes | −1.457 | −2.844 | no | yes | yes | no | yes |
| 7b | −3.90 | 0.326 | 93.644 | yes | −1.623 | −2.712 | no | yes | yes | no | yes |
| 8a | −4.18 | 0.888 | 95.224 | yes | −1.123 | −2.592 | yes | yes | yes | no | no |
| 8b | −4.36 | 0.903 | 97.683 | no | −1.29 | −2.461 | yes | yes | yes | no | yes |
| 9a | −4.80 | 0.644 | 95.149 | yes | −1.412 | −3.045 | no | yes | no | no | no |
| 9b | −4.98 | 0.34 | 99.063 | no | −1.579 | −2.953 | yes | yes | no | no | no |
| 10a | −5.11 | 0.66 | 94.835 | yes | −1.415 | −3.03 | no | yes | no | no | no |
| 10b | −5.29 | 0.341 | 99.552 | no | −1.582 | −2.927 | no | yes | no | no | no |
| 11a | −2.56 | −0.08 | 79.864 | yes | −2.137 | −4.205 | no | no | no | no | no |
| 11b | −2.75 | −0.073 | 84.581 | yes | −2.178 | −4.102 | no | yes | no | no | no |
| 12a | −3.02 | 0.92 | 96.028 | yes | −0.94 | −2.875 | no | yes | yes | no | no |
| 12b | −3.20 | 0.877 | 98.599 | no | −1.107 | −2.743 | yes | yes | yes | no | no |
| 13a | −2.44 | 0.577 | 84.401 | yes | −1.375 | −3.651 | no | no | no | no | no |
| 13b | −2.62 | 0.68 | 89.118 | no | −1.542 | −3.548 | yes | yes | no | no | no |
| 14a | −9.69 | 0.047 | 100 | yes | −1.599 | −2.789 | no | yes | no | no | no |
| 14b | −10.08 | 0.327 | 100 | yes | −1.766 | −2.686 | no | yes | no | no | no |
| Compound | IC50 [µM] | ||||
|---|---|---|---|---|---|
| Caco-2 | SNB-19 | A-549 | SKOV-3 | NHDF | |
| 4a | 26.38 | neg | neg | neg | neg |
| 4b | 0.40 | 1.18 | 7.72 | 66.16 | 190.81 |
| 5a | 2.21 | neg | neg | neg | neg |
| 5b | 0.40 | 0.41 | 0.80 | 14.06 | 9.16 |
| 6a | 27.51 | neg | neg | neg | neg |
| 6b | 19.33 | 156.22 | neg | neg | neg |
| 7a | 0.31 | 0.83 | 36.11 | 16.92 | 169.33 |
| 7b | 2.47 | 0.41 | neg | neg | neg |
| 8a | 14.29 | 72.39 | 3.69 | 114.81 | 40.58 |
| 8b | 0.34 | 0.35 | neg | neg | neg |
| 9a | 17.98 | 62.42 | neg * | 107.86 | neg |
| 9b | 0.26 | 0.38 | 0.40 | 4.16 | neg |
| 10a | 9.69 | 37.36 | 113.37 | 94.49 | neg |
| 10b | 0.30 | 0.30 | 1.77 | 24.73 | 26.19 |
| 11a | 0.36 | 128.89 | 18.05 | 143.34 | 194.93 |
| 11b | 0.48 | 0.59 | 1.29 | 7.16 | 98.28 |
| 12a | 0.38 | 0.44 | neg * | 53.86 | neg |
| 12b | 1.29 | 63.57 | 188.65 | 80.37 | 242.26 |
| 13a | 0,32 | 0.39 | neg * | 64.56 | 222.61 |
| 13b | 85.19 | 137.93 | neg | 88.17 | neg |
| 14a | neg | 101.48 | neg | neg | neg |
| 14b | 18.2 | 9.26 | neg * | 1.09 | neg |
| Cisplatin | 0.27 | 2.93 | 453.41 | 41.65 | neg |
Disclaimer/Publisher’s Note: The statements, opinions and data contained in all publications are solely those of the individual author(s) and contributor(s) and not of MDPI and/or the editor(s). MDPI and/or the editor(s) disclaim responsibility for any injury to people or property resulting from any ideas, methods, instructions or products referred to in the content. |
© 2024 by the authors. Licensee MDPI, Basel, Switzerland. This article is an open access article distributed under the terms and conditions of the Creative Commons Attribution (CC BY) license (https://creativecommons.org/licenses/by/4.0/).
Share and Cite
Marciniec, K.; Nowakowska, J.; Chrobak, E.; Bębenek, E.; Latocha, M. Synthesis, Docking, and Machine Learning Studies of Some Novel Quinolinesulfonamides–Triazole Hybrids with Anticancer Activity. Molecules 2024, 29, 3158. https://doi.org/10.3390/molecules29133158
Marciniec K, Nowakowska J, Chrobak E, Bębenek E, Latocha M. Synthesis, Docking, and Machine Learning Studies of Some Novel Quinolinesulfonamides–Triazole Hybrids with Anticancer Activity. Molecules. 2024; 29(13):3158. https://doi.org/10.3390/molecules29133158
Chicago/Turabian StyleMarciniec, Krzysztof, Justyna Nowakowska, Elwira Chrobak, Ewa Bębenek, and Małgorzata Latocha. 2024. "Synthesis, Docking, and Machine Learning Studies of Some Novel Quinolinesulfonamides–Triazole Hybrids with Anticancer Activity" Molecules 29, no. 13: 3158. https://doi.org/10.3390/molecules29133158
APA StyleMarciniec, K., Nowakowska, J., Chrobak, E., Bębenek, E., & Latocha, M. (2024). Synthesis, Docking, and Machine Learning Studies of Some Novel Quinolinesulfonamides–Triazole Hybrids with Anticancer Activity. Molecules, 29(13), 3158. https://doi.org/10.3390/molecules29133158

