Sign in to use this feature.

Years

Between: -

Subjects

remove_circle_outline
remove_circle_outline
remove_circle_outline
remove_circle_outline
remove_circle_outline
remove_circle_outline
remove_circle_outline
remove_circle_outline
remove_circle_outline

Journals

remove_circle_outline
remove_circle_outline
remove_circle_outline
remove_circle_outline
remove_circle_outline
remove_circle_outline
remove_circle_outline
remove_circle_outline
remove_circle_outline
remove_circle_outline
remove_circle_outline
remove_circle_outline

Article Types

Countries / Regions

remove_circle_outline
remove_circle_outline
remove_circle_outline
remove_circle_outline
remove_circle_outline
remove_circle_outline

Search Results (1,004)

Search Parameters:
Keywords = ADMET

Order results
Result details
Results per page
Select all
Export citation of selected articles as:
45 pages, 5947 KB  
Review
Artificial Intelligence-Driven Natural Product Discovery for Cancer Metastasis and Chemoresistance: From Computational Prediction to Preclinical Validation
by Mohamed Ali Hussein and Gnanasekar Munirathinam
Cancers 2026, 18(5), 719; https://doi.org/10.3390/cancers18050719 - 24 Feb 2026
Abstract
Cancer metastasis and chemoresistance are primary reasons for cancer-related mortality. Current therapeutic options rely mostly on single-target drugs, which often fail to exhibit long-lasting remission of the disease progression due to the complexity of metastasis and resistance mechanisms. Natural products (NPs) possess inherent [...] Read more.
Cancer metastasis and chemoresistance are primary reasons for cancer-related mortality. Current therapeutic options rely mostly on single-target drugs, which often fail to exhibit long-lasting remission of the disease progression due to the complexity of metastasis and resistance mechanisms. Natural products (NPs) possess inherent structural diversity, rendering them suitable as multi-target agents. The utilization of NPs is often impeded in treating complex diseases such as cancer, even though approximately 65% of approved anticancer drugs are NP derivatives, or synthetic derivatives containing NP-pharmacophores, due to various factors, including poor aqueous solubility and variable oral bioavailability, structural complexity, synthetic inaccessibility, and stereochemical diversity that confounds structure–activity relationship analyses. This review discusses how integrating artificial intelligence (AI) and machine learning (ML) with chemoinformatics can identify, prioritize, and experimentally validate NPs, potentially paving the way for new drugs that address intricate processes such as metastasis and resistance. We summarize the recent computational advances in the field, including graph neural networks, attention mechanisms, Siamese networks, virtual screening, and network pharmacology. These advancements address ADMET optimization, molecular representation, virtual screening, network pharmacology, and experimental validation. We emphasize how each of these approaches tackles the unique challenges associated with NPs. We contextualize our review within the specific challenges presented by the chemical space of NPs. Additionally, we analyze real-world case studies of successful AI-assisted NP discovery and categorize the quality of evidence into three levels: Level A, which includes in vivo efficacy with mechanistic details; Level B, which consists of in vitro validation of mechanisms and phenotypes; and Level C, which represents computational hypotheses that are awaiting experimental verification. Additionally, we propose an operational framework for selecting suitable AI methodologies based on available data, target characterization, and validation resources. Finally, we emphasize the limitations and future directions in AI-facilitated NP discovery. Full article
(This article belongs to the Special Issue Insights from the Editorial Board Member)
Show Figures

Figure 1

25 pages, 4264 KB  
Article
Probing Combined Experimental and Computational Profiling to Identify N-(benzo[d]thiazol-2-yl) Carboxamide Derivatives: A Path to Potent α-Amylase and α-Glucosidase Inhibitors for Treating Diabetes Mellitus
by Fakhria A. Al-Joufi, Mariam Mojally, Maher S. Alwethaynani, Nawal Al-Hoshani and Ghulam Nabi
Molecules 2026, 31(4), 751; https://doi.org/10.3390/molecules31040751 - 23 Feb 2026
Viewed by 46
Abstract
A novel series of benzothiazole scaffolds were presented to test their in vitro α-amylase and α-glucosidase activities for combating diabetes mellitus, which is one of the most rapidly growing diseases. The tested compounds were elucidated structurally by various spectroscopic techniques like 1H [...] Read more.
A novel series of benzothiazole scaffolds were presented to test their in vitro α-amylase and α-glucosidase activities for combating diabetes mellitus, which is one of the most rapidly growing diseases. The tested compounds were elucidated structurally by various spectroscopic techniques like 1H NMR, 13C NMR and HRMS. All compounds exhibited a varied range of inhibitory activities against targeted α-amylase and α-glucosidase enzymes, with IC50 values of 1.58 ± 1.20 to 7.54 ± 3.60 µM (α-amylase) and 2.10 ± 1.10 to 8.90 ± 4.10 (α-glucosidase), respectively. The obtained results were compared with the standard acarbose drug, with IC50 values of 0.91 ± 0.20 µM (α-amylase) and 1.80 ± 1.10 µM (α-glucosidase). Specifically, methyl 2-amino-4-((6-methoxypyridin-3-yl)methoxy)benzo[d]thiazole-6-carboxylate (5c) and methyl 4-((6-methoxypyridin-3-yl)methoxy)-2-(thiazole-2-carboxamido)benzo[d]thiazole-6-carboxylate (6b) emerged as potent inhibitors of α-amylase and α-glucosidase enzymes. These potent compounds were further screened for in silico molecular docking studies to investigate possible binding interactions with active sites of targeted enzymes, and results obtained demonstrated that potent compounds exhibited stronger binding affinities toward anti-diabetic enzymes compared to the positive control acarbose. Full article
Show Figures

Figure 1

17 pages, 1645 KB  
Article
Identification of Novel Trypanosoma cruzi Cysteine Protease Inhibitors via Ligand-Based Virtual Screening of FDA-Approved Drugs with Trypanocidal Activity
by Lenci K. Vázquez-Jiménez, Alonzo González-González, Timoteo Delgado-Maldonado, Rogelio Gómez-Escobedo, Benjamín Nogueda-Torres, Ana Verónica Martínez-Vázquez, Eyrá Ortiz-Pérez, Charmina Aguirre-Alvarado, Verónica Alcántara-Farfán, Joaquín Cordero-Martínez, Lorena Rodríguez-Páez, Adriana Moreno-Rodriguez and Gildardo Rivera
Diseases 2026, 14(2), 79; https://doi.org/10.3390/diseases14020079 - 19 Feb 2026
Viewed by 144
Abstract
Background: Chagas disease is a major public health problem, especially in Latin American countries, and benznidazole and nifurtimox are currently the only drugs available for its treatment. However, they present several disadvantages, such as low availability, high toxicity, and limited efficacy, which often [...] Read more.
Background: Chagas disease is a major public health problem, especially in Latin American countries, and benznidazole and nifurtimox are currently the only drugs available for its treatment. However, they present several disadvantages, such as low availability, high toxicity, and limited efficacy, which often result in treatment discontinuation. In recent decades, bioinformatics studies have accelerated the field of drug repurposing, reducing time and costs. In this study, the aim was to identify novel cruzain inhibitors from the analogs of FDA-approved drugs with trypanocidal activity. Methods: A ligand-based virtual screen, along with molecular docking analysis, was carried out, and the selected compounds were evaluated for their trypanocidal activity against trypomastigotes of two endemic Mexican strains and their inhibitory activity on cysteine proteases. Results: A cefsulodin analog (LC50 = 126.18 and 77.50 µM), two flucloxacillin analogs (LC50 = 94.05 and 101.73 µM; 48.74 and 64.49 µM), and one piperacillin analog (LC50 = 48.46 and 83.68 µM) had better trypanocidal activity and selectivity index against the NINOA and INC-5 strains than the reference drugs. Enzymatic evaluation showed that all four compounds inhibited cysteine proteases (IC50 < 840.03 µM). Furthermore, molecular dynamics simulations predicted the stability of the compound–protein complex, while the docking test on human cathepsin L predicted their potential selectivity. Finally, our in silico analysis of ADMET properties showed that all compounds exhibited favorable profiles. Conclusions: These results encourage the development of new and more potent anti-Trypanosoma cruzi agents using FDA-approved drugs as scaffolds. Full article
Show Figures

Figure 1

18 pages, 635 KB  
Article
Dietary Sources of Glycine Betaine and Proline Betaine in Plant Foods and Their Potential Biological Relevance in Human Nutrition
by Bruna Laratta, Rosanna Squitti and Domenico Cautela
Foods 2026, 15(4), 759; https://doi.org/10.3390/foods15040759 - 19 Feb 2026
Viewed by 253
Abstract
Betaines are natural nitrogen-containing compounds widely distributed in plant-derived foods and animal tissues, where they function primarily as osmolytes, chaperons, and methyl donors. As such, they have attracted increasing interest as dietary components and metabolic biomarkers in human nutrition. This study provides a [...] Read more.
Betaines are natural nitrogen-containing compounds widely distributed in plant-derived foods and animal tissues, where they function primarily as osmolytes, chaperons, and methyl donors. As such, they have attracted increasing interest as dietary components and metabolic biomarkers in human nutrition. This study provides a comparative characterization of glycine betaine (GlyBet) and proline betaine (ProBet) by combining targeted LC–MS quantification in a representative selection of plant-based foods with complementary in silico analyses and integration of dietary intake estimates derived from published nutritional and metabolomic studies, together with human metabolomic data. A validated HPLC–ESI–MS method was applied to quantify GlyBet and ProBet across cereals, pseudocereals, vegetables, and fruits. GlyBet was found to be predominantly abundant in leafy vegetables and in several cereal and pseudocereal flours, whereas ProBet was highly enriched in citrus fruits, particularly bergamot, chinotto, and bitter orange. In silico ADMET predictions were used to provide a qualitative and comparative description of the pharmacokinetic and safety-related properties of the two betaines, indicating broadly similar hydrophilic profiles with modest differences in solubility, clearance, and predicted skin sensitization. Similarity-based target prediction analyses, used in an exploratory framework, suggest distinct contextual tendencies for the two betaines. GlyBet is primarily associated with pathways related to one-carbon metabolism and cellular stress responses, whereas ProBet shows a closer contextual association with signaling-related processes. By integrating experimental data, computational analyses, and human metabolomic information, this work supports the interpretation of betaines as biomarkers of dietary intake and systemic metabolic status. Full article
Show Figures

Figure 1

15 pages, 894 KB  
Article
Xanthophyll-Rich Extracts from Garcinia dulcis Pulp as Potential Anti-Hepatocellular Carcinoma Functional Food
by Ulfa Kholili, Aji Bayu Wicaksono, Amal Arifi Hidayat, Ugroseno Yudho Bintoro, Soetjipto Soetjipto, Aryati Aryati, Muhammad Zulfikar Fiko Defianto and Muhammad Miftahussurur
Nutrients 2026, 18(4), 670; https://doi.org/10.3390/nu18040670 - 18 Feb 2026
Viewed by 208
Abstract
Introduction: Hepatocellular carcinoma (HCC) is the most common primary liver malignancy and remains a leading cause of cancer-related mortality worldwide. Despite recent advances in immunotherapy and targeted agents, treatment efficacy is frequently limited by tumor heterogeneity, drug resistance, and systemic toxicity. Natural products, [...] Read more.
Introduction: Hepatocellular carcinoma (HCC) is the most common primary liver malignancy and remains a leading cause of cancer-related mortality worldwide. Despite recent advances in immunotherapy and targeted agents, treatment efficacy is frequently limited by tumor heterogeneity, drug resistance, and systemic toxicity. Natural products, particularly carotenoid-derived compounds, have emerged as promising multi-target anticancer agents. Xanthophylls, a class of oxygenated carotenoids, exhibit pleiotropic biological activities that are relevant to cancer therapy; however, their potential against HCC remains incompletely explored. This study aimed to systematically evaluate the anti-HCC potential of xanthophyll-rich extracts from Garcinia dulcis pulp using integrated metabolomic, in silico, and in vitro approaches. Methods: Xanthophyll-rich extracts from G. dulcis pulp were prepared using microwave-assisted extraction. Phytochemical profiling was performed using UHPLC–ESI–MS/MS. In silico analyses included bioactivity prediction, ADMET profiling, target identification, network pharmacology, pathway enrichment, and molecular docking against key HCC-related proteins (EGFR, BCL-2, and mTOR). In vitro antiproliferative activity was assessed using MTT assays on HepG2 and Huh7 hepatocellular carcinoma cell lines, with THLE-2 normal hepatocytes used as controls. Results: Metabolomic analysis revealed a xanthophyll-dominated profile, with zeaxanthin and lutein as the major constituents, alongside fucoxanthin, astaxanthin, β-cryptoxanthin, β-carotene, and canthaxanthin. In silico predictions demonstrated high antineoplastic and pro-apoptotic activities, with strong involvement in the HIF-1, EGFR, PD-1/PD-L1, JAK–STAT, and mTOR signaling pathways. Molecular docking confirmed stable and high-affinity interactions of xanthophylls with EGFR, BCL-2, and mTOR. In vitro assays showed selective cytotoxicity against HCC cells, with IC50 values of 42.8 ± 3.6 µg/mL (HepG2) and 58.4 ± 4.9 µg/mL (Huh7), while exhibiting significantly lower toxicity toward normal hepatocytes. Conclusions: Xanthophyll-rich extracts from Garcinia dulcis pulp exhibit potent and selective anti-hepatocellular carcinoma activity through multi-target mechanisms involving oncogenic signaling, apoptosis regulation, and tumor metabolism. These findings support the translational potential of G. dulcis xanthophylls as promising natural candidates for further development in HCC therapy. Full article
Show Figures

Figure 1

25 pages, 4314 KB  
Article
In Vitro Anticancer Activity and In Silico Target Profiling of 5-(Piperazin-1-ylsulfonyl)-1,3-oxazole-4-carbonitriles
by Oleksandr O. Severin, Denys Bondar, Olga Bragina, Nandish M. Nagappa, Janari Olev, Volodymyr S. Brovarets, Ivan V. Semenyuta and Yevgen Karpichev
Int. J. Mol. Sci. 2026, 27(4), 1936; https://doi.org/10.3390/ijms27041936 - 18 Feb 2026
Viewed by 129
Abstract
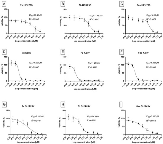
Sulfonylated 5-piperazine-substituted 1,3-oxazole-4-carbonitriles were synthesized and evaluated for in vitro anticancer activity. Cytotoxicity was assessed in hepatocellular (HepG2, Huh7), breast (MCF-7, MDA-MB-231), cervical (HeLa), melanoma (M21), and neuroblastoma (Kelly, SH-SY5Y) cell lines, with HEK293 cells used as a non-malignant control. Compounds 7a, [...] Read more.
Sulfonylated 5-piperazine-substituted 1,3-oxazole-4-carbonitriles were synthesized and evaluated for in vitro anticancer activity. Cytotoxicity was assessed in hepatocellular (HepG2, Huh7), breast (MCF-7, MDA-MB-231), cervical (HeLa), melanoma (M21), and neuroblastoma (Kelly, SH-SY5Y) cell lines, with HEK293 cells used as a non-malignant control. Compounds 7a, 7b, and 8aa emerged as lead structures. Notably, compound 7b showed the highest activity in Kelly neuroblastoma cells (IC50 = 1.3 µM) while exhibiting low cytotoxicity toward HEK293 cells (IC50 > 10 µM), indicating an improved selectivity profile relative to doxorubicin. In silico molecular docking suggested favorable interactions of the lead compounds with several cancer-associated proteins, with the highest predicted affinity observed for Aurora A kinase, along with additional predicted interactions with cyclin-dependent kinases. Predicted ADMET properties of compounds 7a, 7b, and 8aa compared favorably with doxorubicin, although the lead compounds were not readily biodegradable under OECD 301D conditions. Overall, these findings identify oxazole-4-carbonitriles as promising anticancer candidates with a putative kinase-directed mechanism of action. Full article
(This article belongs to the Special Issue Focus on Heterocyclic Compounds and Their Various Applications)
Show Figures

Figure 1

34 pages, 10269 KB  
Article
Integrated Computational Investigation of Cannabis sativa Phytoconstituents as Putative Multi-Target Inhibitors in Skin Cancer: A Molecular Docking, Dynamics, and ADMET Profiling Study
by Lamiae El Bouamri, Salma Laaouina, Ibtissam Lakrim, Hassan Nour, Imane Yamari, Abdelouahid Samadi, Mohammed Bouachrine and Samir Chtita
Pharmaceuticals 2026, 19(2), 315; https://doi.org/10.3390/ph19020315 - 13 Feb 2026
Viewed by 286
Abstract
Background: Skin cancer progression is driven by the dysregulation of key oncogenic signaling pathways, including EGFR, BRAF V600E, and TGF-β, which collectively promote tumor proliferation, invasion, and metastatic progression. Targeting these pathways using multitarget natural modulators represents a promising therapeutic strategy. Methods [...] Read more.
Background: Skin cancer progression is driven by the dysregulation of key oncogenic signaling pathways, including EGFR, BRAF V600E, and TGF-β, which collectively promote tumor proliferation, invasion, and metastatic progression. Targeting these pathways using multitarget natural modulators represents a promising therapeutic strategy. Methods: In this study, forty-nine phytoconstituents from Cannabis sativa were evaluated using an integrated computational approach to explore their inhibitory potential against EGFR, BRAF V600E, and the TGF-β receptor. Molecular docking was performed to assess binding affinities and interaction profiles, followed by ADMET analysis to evaluate pharmacokinetic and safety properties. The top-ranked compounds were further investigated using 200 ns molecular dynamics simulations and MM-GBSA binding free energy calculations to assess the stability and strength of protein–ligand interactions. Results: Several phytoconstituents exhibited strong binding affinities toward the target proteins, formed stable interactions with key active-site residues, and demonstrated favorable pharmacokinetic profiles with acceptable safety characteristics. Molecular dynamics simulations confirmed the structural stability of the selected protein–ligand complexes, while MM-GBSA analysis supported their favorable binding energetics. Conclusions: These findings suggest that Cannabis sativa phytoconstituents may represent a promising source of multitarget modulators capable of attenuating EGFR, BRAF V600E, and TGF-β driven oncogenic signaling in skin cancer. This study provides a mechanistic framework that supports further in vitro validation and the development of cannabis-derived therapeutic candidates for targeted skin cancer management. Full article
(This article belongs to the Special Issue Computer-Aided Drug Design and Drug Discovery, 2nd Edition)
Show Figures

Figure 1

24 pages, 2481 KB  
Article
Design and Evaluation of New 6-Trifluoromethoxy-Isatin Derivatives as Potential CDK2 Inhibitors
by Przemysław Czeleń and Beata Szefler
Int. J. Mol. Sci. 2026, 27(4), 1802; https://doi.org/10.3390/ijms27041802 - 13 Feb 2026
Viewed by 140
Abstract
Cyclin-dependent kinase 2 (CDK2) plays a central role in cell cycle regulation and represents an important molecular target in anticancer drug development. In this study, a series of novel isatin derivatives substituted with a trifluoromethoxy group at the C6 position were designed and [...] Read more.
Cyclin-dependent kinase 2 (CDK2) plays a central role in cell cycle regulation and represents an important molecular target in anticancer drug development. In this study, a series of novel isatin derivatives substituted with a trifluoromethoxy group at the C6 position were designed and evaluated as potential CDK2 inhibitors using a comprehensive in silico approach. Density functional theory calculations were applied to analyze the electronic properties of the proposed compounds. Molecular docking and molecular dynamics simulations were used to investigate binding modes, conformational stability, and key interactions within the CDK2 active site. Binding free energies were estimated using the Molecular Mechanics Poisson–Boltzmann Surface Area (MMPBSA) method, while QSAR-based (Quantitative Structure–Activity Relationship) ADMET (Absorption, Distribution, Metabolism, Excretion, and Toxicity) analyses were performed to assess drug-likeness and pharmacokinetic profiles. The results indicate that the investigated derivatives form stable complexes with CDK2, supported by persistent hydrogen bonds in the hinge region and favorable hydrophobic interactions. The trifluoromethoxy substituent significantly affects ligand orientation and promotes deeper insertion into the hydrophobic pocket compared with previously studied isatin analogues. ADMET predictions suggest generally favorable absorption and toxicity profiles, with moderate solubility limitations. Overall, these findings support the potential of 6-trifluoromethoxy-isatin derivatives as promising CDK2 inhibitors and provide a basis for further experimental studies. Full article
Show Figures

Figure 1

17 pages, 3748 KB  
Article
In Silico Screening of Plant-Derived Termiticidal Compounds Targeting Cytochrome P450 in Coptotermes spp. (Blattodea: Rhinotermitidae) for Sustainable Termite Management
by Deepak Kumar Mahanta, Tanmaya Kumar Bhoi and Sumit Jangra
Plants 2026, 15(4), 581; https://doi.org/10.3390/plants15040581 - 12 Feb 2026
Viewed by 228
Abstract
Termites of the genus Coptotermes are among the most destructive structural pests worldwide, owing to their efficient lignocellulose degradation and metabolic adaptability mediated in part by cytochrome P450 enzymes. Although numerous botanical compounds have been reported to exhibit termiticidal activity, mechanistic in silico [...] Read more.
Termites of the genus Coptotermes are among the most destructive structural pests worldwide, owing to their efficient lignocellulose degradation and metabolic adaptability mediated in part by cytochrome P450 enzymes. Although numerous botanical compounds have been reported to exhibit termiticidal activity, mechanistic in silico studies targeting detoxification-related enzymes in Coptotermes, particularly cytochrome P450, remain limited. In this study, twenty-eight plant-derived bioactive compounds were evaluated using an integrated in silico framework comprising insecticide likeness screening, molecular docking, toxicity prediction, environmental fate assessment, and molecular dynamics simulation. Homology modeling enabled structural characterization of cytochrome P450 from C. formosanus, and subsequent screening identified 27 compounds with favorable physicochemical and ADMET properties. Molecular docking analysis highlighted Glyceollin, Cnicin, Biochanin A, Ferruginol, and ent-kaur-16-en-19-oic acid as strong binders, exhibiting stable interactions with conserved active-site residues. Toxicological and ecological assessments indicated generally low predicted risk to mammals, birds, and pollinators, while identifying potential sensitivity in aquatic organisms, emphasizing the need for controlled application. Molecular dynamics simulations further supported the stabilizing effect of Glyceollin on cytochrome P450 under simulated conditions. Overall, the study provides mechanistic insight into botanical inhibition of cytochrome P450 in Coptotermes and identifies promising candidate compounds for further experimental validation in sustainable termite management strategies. Full article
(This article belongs to the Special Issue Bio-Control of Plant Pathogens and Pests)
Show Figures

Figure 1

25 pages, 12883 KB  
Article
Structure-Based Virtual Screening for ALOX5 Inhibitors: Combining Scaffold Hopping and Pharmacophore Approaches
by Xiao Li, Liang Li, Na Zhang, Linxin Wang and Lianxiang Luo
Targets 2026, 4(1), 8; https://doi.org/10.3390/targets4010008 - 12 Feb 2026
Viewed by 236
Abstract
Arachidonic acid 5-lipoxygenase (ALOX5), an enzyme critical for lipid mediator synthesis, demonstrates significant upregulation in clinically distinct disease states. Current research identifies its aberrant activity in neurodegenerative pathologies (e.g., Parkinson’s disease), solid tumors, hematological cancers, metabolic dysregulation linked to diabetic nephropathy, and vascular [...] Read more.
Arachidonic acid 5-lipoxygenase (ALOX5), an enzyme critical for lipid mediator synthesis, demonstrates significant upregulation in clinically distinct disease states. Current research identifies its aberrant activity in neurodegenerative pathologies (e.g., Parkinson’s disease), solid tumors, hematological cancers, metabolic dysregulation linked to diabetic nephropathy, and vascular remodeling in hypertension and coronary artery disease. These findings collectively implicate ALOX5 as a multifunctional driver of chronic inflammation and tissue damage across organ systems. Despite the significant clinical significance of ALOX5, developing effective inhibitors for this target remains challenging, with most candidates still undergoing clinical evaluation. This study employs a multi-stage computational approach to identify novel ALOX5 inhibitors with strong drug-like properties. By compiling compounds with documented ALOX5 inhibitory activity and IC50 values from PubChem, ChEMBL, and MedChemExpress databases, we established a ligand-based pharmacophore model to virtually screen terpenoid derivatives. The selection of terpenoid compounds for virtual screening is primarily due to their dual role as natural products exhibiting significant structural diversity alongside a broad spectrum of known biological activities. This provides an ideal starting point for the efficient discovery of structurally novel lead compounds with drug potential, while also being well-suited for structure-based computational evaluation. Two lead compounds (29835 and 38032) were identified through ADMET property prediction and scaffold modification-guided optimization. Molecular docking analysis revealed superior binding affinities for these candidates (−8.31 and −10.26 kcal/mol, respectively) compared to Zileuton (−7.39 kcal/mol), indicating stable and favorable interactions within the target protein’s active site. The binding stability of these complexes was further confirmed by 100 ns molecular dynamics simulations, which demonstrated sustained structural integrity of the protein–ligand systems. Collectively, computational findings suggest these compounds as promising ALOX5 inhibitors. However, given the theoretical framework of this work, subsequent experimental validation via in vitro and in vivo pharmacological assays is imperative to verify their therapeutic potential. Full article
Show Figures

Figure 1

33 pages, 1258 KB  
Review
ADMET-Guided Design and In Silico Planning of Boron Delivery Systems for BNCT: From Transport and Biodistribution to PBPK-Informed Irradiation Windows
by Karolina Ewa Wójciuk, Emilia Balcer, Łukasz Bartosik, Michał Dorosz, Natalia Knake, Zuzanna Marcinkowska, Emilia Wilińska and Marcin Zieliński
Molecules 2026, 31(4), 617; https://doi.org/10.3390/molecules31040617 - 10 Feb 2026
Viewed by 166
Abstract
BNCT (Boron Neutron Capture Therapy) is a binary radiotherapeutic modality in which high LET (Linear Energy Transfer) particles are generated from 10B(n,α)7Li reaction, ideally within boron-loaded tumour cells, so the therapeutic outcome depends critically on the pharmacokinetics and biodistribution of [...] Read more.
BNCT (Boron Neutron Capture Therapy) is a binary radiotherapeutic modality in which high LET (Linear Energy Transfer) particles are generated from 10B(n,α)7Li reaction, ideally within boron-loaded tumour cells, so the therapeutic outcome depends critically on the pharmacokinetics and biodistribution of boron carriers. In this review, boron-containing agents for BNCT, with a focus on ADMET (absorption, distribution, metabolism, excretion and toxicity) and model-informed design, were examined. Low-MW (low-molecular-weight) compounds, peptide conjugates, polymeric and nanostructured platforms and cell-based vectors were surveyed and how physicochemical properties, transporter engagement and nano–bio interactions govern tumour uptake, subcellular localisation and normal tissue exposure were discussed. A shift from maximising boron content towards optimising exposure profiles using PET (Positron Emission Tomography), PBK (physiologically based pharmacokinetic) modelling and in silico ADMET tools to define irradiation windows was also discussed. Classical agents such as BPA (Boronophenylalanine) and BSH (Sodium Borocaptate) are contrasted with newer polymeric and metallacarborane-based carriers, with attention to brain penetration, endosomal escape, linker stability, biodegradation and elimination routes, as well as platform-specific toxicities. Incontestably, further progress in BNCT will highly depend on integrating imaging-derived kinetics with PBPK-informed dose planning and engineering subcellularly precise yet degradable carriers, and that ADMET-guided design and spatiotemporal coordination are central to achieving reproducible clinical benefit from BNCT’s spatial selectivity. Full article
(This article belongs to the Section Chemical Biology)
Show Figures

Figure 1

26 pages, 4079 KB  
Article
Structure-Based Virtual Screening of Plant-Derived Flavonoids as Putative GLUT9 Binders with Antioxidant Properties
by Kevser Kübra Kırboğa, Emre Aktaş, Ecir Uğur Küçüksille and Mithun Rudrapal
Molecules 2026, 31(4), 593; https://doi.org/10.3390/molecules31040593 - 9 Feb 2026
Viewed by 250
Abstract
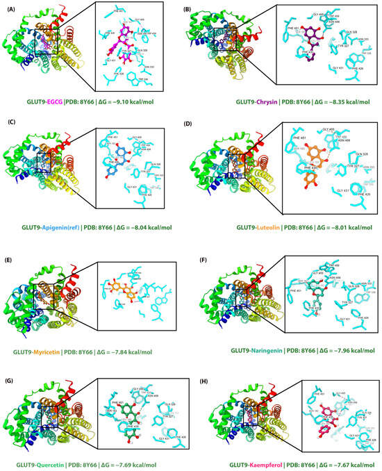
Hyperuricemia affects approximately 20% of the global adult population and serves as the primary etiological factor for gout. Glucose transporter 9 (GLUT9) plays a critical role in renal urate reabsorption, representing a promising therapeutic target for hyperuricemia treatment. This study employed an integrated [...] Read more.
Hyperuricemia affects approximately 20% of the global adult population and serves as the primary etiological factor for gout. Glucose transporter 9 (GLUT9) plays a critical role in renal urate reabsorption, representing a promising therapeutic target for hyperuricemia treatment. This study employed an integrated computational and experimental approach to identify novel flavonoid-based putative GLUT9 binders, combining molecular docking, molecular dynamics (MD) simulations, ADMET prediction, antioxidant evaluation, and density functional theory (DFT) calculations. Eight structurally diverse flavonoids were docked against the human GLUT9 cryo-EM structure, and antioxidant activities were assessed using DPPH, ABTS, and FRAP assays. All tested flavonoids exhibited favorable binding affinities ranging from −7.67 to −9.10 kcal/mol. Epigallocatechin gallate (EGCG) demonstrated the highest binding affinity (−9.10 kcal/mol) with an extensive hydrogen bonding network, while chrysin exhibited the second-highest affinity (−8.35 kcal/mol) with favorable drug-like properties. MD simulations over 100 ns confirmed the structural stability of the complexes. EGCG displayed exceptional antioxidant capacity (DPPH IC50 = 3.28 μM) superior to ascorbic acid, whereas chrysin showed lower radical scavenging activity despite favorable GLUT9 binding. DFT calculations revealed that higher HOMO energies correlated with enhanced antioxidant activity. These findings suggest that EGCG and chrysin exhibit favorable GLUT9 binding profiles, warranting further functional and pharmacokinetic optimization. Full article
Show Figures

Figure 1

23 pages, 7352 KB  
Article
In Silico Targeting of Trypanothione Reductase and Glycerol-3-Phosphate Dehydrogenase in Leishmania
by Ali Alisaac
Microorganisms 2026, 14(2), 407; https://doi.org/10.3390/microorganisms14020407 - 9 Feb 2026
Viewed by 214
Abstract
Leishmaniasis remains a neglected tropical disease with treatment limitations driven by toxicity, cost, and emerging resistance. Trypanothione reductase (TryR) and glycerol-3-phosphate dehydrogenase (GPDH) are essential Leishmania enzymes supporting redox homeostasis and energy/redox-linked metabolism, providing a biologically grounded rationale for dual-target inhibition. We applied [...] Read more.
Leishmaniasis remains a neglected tropical disease with treatment limitations driven by toxicity, cost, and emerging resistance. Trypanothione reductase (TryR) and glycerol-3-phosphate dehydrogenase (GPDH) are essential Leishmania enzymes supporting redox homeostasis and energy/redox-linked metabolism, providing a biologically grounded rationale for dual-target inhibition. We applied an integrated in silico workflow to prioritize candidate inhibitors using ADMET prediction (SwissADME/pkCSM), molecular docking (AutoDock Vina), and 100 ns molecular dynamics (MD) simulations; human GPDH was included as a negative control to probe potential off-target liability. ADMET screening identified 41 drug-like candidates, with most predicted to have high GI absorption and low toxicity flags across assessed endpoints (computational predictions interpreted cautiously). Docking highlighted two leading compounds. CID 6529858 showed the most favorable predicted binding to Leishmania GPDH (−8.9 kcal/mol) with a modest parasite-favored score difference versus human GPDH (−7.2 kcal/mol; Δ = −1.7 kcal/mol), while eupatorin (CID: 97214) displayed dual-target potential (TryR −7.5 kcal/mol; Leishmania GPDH −8.2 kcal/mol; human GPDH −7.2 kcal/mol; Δ = −1.0 kcal/mol). In MD, key complexes remained stable: CID 6529858 exhibited low GPDH backbone deviation (~0.25–0.40 nm), and eupatorin showed the most stable TryR trajectory (average RMSD ~0.45 nm), supported by generally low residue fluctuations across complexes. PCA further suggested ligand-associated restriction of large-scale motions (e.g., GPDH PC1 = 27.38%; TryR PC1 = 18.1%). Overall, these results nominate eupatorin as a promising dual-target lead and CID 6529858 as a strong GPDH-focused scaffold, warranting experimental enzyme inhibition, antiparasitic efficacy, and host–cell cytotoxicity testing to confirm potency and selectivity. Full article
Show Figures

Figure 1

24 pages, 4714 KB  
Article
Structure-Based Screening and Molecular Dynamics of Rifampicin Analogues Targeting InhA of Mycobacterium tuberculosis
by Lucas Paul and Andrew S. Paluch
ChemEngineering 2026, 10(2), 28; https://doi.org/10.3390/chemengineering10020028 - 6 Feb 2026
Viewed by 191
Abstract
Tuberculosis (TB), caused by Mycobacterium tuberculosis (Mtb), remains a global health burden, particularly due to multidrug-resistant (MDR) and extensively drug-resistant (XDR) strains. Rifampicin, a frontline anti-TB drug that inhibits RNA polymerase, has been central to therapy, but rpoB mutations compromise its efficacy. This [...] Read more.
Tuberculosis (TB), caused by Mycobacterium tuberculosis (Mtb), remains a global health burden, particularly due to multidrug-resistant (MDR) and extensively drug-resistant (XDR) strains. Rifampicin, a frontline anti-TB drug that inhibits RNA polymerase, has been central to therapy, but rpoB mutations compromise its efficacy. This highlights the need for Rifampicin analogues that target alternative enzymes to sustain therapeutic effectiveness. In this study, a structure-based computational approach was employed to screen Rifampicin analogues against enoylacyl carrier protein reductase (InhA), a validated enzyme in the biosynthesis of mycolic acids. A library of 399 analogues was retrieved from SwissSimilarity and evaluated using ADMET analysis, with the best candidates showing favourable pharmacokinetic profiles and compliance with Lipinski’s Rule of Five. Molecular docking identified ZINC000013629834 (−10.90 kcal/mol) and ZINC000253411694 (−10.36 kcal/mol) as superior to Rifampicin (−9.05 kcal/mol), with ILE21, SER20, and THR196 consistently stabilizing interactions. Molecular dynamics simulations confirmed the stability of the complexes, with RMSD values of 0.167 nm, 0.175 nm, and 0.297 nm for ZINC000013629834, ZINC000253411694, and Rifampicin, respectively. MM/PBSA analysis showed comparable binding free energies. These findings suggest that optimized Rifampicin analogues targeting InhA may overcome rpoB-associated resistance and serve as promising leads for next-generation anti-TB drug development. Full article
Show Figures

Figure 1

26 pages, 5142 KB  
Article
A Safer Alternative Bio-Repellent: Targeting Mosquito Odorant-Binding Proteins with Catnip-Derived Nepetalactones from Nepeta cataria Leaves
by Tarawin Kiatlertpongsa, Siriporn Nonkhwao, Jarupa Charoenrit, Jirawat Saetan, Supawadee Duangprom, Sineenart Songkoomkrong, Prateep Amonruttanapun, Piyapon Janpan, Prasert Sobhon, Sakda Daduang and Napamanee Kornthong
Int. J. Mol. Sci. 2026, 27(3), 1572; https://doi.org/10.3390/ijms27031572 - 5 Feb 2026
Viewed by 309
Abstract
The reliance on synthetic repellents such as N,N-diethyl-meta-toluamide (DEET) has raised health and environmental concerns, prompting the search for safer, plant-based alternatives. Catnip (Nepeta cataria L.), a rich source of iridoid monoterpenes, particularly nepetalactones, known for strong insect-repellent activity. However, their efficient [...] Read more.
The reliance on synthetic repellents such as N,N-diethyl-meta-toluamide (DEET) has raised health and environmental concerns, prompting the search for safer, plant-based alternatives. Catnip (Nepeta cataria L.), a rich source of iridoid monoterpenes, particularly nepetalactones, known for strong insect-repellent activity. However, their efficient extraction and molecular mechanisms in insect inhibition remains challenging. This study examined the chemical composition, protein–ligand interactions, and safety profiles of nepetalactones in comparison with DEET, with particular focus on mosquito odorant-binding proteins (OBPs) from Anopheles gambiae (AgamOBP), Culex quinquefasciatus (CquiOBP), and Aedes aegypti (AaegOBP). GC–MS/MS analysis identified nepetalactone isomers as the predominant constituents in catnip extracts obtained via steam distillation and olive oil extraction from dried leaves. Molecular docking results indicated that cis,cis-, cis,trans-, and nepetalactone isomers exhibited higher binding affinities toward the target OBPs than DEET. Furthermore, molecular dynamics simulations confirmed that all nepetalactone–OBP complexes exhibited stable conformations characterized by low average RMSD values and persistent hydrogen bond formation. Notably, cis,trans-NL–AaegOBP, NL–AaegOBP, and cis,cis-NL–AgamOBP complexes displayed lower binding free energies (ΔGMM-PBSA) compared to DEET. These findings suggest that nepetalactones stabilize OBP–ligand interactions while inducing subtle conformational flexibility, potentially disrupting mosquito odorant recognition in a manner distinct from DEET. ADMET predictions indicated that nepetalactones exhibit favorable absorption, distribution, and safety profiles with reduced predicted toxicity compared to DEET. Collectively, these results establish nepetalactones as promising candidates for the development of effective, safe, and sustainable plant-based repellents. Full article
Show Figures

Figure 1

Back to TopTop