The Role of Genistein in Mammalian Reproduction
Abstract
1. Characteristics and Beneficial Effects of Polyphenols
2. Biotransformation of Polyphenols and Physiological Responses
3. The Largest Group of Natural Polyphenols: Flavonoids
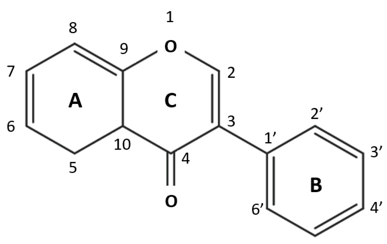
4. Genistein and Reproduction
5. Genistein’s Effect on Females
5.1. Genistein as a Phytoestrogen
5.2. Genistein and Ovaries
5.3. Genistein and Pregnancy
6. Genistein and Male Reproductive Function
6.1. Genistein in Soy Formula and Testis Function
6.2. Genistein and Endocrine Disruptors in Testis Function
6.3. Genistein and Sperm Quality
7. Conclusions
Author Contributions
Funding
Acknowledgments
Conflicts of Interest
References
- Bešlo, D.; Golubić, N.; Rastija, V.; Agić, D.; Karnaš, M.; Šubarić, D.; Lučić, B. Antioxidant Activity, Metabolism, and Bioavailability of Polyphenols in the Diet of Animals. Antioxidants 2023, 12, 1141. [Google Scholar] [CrossRef]
- Hashem, N.M.; Gonzalez-Bulnes, A.; Simal-Gandara, J. Polyphenols in Farm Animals: Source of Reproductive Gain or Waste? Antioxidants 2020, 9, 1023. [Google Scholar] [CrossRef]
- Tsao, R. Chemistry and Biochemistry of Dietary Polyphenols. Nutrients 2010, 2, 1231–1246. [Google Scholar] [CrossRef]
- Pandey, K.B.; Rizvi, S.I. Plant Polyphenols as Dietary Antioxidants in Human Health and Disease. Oxid. Med. Cell. Longev. 2009, 2, 270–278. [Google Scholar] [CrossRef] [PubMed]
- Zhang, Z.; Li, X.; Sang, S.; McClements, D.J.; Chen, L.; Long, J.; Jiao, A.; Jin, Z.; Qiu, C. Polyphenols as Plant-Based Nutraceuticals: Health Effects, Encapsulation, Nano-Delivery, and Application. Foods 2022, 11, 2189. [Google Scholar] [CrossRef] [PubMed]
- Arfaoui, L. Dietary Plant Polyphenols: Effects of Food Processing on Their Content and Bioavailability. Molecules 2021, 26, 2959. [Google Scholar] [CrossRef]
- Cory, H.; Passarelli, S.; Szeto, J.; Tamez, M.; Mattei, J. The Role of Polyphenols in Human Health and Food Systems: A Mini-Review. Front. Nutr. 2018, 5, 87. [Google Scholar] [CrossRef] [PubMed]
- Rudrapal, M.; Khairnar, S.J.; Khan, J.; Dukhyil, A.B.; Ansari, M.A.; Alomary, M.N.; Alshabrmi, F.M.; Palai, S.; Deb, P.K.; Devi, R. Dietary Polyphenols and Their Role in Oxidative Stress-Induced Human Diseases: Insights into Protective Effects, Antioxidant Potentials and Mechanism(s) of Action. Front. Pharmacol. 2022, 13, 806470. [Google Scholar] [CrossRef] [PubMed]
- Yahfoufi, N.; Alsadi, N.; Jambi, M.; Matar, C. The Immunomodulatory and Anti-Inflammatory Role of Polyphenols. Nutrients 2018, 10, 1618. [Google Scholar] [CrossRef] [PubMed]
- Otręba, M.; Kośmider, L.; Stojko, J.; Rzepecka-Stojko, A. Cardioprotective Activity of Selected Polyphenols Based on Epithelial and Aortic Cell Lines. A Review. Molecules 2020, 25, 5343. [Google Scholar] [CrossRef]
- Soto-Sánchez, J. Bioactivity of Natural Polyphenols as Antiparasitic Agents and Their Biochemical Targets. Mini-Rev. Med. Chem. 2022, 22, 2661–2677. [Google Scholar] [CrossRef] [PubMed]
- Bjørklund, G.; Shanaida, M.; Lysiuk, R.; Butnariu, M.; Peana, M.; Sarac, I.; Strus, O.; Smetanina, K.; Chirumbolo, S. Natural Compounds and Products from an Anti-Aging Perspective. Molecules 2022, 27, 7084. [Google Scholar] [CrossRef] [PubMed]
- Huang, Q.; Liu, X.; Zhao, G.; Hu, T.; Wang, Y. Potential and Challenges of Tannins as an Alternative to In-Feed Antibiotics for Farm Animal Production. Anim. Nutr. 2018, 4, 137–150. [Google Scholar] [CrossRef] [PubMed]
- Manso, T.; Lores, M.; de Miguel, T. Antimicrobial Activity of Polyphenols and Natural Polyphenolic Extracts on Clinical Isolates. Antibiotics 2021, 11, 46. [Google Scholar] [CrossRef] [PubMed]
- Rahman, M.d.M.; Rahaman, M.d.S.; Islam, M.d.R.; Rahman, F.; Mithi, F.M.; Alqahtani, T.; Almikhlafi, M.A.; Alghamdi, S.Q.; Alruwaili, A.S.; Hossain, M.d.S.; et al. Role of Phenolic Compounds in Human Disease: Current Knowledge and Future Prospects. Molecules 2021, 27, 233. [Google Scholar] [CrossRef] [PubMed]
- Valko, M.; Leibfritz, D.; Moncol, J.; Cronin, M.T.D.; Mazur, M.; Telser, J. Free Radicals and Antioxidants in Normal Physiological Functions and Human Disease. Int. J. Biochem. Cell Biol. 2007, 39, 44–84. [Google Scholar] [CrossRef] [PubMed]
- Forman, H.J.; Torres, M.; Fukuto, J. Redox Signaling. Mol. Cell. Biochem. 2002, 234–235, 49–62. [Google Scholar]
- Ahmed, K.A.; Sawa, T.; Ihara, H.; Kasamatsu, S.; Yoshitake, J.; Rahaman, M.M.; Okamoto, T.; Fujii, S.; Akaike, T. Regulation by Mitochondrial Superoxide and NADPH Oxidase of Cellular Formation of Nitrated Cyclic GMP: Potential Implications for ROS Signalling. Biochem. J. 2012, 441, 719–730. [Google Scholar] [CrossRef]
- Sroka, Z.; Cisowski, W. Hydrogen Peroxide Scavenging, Antioxidant and Anti-Radical Activity of Some Phenolic Acids. Food Chem. Toxicol. 2003, 41, 753–758. [Google Scholar] [CrossRef]
- Saeidnia, S.; Abdollahi, M. Antioxidants: Friends or Foe in Prevention or Treatment of Cancer: The Debate of the Century. Toxicol. Appl. Pharmacol. 2013, 271, 49–63. [Google Scholar] [CrossRef]
- Li, R.; Jia, Z.; Trush, M.A. Defining ROS in Biology and Medicine. React. Oxyg. Species (Apex) 2016, 1, 9–21. [Google Scholar] [CrossRef] [PubMed]
- Jakubczyk, K.; Dec, K.; Kałduńska, J.; Kawczuga, D.; Kochman, J.; Janda, K. Reactive Oxygen Species—Sources, Functions, Oxidative Damage. Pol. Merkur. Lekarski 2020, 48, 124–127. [Google Scholar]
- Kejík, Z.; Kaplánek, R.; Masařík, M.; Babula, P.; Matkowski, A.; Filipenský, P.; Veselá, K.; Gburek, J.; Sýkora, D.; Martásek, P.; et al. Iron Complexes of Flavonoids-Antioxidant Capacity and Beyond. Int. J. Mol. Sci. 2021, 22, 646. [Google Scholar] [CrossRef] [PubMed]
- Perron, N.R.; Brumaghim, J.L. A Review of the Antioxidant Mechanisms of Polyphenol Compounds Related to Iron Binding. Cell Biochem. Biophys. 2009, 53, 75–100. [Google Scholar] [CrossRef]
- Nabavi, S.F.; Barber, A.J.; Spagnuolo, C.; Russo, G.L.; Daglia, M.; Nabavi, S.M.; Sobarzo-Sánchez, E. Nrf2 as Molecular Target for Polyphenols: A Novel Therapeutic Strategy in Diabetic Retinopathy. Crit. Rev. Clin. Lab. Sci. 2016, 53, 293–312. [Google Scholar] [CrossRef]
- Das, J.; Ramani, R.; Suraju, M.O. Polyphenol Compounds and PKC Signaling. Biochim. Biophys. Acta (BBA)-Gen. Subj. 2016, 1860, 2107–2121. [Google Scholar] [CrossRef]
- Musashi, M.; Ota, S.; Shiroshita, N. The Role of Protein Kinase C Isoforms in Cell Proliferation and Apoptosis. Int. J. Hematol. 2000, 72, 12–19. [Google Scholar] [PubMed]
- Bononi, A.; Agnoletto, C.; De Marchi, E.; Marchi, S.; Patergnani, S.; Bonora, M.; Giorgi, C.; Missiroli, S.; Poletti, F.; Rimessi, A.; et al. Protein Kinases and Phosphatases in the Control of Cell Fate. Enzym. Res. 2011, 2011, 329098. [Google Scholar] [CrossRef]
- Alsanosi, S.M.M.; Skiffington, C.; Padmanabhan, S. Pharmacokinetic Pharmacogenomics. In Handbook of Pharmacogenomics and Stratified Medicine; Elsevier: Amsterdam, The Netherlands, 2014; pp. 341–364. ISBN 978-0-12-386882-4. [Google Scholar]
- Yang, Y.; Zhao, Y.; Yu, A.; Sun, D.; Yu, L.X. Oral Drug Absorption. In Developing Solid Oral Dosage Forms; Elsevier: Amsterdam, The Netherlands, 2017; pp. 331–354. ISBN 978-0-12-802447-8. [Google Scholar]
- D’Archivio, M.; Filesi, C.; Varì, R.; Scazzocchio, B.; Masella, R. Bioavailability of the Polyphenols: Status and Controversies. Int. J. Mol. Sci. 2010, 11, 1321–1342. [Google Scholar] [CrossRef]
- Crozier, A.; Jaganath, I.B.; Clifford, M.N. Dietary Phenolics: Chemistry, Bioavailability and Effects on Health. Nat. Prod. Rep. 2009, 26, 1001–1043. [Google Scholar] [CrossRef]
- Scalbert, A.; Williamson, G. Dietary Intake and Bioavailability of Polyphenols. J. Nutr. 2000, 130, 2073S–2085S. [Google Scholar] [CrossRef] [PubMed]
- Liu, Z.; Hu, M. Natural Polyphenol Disposition via Coupled Metabolic Pathways. Expert Opin. Drug Metab. Toxicol. 2007, 3, 389–406. [Google Scholar] [CrossRef] [PubMed]
- Bohn, T. Dietary Factors Affecting Polyphenol Bioavailability. Nutr. Rev. 2014, 72, 429–452. [Google Scholar] [CrossRef]
- Manach, C.; Scalbert, A.; Morand, C.; Rémésy, C.; Jiménez, L. Polyphenols: Food Sources and Bioavailability. Am. J. Clin. Nutr. 2004, 79, 727–747. [Google Scholar] [CrossRef]
- Ajila, C.M.; Prasada Rao, U.J.S. Mango Peel Dietary Fibre: Composition and Associated Bound Phenolics. J. Funct. Foods 2013, 5, 444–450. [Google Scholar] [CrossRef]
- Bordenave, N.; Hamaker, B.R.; Ferruzzi, M.G. Nature and Consequences of Non-Covalent Interactions between Flavonoids and Macronutrients in Foods. Food Funct. 2014, 5, 18–34. [Google Scholar] [CrossRef]
- Dona, A.M. Enhancing Antioxidant Activity and Extractability of Bioactive Compounds of Wheat Bran Using Thermal Treatments. Master’s Thesis, University of Manitoba, Winnipeg, MB, Canada, 2011. [Google Scholar]
- Pekkinen, J.; Rosa, N.N.; Savolainen, O.-I.; Keski-Rahkonen, P.; Mykkänen, H.; Poutanen, K.; Micard, V.; Hanhineva, K. Disintegration of Wheat Aleurone Structure Has an Impact on the Bioavailability of Phenolic Compounds and Other Phytochemicals as Evidenced by Altered Urinary Metabolite Profile of Diet-Induced Obese Mice. Nutr. Metab. 2014, 11, 1. [Google Scholar] [CrossRef] [PubMed]
- Wang, X.; Qi, Y.; Zheng, H. Dietary Polyphenol, Gut Microbiota, and Health Benefits. Antioxidants 2022, 11, 1212. [Google Scholar] [CrossRef] [PubMed]
- Haslam, E. Vegetable Tannins—Lessons of a Phytochemical Lifetime. Phytochemistry 2007, 68, 2713–2721. [Google Scholar] [CrossRef] [PubMed]
- Duval, B.; Shetty, K.; Thomas, W.H. Phenolic Compounds and Antioxidant Properties in the Snow Alga Chlamydomonas Nivalis after Exposure to UV Light. J. Appl. Phycol. 1999, 11, 559–566. [Google Scholar] [CrossRef]
- Bilal Hussain, M.; Hassan, S.; Waheed, M.; Javed, A.; Adil Farooq, M.; Tahir, A. Bioavailability and Metabolic Pathway of Phenolic Compounds. In Plant Physiological Aspects of Phenolic Compounds; Soto-Hernández, M., García-Mateos, R., Palma-Tenango, M., Eds.; IntechOpen: London, UK, 2019; ISBN 978-1-78984-033-9. [Google Scholar]
- Lippolis, T.; Cofano, M.; Caponio, G.R.; De Nunzio, V.; Notarnicola, M. Bioaccessibility and Bioavailability of Diet Polyphenols and Their Modulation of Gut Microbiota. Int. J. Mol. Sci. 2023, 24, 3813. [Google Scholar] [CrossRef]
- Biotransformation of Xenobiotics. Available online: https://accessbiomedicalscience.mhmedical.com/content.aspx?bookid=1540§ionid=92525461 (accessed on 18 October 2023).
- Meng, X.; Maliakal, P.; Lu, H.; Lee, M.-J.; Yang, C.S. Urinary and Plasma Levels of Resveratrol and Quercetin in Humans, Mice, and Rats after Ingestion of Pure Compounds and Grape Juice. J. Agric. Food Chem. 2004, 52, 935–942. [Google Scholar] [CrossRef]
- Laparra, J.M.; Sanz, Y. Interactions of Gut Microbiota with Functional Food Components and Nutraceuticals. Pharmacol. Res. 2010, 61, 219–225. [Google Scholar] [CrossRef]
- Marín, L.; Miguélez, E.M.; Villar, C.J.; Lombó, F. Bioavailability of Dietary Polyphenols and Gut Microbiota Metabolism: Antimicrobial Properties. BioMed Res. Int. 2015, 2015, 905215. [Google Scholar] [CrossRef]
- Butterfield, D.A.; Castegna, A.; Pocernich, C.B.; Drake, J.; Scapagnini, G.; Calabrese, V. Nutritional Approaches to Combat Oxidative Stress in Alzheimer’s Disease. J. Nutr. Biochem. 2002, 13, 444–461. [Google Scholar] [CrossRef] [PubMed]
- Stavenga, D.G.; Leertouwer, H.L.; Dudek, B.; van der Kooi, C.J. Coloration of Flowers by Flavonoids and Consequences of pH Dependent Absorption. Front. Plant Sci. 2021, 11, 600124. [Google Scholar] [CrossRef] [PubMed]
- Tomás-Barberán, F.A. The Handbook of Natural Flavonoids, 2 Volume Set, Edited by J.B. Harborne FRS and H. Baxter. Wiley, Chichester, 1999, 1838 pp. £595.00, ISBN 0 471 95893 X.: BOOK REVIEW. Phytochem. Anal. 2001, 12, 214. [Google Scholar] [CrossRef]
- Ormrod, D.P.; Landry, L.G.; Conklin, P.L. Short-Term UV-B Radiation and Ozone Exposure Effects on Aromatic Secondary Metabolite Accumulation and Shoot Growth of Flavonoid-Deficient Arabidopsis Mutants. Physiol. Plant 1995, 93, 602–610. [Google Scholar] [CrossRef]
- Dias, M.C.; Pinto, D.C.G.A.; Silva, A.M.S. Plant Flavonoids: Chemical Characteristics and Biological Activity. Molecules 2021, 26, 5377. [Google Scholar] [CrossRef]
- Wu, R.-Q.; Zhang, D.-F.; Tu, E.; Chen, Q.-M.; Chen, W. The Mucosal Immune System in the Oral Cavity-an Orchestra of T Cell Diversity. Int. J. Oral Sci. 2014, 6, 125–132. [Google Scholar] [CrossRef]
- Proctor, G.B.; Carpenter, G.H. Chewing Stimulates Secretion of Human Salivary Secretory Immunoglobulin A. J. Dent. Res. 2001, 80, 909–913. [Google Scholar] [CrossRef]
- Ahn-Jarvis, J.; Parihar, A.; Doseff, A. Dietary Flavonoids for Immunoregulation and Cancer: Food Design for Targeting Disease. Antioxidants 2019, 8, 202. [Google Scholar] [CrossRef] [PubMed]
- Ding, W.G.; Gromada, J. Protein Kinase A-Dependent Stimulation of Exocytosis in Mouse Pancreatic Beta-Cells by Glucose-Dependent Insulinotropic Polypeptide. Diabetes 1997, 46, 615–621. [Google Scholar] [CrossRef]
- Mojsov, S.; Weir, G.C.; Habener, J.F. Insulinotropin: Glucagon-like Peptide I (7-37) Co-Encoded in the Glucagon Gene Is a Potent Stimulator of Insulin Release in the Perfused Rat Pancreas. J. Clin. Investig. 1987, 79, 616–619. [Google Scholar] [CrossRef] [PubMed]
- Liu, Y.; Hu, M. Absorption and Metabolism of Flavonoids in the Caco-2 Cell Culture Model and a Perused Rat Intestinal Model. Drug Metab. Dispos. 2002, 30, 370–377. [Google Scholar] [CrossRef]
- Liu, Y.; Liu, Y.; Dai, Y.; Xun, L.; Hu, M. Enteric Disposition and Recycling of Flavonoids and Ginkgo Flavonoids. J. Altern. Complement. Med. 2003, 9, 631–640. [Google Scholar] [CrossRef] [PubMed]
- Dai, P.; Zhu, L.; Luo, F.; Lu, L.; Li, Q.; Wang, L.; Wang, Y.; Wang, X.; Hu, M.; Liu, Z. Triple Recycling Processes Impact Systemic and Local Bioavailability of Orally Administered Flavonoids. AAPS J. 2015, 17, 723–736. [Google Scholar] [CrossRef]
- Vitaglione, P.; Donnarumma, G.; Napolitano, A.; Galvano, F.; Gallo, A.; Scalfi, L.; Fogliano, V. Protocatechuic Acid Is the Major Human Metabolite of Cyanidin-Glucosides. J. Nutr. 2007, 137, 2043–2048. [Google Scholar] [CrossRef]
- Oteiza, P.I.; Fraga, C.G.; Mills, D.A.; Taft, D.H. Flavonoids and the Gastrointestinal Tract: Local and Systemic Effects. Mol. Aspects Med. 2018, 61, 41–49. [Google Scholar] [CrossRef]
- Peterson, L.W.; Artis, D. Intestinal Epithelial Cells: Regulators of Barrier Function and Immune Homeostasis. Nat. Rev. Immunol. 2014, 14, 141–153. [Google Scholar] [CrossRef]
- König, J.; Wells, J.; Cani, P.D.; García-Ródenas, C.L.; MacDonald, T.; Mercenier, A.; Whyte, J.; Troost, F.; Brummer, R.-J. Human Intestinal Barrier Function in Health and Disease. Clin. Transl. Gastroenterol. 2016, 7, e196. [Google Scholar] [CrossRef] [PubMed]
- Cassidy, A.; Minihane, A.-M. The Role of Metabolism (and the Microbiome) in Defining the Clinical Efficacy of Dietary Flavonoids. Am. J. Clin. Nutr. 2017, 105, 10–22. [Google Scholar] [CrossRef] [PubMed]
- Gwiazdowska, D.; Juś, K.; Jasnowska-Małecka, J.; Kluczyńska, K. The Impact of Polyphenols on Bifidobacterium Growth. Acta Biochim. Pol. 2015, 62, 895–901. [Google Scholar] [CrossRef] [PubMed]
- Szeja, W.; Grynkiewicz, G.; Rusin, A. Isoflavones, Their Glycosides and Glycoconjugates. Synthesis and Biological Activity. Curr. Org. Chem. 2017, 21, 218–235. [Google Scholar] [CrossRef]
- Hughes, C.L. Phytochemical Mimicry of Reproductive Hormones and Modulation of Herbivore Fertility by Phytoestrogens. Environ. Health Perspect. 1988, 78, 171–174. [Google Scholar] [CrossRef] [PubMed]
- Adams, N.R. Detection of the Effects of Phytoestrogens on Sheep and Cattle. J. Anim. Sci. 1995, 73, 1509–1515. [Google Scholar] [CrossRef] [PubMed]
- Bešlo, D.; Došlić, G.; Agić, D.; Rastija, V.; Šperanda, M.; Gantner, V.; Lučić, B. Polyphenols in Ruminant Nutrition and Their Effects on Reproduction. Antioxidants 2022, 11, 970. [Google Scholar] [CrossRef] [PubMed]
- Tassinari, V.; Smeriglio, A.; Stillittano, V.; Trombetta, D.; Zilli, R.; Tassinari, R.; Maranghi, F.; Frank, G.; Marcoccia, D.; Di Renzo, L. Endometriosis Treatment: Role of Natural Polyphenols as Anti-Inflammatory Agents. Nutrients 2023, 15, 2967. [Google Scholar] [CrossRef] [PubMed]
- Xueling, L.; Kun, M.A.; Wenhua, T.; Zhongkun, X.U.; Gang, L.; Chunyan, H.U.; Weiwei, M.; Chang, G.U.; Qi, G. Natural Products for Treatment of Premature Ovarian Failure: A Narrative Review. J. Tradit. Chin. Med. 2023, 43, 606–617. [Google Scholar] [CrossRef]
- Nacka-Aleksić, M.; Pirković, A.; Vilotić, A.; Bojić-Trbojević, Ž.; Jovanović Krivokuća, M.; Giampieri, F.; Battino, M.; Dekanski, D. The Role of Dietary Polyphenols in Pregnancy and Pregnancy-Related Disorders. Nutrients 2022, 14, 5246. [Google Scholar] [CrossRef] [PubMed]
- Canivenc-Lavier, M.-C.; Bennetau-Pelissero, C. Phytoestrogens and Health Effects. Nutrients 2023, 15, 317. [Google Scholar] [CrossRef]
- Swathi Krishna, S.; Kuriakose, B.B.; Lakshmi, P.K. Effects of Phytoestrogens on Reproductive Organ Health. Arch. Pharm. Res. 2022, 45, 849–864. [Google Scholar] [CrossRef]
- Wyse, J.; Latif, S.; Gurusinghe, S.; McCormick, J.; Weston, L.A.; Stephen, C.P. Phytoestrogens: A Review of Their Impacts on Reproductive Physiology and Other Effects upon Grazing Livestock. Animals 2022, 12, 2709. [Google Scholar] [CrossRef] [PubMed]
- Rizzo, G.; Feraco, A.; Storz, M.A.; Lombardo, M. The Role of Soy and Soy Isoflavones on Women’s Fertility and Related Outcomes: An Update. J. Nutr. Sci. 2022, 11, e17. [Google Scholar] [CrossRef] [PubMed]
- Ceccarelli, I.; Bioletti, L.; Peparini, S.; Solomita, E.; Ricci, C.; Casini, I.; Miceli, E.; Aloisi, A.M. Estrogens and Phytoestrogens in Body Functions. Neurosci. Biobehav. Rev. 2022, 132, 648–663. [Google Scholar] [CrossRef]
- Sirotkin, A.V.; Alwasel, S.H.; Harrath, A.H. The Influence of Plant Isoflavones Daidzein and Equol on Female Reproductive Processes. Pharmaceuticals 2021, 14, 373. [Google Scholar] [CrossRef] [PubMed]
- Akbaribazm, M.; Goodarzi, N.; Rahimi, M. Female Infertility and Herbal Medicine: An Overview of the New Findings. Food Sci. Nutr. 2021, 9, 5869–5882. [Google Scholar] [CrossRef]
- Chadha, R.; Bhalla, Y.; Jain, A.; Chadha, K.; Karan, M. Dietary Soy Isoflavone: A Mechanistic Insight. Nat. Prod. Commun. 2017, 12, 627–634. [Google Scholar] [CrossRef]
- Bhat, S.S.; Prasad, S.K.; Shivamallu, C.; Prasad, K.S.; Syed, A.; Reddy, P.; Cull, C.A.; Amachawadi, R.G. Genistein: A Potent Anti-Breast Cancer Agent. Curr. Issues Mol. Biol. 2021, 43, 1502–1517. [Google Scholar] [CrossRef]
- Varinska, L.; Gal, P.; Mojzisova, G.; Mirossay, L.; Mojzis, J. Soy and Breast Cancer: Focus on Angiogenesis. Int. J. Mol. Sci. 2015, 16, 11728–11749. [Google Scholar] [CrossRef] [PubMed]
- Santa, K.; Watanabe, K.; Kumazawa, Y.; Nagaoka, I. Phytochemicals and Vitamin D for a Healthy Life and Prevention of Diseases. Int. J. Mol. Sci. 2023, 24, 12167. [Google Scholar] [CrossRef] [PubMed]
- Messina, M.; Nagata, C.; Wu, A.H. Estimated Asian Adult Soy Protein and Isoflavone Intakes. Nutr. Cancer 2006, 55, 1–12. [Google Scholar] [CrossRef]
- Jefferson, W.N. Adult Ovarian Function Can Be Affected by High Levels of Soy. J. Nutr. 2010, 140, 2322S–2325S. [Google Scholar] [CrossRef]
- Pinto, L.; Tapia-Rodríguez, M.R.; Baruzzi, F.; Ayala-Zavala, J.F. Plant Antimicrobials for Food Quality and Safety: Recent Views and Future Challenges. Foods 2023, 12, 2315. [Google Scholar] [CrossRef] [PubMed]
- Duda-Chodak, A.; Tarko, T. Possible Side Effects of Polyphenols and Their Interactions with Medicines. Molecules 2023, 28, 2536. [Google Scholar] [CrossRef] [PubMed]
- Preedy, V.R. Isoflavones: Chemistry, Analysis, Function and Effects; Royal Society of Chemistry: Cambridge, UK, 2012; ISBN 978-1-84973-509-4. [Google Scholar]
- Kurzer, M.S.; Xu, X. Dietary Phytoestrogens. Annu. Rev. Nutr. 1997, 17, 353–381. [Google Scholar] [CrossRef]
- Chen, L.-R.; Chen, K.-H. Utilization of Isoflavones in Soybeans for Women with Menopausal Syndrome: An Overview. Int. J. Mol. Sci. 2021, 22, 3212. [Google Scholar] [CrossRef]
- Thangavel, P.; Puga-Olguín, A.; Rodríguez-Landa, J.F.; Zepeda, R.C. Genistein as Potential Therapeutic Candidate for Menopausal Symptoms and Other Related Diseases. Molecules 2019, 24, 3892. [Google Scholar] [CrossRef]
- Ahmed, H.; Abdelraheem, A.; Salem, M.; Sabry, M.; Fekry, N.; Mohamed, F.; Saber, A.; Piatti, D.; Sabry, M.; Sabry, O.; et al. Suppression of Breast Cancer: Modulation of Estrogen Receptor and Downregulation of Gene Expression Using Natural Products. Nat. Prod. Res. 2023, 1–10. [Google Scholar] [CrossRef]
- Zaheer, K.; Humayoun Akhtar, M. An Updated Review of Dietary Isoflavones: Nutrition, Processing, Bioavailability and Impacts on Human Health. Crit. Rev. Food Sci. Nutr. 2017, 57, 1280–1293. [Google Scholar] [CrossRef] [PubMed]
- van Duursen, M.B.M. Modulation of Estrogen Synthesis and Metabolism by Phytoestrogens in Vitro and the Implications for Women’s Health. Toxicol. Res. 2017, 6, 772–794. [Google Scholar] [CrossRef] [PubMed]
- Pintova, S.; Dharmupari, S.; Moshier, E.; Zubizarreta, N.; Ang, C.; Holcombe, R.F. Genistein Combined with FOLFOX or FOLFOX-Bevacizumab for the Treatment of Metastatic Colorectal Cancer: Phase I/II Pilot Study. Cancer Chemother. Pharmacol. 2019, 84, 591–598. [Google Scholar] [CrossRef]
- Andersen, C.; Nielsen, T.S.; Purup, S.; Kristensen, T.; Eriksen, J.; Søegaard, K.; Sørensen, J.; Fretté, X.C. Phyto-Oestrogens in Herbage and Milk from Cows Grazing White Clover, Red Clover, Lucerne or Chicory-Rich Pastures. Animal 2009, 3, 1189–1195. [Google Scholar] [CrossRef] [PubMed]
- Jacobsen, B.K.; Jaceldo-Siegl, K.; Knutsen, S.F.; Fan, J.; Oda, K.; Fraser, G.E. Soy Isoflavone Intake and the Likelihood of Ever Becoming a Mother: The Adventist Health Study-2. Int. J. Womens Health 2014, 6, 377–384. [Google Scholar] [CrossRef] [PubMed]
- Pasquariello, R.; Verdile, N.; Brevini, T.A.L.; Gandolfi, F.; Boiti, C.; Zerani, M.; Maranesi, M. The Role of Resveratrol in Mammalian Reproduction. Molecules 2020, 25, 4554. [Google Scholar] [CrossRef] [PubMed]
- Zhu, Q.; Han, C.; Peng, C.; Zhou, X.; Wang, C.; Han, L.; Li, S.; Li, G.; Lin, H.; Zhang, Y. Identification of Potential Sex-Related Genes in Siniperca Chuatsi. J. Ocean. Limnol. 2021, 39, 1500–1512. [Google Scholar] [CrossRef]
- Baker, M.E.; Lathe, R. The Promiscuous Estrogen Receptor: Evolution of Physiological Estrogens and Response to Phytochemicals and Endocrine Disruptors. J. Steroid Biochem. Mol. Biol. 2018, 184, 29–37. [Google Scholar] [CrossRef] [PubMed]
- Stahl, S.; Chun, T.Y.; Gray, W.G. Phytoestrogens Act as Estrogen Agonists in an Estrogen-Responsive Pituitary Cell Line. Toxicol. Appl. Pharmacol. 1998, 152, 41–48. [Google Scholar] [CrossRef]
- Akiyama, T.; Ishida, J.; Nakagawa, S.; Ogawara, H.; Watanabe, S.; Itoh, N.; Shibuya, M.; Fukami, Y. Genistein, a Specific Inhibitor of Tyrosine-Specific Protein Kinases. J. Biol. Chem. 1987, 262, 5592–5595. [Google Scholar] [CrossRef]
- van der Meijden, P.E.J.; Feijge, M.A.H.; Swieringa, F.; Gilio, K.; Nergiz-Unal, R.; Hamulyák, K.; Heemskerk, J.W.M. Key Role of Integrin α(IIb)β (3) Signaling to Syk Kinase in Tissue Factor-Induced Thrombin Generation. Cell. Mol. Life Sci. 2012, 69, 3481–3492. [Google Scholar] [CrossRef]
- Melani, R.; Tomati, V.; Galietta, L.J.V.; Zegarra-Moran, O. Modulation of Cystic Fibrosis Transmembrane Conductance Regulator (CFTR) Activity and Genistein Binding by Cytosolic pH. J. Biol. Chem. 2010, 285, 41591–41596. [Google Scholar] [CrossRef]
- Vera, J.C.; Reyes, A.M.; Cárcamo, J.G.; Velásquez, F.V.; Rivas, C.I.; Zhang, R.H.; Strobel, P.; Iribarren, R.; Scher, H.I.; Slebe, J.C. Genistein Is a Natural Inhibitor of Hexose and Dehydroascorbic Acid Transport through the Glucose Transporter, GLUT1. J. Biol. Chem. 1996, 271, 8719–8724. [Google Scholar] [CrossRef]
- Bazuine, M.; van den Broek, P.J.A.; Maassen, J.A. Genistein Directly Inhibits GLUT4-Mediated Glucose Uptake in 3T3-L1 Adipocytes. Biochem. Biophys. Res. Commun. 2005, 326, 511–514. [Google Scholar] [CrossRef]
- Zhang, S.; Long, F.; Lin, H.; Wang, X.; Jiang, G.; Wang, T. Regulatory Roles of Phytochemicals on Circular RNAs in Cancer and Other Chronic Diseases. Pharmacol. Res. 2021, 174, 105936. [Google Scholar] [CrossRef] [PubMed]
- Xiong, J.; Tian, Y.; Ling, A.; Liu, Z.; Zhao, L.; Cheng, G. Genistein Affects Gonadotrophin-Releasing Hormone Secretion in GT1-7 Cells via Modulating Kisspeptin Receptor and Key Regulators. Syst. Biol. Reprod. Med. 2022, 68, 138–150. [Google Scholar] [CrossRef] [PubMed]
- Vanhees, K.; Coort, S.; Ruijters, E.J.B.; Godschalk, R.W.L.; van Schooten, F.J.; Barjesteh van Waalwijk van Doorn-Khosrovani, S. Epigenetics: Prenatal Exposure to Genistein Leaves a Permanent Signature on the Hematopoietic Lineage. FASEB J. 2011, 25, 797–807. [Google Scholar] [CrossRef] [PubMed]
- Selvaraj, V.; Bunick, D.; Finnigan-Bunick, C.; Johnson, R.W.; Wang, H.; Liu, L.; Cooke, P.S. Gene Expression Profiling of 17β-Estradiol and Genistein Effects on Mouse Thymus. Toxicol. Sci. 2005, 87, 97–112. [Google Scholar] [CrossRef] [PubMed]
- Rice, L.; Handayani, R.; Cui, Y.; Medrano, T.; Samedi, V.; Baker, H.; Szabo, N.J.; Rosser, C.J.; Goodison, S.; Shiverick, K.T. Soy Isoflavones Exert Differential Effects on Androgen Responsive Genes in LNCaP Human Prostate Cancer Cells. J. Nutr. 2007, 137, 964–972. [Google Scholar] [CrossRef]
- Zhang, T.; Chi, X.-X.; Kong, F.-X.; Chu, X.-L. Effect of Genistein on the Gene and Protein Expressions of CXCL-12 and EGR-1 in the Rat Ovary. J. Anim. Physiol. Anim. Nutr. 2021, 105, 191–197. [Google Scholar] [CrossRef] [PubMed]
- Ho, S.-M.; Cheong, A.; Adgent, M.A.; Veevers, J.; Suen, A.A.; Tam, N.N.C.; Leung, Y.-K.; Jefferson, W.N.; Williams, C.J. Environmental Factors, Epigenetics, and Developmental Origin of Reproductive Disorders. Reprod. Toxicol. 2017, 68, 85–104. [Google Scholar] [CrossRef] [PubMed]
- Padilla-Banks, E.; Jefferson, W.N.; Myers, P.H.; Goulding, D.R.; Williams, C.J. Neonatal Phytoestrogen Exposure Causes Hypospadias in Female Mice. Mol. Reprod. Dev. 2012, 79, 3. [Google Scholar] [CrossRef] [PubMed]
- Bromer, J.G.; Wu, J.; Zhou, Y.; Taylor, H.S. Hypermethylation of Homeobox A10 by in Utero Diethylstilbestrol Exposure: An Epigenetic Mechanism for Altered Developmental Programming. Endocrinology 2009, 150, 3376–3382. [Google Scholar] [CrossRef] [PubMed][Green Version]
- Tang, W.-Y.; Newbold, R.; Mardilovich, K.; Jefferson, W.; Cheng, R.Y.S.; Medvedovic, M.; Ho, S.-M. Persistent Hypomethylation in the Promoter of Nucleosomal Binding Protein 1 (Nsbp1) Correlates with Overexpression of Nsbp1 in Mouse Uteri Neonatally Exposed to Diethylstilbestrol or Genistein. Endocrinology 2008, 149, 5922–5931. [Google Scholar] [CrossRef] [PubMed]
- Greathouse, K.L.; Bredfeldt, T.; Everitt, J.I.; Lin, K.; Berry, T.; Kannan, K.; Mittelstadt, M.L.; Ho, S.; Walker, C.L. Environmental Estrogens Differentially Engage the Histone Methyltransferase EZH2 to Increase Risk of Uterine Tumorigenesis. Mol. Cancer Res. 2012, 10, 546–557. [Google Scholar] [CrossRef] [PubMed]
- Bennetts, H.W.; Underwood, E.J. The Oestrogenic Effects of Subterranean Clover (Trifolium Subterraneum); Uterine Maintenance in the Ovariectomised Ewe on Clover Grazing. Aust. J. Exp. Biol. Med. Sci. 1951, 29, 249–253. [Google Scholar] [CrossRef] [PubMed]
- Tucak, M.; Horvat, D.; Cupic, T.; Krizmanic, G.; Tomas, V.; Ravlic, M.; Popovic, S. Forage Legumes as Sources of Bioactive Phytoestrogens for Use in Pharmaceutics: A Review. Curr. Pharm. Biotechnol. 2018, 19, 537–544. [Google Scholar] [CrossRef]
- Setchell, K.D.R.; Gosselin, S.J.; Welsh, M.B.; Johnston, J.O.; Balistreri, W.F.; Kramer, L.W.; Dresser, B.L.; Tarr, M.J. Dietary Estrogens—A Probable Cause of Infertility and Liver Disease in Captive Cheetahs. Gastroenterology 1987, 93, 225–233. [Google Scholar] [CrossRef]
- Boettger-Tong, H.; Murthy, L.; Chiappetta, C.; Kirkland, J.L.; Goodwin, B.; Adlercreutz, H.; Stancel, G.M.; Mäkelä, S. A Case of a Laboratory Animal Feed with High Estrogenic Activity and Its Impact on in Vivo Responses to Exogenously Administered Estrogens. Environ. Health Perspect. 1998, 106, 369–373. [Google Scholar] [CrossRef] [PubMed]
- Jefferson, W.; Padillabanks, E.; Newbold, R. Disruption of the Female Reproductive System by the Phytoestrogen Genistein. Reprod. Toxicol. 2007, 23, 308–316. [Google Scholar] [CrossRef]
- Krisher, R.L. In Vivo and in Vitro Environmental Effects on Mammalian Oocyte Quality. Annu. Rev. Anim. Biosci. 2013, 1, 393–417. [Google Scholar] [CrossRef] [PubMed]
- Nasimi Doost Azgomi, R.; Moini Jazani, A.; Karimi, A.; Pourreza, S. Potential Roles of Genistein in Polycystic Ovary Syndrome: A Comprehensive Systematic Review. Eur. J. Pharmacol. 2022, 933, 175275. [Google Scholar] [CrossRef]
- Amanat, S.; Ashkar, F.; Eftekhari, M.H.; Tanideh, N.; Doaei, S.; Gholamalizadeh, M.; Koohpeyma, F.; Mokhtari, M. The Effect of Genistein on Insulin Resistance, Inflammatory Factors, Lipid Profile, and Histopathologic Indices in Rats with Polycystic Ovary Syndrome. Clin. Exp. Reprod. Med. 2021, 48, 236–244. [Google Scholar] [CrossRef]
- Luo, M.; Yang, Z.; Huang, J.; Wang, Y.; Guo, B.; Yue, Z. Genistein Protects Ovarian Granulosa Cells from Oxidative Stress via cAMP-PKA Signaling. Cell Biol. Int. 2020, 44, 433–445. [Google Scholar] [CrossRef] [PubMed]
- Kaplanski, O.; Shemesh, M.; Berman, A. Effects of Phyto-Oestrogens on Progesterone Synthesis by Isolated Bovine Granulosa Cells. J. Endocrinol. 1981, 89, 343–348. [Google Scholar] [CrossRef] [PubMed]
- Legault, S.; Bailey, J.L.; Fortier, M.A.; Rouillier, P.; Guilbault, L.A. Intracellular Regulation of Estradiol and Progesterone Production by Cultured Bovine Granulosa Cells. Mol. Reprod. Dev. 1999, 54, 371–378. [Google Scholar] [CrossRef]
- Chakravorty, A.; Joslyn, M.I.; Davis, J.S. Characterization of Insulin and Insulin-like Growth Factor-I Actions in the Bovine Luteal Cell: Regulation of Receptor Tyrosine Kinase Activity, Phosphatidylinositol-3-Kinase, and Deoxyribonucleic Acid Synthesis. Endocrinology 1993, 133, 1331–1340. [Google Scholar] [CrossRef] [PubMed]
- Sirotkin, A.V.; Taradajnik, T.E.; Makarevich, A.V.; Bulla, J. Effect of Follicular Cells, IGF-I and Tyrosine Kinase Blockers on Oocyte Maturation. Anim. Reprod. Sci. 1998, 51, 333–344. [Google Scholar] [CrossRef]
- Gregoraszczuk, E.; Słomczyńska, M.; Stokłosowa, S. Effect of Genistein, Tyrphostin and Herbimycin on Prolactin-Stimulated Progesterone Production by Porcine Theca and Luteal Cells. J. Physiol. Pharmacol. 1999, 50, 477–484. [Google Scholar] [PubMed]
- Lebedeva, I.Y.; Singina, G.N.; Volkova, N.A.; Vejlsted, M.; Zinovieva, N.A.; Schmidt, M. Prolactin Affects Bovine Oocytes through Direct and Cumulus-Mediated Pathways. Theriogenology 2014, 82, 1154–1164. [Google Scholar] [CrossRef] [PubMed]
- Makarevich, A.; Sirotkin, A.; Taradajnik, T.; Chrenek, P. Effects of Genistein and Lavendustin on Reproductive Processes in Domestic Animals in Vitro. J. Steroid Biochem. Mol. Biol. 1997, 63, 329–337. [Google Scholar] [CrossRef]
- Voss, A.K.; Fortune, J.E. Estradiol-17 Beta Has a Biphasic Effect on Oxytocin Secretion by Bovine Granulosa Cells. Biol. Reprod. 1993, 48, 1404–1409. [Google Scholar] [CrossRef] [PubMed]
- Mlynarczuk, J.; Wrobel, M.H.; Kotwica, J. The Adverse Effect of Phytoestrogens on the Synthesis and Secretion of Ovarian Oxytocin in Cattle. Reprod. Domest. Anim. 2011, 46, 21–28. [Google Scholar] [CrossRef] [PubMed]
- Gimpl, G.; Fahrenholz, F. The Oxytocin Receptor System: Structure, Function, and Regulation. Physiol. Rev. 2001, 81, 629–683. [Google Scholar] [CrossRef] [PubMed]
- Liu, X.; Li, F.; Xie, J.; Huang, D.; Xie, M. Fetal and Neonatal Genistein Exposure Aggravates to Interfere with Ovarian Follicle Development of Obese Female Mice Induced by High-Fat Diet. Food Chem. Toxicol. 2020, 135, 110982. [Google Scholar] [CrossRef] [PubMed]
- Rodriguez-Gomez, A.; Filice, F.; Gotti, S.; Panzica, G. Perinatal Exposure to Genistein Affects the Normal Development of Anxiety and Aggressive Behaviors and Nitric Oxide System in CD1 Male Mice. Physiol. Behav. 2014, 133, 107–114. [Google Scholar] [CrossRef] [PubMed]
- Ball, E.R.; Caniglia, M.K.; Wilcox, J.L.; Overton, K.A.; Burr, M.J.; Wolfe, B.D.; Sanders, B.J.; Wisniewski, A.B.; Wrenn, C.C. Effects of Genistein in the Maternal Diet on Reproductive Development and Spatial Learning in Male Rats. Horm. Behav. 2010, 57, 313–322. [Google Scholar] [CrossRef]
- Amir, A.A.; Kelly, J.M.; Kleemann, D.O.; Durmic, Z.; Blache, D.; Martin, G.B. Phyto-Oestrogens Affect Fertilisation and Embryo Development in Vitro in Sheep. Reprod. Fertil. Dev. 2018, 30, 1109–1115. [Google Scholar] [CrossRef]
- Ekambaram, P.; Balan, C.; Susai, C.J.M. Genistein Attenuates Oxidative Damage in Preeclamptic Placental Trophoblast. Hypertens. Pregnancy 2016, 35, 250–263. [Google Scholar] [CrossRef] [PubMed]
- Hilakivi-Clarke, L.; Cho, E.; Onojafe, I.; Raygada, M.; Clarke, R. Maternal Exposure to Genistein during Pregnancy Increases Carcinogen-Induced Mammary Tumorigenesis in Female Rat Offspring. Oncol. Rep. 1999, 6, 1089–1095. [Google Scholar] [CrossRef] [PubMed]
- Farmer, C.; Robertson, P.; Xiao, C.W.; Rehfeldt, C.; Kalbe, C. Exogenous Genistein in Late Gestation: Effects on Fetal Development and Sow and Piglet Performance. Animal 2016, 10, 1423–1430. [Google Scholar] [CrossRef]
- Guo, T.L.; Lefever, D.E.; Nagy, T.; Meng, A.H. In Utero Exposure to Genistein Decreased Intranasal House Dust Mite-Induced Respiratory Allergy in Middle-Aged Male B6C3F1 Offspring. Toxicol. Lett. 2020, 333, 222–231. [Google Scholar] [CrossRef]
- Michikawa, T.; Yamazaki, S.; Ono, M.; Kuroda, T.; Nakayama, S.F.; Suda, E.; Isobe, T.; Iwai-Shimada, M.; Kobayashi, Y.; Yonemoto, J.; et al. Isoflavone Intake in Early Pregnancy and Hypospadias in the Japan Environment and Children’s Study. Urology 2019, 124, 229–236. [Google Scholar] [CrossRef] [PubMed]
- Balakrishnan, B.; Thorstensen, E.B.; Ponnampalam, A.P.; Mitchell, M.D. Transplacental Transfer and Biotransformation of Genistein in Human Placenta. Placenta 2010, 31, 506–511. [Google Scholar] [CrossRef] [PubMed]
- Jarrell, J.; Foster, W.G.; Kinniburgh, D.W. Phytoestrogens in Human Pregnancy. Obs. Gynecol. Int. 2012, 2012, 850313. [Google Scholar] [CrossRef]
- Huang, H.; Li, L.; Wang, Y.; Tang, L.Y.; Wang, C.C.; Leung, L.K. Genistein Upregulates Placental Corticotropin-Releasing Hormone Expression in Lipopolysaccharide-Sensitized Mice. Placenta 2011, 32, 757–762. [Google Scholar] [CrossRef] [PubMed]
- Zhang, Y.B.; Yan, J.D.; Yang, S.Q.; Guo, J.P.; Zhang, X.; Sun, X.X.; Na, X.L.; Dai, S.C. Maternal Genistein Intake Can Reduce Body Weight in Male Offspring. Biomed. Environ. Sci. 2015, 28, 769–772. [Google Scholar] [CrossRef]
- Awobajo, F.O.; Medobi, E.F.; Abdul, M.W.; Aminu, B.B.; Ojimma, C.T.; Dada, O.G. The Effect of Genistein on IGF-1, PlGF, sFLT-1 and Fetoplacental Development. Gen. Comp. Endocrinol. 2022, 329, 114122. [Google Scholar] [CrossRef] [PubMed]
- Patel, S.; Hartman, J.A.; Helferich, W.G.; Flaws, J.A. Preconception Exposure to Dietary Levels of Genistein Affects Female Reproductive Outcomes. Reprod. Toxicol. 2017, 74, 174–180. [Google Scholar] [CrossRef] [PubMed]
- Napier, I.D.; Simon, L.; Perry, D.; Cooke, P.S.; Stocco, D.M.; Sepehr, E.; Doerge, D.R.; Kemppainen, B.W.; Morrison, E.E.; Akingbemi, B.T. Testicular Development in Male Rats Is Sensitive to a Soy-Based Diet in the Neonatal Period. Biol. Reprod. 2014, 90, 40. [Google Scholar] [CrossRef]
- Applegate, C.C.; Rowles, J.L.; Ranard, K.M.; Jeon, S.; Erdman, J.W. Soy Consumption and the Risk of Prostate Cancer: An Updated Systematic Review and Meta-Analysis. Nutrients 2018, 10, 40. [Google Scholar] [CrossRef]
- Messina, M.; Mejia, S.B.; Cassidy, A.; Duncan, A.; Kurzer, M.; Nagato, C.; Ronis, M.; Rowland, I.; Sievenpiper, J.; Barnes, S. Neither Soyfoods nor Isoflavones Warrant Classification as Endocrine Disruptors: A Technical Review of the Observational and Clinical Data. Crit. Rev. Food Sci. Nutr. 2022, 62, 5824–5885. [Google Scholar] [CrossRef] [PubMed]
- Domínguez-López, I.; Yago-Aragón, M.; Salas-Huetos, A.; Tresserra-Rimbau, A.; Hurtado-Barroso, S. Effects of Dietary Phytoestrogens on Hormones throughout a Human Lifespan: A Review. Nutrients 2020, 12, 2456. [Google Scholar] [CrossRef]
- Ronis, M.J.J.; Gomez-Acevedo, H.; Shankar, K.; Hennings, L.; Sharma, N.; Blackburn, M.L.; Miousse, I.; Dawson, H.; Chen, C.; Mercer, K.E.; et al. Soy Formula Is Not Estrogenic and Does Not Result in Reproductive Toxicity in Male Piglets: Results from a Controlled Feeding Study. Nutrients 2022, 14, 1126. [Google Scholar] [CrossRef] [PubMed]
- Suen, A.A.; Kenan, A.C.; Williams, C.J. Developmental Exposure to Phytoestrogens Found in Soy: New Findings and Clinical Implications. Biochem. Pharmacol. 2022, 195, 114848. [Google Scholar] [CrossRef] [PubMed]
- Beekmann, K.; de Haan, L.H.J.; Actis-Goretta, L.; Houtman, R.; van Bladeren, P.J.; Rietjens, I.M.C.M. The Effect of Glucuronidation on Isoflavone Induced Estrogen Receptor (ER)α and ERβ Mediated Coregulator Interactions. J. Steroid Biochem. Mol. Biol. 2015, 154, 245–253. [Google Scholar] [CrossRef] [PubMed]
- Wersinger, S.R.; Haisenleder, D.J.; Lubahn, D.B.; Rissman, E.F. Steroid Feedback on Gonadotropin Release and Pituitary Gonadotropin Subunit mRNA in Mice Lacking a Functional Estrogen Receptor Alpha. Endocrine 1999, 11, 137–143. [Google Scholar] [CrossRef]
- Hu, Y.; Wang, L.; Yang, G.; Wang, S.; Guo, M.; Lu, H.; Zhang, T. VDR Promotes Testosterone Synthesis in Mouse Leydig Cells via Regulation of Cholesterol Side Chain Cleavage Cytochrome P450 (Cyp11a1) Expression. Genes Genom. 2023, 45, 1377–1387. [Google Scholar] [CrossRef]
- Akingbemi, B.T.; Ge, R.; Rosenfeld, C.S.; Newton, L.G.; Hardy, D.O.; Catterall, J.F.; Lubahn, D.B.; Korach, K.S.; Hardy, M.P. Estrogen Receptor-Alpha Gene Deficiency Enhances Androgen Biosynthesis in the Mouse Leydig Cell. Endocrinology 2003, 144, 84–93. [Google Scholar] [CrossRef]
- Zhang, L.-D.; Li, H.-C.; Chong, T.; Gao, M.; Yin, J.; Fu, D.-L.; Deng, Q.; Wang, Z.-M. Prepubertal Exposure to Genistein Alleviates Di-(2-Ethylhexyl) Phthalate Induced Testicular Oxidative Stress in Adult Rats. Biomed. Res. Int. 2014, 2014, 598630. [Google Scholar] [CrossRef]
- Zhang, T.-D.; Ma, Y.-B.; Li, H.-C.; Chong, T.; Wang, Z.-M.; Zhang, L.-D. Low Dose of Genistein Alleviates Mono-(2-Ethylhexyl) Phthalate-Induced Fetal Testis Disorder Based on Organ Culture Model. Oxid. Med. Cell Longev. 2020, 2020, 4569268. [Google Scholar] [CrossRef]
- Al-Maghrebi, M.; Renno, W.M. Genistein Alleviates Testicular Ischemia and Reperfusion Injury-Induced Spermatogenic Damage and Oxidative Stress by Suppressing Abnormal Testicular Matrix Metalloproteinase System via the Notch 2/Jagged 1/Hes-1 and Caspase-8 Pathways. J. Physiol. Pharmacol. 2016, 67, 129–137. [Google Scholar] [PubMed]
- Zhang, L.; Li, H.; Gao, M.; Zhang, T.; Wu, Z.; Wang, Z.; Chong, T. Genistein Attenuates Di-(2-ethylhexyl) Phthalate-Induced Testicular Injuries via Activation of Nrf2/HO-1 Following Prepubertal Exposure. Int. J. Mol. Med. 2018, 41, 1437–1446. [Google Scholar] [CrossRef]
- Walker, C.; Ghazisaeidi, S.; Collet, B.; Boisvert, A.; Culty, M. In Utero Exposure to Low Doses of Genistein and Di-(2-Ethylhexyl) Phthalate (DEHP) Alters Innate Immune Cells in Neonatal and Adult Rat Testes. Andrology 2020, 8, 943–964. [Google Scholar] [CrossRef]
- Walker, C.; Boisvert, A.; Malusare, P.; Culty, M. Impact of Fetal Exposure to Endocrine Disrupting Chemical Mixtures on FOXA3 Gene and Protein Expression in Adult Rat Testes. Int. J. Mol. Sci. 2023, 24, 1211. [Google Scholar] [CrossRef]
- Lecante, L.L.; Gaye, B.; Delbes, G. Impact of in Utero Rat Exposure to 17Alpha-Ethinylestradiol or Genistein on Testicular Development and Germ Cell Gene Expression. Front. Toxicol. 2022, 4, 893050. [Google Scholar] [CrossRef]
- Clotfelter, E.D.; Gendelman, H.K. Exposure to Environmentally Relevant Concentrations of Genistein during Activation Does Not Affect Sperm Motility in the Fighting Fish Betta Splendens. Biomed. Res. Int. 2014, 2014, 865741. [Google Scholar] [CrossRef] [PubMed]
- Silvestre, M.A.; Vicente-Fiel, S.; Raga, E.; Salvador, I.; Soler, C.; Yániz, J.L. Effect of Genistein Added to Bull Semen after Thawing on Pronuclear and Sperm Quality. Anim. Reprod. Sci. 2015, 163, 120–127. [Google Scholar] [CrossRef] [PubMed]
- Caceres, S.; Crespo, B.; Alonso-Diez, A.; de Andrés, P.J.; Millan, P.; Silván, G.; Illera, M.J.; Illera, J.C. Long-Term Exposure to Isoflavones Alters the Hormonal Steroid Homeostasis-Impairing Reproductive Function in Adult Male Wistar Rats. Nutrients 2023, 15, 1261. [Google Scholar] [CrossRef] [PubMed]
- Corpuz-Hilsabeck, M.; Mohajer, N.; Culty, M. Dysregulation of Immature Sertoli Cell Functions by Exposure to Acetaminophen and Genistein in Rodent Cell Models. Cells 2023, 12, 1804. [Google Scholar] [CrossRef] [PubMed]
- Yuan, G.; Liu, Y.; Liu, G.; Wei, L.; Wen, Y.; Huang, S.; Guo, Y.; Zou, F.; Cheng, J. Associations between Semen Phytoestrogens Concentrations and Semen Quality in Chinese Men. Environ. Int. 2019, 129, 136–144. [Google Scholar] [CrossRef]
- Mumford, S.L.; Kim, S.; Chen, Z.; Boyd Barr, D.; Buck Louis, G.M. Urinary Phytoestrogens Are Associated with Subtle Indicators of Semen Quality among Male Partners of Couples Desiring Pregnancy. J. Nutr. 2015, 145, 2535–2541. [Google Scholar] [CrossRef] [PubMed]
- Hashem, N.M.; Abo-elsoud, M.A.; Nour El-Din, A.N.M.; Kamel, K.I.; Hassan, G.A. Prolonged Exposure of Dietary Phytoestrogens on Semen Characteristics and Reproductive Performance of Rabbit Bucks. Domest. Anim. Endocrinol. 2018, 64, 84–92. [Google Scholar] [CrossRef] [PubMed]








Disclaimer/Publisher’s Note: The statements, opinions and data contained in all publications are solely those of the individual author(s) and contributor(s) and not of MDPI and/or the editor(s). MDPI and/or the editor(s) disclaim responsibility for any injury to people or property resulting from any ideas, methods, instructions or products referred to in the content. |
© 2023 by the authors. Licensee MDPI, Basel, Switzerland. This article is an open access article distributed under the terms and conditions of the Creative Commons Attribution (CC BY) license (https://creativecommons.org/licenses/by/4.0/).
Share and Cite
Guelfi, G.; Pasquariello, R.; Anipchenko, P.; Capaccia, C.; Pennarossa, G.; Brevini, T.A.L.; Gandolfi, F.; Zerani, M.; Maranesi, M. The Role of Genistein in Mammalian Reproduction. Molecules 2023, 28, 7436. https://doi.org/10.3390/molecules28217436
Guelfi G, Pasquariello R, Anipchenko P, Capaccia C, Pennarossa G, Brevini TAL, Gandolfi F, Zerani M, Maranesi M. The Role of Genistein in Mammalian Reproduction. Molecules. 2023; 28(21):7436. https://doi.org/10.3390/molecules28217436
Chicago/Turabian StyleGuelfi, Gabriella, Rolando Pasquariello, Polina Anipchenko, Camilla Capaccia, Georgia Pennarossa, Tiziana A. L. Brevini, Fulvio Gandolfi, Massimo Zerani, and Margherita Maranesi. 2023. "The Role of Genistein in Mammalian Reproduction" Molecules 28, no. 21: 7436. https://doi.org/10.3390/molecules28217436
APA StyleGuelfi, G., Pasquariello, R., Anipchenko, P., Capaccia, C., Pennarossa, G., Brevini, T. A. L., Gandolfi, F., Zerani, M., & Maranesi, M. (2023). The Role of Genistein in Mammalian Reproduction. Molecules, 28(21), 7436. https://doi.org/10.3390/molecules28217436

