Flammability of Thick but Thermally Thin Materials including Bio-Based Materials
Abstract
1. Introduction
- -
- plants sequester CO2 during their growth, providing a resource with a positive carbon balance;
- -
- agro-resources present high intrinsic technical performances: thermal and acoustic insulation, water vapor regulation, good mechanical properties;
- -
- their valorization contributes to the development of territories and favors the development of activities in short circuits.
- -
- the sample mass;
- -
- the external heat flux;
- -
- the effective heat of combustion which is usually close to the heat of complete combustion for most materials [13].
2. Results
2.1. Fire Behavior of the Series A and B
2.2. Model Proposed to Predict the pHRR
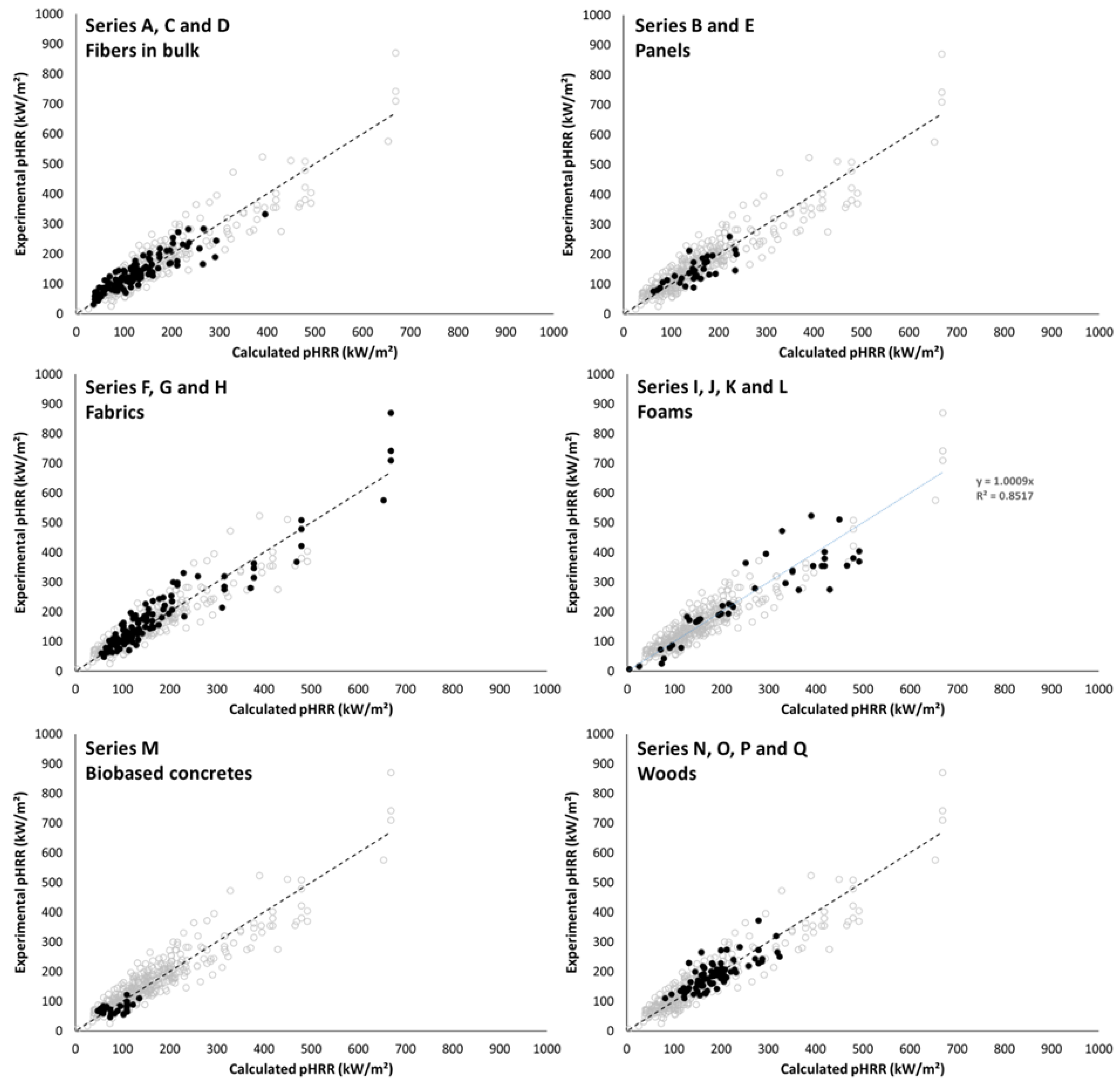
2.3. Assessment of the Model
- First, due to the low pHRR, a moderate absolute error results in a significant relative error (for example, an absolute error of 15 kW/m2 corresponds to a relative error of 21% when the pHRR is 70 kW/m2);
- second, these samples may be less homogeneous than other samples, therefore, the organic fraction at the surface may be slightly different from the fraction calculated over the whole volume;
- third, these materials contain several phases with different thermal stability and endothermic heat related to their pyrolysis or dehydration: the whole decomposition process may be more complex;
- finally, some additional effects are not considered by the model, especially that some plant fibers straighten under heating which increases the exposure of their surface to heat.
3. Discussion
- Scheme A: for very thin samples with an initial mass lower than approximately 4 g, such as most fabrics, the whole sample absorbs the heat flux from the cone calorimeter and is heated. There is almost no temperature gradient through the thickness. The whole mass contributes to the pHRR according to Equation (4). Note that, in that case, some flame-retardant strategies as the so-called barrier effect should not be effective, because the protective barrier is formed too late.
- Scheme B: for heavier but insulating samples, only a small part of sample (around 4 g) directly absorbs the heat flux from the cone calorimeter. The thermal conductivity is negligible, and then the underlying material is not heated by heat transfer (or this heating is too slow). Then, only the mass directly absorbing the heat flux contributes to pHRR. The HRR is reduced after pHRR because the residue layer (char in the case of lignocellulosic fibers or FR foams, or mineral fraction in the case of biobased concretes) blocks the radiative heat flux. When no residue is left, HRR may also be reduced because the sample surface regresses and the distance between the sample and the radiative cone increases. But the HRR reduction should be more limited. Indeed, in the case of non-charring PS foams, a stabilization rather than a sharp reduction in HRR is observed after pHRR (series L [23]).
- Scheme C: the pHRR of dense woods can also be predicted despite a significantly higher thermal conductivity. The reason may be that the reduction in radiative heat flux by the char formation dominates the heat conduction, resulting in a sharp decrease in HRR after few dozens of seconds. Note that such mechanism may also be expected for other classes of materials as charring polymers or polymers filled with high amounts of mineral fillers. Further investigations are needed to confirm this point. Even though these materials are not strictly thermally thin, the formation of this char, if it is fast enough, leads to a pHRR controlled mainly by the heat flux penetration depth. Therefore, our model can be still successfully used.
- two related to the test conditions (heat flux and presence/absence of grid),
- one related to the sample dimensions (initial mass),
- one related to the material (heat of combustion).
4. Materials and Methods
- -
- Overall, 26 bulk hemp fibers treated with commercial or lab-made flame-retardant systems—their density in sample holder is in the range of 40–60 kg/m³ depending on the formulation;
- -
- a total of 6 additional bulk fibers, including one from animal source (sheep’s wool)—their density is lower, in the range 20–30 kg/m³;
- -
- and 5 panels from various lignocellulosic fibers—their density ranges from 20 to 55 kg/m3.
| Series | Samples | Number of Tests | Reference | |
|---|---|---|---|---|
| A | Lignocellulosic or sheep FR and FR-free fibers in bulk | 100 | Over the first 50 s | / |
| B | Panels mainly from lignocellulosic FR and FR-free fibers | 15 | Over the first 50 s | / |
| C | Several biobased fibers in bulk mixed with a mineral component | 6 | * | / |
| D | Needles in bulk flame retarded with an aqueous solution avec ammonium phosphate | 13 | * | / |
| E | Additional panels from hemp or Posidonia | 17 | Over the whole test | / |
| F | Fabrics | 108 | Over the whole test | [13] |
| G | Fabrics | 12 | Over the whole test | [21] |
| H | Fabrics | 5 | [22] | |
| I | Polyurethane (PU) or alginate foams (some of them have been published) | 15 | Over the whole test | [24,25] |
| J | PU foams | 6 | Over the whole test | [26] |
| K | PU foams | 12 | Calculated from cone data | [27] |
| L | Expanded and extruded and Polystyrene (EPS and XPS) foams | 8 | [23] | |
| M | Biobased concretes (some of them have been published) | 31 | [18] | |
| N | Woods of different natures and densities | 30 | Over the whole test | / |
| O | Woods of different natures and densities | 37 | / | |
| P | Mexican woods (tested surface area 7 × 7 cm²) | 7 | Over the whole test | [28] |
| Q | Woods | 7 | [14] |
5. Conclusions
Supplementary Materials
Author Contributions
Funding
Institutional Review Board Statement
Informed Consent Statement
Data Availability Statement
Acknowledgments
Conflicts of Interest
Sample Availability
References
- Karibati. Intérêts & Potentiels [WWW Document]. 2015. Available online: http://www.karibati.fr/materiaux-biosources/interets-potentiels/ (accessed on 27 February 2019).
- Ségalen, A. Le Chanvre en France; Editions du Rouergue: Rodez, France, 2005. [Google Scholar]
- Amziane, S.; Collet, F. Bio-Aggregates Based Building Materials: State-of-the-Art Report of the RILEM Technical Committee 236-BBM; Springer: Berlin/Heidelberg, Germany, 2017. [Google Scholar]
- Cérézo, V. Propriétés Mécaniques, Thermiques et Acoustiques d’un Matériau à base de Particules Végétales: Approche Expérimentale et Modélisation Théorique; Institut National des Sciences Appliquées de Lyon: Rennes, France, 2005. [Google Scholar]
- Collet, F. Caractérisation Hydrique et Thermique de Matériaux de Génie Civil à Faibles Impacts Environnementaux; Institut National des Sciences Appliquées de Rennes: Rennes, France, 2004. [Google Scholar]
- Yang, H.; Yan, R.; Chen, H.; Lee, D.H.; Zheng, C. Characteristics of hemicellulose, cellulose and lignin pyrolysis. Fuel 2007, 86, 1781–1788. [Google Scholar] [CrossRef]
- Schartel, B.; Hull, R. Development of fire-retarded materials—Interpretation of cone calorimeter data. Fire Mater. 2007, 31, 327. [Google Scholar] [CrossRef]
- Laachachi, A.; Burger, N.; Apaydin, K.; Sonnier, R.; Ferriol, M. Is expanded graphite acting as flame retardant in epoxy resin? Polym. Degrad. Stab. 2015, 117, 22–29. [Google Scholar] [CrossRef]
- Rhodes, B.T.; Quintiere, J.G. Burning rate and flame heat flux for PMMA in a cone calorimeter. Fire Saf. J. 1996, 26, 221–240. [Google Scholar] [CrossRef]
- Hopkins, D.; Quintiere, J. Material fire properties and predictions for thermoplastics. Fire Saf. J. 1996, 26, 241–268. [Google Scholar] [CrossRef]
- Lyon, R.E.; Walters, R.N.; Gandhi, S. Combustibility of cyanate ester resins. Fire Mater. 2006, 30, 89–106. [Google Scholar] [CrossRef]
- Petrella, R. The Assessment of Full-Scale Fire Hazards from Cone Calorimeter Data. J. Fire Sci. 1994, 12, 14–43. [Google Scholar] [CrossRef]
- El Gazi, M.; Sonnier, R.; Giraud, S.; Batistella, M.; Basak, S.; Dumazert, L.; Hajj, R.; El Hage, R. Fire Behavior of Thermally Thin Materials in Cone Calorimeter. Polymers 2021, 13, 1297. [Google Scholar] [CrossRef] [PubMed]
- Rabe, S.; Klack, P.; Bahr, H.; Schartel, B. Assessing the fire behavior of woods modified by N-methylol crosslinking, thermal treatment, and acetylation. Fire Mater. 2020, 44, 530. [Google Scholar] [CrossRef]
- Dorez, G.; Ferry, L.; Sonnier, R.; Taguet, A.; Lopez-Cuesta, J.-M. Effect of cellulose, hemicellulose and lignin contents on pyrolysis and combustion of natural fibers. J. Anal. Appl. Pyrolysis 2014, 107, 323–331. [Google Scholar] [CrossRef]
- Galaska, M.L.; Horrocks, A.R.; Morgan, A.B. Flammability of natural plant and animal fibers: A heat release survey. Fire Mater. 2017, 41, 275–288. [Google Scholar] [CrossRef]
- Sonnier, R.; Viretto, A.; Dumazert, L.; Gallard, B. A method to study the two-step decomposition of binary blends in cone calorimeter. Combust. Flame 2016, 169, 1–10. [Google Scholar] [CrossRef]
- Sonnier, R.; Belkhane, O.; Ferry, L.; Aprin, L.; Delot, P.; Garcia, C.; de Menibus, A.H.; Lenormand, H.; Potin, M. Fire behaviour of hemp, clay and gypsum-based light biobased concretes and renders. Constr. Build. Mater. 2022, 331, 127230. [Google Scholar] [CrossRef]
- Linteris, G.; Zammarano, M.; Wilthan, B.; Hanssen, L. Absorption and reflection of infrared radiation by polymers in fire-like environments. Fire Mater. 2012, 36, 537–553. [Google Scholar] [CrossRef]
- ISO 5660-1; Reaction-to-Fire Tests—Heat Release, Smoke Production and Mass Loss Rate—Part 1: Heat Release Rate (Cone Calorimeter Method). 2nd ed. ISO: Geneva, Switzerland, 2002.
- Galaska, M.L.; Sqrow, L.D.; Wolf, J.D.; Morgan, A.B. Flammability Characteristics of Animal Fibers: Single Breed Wools, Alpaca/Wool, and Llama/Wool Blends. Fibers 2019, 7, 3. [Google Scholar] [CrossRef]
- Morgan, A.B.; Galaska, M.L. Flammability testing of wool/cellulosic and wool/synthetic fiber blends: Vertical flame spread and heat release results. J. Fire Sci. 2020, 38, 522–551. [Google Scholar] [CrossRef]
- An, W.; Jiang, L.; Sun, J.; Liew, K. Correlation analysis of sample thickness, heat flux, and cone calorimetry test data of polystyrene foam. J. Therm. Anal. Calorim. 2015, 119, 229. [Google Scholar] [CrossRef]
- Vincent, T.; Vincent, C.; Dumazert, L.; Otazaghine, B.; Sonnier, R.; Guibal, E. Fire behavior of innovative alginate foams. Carbohydr. Polym. 2020, 250, 116910. [Google Scholar] [CrossRef]
- Baguian, A.; Ouiminga, S.; Longuet, C.; Caro-Bretelle, A.-S.; Corn, S.; Bere, A.; Sonnier, R. Influence of Density on Foam Collapse under Burning. Polymers 2021, 13, 13. [Google Scholar] [CrossRef]
- Kotresh, T.; Indushekar, R.; Subbulakshmi, M.; Vijayalakshmi, S.; Prasad, A.K.; Padaki, V.; Agrawal, A. Effect of heat flux on the burning behavior of foam and foam/Nomex III fabric combination in the cone calorimeter. Polym. Test. 2006, 25, 744. [Google Scholar] [CrossRef]
- Xu, Q.; Jin, C.; Majlingova, A.; Zachar, M.; Restas, A. Evaluate the flammability of a PU foam with double-scale analysis. J. Therm. Anal. Calorim. 2019, 135, 3329–3337. [Google Scholar] [CrossRef]
- Haurie, L.; Giraldo, M.; Lacasta, A.; Monton, J.; Sonnier, R. Influence of different parameters in the fire behavior of seven hardwood species. Fire Saf. J. 2019, 107, 193. [Google Scholar] [CrossRef]
- Huggett, C. Estimation of rate of heat release by means of oxygen consumption measurements. Fire Mater. 1980, 4, 61–65. [Google Scholar] [CrossRef]
- Wilson, M.; Dlugogorski, B.; Kennedy, E. Uniformity of Radiant Heat Fluxes in Cone Calorimeter. Fire Saf. Sci. 2003, 7, 815–826. [Google Scholar] [CrossRef]













| Sample | Thickness (mm) | Initial Mass (g) | Heat Flux (kW/m²) | pHRR (kW/m²) | Ratio | |
|---|---|---|---|---|---|---|
| without Grid | with Grid | |||||
| Hemp fiber | 70 | ≈25 | 35 | 150 | 125 | 1.20 |
| 70 | 50 | 181 | 142 | 1.27 | ||
| 70 | 75 | 232 | 178 | 1.30 | ||
| Sheep’s wool fiber | 70 | ≈14 | 25 | 186 | 111 | 1.68 |
| 70 | 35 | 208 | 165 | 1.26 | ||
| 70 | 50 | 284 | 211 | 1.35 | ||
| 70 | 75 | 333 | 238 | 1.40 | ||
| Hemp fiber treated with commercial FR | 27 | ≈10 | 35 | 143 | 104 | 1.38 |
| 70 | ≈28 | 35 | 149 | 115 | 1.30 | |
| 70 | 75 | 219 | 189 | 1.16 | ||
| Hemp fiber treated with lab-made FR | 70 | ≈36 | 75 | 176 | 122 | 1.44 |
| Mean value | 1.34 | |||||
| Standard deviation | 0.14 | |||||
Disclaimer/Publisher’s Note: The statements, opinions and data contained in all publications are solely those of the individual author(s) and contributor(s) and not of MDPI and/or the editor(s). MDPI and/or the editor(s) disclaim responsibility for any injury to people or property resulting from any ideas, methods, instructions or products referred to in the content. |
© 2023 by the authors. Licensee MDPI, Basel, Switzerland. This article is an open access article distributed under the terms and conditions of the Creative Commons Attribution (CC BY) license (https://creativecommons.org/licenses/by/4.0/).
Share and Cite
Sonnier, R.; Dumazert, L.; Regazzi, A.; Deborde, L.; Lanos, C. Flammability of Thick but Thermally Thin Materials including Bio-Based Materials. Molecules 2023, 28, 5175. https://doi.org/10.3390/molecules28135175
Sonnier R, Dumazert L, Regazzi A, Deborde L, Lanos C. Flammability of Thick but Thermally Thin Materials including Bio-Based Materials. Molecules. 2023; 28(13):5175. https://doi.org/10.3390/molecules28135175
Chicago/Turabian StyleSonnier, Rodolphe, Loïc Dumazert, Arnaud Regazzi, Lily Deborde, and Christophe Lanos. 2023. "Flammability of Thick but Thermally Thin Materials including Bio-Based Materials" Molecules 28, no. 13: 5175. https://doi.org/10.3390/molecules28135175
APA StyleSonnier, R., Dumazert, L., Regazzi, A., Deborde, L., & Lanos, C. (2023). Flammability of Thick but Thermally Thin Materials including Bio-Based Materials. Molecules, 28(13), 5175. https://doi.org/10.3390/molecules28135175

