Anticancer Activity of Natural and Semi-Synthetic Drimane and Coloratane Sesquiterpenoids
Abstract
1. Introduction
2. Anticancer Properties
2.1. Natural Drimanes and Coloratanes
2.1.1. Plant Sources
2.1.2. Marine Sources
2.1.3. Fungal Sources
| Source | Species | Comp. | Anticancer Activity 2 | Value (Unit) 3 | Cell Lines | Ref. |
|---|---|---|---|---|---|---|
| Plants | A. toxicaria | 23 | 6.60 a, 7.20 b | IC50 (μg/mL) | a: K562, b: SMMC-7721 | [51] |
| C. dinisii | 7 | 2.2 | EC50 (μg/mL) | P388 (9: KB) | [45] | |
| 8 | 2.9 | |||||
| 9 | 1.2 | |||||
| C. fragrans | 7 | 0.48 a, 0.21 b | EC50 (µM) | a: HL-60, b: K562 | [46] | |
| 8 | 0.20 a, 0.09 b | |||||
| C. fragrans | 11 | 44.6 | IC50 (µM) | A549 | [47] | |
| 12 | 62.0 | |||||
| 13 | 69.6 | |||||
| D. brasiliens | 2 | 78.20 a, 83.85 b | IC50 (µM) | a: Nalm6, b: K562 | [48] 4 | |
| 14 | 68.03 a, 16.24 b | |||||
| 15 | 78.67 a, 16.66 b | |||||
| 16 | 23.0 a, 26.10 b | |||||
| 18 | 8.18 a, 3.56 b | |||||
| 19 | 12.73 a, 12.98 b | |||||
| W. ugandensis | 2 | 1.0 | IC50 (µM) | KB | [52] | |
| 24 | 0.3 | |||||
| 25 | 5.3 | |||||
| W. ugandensis | 2 | 6.91 a, 2.22 b, 7.81 c, 22.40 d | IC50 (µM) | a: MV4-11, b: THP-1, c: Sk-Mel29, d: LN-229 | [53] | |
| 24 | 3.20 a, 1.12 b, 4.99 c, 4.11 d | |||||
| 26 | 2.62 a, 0.44 b, 2.46 c, 2.74 d | |||||
| Z. pancheri, Z. acsmithii | 2 | 1 a, 1.2 b, 0.7 c | IC50 (µM) | a: KB, b: HL-60, c: HCT116 | [50] | |
| 17 | 0.5 a, 0.5 b, 0.2 c | |||||
| 20 | 0.4 a, 0.3 b, 0.1 c | |||||
| 21 | 0.4 a, 0.3 b, 0.1 c | |||||
| 22 | 0.4 a, 0.2 b, 0.1 c | |||||
| Marine life | D. carbunculosa | 27 | 10.5 | IC50 (µg/mL) | P388 | [54] |
| 28 | 17 | |||||
| 29 | 11.5 | |||||
| 30 | 15 | |||||
| 31 | 10.8 | |||||
| 32 | 10 | |||||
| 33 | 3.2 | |||||
| P. maackiae | 34 | 2.0 a, 1.8 b, 2.3 c, 2.1 d, 2.4 e, 6.0 f | GI50 (µM) | a: ACHN, b: HCT-15, c: MDA-MB-231, d: NCI-H23, e: NUGC-3, f: PC-3 | [55] | |
| 35 | 1.2 a, 1.6 b, 1.5 c, 1.4 d, 1.9 e, 2.0 f | |||||
| 36 | 3.6 a, 5.4 b, 4.0 c, 4.3 d, 2.3 e, 4.6 f | |||||
| Fungi | A. flavus | 41 | 3.6 a, 1.4 b, 6.8 c, 5.0 d | IC50 (µM) | a: HeLa, b: MCF-7, c: MGC-803, d: A549 | [58] |
| 42 | 2.9 a, 5.7 b, 1.9 c, 2.5 d | |||||
| 43 | 8.3 a, 3.1 b, 7.1 c, 6.3 d | |||||
| 44 | 4.2 a, 6.6 b, 2.3 c, 7.5 d | |||||
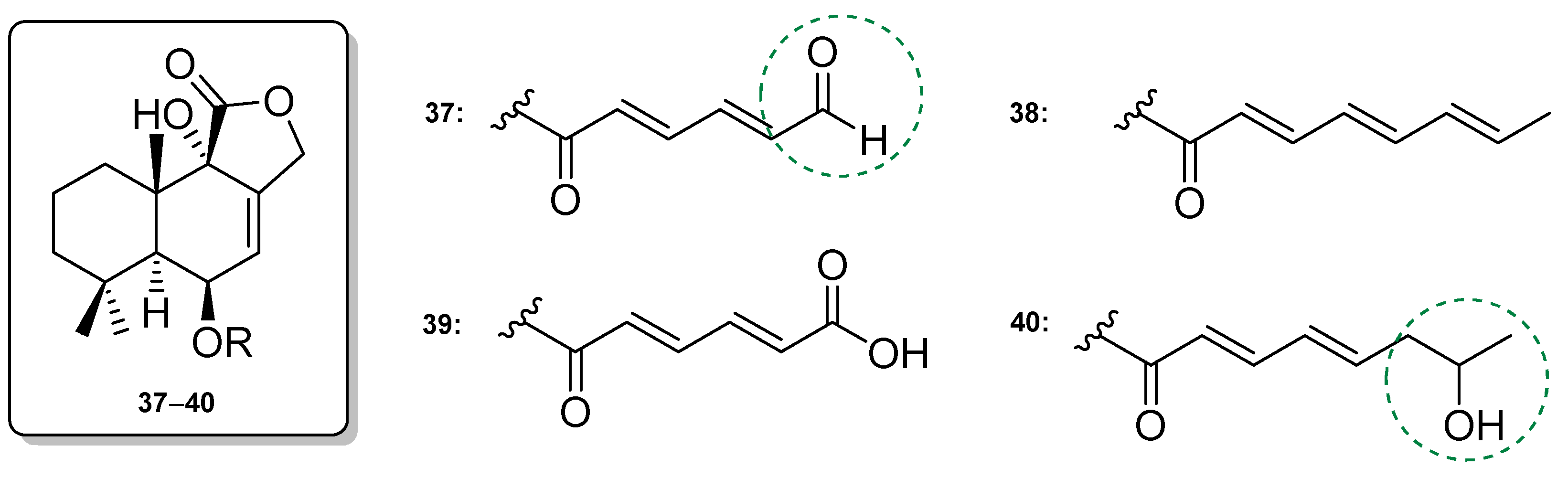
| A. ustus | 37 | 0.6 a, 7.2 b, 5.9 c | EC50 (μg/mL) | a: L5178Y, b: PC-12, c: HeLa | [56] | |
| 38 | 1.9 a, >10 b, 7.5 c | |||||
| 39 | 5.3 a, >10 b, >10 c | |||||
| A. ustus | 37 | >100 a, 9.0 b | IC50 (μM) | a: A549, b: HL-60 | [57] | |
| 38 | 10.5 a, >100 b | |||||
| 40 | 30.0 a, 20.6 b | |||||
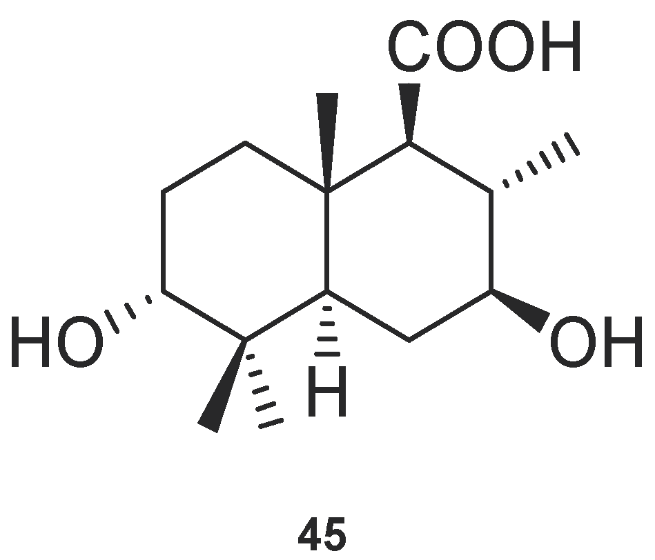
| F. officinalis | 45 | 51.2 a, 88.7 b, 146.0 c | IC50 (µM) | a: HL-60, b: Bel-7402, c: KB | [59] | |
| T. minioluteus | 46 | 193.3 | IC50 (µM) | HepG2 | [60] | |
| 47 | 50.6 | |||||
| 48 | 57.0 |
2.2. Semi-Synthetic Drimane Derivatives
3. Mode-of-Action–Specific Effects or ‘Just’ Detergents?
3.1. Detergent Effects on Mitochondrial Membrane
3.2. TRPV1 Ion Channel
3.3. TRPA1 Ion Channel
3.4. ROS Generation and DNA Damage
3.5. Cell Cycle Arrest
3.6. Inhibition of DNA-Binding by NF-kB and Stat-3
4. Clinical Significance
5. Conclusions
Author Contributions
Funding
Institutional Review Board Statement
Informed Consent Statement
Data Availability Statement
Conflicts of Interest
References
- WHO. Available online: https://www.who.int/news-room/fact-sheets/detail/cancer (accessed on 25 March 2022).
- Sung, H.; Ferlay, J.; Siegel, R.L.; Laversanne, M.; Soerjomataram, I.; Jemal, A.; Bray, F. Global Cancer Statistics 2020: GLOBOCAN Estimates of Incidence and Mortality Worldwide for 36 Cancers in 185 Countries. CA Cancer J. Clin. 2021, 71, 209–249. [Google Scholar] [CrossRef] [PubMed]
- Pillerson, S.; Soto-Perez-de-Cellis, E.; Vignat, J.; Ferlay, J.; Soerjomataram, I.; Bray, F.; Sarfati, D. Estimated global cancer incidence in the oldest adults in 2018 and projections to 2050. Int. J. Cancer. 2021, 148, 601–608. [Google Scholar] [CrossRef] [PubMed]
- Chabner, B.A.; Roberts, T.G., Jr. Chemotherapy and the war on cancer. Nat. Rev. 2005, 5, 65–72. [Google Scholar] [CrossRef] [PubMed]
- Lind, M.J. Principles of cytotoxic chemotherapy. Medicine 2008, 36, 19–23. [Google Scholar] [CrossRef]
- Nussbaumer, S.; Bonnabry, P.; Veuthey, J.-L.; Fleury-Souverain, S. Analysis of anticancer drugs: A review. Talanta 2011, 85, 2265–2289. [Google Scholar] [CrossRef]
- Pearce, A.; Haas, M.; Viney, R.; Pearson, S.-A.; Haywood, P.; Brown, C.; Ward, R. Incidence and severity of self-reported chemotherapy side effects in routine care: A prospective cohort study. PLoS ONE 2017, 12, e0184360. [Google Scholar] [CrossRef]
- Bukowski, K.; Kciuk, M.; Kontek, R. Mechanisms of Multidrug Resistance in Cancer Chemotherapy. Int. J. Mol. Sci. 2020, 21, 3233. [Google Scholar] [CrossRef]
- Cragg, C.M.; Grothaus, P.G.; Newman, D.J. Impact of Natural Products on Developing New Anti-Cancer Agents. Chem. Rev. 2009, 109, 3012–3043. [Google Scholar] [CrossRef]
- Lee, K.-H. Discovery and Development of Natural Product-Derived Chemotherapeutic Agents Based on a Medicinal Chemistry Approach. J. Nat. Prod. 2010, 73, 500–516. [Google Scholar] [CrossRef]
- Demain, A.L.; Vaishnav, P. Natural products for cancer chemotherapy. Microb. Biotechnol. 2011, 4, 687–699. [Google Scholar] [CrossRef]
- Chen, Q.-F.; Liu, Z.-P.; Wang, F.-P. Natural Sesquiterpenoids as Cytotoxic Anticancer Agents. Mini-Rev. Med. Chem. 2011, 11, 1153–1164. [Google Scholar] [CrossRef] [PubMed]
- Ghantous, A.; Gali-Muhtasib, H.; Vuorela, H.; Saliba, N.A.; Darwiche, N. What made sesquiterpene lactones reach cancer clinical trials? Drug Discov. Today 2010, 15, 668–678. [Google Scholar] [CrossRef] [PubMed]
- Fraga, B.M. Natural sesquiterpenoids. Nat. Prod. Rep. 2013, 30, 1226–1264. [Google Scholar] [CrossRef]
- Appel, H.H. Estudio químico de la corteza del árbol Drimys winteri Forst. Scientia 1948, 15, 31–32. [Google Scholar]
- Jansen, B.J.M.; de Groot, A. Occurrence, biological activity and synthesis of drimane sesquiterpenoids. Nat. Prod. Rep. 2004, 21, 449–477. [Google Scholar] [CrossRef]
- Stork, G.; Burgstahler, A.W. The Stereochemistry of Polyene Cyclization. J. Am. Chem. Soc. 1955, 77, 5068–5077. [Google Scholar] [CrossRef]
- Parker, W.; Roberts, J.S. Sesquiterpene Biogenesis. Q. Rev. Chem. Soc. 1967, 21, 331–363. [Google Scholar] [CrossRef]
- Dawson, G.W.; Hallahan, D.L.; Mudd, A.; Patel, M.M.; Pickett, J.A.; Wadhams, L.J.; Wallsgrove, R.M. Secondary plant metabolites as targets for genetic modification of crop plants for pest resistance. Pestic. Sci. 1989, 27, 191–201. [Google Scholar] [CrossRef]
- Fleck, W.F.; Schlegel, B.; Hoffmann, P.; Ritzau, M.; Heinze, S.; Gräfe, U. Isolation of Isodrimenediol, a Possible Intermediate of Drimane Biosynthesis from Polyporus arcularius. J. Nat. Prod. 1996, 59, 780–781. [Google Scholar] [CrossRef]
- Huang, Y.; Hoefgen, S.; Valiante, V. Biosynthesis of Fungal Drimane-Type Sesquiterpene Esters. Angew. Chem. Int. Ed. 2021, 60, 23763–23770. [Google Scholar] [CrossRef]
- Ludwiczuk, A.; Gradstein, S.R.; Nagashima, F.; Asakawa, Y. Chemosystematics of Porella (Marchantiophyta, Porellaceae). Nat. Prod. Commun. 2011, 6, 315–321. [Google Scholar] [CrossRef] [PubMed]
- Asakawa, Y.; Ludwiczuk, A.; Harinantenaina, L.; Toyota, M.; Nishiki, M.; Bardon, A.; Nii, K. Distribution of Drimane Sesquiterpenoids and Tocopherols in Liverworts, Ferns and Higher Plants: Polygonaceae, Canellaceae and Winteraceae Species. Nat. Prod. Commun. 2012, 7, 685–692. [Google Scholar] [CrossRef] [PubMed]
- Choudhary, R.K.; Oh, S.; Lee, J. An ethnomedicinal inventory of knotweeds of Indian Himalaya. J. Med. Plant. Res. 2011, 5, 2095–2103. [Google Scholar] [CrossRef]
- Maroyi, A. The genus Warburgia: A review of its traditional uses and pharmacology. Pharm. Biol. 2014, 52, 378–391. [Google Scholar] [CrossRef]
- Hug, A.K.K.M.; Jamal, J.A. Ethnobotanical, Phytochemical, Pharmacological, and Toxicological Aspects of Persicaria hydropiper (L.) Delarbre. eCAM 2014, 2014, 782830. [Google Scholar] [CrossRef]
- Nasir, A.; Khali, A.A.K.; Bhatti, M.Z.; Rehman, A.U.; Li, J.; Parveen, Z. Review on Pharmacological and Phytochemical Prospects of Traditional Medicinal Plant: Persicaria hydropiper (Smartweed). Curr. Top. Med. Chem. 2021, 21, 1027–1036. [Google Scholar] [CrossRef]
- Zhou, H.; Zhu, T.; Cai, S.; Gu, Q.; Li, D. Drimane Sesquiterpenoids from the Mangrove-Derived Fungus Aspergillus ustus. Chem. Pharm. Bull. 2011, 59, 762–766. [Google Scholar] [CrossRef]
- Lacey, H.J.; Gilchrist, C.L.M.; Crombie, A.; Kalaitzis, J.A.; Vuong, D.; Rutledge, P.J.; Turner, P.; Pitt, J.I.; Lacey, E.; Chooi, Y.-H.; et al. Nanangenines: Drimane sesquiterpenoids as the dominant metabolite cohort of a novel Australian fungus, Aspergillus nanangensis. Beilstein J. Org. Chem. 2019, 15, 2631–2643. [Google Scholar] [CrossRef]
- Ma, M.; Ge, H.; Yi, W.; Wu, B.; Zhang, Z. Bioactive drimane sesquiterpenoids and isocoumarins from the marine-derived fungus Penicillium minioluteum ZZ1657. Tetrahedron Lett. 2020, 61, 151504. [Google Scholar] [CrossRef]
- Montagnac, A.; Martin, M.-Z.; Debitus, C.; Païs, M. Drimane Sesquiterpenes from the Sponge Dysideafusca. J. Nat. Prod. 1996, 59, 866–868. [Google Scholar] [CrossRef]
- Paul, V.J.; Seo, Y.; Cho, K.W.; Rho, J.R.; Shin, J.; Bergquist, P.R. Sesquiterpenoids of the Drimane Class from a Sponge of the Genus Dysidea. J. Nat. Prod. 1997, 60, 1115–1120. [Google Scholar] [CrossRef] [PubMed]
- Schmitz, F.J.; Lakshmi, V.; Powell, D.R.; Van der Helm, D. Arenarol and arenarone: Sesquiterpenoids with rearranged drimane skeletons from the marine sponge Dysidea arenaria. J. Org. Chem. 1984, 49, 241–244. [Google Scholar] [CrossRef]
- Rabe, T.; van Staden, J. Isolation of an antibacterial sesquiterpenoid from Warburgia salutaris. J. Ethnopharmacol. 2000, 73, 171–174. [Google Scholar] [CrossRef]
- Kubo, I.; Fujita, K.; Lee, S.H.; Ha, T.J. Antibacterial activity of polygodial. Phytother. Res. 2005, 19, 1013–1017. [Google Scholar] [CrossRef] [PubMed]
- Neuhaus, G.F.; Loesgen, S. Antibacterial Drimane Sesquiterpenes from Aspergillus ustus. J. Nat. Prod. 2021, 84, 37–45. [Google Scholar] [CrossRef]
- Kubo, I.; Himejima, M. Potentiation of antifungal activity of sesquiterpene dialdehydes against Candida albicans and two other fungi. Experientia 1992, 48, 1162–1164. [Google Scholar] [CrossRef]
- Edouarzin, E.; Horn, C.; Paudyal, A.; Zhang, C.; Lu, J.; Tong, Z.; Giaever, G.; Nislow, C.; Veerapandian, R.; Hua, D.H.; et al. Broad-spectrum antifungal activities and mechanism of drimane sesquiterpenoids. Microb. Cell 2020, 7, 146–159. [Google Scholar] [CrossRef]
- Montenegro, I.; Pino, L.; Werner, E.; Madrid, A.; Espinoza, L.; Moreno, L.; Villena, J.; Cuellar, M. Comparative Study on the Larvicidal Activity of Drimane Sesquiterpenes and Nordrimane Compounds against Drosophila melanogaster til-til. Molecules 2013, 18, 4192–4208. [Google Scholar] [CrossRef]
- Moreno-Osorio, L.; Cortés, M.; Armstrong, V.; Bailén, M.; González-Coloma, A. Antifeedant Activity of Some Polygodial Derivatives. Z. Naturforsch. 2008, 63, 215–220. [Google Scholar] [CrossRef]
- Inocente, E.A.; Nguyen, B.; Manwill, P.K.; Benatrehina, A.; Kweka, E.; Wu, S.; Cheng, X.; Rakotondraibe, L.H.; Piermarini, P.M. Insecticidal and Antifeedant Activities of Malagasy Medicinal Plant (Cinnamosma sp.) Extracts and Drimane-Type Sesquiterpenes against Aedes aegypti Mosquitoes. Insects 2019, 10, 373. [Google Scholar] [CrossRef]
- Claudino, V.D.; da Silva, K.C.; Filho, V.C.; Yunes, R.A.; Monache, F.D.; Giménez, A.; Salamanca, E.; Gutierrez-Yapu, D.; Malheiros, A. Drimanes from Drimys brasiliensis with leishmanicidal and antimalarial activity. Mem. Inst. Oswaldo Cruz 2013, 108, 140–144. [Google Scholar] [CrossRef] [PubMed]
- Corrêa, D.S.; Tempone, A.G.; Reimão, J.Q.; Taniwaki, N.N.; Romoff, P.; Fávero, O.A.; Sartorelli, P.; Mecchi, M.C.; Lago, J.H.G. Anti-leishmanial and anti-trypanosomal potential of polygodial isolated from stem barks of Drimys brasiliensis Miers (Winteraceae). Parasitol. Res. 2011, 109, 231–236. [Google Scholar] [CrossRef] [PubMed]
- Nyaba, Z.N.; Murambiwa, P.; Opoku, A.R.; Mukaratirwa, S.; Shode, F.O.; Simelane, M.B.C. Isolation, characterization, and biological evaluation of a potent anti-malarial drimane sesquiterpene from Warburgia salutaris stem bark. Malar. J. 2018, 17, 296. [Google Scholar] [CrossRef]
- Mahmoud, I.I.; Kinghorn, A.D.; Cordell, G.A.; Farnsworth, N.R. Potential anticancer agents. XVI. Isolation of bicyclofarnesane sesquiterpenoids from Capsicodendron dinisii. J. Nat. Prod. 1980, 43, 365–371. [Google Scholar] [CrossRef] [PubMed]
- Karmahapatra, S.; Kientz, C.; Shetty, S.; Yalowich, J.C.; Pakotondraibe, L.H. Capsicodendrin from Cinnamosma fragrans Exhibits Antiproliferative and Cytotoxic Activity in Human Leukemia Cells: Modulation by Glutathione. J. Nat. Prod. 2018, 81, 625–629. [Google Scholar] [CrossRef] [PubMed]
- Nomoto, Y.; Harinantenaina, L.; Sugimoto, S.; Matsunami, K.; Otsuka, H. 3,4-seco-24-homo-28-nor-Cycloartane and drimane-type sesquiterpenes and their lactams from the EtOAc-soluble fraction of a leaf extract of Cinnamosma fragrans and their biological activity. J. Nat. Med. 2014, 68, 513–520. [Google Scholar] [CrossRef]
- Fratoni, E.; Claudino, V.D.; Yunes, R.A.; Franchi, G.C., Jr.; Nowill, A.E.; Filho, V.C.; Monache, F.D.; Malheiros, A. Further drimane sesquiterpenes from Drimys brasiliensis stem barks with cytotoxic potential. Naunyn-Schmiedeberg’s Arch. Pharmacol. 2016, 389, 791–797. [Google Scholar] [CrossRef]
- Fratoni, E.; de Athayde, A.E.; da Silva Machado, M.; Zermiani, T.; Venturi, I.; dos Santos, M.C.; Lobato, F.; Filho, V.C.; Franchi, G.C., Jr.; Nowill, A.E.; et al. Antiproliferative and toxicological properties of drimanes obtained from Drimys brasiliensis stem barks. Biomed. Pharmacother. 2018, 103, 1498–1506. [Google Scholar] [CrossRef]
- Allouche, N.; Apel, C.; Martin, M.-T.; Dumontet, V.; Guéritte, F.; Litaudon, M. Cytotoxic sesquiterpenoids from Winteraceae of Caledonian rainforest. Phytochemistry 2009, 70, 546–553. [Google Scholar] [CrossRef]
- Dong, W.-H.; Mei, W.-L.; Zhao, Y.-X.; Zeng, Y.-B.; Wang, H.; Dai, H.-F. A new drimane sesquiterpenoid glycoside from the seeds of Antiaris toxicaria. J. Asian Nat. Prod. Res. 2011, 13, 561–565. [Google Scholar] [CrossRef]
- Xu, M.; Litaudon, M.; Krief, S.; Martin, M.-T.; Kasenene, J.; Kiremire, B.; Dumontet, V.; Guéritte, F. Ugandenial A, a New Drimane-type Sesquiterpenoid from Warburgia ugandensis. Molecules 2009, 14, 3844–3850. [Google Scholar] [CrossRef] [PubMed]
- Kitte, R.; Tretbar, M.; Dluczek, S.; Beckmann, L.; Marquardt, P.; Duenkel, A.; Schubert, A.; Fricke, S.; Tretbar, U.S. Chemical and Cytotoxic Activity of three main Sesquiterpenoids from Warburgia ugandensis. Results Chem. 2021, 3, 100242. [Google Scholar] [CrossRef]
- Sakio, Y.; Hirano, Y.J.; Hayashi, M.; Komiyama, K.; Ishibashi, M. Dendocarbins A–N, New Drimane Sesquiterpenes from the Nudibranch Dendrodoris carbunculosa. J. Nat. Prod. 2001, 64, 726–731. [Google Scholar] [CrossRef] [PubMed]
- Kwon, J.; Lee, H.; Seo, Y.H.; Yun, J.; Lee, J.; Kwon, H.C.; Guo, Y.; Kang, J.S.; Kim, J.-J.; Lee, D. Cytotoxic Drimane Sesquiterpenoids Isolated from Perenniporia maackiae. J. Nat. Prod. 2018, 81, 1444–1450. [Google Scholar] [CrossRef] [PubMed]
- Liu, H.; Edrada-Ebel, R.; Ebel, R.; Wang, Y.; Schulz, B.; Draeger, S.; Müller, W.E.G.; Wray, V.; Lin, W.; Proksch, P. Drimane Sesquiterpenoids from the Fungus Aspergillus ustus Isolated from the Marine Sponge Suberites domuncula. J. Nat. Prod. 2009, 72, 1585–1588. [Google Scholar] [CrossRef]
- Lu, Z.; Wang, Y.; Miao, C.; Liu, P.; Hong, K.; Zhu, W. Sesquiterpenoids and Benzofuranoids from the Marine-Derived Fungus Aspergillus ustus 094102. J. Nat. Prod. 2009, 72, 1761–1767. [Google Scholar] [CrossRef]
- Liu, Y.-F.; Yue, Y.-F.; Feng, L.-X.; Zhu, H.-J.; Cao, F. Asperienes A–D, Bioactive Sesquiterpenes from the Marine-Derived Fungus Aspergillus flavus. Mar. Drugs 2019, 17, 550. [Google Scholar] [CrossRef]
- Feng, W.; Yang, J.-S. A new drimane sesquiterpenoid and a new triterpene lactone from fungus of Fomes officinalis. J. Asian Nat. Prod. Res. 2015, 17, 1065–1072. [Google Scholar] [CrossRef]
- Ngokpol, S.; Suwakulsir, W.; Sureran, S.; Lirdprapamongkol, K.; Aree, T.; Wiyakrutta, S.; Mahidol, C.; Ruchirawat, S.; Kittakoop, P. Drimane Sesquiterpene-Conjugated Amino Acids from a Marine Isolate of the Fungus Talaromyces minioluteus (Penicillium Minioluteum). Mar. Drugs 2015, 13, 3567–3580. [Google Scholar] [CrossRef]
- Brooks, E.A.; Galarza, S.; Gencoglu, M.F.; Cornelison, R.C.; Munson, J.M.; Peyton, S.R. Applicability of drug response metrics for cancer studies using biomaterials. Philos. Trans. R. Soc. B 2019, 374, 20180226. [Google Scholar] [CrossRef]
- Hagendoorn, M.J.M.; Geelen, T.A.M.; van Beek, T.A.; Jamar, D.C.L.; Tetteroo, F.A.A.; van der Plas, L.H.W. Occurrence of polygodial in plant organs and tissue culture of Polygonum hydropiper. Physiol. Plant. 1994, 92, 595–600. [Google Scholar] [CrossRef]
- Just, J.; Jordan, T.B.; Paull, B.; Bissember, A.C.; Smith, J.A. Practical isolation of polygodial from Tasmannia lanceolata: A viable scaffold for synthesis. Org. Biomol. Chem. 2015, 13, 11200–11207. [Google Scholar] [CrossRef] [PubMed][Green Version]
- Montenegro, I.; Tomasoni, G.; Bosio, C.; Quinones, N.; Madrid, A.; Carrasco, H.; Olea, A.; Martinez, R.; Cuellar, M.; Villena, J. Study on the Cytotoxic Activity of Drimane Sesquiterpenes and Nordrimane Compounds against Cancer Cell Lines. Molecules 2014, 19, 18993–19006. [Google Scholar] [CrossRef] [PubMed]
- Dasari, R.; de Carvalho, A.; Medellin, D.C.; Middleton, K.N.; Hague, F.; Volmar, M.N.M.; Frolova, L.V.; Rossato, M.F.; de la Chapa, J.J.; Dybdal-Hargreaves, N.F.; et al. Synthetic and Biological Studies of Sesquiterpene Polygodial: Activity of 9-Epipolygodial against Drug-Resistant Cancer Cells. ChemMedChem 2015, 10, 2014–2026. [Google Scholar] [CrossRef] [PubMed]
- Dasari, R.; de Carvalho, A.; Medellin, D.C.; Middleton, K.N.; Hague, F.; Volmar, M.N.M.; Frolova, L.V.; Rossato, M.F.; de la Chapa, J.J.; Dybdal-Hargreaves, N.F.; et al. Wittig derivatization of sesquiterpenoid polygodial leads to cytostatic agents with activity against drug resistant cancer cells and capable of pyrrolylation of primary amines. Eur. J. Med. Chem. 2015, 103, 226–237. [Google Scholar] [CrossRef] [PubMed]
- Dasari, S.; Samy, A.L.P.A.; Narvekar, P.; Dontaraju, V.S.; Dasari, R.; Kornienko, A.; Munirathinam, G. Polygodial analog induces apoptosis in LNCaP prostate cancer cells. Eur. J. Pharm. 2018, 828, 154–162. [Google Scholar] [CrossRef] [PubMed]
- De la Chapa, J.; Singha, P.K.; Sallaway, M.; Self, K.; Nasreldin, R.; Dasari, R.; Hart, M.; Kornienko, A.; Just, J.; Smith, J.A.; et al. Novel polygodial analogs P3 and P27: Efficacious therapeutic agents disrupting mitochondrial function in oral squamous cell carcinoma. Int. J. Oncol. 2018, 53, 2627–2636. [Google Scholar] [CrossRef]
- Maslivetc, V.; Laguera, B.; Chandra, S.; Dasari, R.; Olivier, W.J.; Smith, J.A.; Bissember, A.C.; Masi, M.; Evidente, A.; Mathieu, V.; et al. Polygodial and Ophiobolin a Analogues for Covalent Crosslinking of Anticancer Targets. Int. J. Mol. Sci. 2021, 22, 11256. [Google Scholar] [CrossRef]
- Lunde, C.; Kubo, I. Effect of Polygodial on the Mitochondrial ATPase of Saccharomyces cerevisiae. Antimicrob. Agents Chemother. 2000, 44, 1943–1953. [Google Scholar] [CrossRef]
- Kubo, I.; Fujita, K.; Lee, S.H. Antifungal Mechanism of Polygodial. J. Agric. Food Chem. 2001, 49, 1607–1611. [Google Scholar] [CrossRef]
- Castelli, M.V.; Lodeyro, A.F.; Malheiros, A.; Zacchino, S.A.S.; Roveri, O.A. Inhibition of the mitochondrial ATP synthesis by polygodial, a naturally occurring dialdehyde unsaturated sesquiterpene. Biochem. Pharmacol. 2005, 70, 82–89. [Google Scholar] [CrossRef] [PubMed]
- Kim, R.; Emi, M.; Tanabe, K. Role of mitochondria as the gardens of cell death. Cancer Chemother. Pharmacol. 2006, 57, 545–553. [Google Scholar] [CrossRef] [PubMed]
- Casares, D.; Escribá, P.V.; Rosselló, C.A. Membrane Lipid Composition: Effect on Membrane and Organelle Structure, Function and Compartmentalization and Therapeutic Avenues. Int. J. Mol. Sci. 2019, 20, 2167. [Google Scholar] [CrossRef] [PubMed]
- Szlasa, W.; Zendran, I.; Zalesińska, A.; Tarek, M.; Kulbacka, J. Lipid composition of the cancer cell membrane. J. Bioenerg. Biomembr. 2020, 52, 321–342. [Google Scholar] [CrossRef]
- Ostenfeld, M.S.; Høyer-Hansen, M.; Bastholm, L.; Fehrenbacher, N.; Olsen, O.D.; Groth-Pedersen, L.; Puustinen, P.; Kirkegaard-Sørensen, T.; Nylandsted, J.; Farkas, T.; et al. Anti-cancer agent siramesine is a lysosomotropic detergent that induces cytoprotective autophagosome accumulation. Autophagy 2008, 4, 487–499. [Google Scholar] [CrossRef]
- Dielschneider, R.F.; Eisenstat, H.; Mi, S.; Curtis, J.M.; Johnston, J.B.; Gibson, S.B. Lysosomotropic agents selectively target chronic lymphocytic leukemia cells due to altered sphingolipid metabolism. Leukemia 2016, 30, 1290–1300. [Google Scholar] [CrossRef]
- Rafiq, S.; McKenna, S.L.; Muller, S.; Tschan, M.P.; Humbert, M. Lysosomes in acute myeloid leukemia: Potential therapeutic targets? Leukemia 2021, 35, 2759–2770. [Google Scholar] [CrossRef]
- Boya, P.; Kroemer, G. Lysosomal membrane permeabilization in cell death. Oncogene 2008, 27, 6434–6451. [Google Scholar] [CrossRef]
- Sukhai, M.A.; Giaever, G.; Schimmer, A.D. Lysosomal disruption preferentially targets acute myeloid leukemia cells and progenitors. J. Clin. Investig. 2013, 123, 315–328. [Google Scholar] [CrossRef]
- Szallas, A.; Jonassohn, M.; Ács, G.; Bíró, T.; Ács, P.; Blumberg, P.M.; Sterner, O. The stimulation of capsaicin-sensitive neurones in a vanilloid receptor-mediated fashion by pungent terpenoids possessing an unsaturated 1,4-dialdehyde moiety. Br. J. Pharmacol. 1996, 119, 283–290. [Google Scholar] [CrossRef]
- André, E.; Camp, B.; Trevisani, M.; Ferreira, J.; Malheiros, Â.; Yunes, R.A.; Calixto, J.B.; Geppetti, P. Pharmacological characterisation of the plant sesquiterpenes polygodial and drimanial as vanilloid receptor agonists. Biochem. Pharmacol. 2006, 71, 1248–1254. [Google Scholar] [CrossRef] [PubMed]
- Hartel, M.; di Mola, F.F.; Selvaggi, F.; Mascetta, G.; Wente, M.N.; Felix, K.; Giese, N.A.; Hinz, U.; di Sebastiano, P.; Büchler, M.W.; et al. Vanilloids in pancreatic cancer: Potential for chemotherapy and pain management. Gut 2006, 55, 519–528. [Google Scholar] [CrossRef]
- Marincsák, R.; Tóth, B.I.; Czifra, G.; Márton, I.; Rédl, P.; Tar, I.; Tóth, L.; Kovács, L.; Bíró, T. Increased expression of TRPV1 in squamous cell carcinoma of the human tongue. Oral Dis. 2009, 15, 328–335. [Google Scholar] [CrossRef]
- Czifra, G.; Varga, A.; Nyeste, K.; Marincsák, R.; Tóth, B.I.; Kovács, I.; Kovács, L.; Bíró, T. Increased expressions of cannabinoid receptor-1 and transient receptor potential vanilloid-1 in human prostate carcinoma. J. Cancer Res. Clin. Oncol. 2009, 135, 507–514. [Google Scholar] [CrossRef]
- Weber, L.V.; Al-Refal, K.; Wölk, G.; Bonatz, G.; Altmüller, J.; Becker, C.; Gisselmann, G.; Hatt, H. Expression and functionality of TRPV1 in breast cancer cells. Breast Cancer 2016, 8, 243–252. [Google Scholar] [CrossRef] [PubMed]
- Faussone-Pellegrini, M.S.; Taddei, A.; Bizzoco, E.; Lazzeri, M.; Vannuchi, M.G.; Bechi, P. Distribution of the vanilloid (capsaicin) receptor type 1 in the human stomach. Histochem. Cell Biol. 2005, 124, 61–68. [Google Scholar] [CrossRef]
- Sun, Z.; Han, J.; Zhao, W.; Zhang, Y.; Wang, S.; Ye, L.; Liu, T.; Zheng, L. TRPV1 Activation Exacerbates Hypoxia/Reoxygenation-Induced Apoptosis in H9C2 Cells via Calcium Overload and Mitochondrial Dysfunction. Int. J. Mol. Sci. 2014, 15, 18362–18380. [Google Scholar] [CrossRef]
- Miyake, T.; Shirakawa, H.; Nakagawa, T.; Kaneko, S. Activation of mitochondrial transient receptor potential vanilloid 1 channel contributes to microglial migration. Glia 2015, 63, 1870–1882. [Google Scholar] [CrossRef] [PubMed]
- Hurt, C.M.; Lu, Y.; Stary, C.M.; Piplani, H.; Small, B.A.; Urban, T.J.; Qvit, N.; Gross, G.J.; Mochly-Rosen, D.; Gross, E.R. Transient Receptor Potential Vanilloid 1 Regulates Mitochondrial Membrane Potential and Myocardial Reperfusion Injury. J. Am. Heart Assoc. 2016, 5, e003774. [Google Scholar] [CrossRef] [PubMed]
- Otto, M.; Bucher, C.; Liu, W.; Müller, M.; Schmidt, T.; Kardell, M.; Driessen, M.N.; Roissaint, J.; Gross, E.R.; Wagner, N.-M. 12(S)-HETE mediates diabetes-induced endothelial dysfunction by activating intracellular endothelial cell TRPV1. J. Clin. Investig. 2020, 130, 4999–5010. [Google Scholar] [CrossRef]
- Jardin, I.; López, J.J.; Diez, R.; Sánchez-Collado, J.; Cantonero, C.; Albarrán, L.; Woodard, G.E.; Redondo, P.C.; Salido, G.M.; Smani, T.; et al. TRPs in Pain Sensation. Front. Physiol. 2017, 8, 392. [Google Scholar] [CrossRef] [PubMed]
- Bujak, J.K.; Kosmala, D.; Szopa, I.M.; Majchrzak, K.; Bednarczyk, P. Inflammation, Cancer and Immunity—Implication of TRPV1 Channel. Front. Oncol. 2019, 9, 1087. [Google Scholar] [CrossRef] [PubMed]
- Roderick, H.L.; Cook, S.J. Ca2+ signalling checkpoints in cancer: Remodelling Ca2+ for cancer cell proliferation and survival. Nat. Rev. 2008, 8, 361–375. [Google Scholar] [CrossRef]
- Wu, L.; Lian, W.; Zhao, L. Calcium signaling in cancer progression and therapy. FEBS J. 2021, 288, 6187–6205. [Google Scholar] [CrossRef]
- Rizzuto, R.; Pinton, P.; Ferrari, D.; Chami, M.; Szabadkai, G.; Magalhães, P.J.; Di Virgilio, F.; Pozzan, T. Calcium and apoptosis: Facts and hypotheses. Oncogene 2003, 22, 8619–8627. [Google Scholar] [CrossRef]
- Hajnóczky, G.; Davies, E.; Madesh, M. Calcium signaling and apoptosis. Biochem. Biophys. Res. Commun. 2003, 304, 445–454. [Google Scholar] [CrossRef]
- Jambina, E.; Alonso, R.; Alcalde, M.; Rodríguez, M.d.C.; Serrano, A.; Martínez, C.; García-Sancho, J.; Izquierdo, M. Calcium Influx through Receptor-operated Channel Induces Mitochondria-triggered Paraptotic Cell Death. J. Biol. Chem. 2003, 278, 14134–14145. [Google Scholar] [CrossRef]
- Shirakawa, H.; Yamaoka, T.; Sanpei, K.; Sasaoka, H.; Nakagawa, T.; Kaneko, S. TRPV1 stimulation triggers apoptotic cell death of rat cortical neurons. Biochem. Biophys. Res. Commun. 2008, 377, 1211–1215. [Google Scholar] [CrossRef]
- Gil, Y.-G.; Kang, M.-K. Capsaicin induces apoptosis and terminal differentiation in human glioma A172 cells. Life Sci. 2008, 82, 997–1003. [Google Scholar] [CrossRef]
- Ip, S.W.; Lan, S.-H.; Lu, H.-F.; Huang, A.-C.; Yang, J.-S.; Lin, J.-P.; Huang, H.-Y.; Lien, J.-C.; Ho, C.-C.; Chiu, C.-F.; et al. Capsaicin mediates apoptosis in human nasopharyngeal carcinoma NPC-TW 039 cells through mitochondrial depolarization and endoplasmic reticulum stress. Hum. Exp. Toxicol. 2012, 31, 539–549. [Google Scholar] [CrossRef]
- Krizanova, O.; Steliarova, I.; Csaderova, L.; Pastorek, M.; Hudecova, S. Capsaicin induces apoptosis in PC12 cells through ER stress. Oncol. Rep. 2014, 31, 581–588. [Google Scholar] [CrossRef] [PubMed]
- Hou, N.; He, X.; Yang, Y.; Fu, J.; Zhang, W.; Guo, Z.; Hu, Y.; Liang, L.; Xie, W.; Xiong, H.; et al. TRPV1 Induced Apoptosis of Colorectal Cancer Cells by Activating Calcineurin-NFAT2-p53 Signaling Pathway. Biomed. Res. Int. 2019, 2019, 6712536. [Google Scholar] [CrossRef] [PubMed]
- Gosh, A.K.; Basu, S. Fas-associated factor 1 is a negative regulator in capsaicin induced cancer cell apoptosis. Cancer Lett. 2010, 287, 142–149. [Google Scholar] [CrossRef] [PubMed]
- Punzo, F.; Manzo, F.; Tortora, C.; Pota, E.; D’Angelo, V.; Bellini, G.; di Paolo, A.; Verace, F.; Casale, F.; Rossi, F. Effects of CB2 and TRPV1 receptors’ stimulation in pediatric acute T-lymphoblastic leukemia. Oncotarget 2018, 9, 21244–21258. [Google Scholar] [CrossRef][Green Version]
- Meents, J.E.; Ciotu, C.I.; Fischer, M.J.M. TRPA1: A molecular view. J. Neurophysiol. 2019, 121, 427–443. [Google Scholar] [CrossRef]
- Talavera, K.; Startek, J.B.; Alvarez-Collazo, J.; Boonen, B.; Alpizar, Y.A.; Sanchez, A.; Naert, R.; Nilius, B. Mammalian Transient Receptor Potential TRPA1 Channels: From Structure to Disease. Physiol. Rev. 2020, 100, 725–803. [Google Scholar] [CrossRef]
- Schaefer, E.A.M.; Stohr, S.; Meister, M.; Aigner, A.; Gudermann, T.; Buech, T.R.H. Stimulation of the chemosensory TRPA1 cation channel by volatile toxic substances promotes cell survival of small cell lung cancer cells. Biochem. Pharmacol. 2013, 85, 426–438. [Google Scholar] [CrossRef]
- Takahashi, N.; Chen, H.-Y.; Harris, I.S.; Stover, D.G.; Selfors, L.M.; Bronson, R.T.; Deraedt, T.; Cichowski, K.; Welm, A.L.; Mori, Y.; et al. Cancer Cells Co-opt the Neuronal Redox-Sensing Channel TRPA1 to Promote Oxidative-Stress Tolerance. Cancer Cell 2018, 33, 985–1003. [Google Scholar] [CrossRef]
- Escalera, J.; von Hehn, C.A.; Bessac, B.F.; Sivula, M.; Jordt, S.-E. TRPA1 Mediates the Noxious Effects of Natural Sesquiterpene Deterrents J. Biol. Chem. 2008, 283, 24136–24144. [Google Scholar] [CrossRef]
- Mathie, K.; Lainer, J.; Spreng, S.; Dawid, C.; Andersson, D.A.; Bevan, S.; Hofmann, T. Structure–Pungency Relationships and TRP Channel Activation of Drimane Sesquiterpenes in Tasmanian Pepper (Tasmannia lanceolata). J. Agric. Food Chem. 2017, 65, 5700–5712. [Google Scholar] [CrossRef]
- Hinman, A.; Chuang, H.-H.; Bautista, D.M.; Julius, D. TRP channel activation by reversible covalent modification. Proc. Natl. Acad. Sci. USA 2006, 103, 19564–19568. [Google Scholar] [CrossRef] [PubMed]
- Macpherson, L.J.; Dubin, A.E.; Evans, M.J.; Marr, F.; Schultz, P.G.; Cravatt, B.F.; Patapoutian, A. Noxious compounds activate TRPA1 ion channels through covalent modification of cysteines. Nature 2007, 445, 541–545. [Google Scholar] [CrossRef] [PubMed]
- Takahashi, N.; Mizuno, Y.; Kozai, D.; Yamamoto, S.; Kiyonaka, S.; Shibata, T.; Uchida, K.; Mori, Y. Molecular characterization of TRPA1 channel activation by cysteine-reactive inflammatory mediators. Channels 2008, 2, 287–298. [Google Scholar] [CrossRef] [PubMed]
- Bahia, P.K.; Parks, T.A.; Stanford, K.R.; Mitchell, D.A.; Karma, S.; Stevens, S.M., Jr.; Taylor-Clark, T.E. The exceptionally high reactivity of Cys 621 is critical for electrophilic activation of the sensory nerve ion channel TRPA1. J. Gen. Physiol. 2016, 147, 451–465. [Google Scholar] [CrossRef]
- Taniguchi, M.; Adachi, T.; Haraguchi, H.; Oi, S.; Kubo, I. Physiological Activity of Warburganal and Its Reactivity with Sulfhydryl Groups. J. Biochem. 1983, 94, 149–154. [Google Scholar] [CrossRef]
- Jonassohn, M.; Davidsson, R.; Kahnberg, P.; Sterner, O. The reactivity of drimane unsaturated dialdehydes towards nucleophiles. Tetrahedron 1997, 53, 237–244. [Google Scholar] [CrossRef]
- Lam, P.Y.-S.; Frazier, J.L. Model study on the mode of action of muzigadial antifeedant. Tetrahedron Lett. 1987, 28, 5477–5480. [Google Scholar] [CrossRef]
- Norbury, C.J.; Zhivotovsky, B. DNA damage-induced apoptosis. Oncogene 2004, 23, 2797–2808. [Google Scholar] [CrossRef]
- Kim, W.; Lee, S.; Seo, D.; Kim, D.; Kim, K.; Kim, E.; Kang, J.; Seong, K.M.; Youn, H.; Youn, B. Cellular Stress Responses in Radiotherapy. Cells 2019, 8, 1105. [Google Scholar] [CrossRef]
- Ercal, N.; Gurer-Orhan, H.; Aykin-Burns, N. Toxic Metals and Oxidative Stress Part I: Mechanisms Involved in Metal-induced Oxidative Damage. Curr. Top. Med. Chem. 2001, 1, 529–539. [Google Scholar] [CrossRef] [PubMed]
- Indo, H.P.; Davidson, M.; Yen, H.-C.; Suenaga, S.; Tomita, K.; Nishii, T.; Higuchi, M.; Koga, Y.; Ozawa, T.; Majima, H.J. Evidence of ROS generation by mitochondria in cells with impaired electron transport chain and mitochondrial DNA damage. Mitochondrion 2007, 7, 106–118. [Google Scholar] [CrossRef] [PubMed]
- Henkler, F.; Brinkmann, J.; Luch, A. The Role of Oxidative Stress in Carcinogenesis Induced by Metals and Xenobiotics. Cancers 2010, 2, 376–396. [Google Scholar] [CrossRef] [PubMed]
- Perillo, B.; Donato, M.D.; Pezone, A.; Zazzo, E.D.; Giovannelli, P.; Galasso, G.; Castoria, G.; Migliaccio, A. ROS in cancer therapy: The bright side of the moon. Exp. Mol. Med. 2020, 52, 192–203. [Google Scholar] [CrossRef] [PubMed]
- Mah, L.-J.; El-Osta, A.; Karagiannis, T.C. γH2AX: A sensitive molecular marker of DNA damage and repair. Leukemia 2010, 24, 679–686. [Google Scholar] [CrossRef]
- Rogakou, E.P.; Pilch, D.R.; Orr, A.H.; Ivanova, V.S.; Bonner, W.M. DNA Double-stranded Breaks Induce Histone H2AX Phosphorylation on Serine 139. J. Biol. Chem. 1998, 273, 5858–5868. [Google Scholar] [CrossRef]
- Lu, C.; Zhu, F.; Cho, Y.-Y.; Tang, F.; Zykova, T.; Ma, W.-y.; Bode, A.M.; Dong, Z. Cell Apoptosis: Requirement of H2AX in DNA Ladder Formation, but Not for the Activation of Caspase-3. Mol. Cell. 2006, 23, 121–132. [Google Scholar] [CrossRef]
- Bouchard, V.J.; Rouleau, M.; Poirier, G.G. PARP-1, a determinant of cell survival in response to DNA damage. Exp. Hematol. 2003, 31, 446–454. [Google Scholar] [CrossRef]
- Soldani, C.; Scovassi, A.I. Poly(ADP-ribose) polymerase-1 cleavage during apoptosis: An update. Apoptosis 2002, 7, 321–328. [Google Scholar] [CrossRef]
- Zhang, Y.-L.; Chen, G.-L.; Liu, Y.; Zhuang, X.-C.; Guo, M.-Q. Stimulation of ROS Generation by Extract of Warburgia ugandensis Leading to G0/G1 Cell Cycle Arrest and Antiproliferation in A549 Cells. Antioxidants 2021, 10, 1559. [Google Scholar] [CrossRef]
- Zhang, Y.; Chen, G.; Zhuang, X.; Guo, M. Inhibition of Growth of Colon Tumors and Proliferation of HT-29 Cells by Warburgia ugandensis Extract through Mediating G0/G1 Cell Cycle Arrest, Cell Apoptosis, and Intracellular ROS Generation. Oxid. Med. Cell. Longev. 2021, 2021, 8807676. [Google Scholar] [CrossRef]
- Thielen, S. Charakterisierung DNA-Schädigender Wirkungen Mittels Comet Assay und hPRT-Genmutations-Assay: Ein Vergleich Zwischen α,β-Ungesättigten Carbonylverbindungen, Epoxiden und N-Nitroso-Verbindungen. Ph.D. Thesis, TU Kaiserslautern, Kaiserslautern, Germany, 13 December 2007. [Google Scholar]
- Redza-Dutordoir, M.; Averill-Bates, D.A. Activation of apoptosis signalling pathways by reactive oxygen species. Biochim. Biophys. Acta Mol. Cell Res. 2016, 1863, 2977–2992. [Google Scholar] [CrossRef] [PubMed]
- Zeeshan, H.M.A.; Lee, G.H.; Kim, H.-R.; Chae, H.-J. Endoplasmic Reticulum Stress and Associated ROS. Int. J. Mol. Sci. 2016, 17, 327. [Google Scholar] [CrossRef] [PubMed]
- Schäfer, K.A. The Cell Cycle: A Review. Vet. Pathol. 1998, 35, 461–478. [Google Scholar] [CrossRef] [PubMed]
- Vermeulen, K.; Van Bockstaele, D.R.; Berneman, Z.N. The cell cycle: A review of regulation, deregulation and therapeutic targets in cancer. Cell Prolif. 2003, 36, 131–149. [Google Scholar] [CrossRef]
- Malumbres, M. Cyclin-dependent kinases. Genome Biol. 2014, 15, 122. [Google Scholar] [CrossRef]
- Alao, J.P. The regulation of cyclin D1 degradation: Roles in cancer development and the potential for therapeutic invention. Mol. Cancer 2007, 6, 24. [Google Scholar] [CrossRef]
- Caldon, C.E.; Musgrove, E.A. Distinct and redundant functions of cyclin E1 and cyclin E2 in development and cancer. Cell Div. 2010, 5, 2. [Google Scholar] [CrossRef]
- Yang, W.; Zhang, Y.; Li, Y.; Wu, Z.; Zhu, D. Myostatin Induces Cyclin D1 Degradation to Cause Cell Cycle Arrest through a Phosphatidylinositol 3-Kinase/AKT/GSK-3β Pathway and Is Antagonized by Insulin-like Growth Factor 1. J. Biol. Chem. 2007, 282, 3799–3808. [Google Scholar] [CrossRef]
- Chu, I.M.; Hengst, L.; Slingerland, J.M. The Cdk inhibitor p27 in human cancer: Prognostic potential and relevance to anticancer therapy. Nat. Rev. Cancer 2008, 8, 253–267. [Google Scholar] [CrossRef]
- Gstaiger, M.; Jordan, R.; Lim, M.; Catzavelos, C.; Mestan, J.; Slingerland, J.; Krek, W. Skp2 is oncogenic and overexpressed in human cancers. Proc. Natl. Acad. Sci. USA 2001, 98, 5043–5048. [Google Scholar] [CrossRef]
- Zhong, L.; Georgia, S.; Tschen, S.; Nakayama, K.; Bhushan, A. Essential role of Skp2-mediated p27 degradation in growth and adaptive expansion of pancreatic β cells. J. Clin. Investig. 2007, 117, 2869–2876. [Google Scholar] [CrossRef]
- Duan, Y.; Pan, J.; Chen, J.; Zhu, D.; Wang, J.; Sun, X.; Chen, L.; Wu, L. Soluble Egg Antigens of Schistosoma japonicum Induce Senescence of Activated Hepatic Stellate Cells by Activation of the FoxO3a/SKP2/P27 Pathway. PLoS Negl. Trop. Dis. 2016, 10, e0005268. [Google Scholar] [CrossRef]
- Li, F.; Dong, X.; Lin, P.; Jiang, J. Regulation of Akt/FoxO3a/Skp2 Axis Is Critically Involved in Berberine-Induced Cell Cycle Arrest in Hepatocellular Carcinoma Cells. Int. J. Mol. Sci. 2018, 19, 327. [Google Scholar] [CrossRef]
- Lohberger, B.; Rinner, B.; Stuendl, N.; Kaltenegger, H.; Steinecker-Frohnwieser, B.; Bernhart, E.; Rad, E.B.; Weinberg, A.M.; Leithner, A.; Bauer, R.; et al. Sesquiterpene Lactones Downregulate G2/M Cell Cycle Regulator Proteins and Affect the Invasive Potential of Human Soft Tissue Sarcoma Cells. PLoS ONE 2013, 8, e66300. [Google Scholar] [CrossRef]
- Felix, S.; Sandjo, L.P.; Opatz, T.; Erkel, G. SF002-96-1, a new drimane sesquiterpene lactone from an Aspergillus species, inhibits survivin expression. Beilstein J. Org. Chem. 2013, 9, 2866–2876. [Google Scholar] [CrossRef]
- Tang, J.-J.; Wang, M.-R.; Dong, S.; Huang, L.-F.; He, Q.-R.; Gao, J.-M. 1,10-Seco-Eudesmane sesquiterpenoids as a new type of anti-neuroinflammatory agents by suppressing TLR4/NF-κB/MAPK pathways. Eur. J. Med. Chem. 2021, 224, 113713. [Google Scholar] [CrossRef]
- Appendino, G.; Maxia, L.; Bascope, M.; Houghton, P.J.; Sanchez-Duffhues, G.; Muñoz Sterner, O. A Meroterpenoid NF-κB Inhibitor and Drimane Sesquiterpenoids from Asafetida. J. Nat. Prod. 2006, 69, 1101–1104. [Google Scholar] [CrossRef]
- Newman, D.J.; Cragg, G.M. Natural Products as Sources of New Drugs from 1981 to 2014. J. Nat. Prod. 2016, 79, 629–661. [Google Scholar] [CrossRef]
- Hughes, J.P.; Rees, S.; Kalindjian, S.B.; Philpott, K.L. Principles of early drug discovery. Br. J. Pharmacol. 2011, 162, 1239–1249. [Google Scholar] [CrossRef]
- Harvey, A.L. Natural products in drug discovery. Drug Discov. Today 2008, 13, 894–901. [Google Scholar] [CrossRef]
- Westhouse, R.A. Safety Assessment Considerations and Strategies for Targeted Small Molecule Cancer Therapeutics in Drug Discovery. Toxicol. Pathol. 2010, 38, 165–168. [Google Scholar] [CrossRef] [PubMed]
- Belhadj, S.; Keskes, H.; Apel, C.; Roussi, F.; Litaudon, M.; Hentati, O.; Allouche, N. Anti-diabetic and lipid-lowering effects of drimane sesquiterpenoids isolated from Zygogynum pancheri. Chem.-Biol. Interact. 2020, 330, 109167. [Google Scholar] [CrossRef] [PubMed]
- Zhao, Y.J.; Li, B.; Tan, L.-S.S.; Shen, Z.-L.; Loh, T.-P. Enantioselective Cationic Polyene Cyclization vs Enantioselective Intramolecular Carbonyl−Ene Reaction. J. Am. Chem. Soc. 2010, 132, 10242–10244. [Google Scholar] [CrossRef] [PubMed]
- Schafroth, M.A.; Sarlah, D.; Krautwald, S.; Carreira, E.M. Iridium-Catalyzed Enantioselective Polyene Cyclization. J. Am. Chem. Soc. 2012, 134, 20276–20278. [Google Scholar] [CrossRef]
- Arnold, A.M.; Pöthig, A.; Drees, M.; Gulder, T. NXS, Morpholine, and HFIP: The Ideal Combination for Biomimetic Haliranium-Induced Polyene Cyclizations. J. Am. Chem. Soc. 2018, 140, 4344–4353. [Google Scholar] [CrossRef]






















| Comp. | DU-145 (μM) | PC-3 (μM) | MCF-7 (μM) |
|---|---|---|---|
| 2 1 | 71.4 ± 8.5 | 89.2 ± 6.8 | 93.7 ± 9.1 |
| 4 1 | >200 | >200 | >200 |
| 49 1 | >200 | >200 | >200 |
| 50 2 | 70.6 ± 5.9 | 65.4 ± 5.5 | 97.1 ± 7.2 |
| 51 3 | >200 | >200 | >200 |
| 52 4 | 93.5 ± 6.7 | 97.5 ± 10.4 | >200 |
| 53 5 | >200 | 90.2 ± 8.8 | 88.4 ± 7.1 |
Publisher’s Note: MDPI stays neutral with regard to jurisdictional claims in published maps and institutional affiliations. |
© 2022 by the authors. Licensee MDPI, Basel, Switzerland. This article is an open access article distributed under the terms and conditions of the Creative Commons Attribution (CC BY) license (https://creativecommons.org/licenses/by/4.0/).
Share and Cite
Beckmann, L.; Tretbar, U.S.; Kitte, R.; Tretbar, M. Anticancer Activity of Natural and Semi-Synthetic Drimane and Coloratane Sesquiterpenoids. Molecules 2022, 27, 2501. https://doi.org/10.3390/molecules27082501
Beckmann L, Tretbar US, Kitte R, Tretbar M. Anticancer Activity of Natural and Semi-Synthetic Drimane and Coloratane Sesquiterpenoids. Molecules. 2022; 27(8):2501. https://doi.org/10.3390/molecules27082501
Chicago/Turabian StyleBeckmann, Lorenz, Uta Sandy Tretbar, Reni Kitte, and Maik Tretbar. 2022. "Anticancer Activity of Natural and Semi-Synthetic Drimane and Coloratane Sesquiterpenoids" Molecules 27, no. 8: 2501. https://doi.org/10.3390/molecules27082501
APA StyleBeckmann, L., Tretbar, U. S., Kitte, R., & Tretbar, M. (2022). Anticancer Activity of Natural and Semi-Synthetic Drimane and Coloratane Sesquiterpenoids. Molecules, 27(8), 2501. https://doi.org/10.3390/molecules27082501

