Abstract
Due to the structure of acylhydrazones both by the pharmacophore –CO–NH–N= group and by the different substituents present in the molecules of compounds of this class, various pharmacological activities were reported, including antitumor, antimicrobial, antiviral, antiparasitic, anti-inflammatory, immunomodulatory, antiedematous, antiglaucomatous, antidiabetic, antioxidant, and actions on the central nervous system and on the cardiovascular system. This fragment is found in the structure of several drugs used in the therapy of some diseases that are at the top of public health problems, like microbial infections and cardiovascular diseases. Moreover, the acylhydrazone moiety is present in the structure of some compounds with possible applications in the treatment of other different pathologies, such as schizophrenia, Parkinson’s disease, Alzheimer’s disease, and Huntington’s disease. Considering these aspects, we consider that a study of the literature data regarding the structural and biological properties of these compounds is useful.
1. Introduction
The acylhydrazones, through their structure, have significant malleability both chemically and pharmaceutically. Numerous representatives of this class of organic compounds are intermediates in the synthesis of heterocyclic compounds, including pentatomic ones [1,2,3,4,5,6]. They also present a structural variability that offers the possibility to synthesize compounds belonging to this class with various therapeutic indications (like cytotoxic, antibacterial, antifungal, antiviral, antioxidant, antiparasitic, anti-inflammatory, anticonvulsant, and antihypertensive) [7,8]. A number of derivatives containing the acylhydrazone moiety are used in therapy, such as nitrofurazone (antimicrobial), carbazochrome (antihemorrhagic), nifuroxazide (intestinal antibacterial), dantrolene (muscle relaxant), nitrofurantoin (antibacterial), nifuratel (antitrichomonal and antifungal), nifurzide (intestinal anti-infective), nifurtoinol (urinary anti-infective), naftazone (capillary stabilizing), azimilide (anti-arrhythmic), zorubicin (cytotoxic antibiotic) [9,10,11]. The structures of some representative pharmacologically active agents containing the acylhydrazone scaffold are shown in Figure 1.
Figure 1.
Structures of some representative bioactive molecules bearing the acylhydrazone template.
The objective of this paper is to review the literature describing the acylhydrazone moiety as an important scaffold for medicinal chemistry highlighting its versatility and drug-like character.
2. Structure
The acylhydrazones have in their structure the –CO–NH–N=CH– group in which there are: an electrophilic carbon atom (CH=N), a nucleophilic imine nitrogen atom, by the doublet of non-participating electrons (CH=N:), and an amino nitrogen atom with acidic character (–NH–) [12,13]. Thus, the acylhydrazone molecules are both electrophilic and nucleophilic [14]. The nucleophilic attack is performed at the amine nitrogen atom (NH), and the electrophilic one at the oxygen atom (CO) [15].
The acylhydrazones can also exhibit keto-enol tautomerism and through the electron donor (the oxygen atom of the carbonyl group) [14], together with the azomethine nitrogen atom (–N=), participate in the chelation of metal ions [16].
Due to the fact that the N=CH bond is in the vicinity of the amide nitrogen atom (CO–NH), the acylhydrazones may have an acidic character manifested by the yielding of the hydrogen atom bound to the azomethine carbon atom [17].
The acylhydrazones can form intermolecular hydrogen bonds through the hydrogen atom bound to the amino nitrogen (–NH–) and the oxygen atom [18,19,20], between the hydrogen atom bound to the imine carbon (CH) and the atomic nitrogen atom (–N=) of another molecule [20].
The acylhydrazones exhibit geometric isomerism due to the imine group (–N=CH–). Thus, they are in a mixture of E and Z isomers, where E is predominant, in general, because its stability is superior to the Z isomer [4,21].
Theoretically, the acylhydrazones can have four isomers, two of which are geometric isomers (E/Z) and are due to the C=N double bond, and two are conformal isomers (syn/anti) and are due to the N–N bond [5,22]. The structures of these isomers are shown in Figure 2 [14].
Figure 2.
Isomers of acylhydrazone derivatives.
In the case of N-aroylhydrazones 1a–k (Figure 3), the Z isomer is stabilized by intramolecular hydrogen bonds. Thus, it is found in a higher percentage than the E isomer [5].
Figure 3.
Intramolecular hydrogen bond.
The NMR spectra indicated that the N-acylhydrazones usually exist as a mixture of two conformers, namely E(C=N)(N–N) synperiplanar and E(C=N)(N–N) antiperiplanar, at room temperature in DMSO-d6. The E(C=N) configurational isomers rapidly establish synperiplanar/antiperiplanar equilibrium about the –CO–NH– bond, in the DMSO-d6 solution. The synperiplanar conformer predominates the antiperiplanar isomer due to its ability to develop intermolecular interactions with polar solvents, like DMSO [23].
3. Synthesis
The acylhydrazones 4 can be obtained by the condensation reaction of an aldehyde or ketone 3 with a derivative of the class of hydrazides 2 [24] in the presence of an alcohol [25,26], generally at reflux, and in an acidic medium [12,27,28,29,30,31,32] or in the absence of the acid catalyst [4,6,33,34,35,36,37]. The general synthesis reaction of acylhydrazones is presented in Scheme 1 [37].
Scheme 1.
General synthesis reaction of acylhydrazones.
4. Spectral Analysis
The vibration-rotation spectra of acylhydrazones show bands specific to the –CO–NH–N= moiety present in the structure of derivatives of this class. The intervals in which these bands are recorded are as follows: 1647–1687 cm−1 for the C=O connections [6,18,19], 3194–3440 cm−1 for the NH connection [6,19,29], with the specification that there is variation between symmetrical (3080 cm−1) and asymmetrical vibrations (3194 cm−1) [17], 980–1000 cm−1 for the N–N connection [38], 1578–1623 cm−1 for the N=C connection [17,18,19], and for the CH connection the value of the wavenumber in the region of 3050–3078 cm−1 was reported [6].
The values of the chemical shifts of the protons specific to the acylhydrazone derivatives in the 1H-NMR spectra are in the following ranges: 11.0–13.5 ppm for the proton of the –CO–NH– group [6,31], 8.5–12.5 ppm for the proton of the N–H bond [12,19,28], 8–9 ppm for the proton of the –N=CH– group [12,31].
In the 13C-NMR spectra, the chemical shift values for the imine carbon atom (–N=CH–) are between 157–168 ppm, and for the amide carbon atom (–CO–NH–) are reported between 159.0–173.5 ppm [6,31]. In some cases, the duplicated signals observed in the NMR spectra of acylhydrazones correspond to the presence of two amide bond-related conformers [23].
5. Biological Properties
Acylhydrazones have significant importance in the pharmaceutical field through numerous biological properties with multiple therapeutic indications. In the research studies performed using compounds from the acylhydrazone class, the following actions were reported: antitumor [25,26,27,28,39,40,41] and [42,43,44,45,46,47,48,49,50,51], cytotoxic [52], antibacterial [4,12,31,33,34,35] [53,54,55,56,57,58,59], antifungal [34,60,61], antiviral [62,63,64,65,66,67,68,69], antiparasitic [6,45,70,71,72,73,74,75,76], anti-inflammatory [32,73,77,78,79,80,81,82,83,84], analgesic [36,77,78,79,80,81,85], immunomodulatory [83,86], enzyme inhibition [29,86,87,88] and [89,90,91,92,93,94,95,96,97,98], antidiabetic [18], anticonvulsant [73], antioxidant [34,39,78,99,100,101], and effects on the cardiovascular system [102,103,104,105,106,107,108,109,110,111].
5.1. Antitumor Action
According to a recent study, 5-bromo-1-methyl-N’-[(E)-(1-methyl-1H-indol-3-yl)methylidene]-1H-indol-3-carbohydrazide 5 (Figure 4) showed antitumor action on breast, cervical and colon cancer cell lines by inducing cellular apoptosis. This action is exerted through cyclic adenosine monophosphate (cAMP)-dependent protein kinase A, p53 protein, and by stimulating the generation of reactive oxygen species (ROS) and nitric oxide (NO) [28].
Figure 4.
Structure of 5-bromo-1-methyl-N’-[(E)-(1-methyl-1H-indol-3-yl)methylidene]-1H-indole-3-carbohydrazide 5 with antitumor action.
Aneja et al. demonstrated that (E)-1-(4-methoxybenzyl)-N’-(7-methyl-2-oxoindolin-3-ylidene)-1H-1,2,3-triazole-4-carbohydrazide 6 (Figure 5) has an inhibitory effect on the kinase involved in cell replication, microtubule affinity regulatory kinase (4MARK4), fulfilling an antiproliferative effect simultaneously with increasing the production of ROS, inducing apoptosis in cancer cell lines [25].
Figure 5.
Structure of (E)-1-(4-methoxybenzyl)-N’-(7-methyl-2-oxoindolin-3-ylidene)-1H-1,2,3-triazole-4-carbohydrazide 6 with antiproliferative action.
The cytotoxic action was evidenced for several compounds of which two derivatives, namely N’-(1-(4,7-dihydroxy-2-oxo-2H-chromen-3-yl)ethylidene)benzohydrazide 7a and N’-(1-(4-hydroxy-2-oxo-2H-chromen-3-yl)ethylidene)benzohydrazide 7b (Figure 6), were identified as having an intensity of this effect comparable to that of doxorubicin and colchicine [27].
Figure 6.
Structures of N’-(1-(4,7-dihydroxy-2-oxo-2H-chromen-3-yl)ethylidene)benzohydrazide 7a and N’-(1-(4-hydroxy-2-oxo)-2H-chromen-3-yl)ethylidene)benzohydrazide 7b with cytotoxic action.
Very recently, Vilková et al. investigated the anticancer activity of some acridine acylhydrazone analogs 8a–d (Figure 7), among which 8a and 8c reduced the clonogenic capacity of A549 cells [112].
Figure 7.
Structures of acridine-benzohydrazides 8a–d with anticancer activity.
According to the evaluation of Lis et al., acylhydrazone 9 (Figure 8) induced apoptosis in erlotinib-resistant neoplasms as a result of selective STAT3 inhibition [40].
Figure 8.
Structure of compound 9 showing antitumor action.
Recently, Banumathi et al. showed that the azo-hydrazone analog 10 (Figure 9) exerted chemosensitivity specifically against EAC and A549 cells without altering their normal counterpart [113]. It was found that the antiproliferative activity of 10 was due to the induction of apoptosis by inhibiting the STAT3 signal. Furthermore, compound 10 attenuated solid tumor growth without inducing significant toxicological side effects.
Figure 9.
Structure of azo-hydrazone analog 10 with antiproliferative activity.
The acylhydrazone derivative 11 (Figure 10) exhibited an in vivo antiproliferative effect with a potency similar to that of colchicine both by inducing apoptosis and by inhibiting the polymerization of microtubules [26].
Figure 10.
Structure of derivative 11 with antiproliferative action.
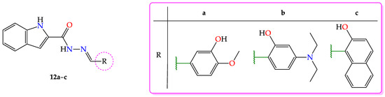
The derivatives 12a–c (Figure 11) presented, besides the antiproliferative action on human erythroleukemia K562 and melanoma Colo-38 cells, an antioxidant action demonstrated based on 1,1-diphenyl-2-picrylhydrazyl (DPPH) radical scavenging activity test, ferric reducing antioxidant power, and oxygen radical absorbance capacity [39].
Figure 11.
Structures of indole-hydrazone derivatives 12a–c with antiproliferative and antioxidant actions.
According to a study by Sun et al., it was found that a derivative of the class of acylhydrazones (13) (Figure 12) showed antitumor action with possible use in gastric cancer as a lysine-specific demethylase 1 (LSD1) inhibitor [41].
Figure 12.
Structure of acylhydrazone 13 with antitumor action.
Congiu et al. synthesized a series of acylhydrazone derivatives 14a–d (Figure 13) which showed cytotoxic effect and inhibition of tumor development for a relatively large number of neoplasms [42].
Figure 13.
Structures of the acylhydrazone class compounds 14a–d with cytotoxic effect.
A series of acylhydrazone-derived compounds displayed cytotoxic action of variable intensity. Thus, for compound 15, the potency of the effect was higher compared to doxorubicin in promyelocytic leukemia [43]; for the acylhydrazone derivative 16, the intensity of the effect was significant due to the exercise of cytotoxic action on different neoplasms including resistant cell lines [44]. The benzothiazole acylhydrazones 17a–c showed selective inhibition towards cancer cells. Moreover, derivative 17a displayed higher antiproliferative activity than the reference agent cisplatin [114]. The structures of the acylhydrazones 15–17 are presented in Figure 14.
Figure 14.
Structures of acylhydrazones 15–17 with cytotoxic action.
In the case of acylhydrazone derivatives, the cytotoxic mechanism does not involve the generation of ROS leading to apoptosis. The derivative 18 (Figure 15) falls into this category of compounds, influencing the cell cycle, cell division, and ribonucleotide reductase, an enzyme that changes its activity following the chelation of iron ions [46].
Figure 15.
Structure of the acylhydrazone derivative 18 with cytotoxic action.
In a study by Yu et al., two derivatives of the class of acylhydrazones 19 and 20 (Figure 16) with cytotoxic action superior to the reference substance (5-fluorouracil) were reported [47].
Figure 16.
Structures of compounds 19 and 20 with cytotoxic action.
Acylhydrazone 21 (Figure 17) could be used in therapy as an antitumor agent with insignificant effects on normal cell lines due to the fact that it induces apoptosis by depolarizing the mitochondrial membrane and generating ROS in cancer cell lines. In addition to these actions, the compound is involved in the inhibition of tubulin polymerization [48].
Figure 17.
Structure of acylhydrazone derivative 21 with antitumor action.
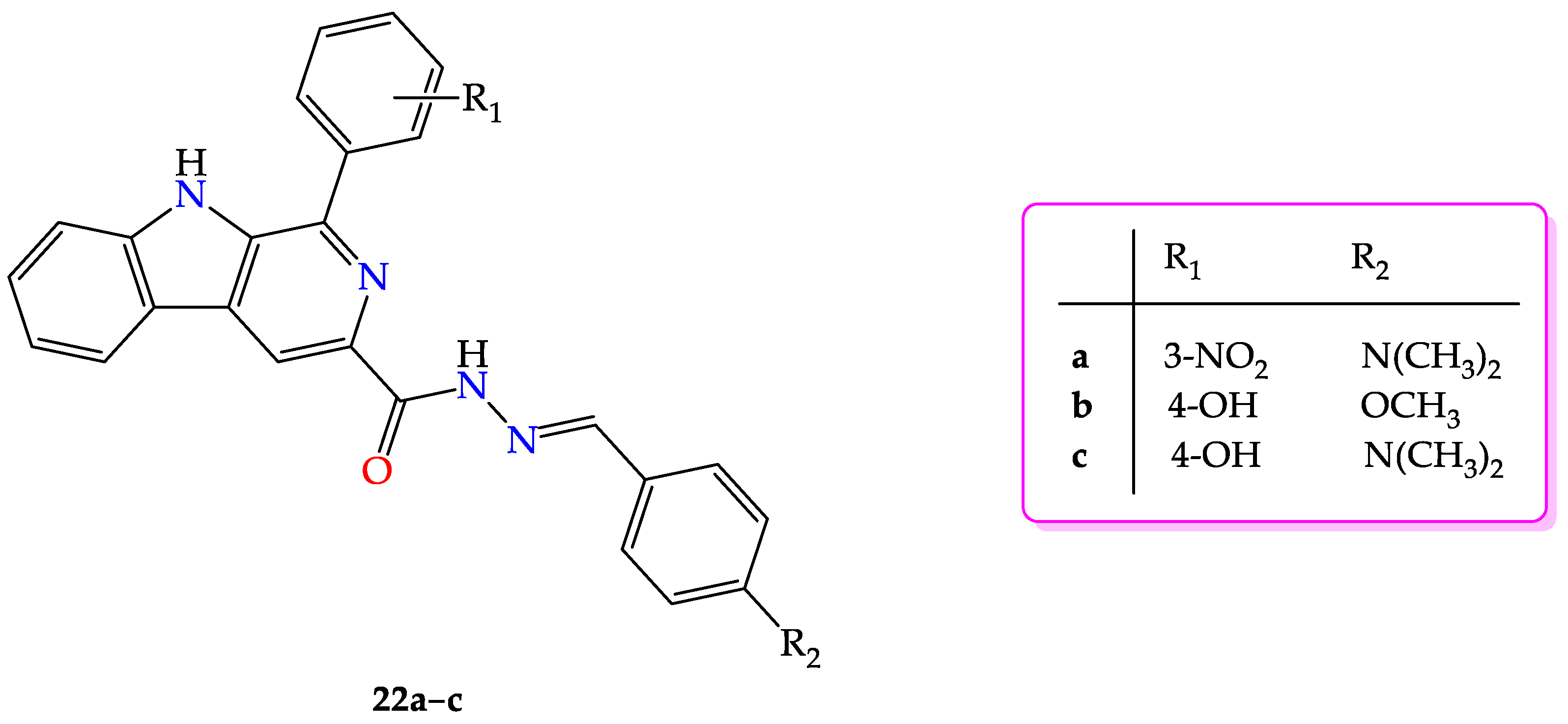
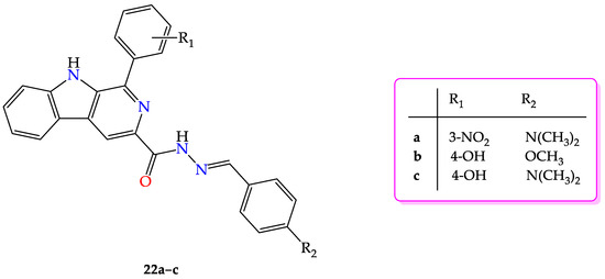
Compound 22a showed the strongest cytotoxic action on all cell cultures used, and derivatives 22b and 22c exhibited cytotoxicity only on a certain (ovarian cancer) cell line. In the experimental model of Ehrlich solid carcinoma, the acylhydrazone 22a showed inhibition of tumor development comparable to that of the reference substance, 5-fluorouracil [49]. The structures of acylhydrazones 22a–c are presented in Figure 18.
Figure 18.
Structures of acylhydrazones 22a–c with cytotoxic action.
De Almeida et al. evaluated the cytotoxic action of a series of derivatives from the class of acylhydrazones. The research showed that acylhydrazone 23 (Figure 19) exerted the best action in the series of studied compounds, probably due to the bromine substituent in the para position on the phenyl nucleus [50].
Figure 19.
Structure of compound 23 with intense antitumor action.
The acylhydrazone derivative 24 (Figure 20) showed antitumor action on the studied cancer cell lines with increased intensity on the lung cancer cell line. The cytotoxic action is due to the generation of ROS and the altering of the cell cycle [51].
Figure 20.
Structure of the acylhydrazone derivative 24 with antitumor action.
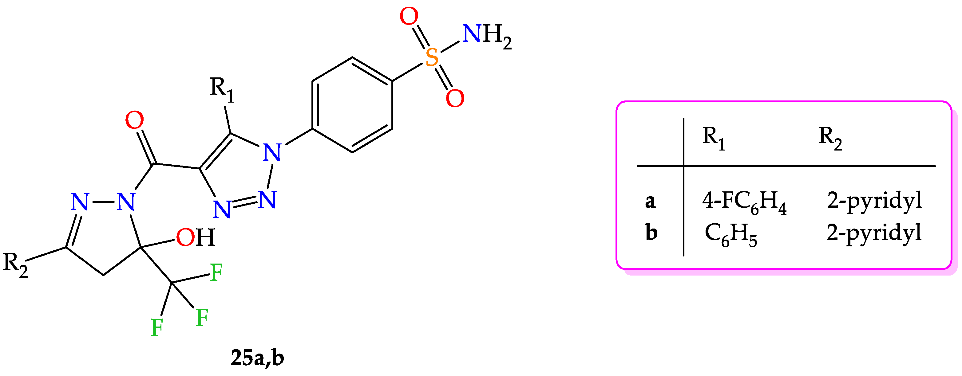
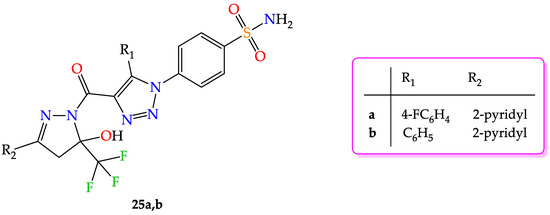
Compounds 25a and 25b (Figure 21) showed the inhibitory effect against carbonic anhydrase IX and XII isoforms, respectively, involved in the growth and development of tumors [29].
Figure 21.
Structures of acylhydrazone compounds 25a,b with antitumor effect.
The derivative 26 (Figure 22) showed antitumor action with a higher potency compared to 5-fluorouracil, due to the inhibitory effect of telomerase [91].
Figure 22.
Structure of acylhydrazone 26 with antitumor action.
The acylhydrazone 27 (Figure 23) demonstrated the inhibitory activity on phosphatidyl-inositol-3-kinase, which is involved in cell division. Gao et al. assumed that the action was feasible due to the nitrogen atoms and substituents in the compound structure [94].
Figure 23.
Structure of compound 27 with antitumor activity.
The acylhydrazone 28 (Figure 24) was reported as an inhibitor with significant action on lactate dehydrogenase A, an isoform that exhibits abnormal activity in tumor cells [96].
Figure 24.
Structure of compound 28 with lactate dehydrogenase A inhibitory action.
5.2. Antimicrobial Action
5.2.1. Antibacterial Action
There are many acylhydrazones described to have antimicrobial effects on various bacterial strains. It is difficult to analyze the structure-activity relationships because of the high chemical diversity of these compounds. As a general rule, the compounds active on Gram-negative bacteria are more hydrophilic than those effective on Gram-positive bacteria because of the differences in their cell wall structure [115,116]. Many of the studies reported here used acylhydrazone scaffold as the rationale for their drug-design process and presented only the phenotypic antibacterial activity without the mechanism of the effect.
A series of acylhydrazone salts 29a,b (Figure 25) were synthesized and their antimicrobial action was studied. It is noteworthy that the investigated derivative 29a exerted antimicrobial action on methicillin-resistant Staphylococcus aureus (MRSA), Escherichia coli, Clostridium difficile, and Candida albicans. A high potency action was registered on methicillin-resistant Staphylococcus aureus and Escherichia coli (29b) [31]. Overall, molecular dynamics simulation analysis showed that the effect of structural features, such as pyridinium scaffold, hydrophobic side chains, and –CO–NH–N= linker, in the diffusion of such substances across the cell membrane and that it could be responsible for their antibacterial activity. In order to understand the mechanism of acylhydrazone salts 29a,b as anti-bacterial agents, docking experiments were performed against the microbial target, E. coli glucosamine-6-P synthase. The acylhydrazone salts 29a,b were predicted to form stable hydrogen bonding and hydrophobic interactions. Molecular dynamics simulation highlighted the target interaction behavior of these derivatives at the surface of cell membranes indicating a passive diffusion mechanism at the surface layer.
Figure 25.
Structures of the salts of acylhydrazones 29a,b with antimicrobial action.
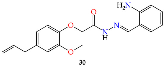
Among the pathogenic microorganisms, for which the antimicrobial action of acylhydrazone derivatives was demonstrated there is also Mycobacterium tuberculosis. Rohane et al. synthesized an acylhydrazone 30 (Figure 26) with the most intense action among the obtained derivatives due to the substituents on the benzene ring. The reference substance used was isoniazid [33]. Molecular docking studies investigating acylhydrazone analogs using enoyl acyl carrier protein reductase as their potential biological target indicate that the hydroxyl, azide, amino, and phenyl groups of the spacer of the acylhydrazone play an important role in the interactions with the active site [33]. The enoyl acyl carrier protein reductase is an attractive target for drug-design, being essential in the type II fatty acid synthase system found in microorganisms and without homologue in mammals [117].
Figure 26.
Structure of acylhydrazone 30 with tuberculostatic action.
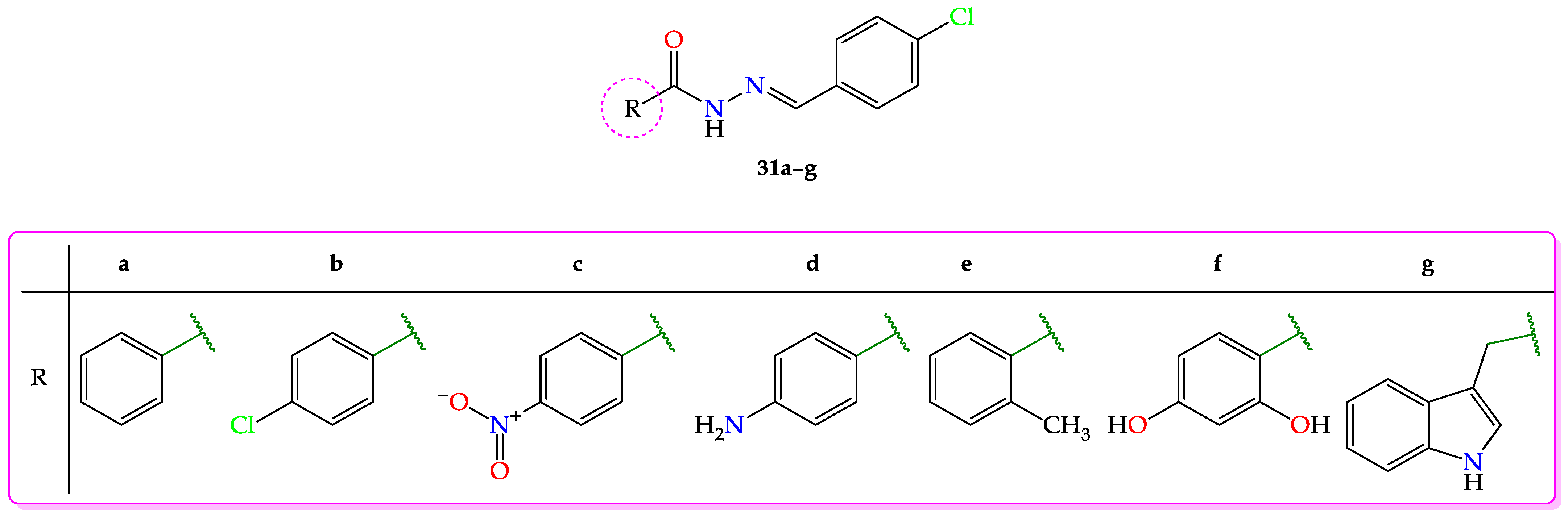
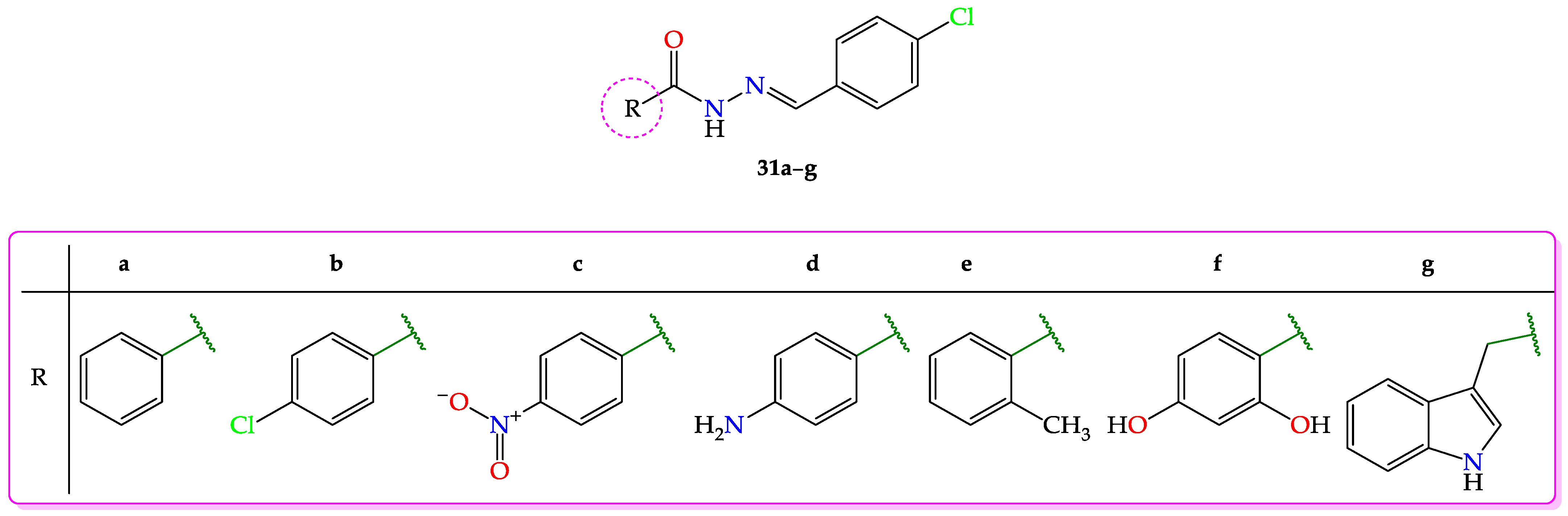
Siddique et al. obtained a series of new compounds 31a–g (Figure 27), that showed antibacterial and antifungal actions with varying intensities studied on Escherichia coli, Bacillus subtilis, Salmonella typhimurium, Staphylococcus aureus, and Candida albicans [34].
Figure 27.
Structures of acylhydrazones 31a–g with antibacterial and antifungal actions.
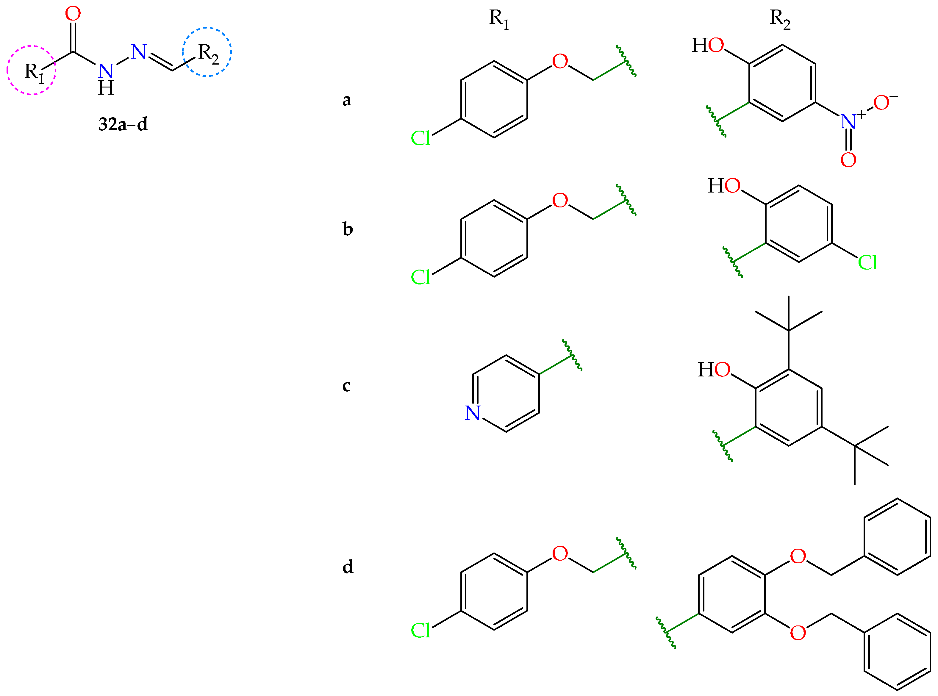
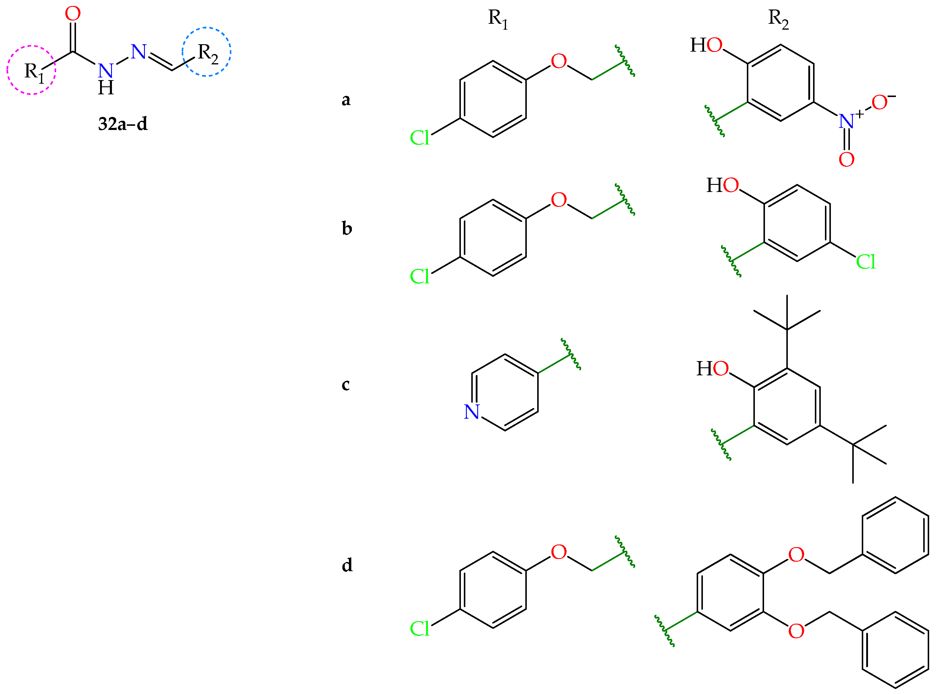
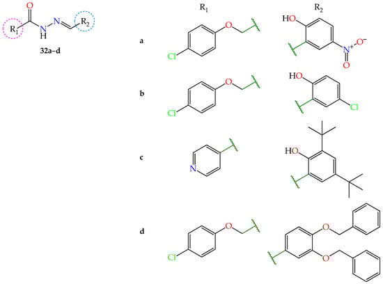
The mechanism of antibacterial action, in the case of acylhydrazones 32a–d (Figure 28), studied by Xia et al., is to modulate the expression of genes responsible for hemolysis and virulence of tested pathogenic microorganisms [35].
Figure 28.
Structures of acylhydrazones 32a–d with antibacterial action.
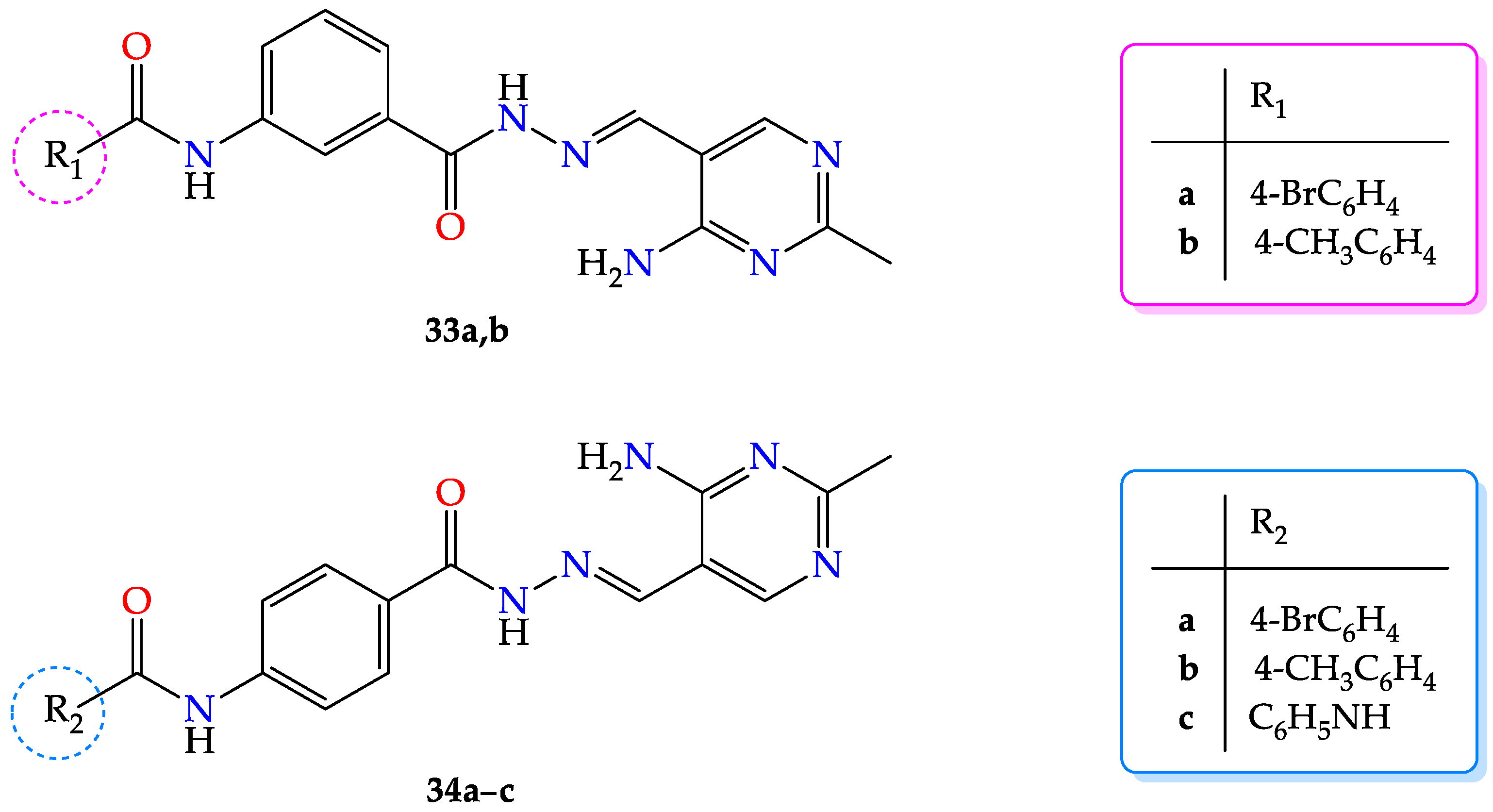
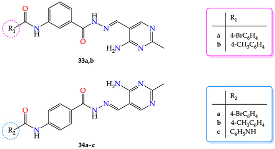
The acylhydrazone derivatives 33a,b and 34a–c (Figure 29) showed antibacterial action on Escherichia coli by inhibiting the enzymatic pyruvate dehydrogenase complex (PDHc). Among the compounds studied, the most active was 34b. The acylhydrazones 33a and 33b exhibited selectivity for the enzymatic complex [12].
Figure 29.
Structures of acylhydrazone derivatives 33a,b and 34a–c with antibacterial action.
The antimicrobial action of some acylhydrazone derivatives against Escherichia coli, resulting from the inhibition of the multienzyme PDHc-E1, was also investigated. Among the compounds studied, acylhydrazones 35a–d (Figure 30) exerted the best action with good selectivity [53].
Figure 30.
Structures of acylhydrazone derivatives 35a–d with antimicrobial action.
The acylhydrazone derivatives 36a–d (Figure 31) showed intense antibacterial action on Pseudomonas aeruginosa, a resistant microorganism [4].
Figure 31.
Structures of acylhydrazones 36a–d with antibacterial action.
According to studies by Jin et al., the acylhydrazones 37a,b (Figure 32) exhibited a broad antibacterial spectrum, being active on both Gram-negative bacteria (Escherichia coli, Pseudomonas aeruginosa) and Gram-positive bacteria (Bacillus subtilis, Staphylococcus aureus) [54,55].
Figure 32.
Structures of derivatives 37a,b with antibacterial action.
The complex of acylhydrazone 38 (H2L) with zinc (II) ion as [Zn(HL)2]∙EtOH showed an intense antimicrobial action on most of the tested bacterial strains. Among the microorganisms on which this property was studied are Bacillus subtilis, methicillin-resistant Staphylococcus aureus, Escherichia coli, and Haemophilus influenzae. The potency of the complex on Haemophilus influenzae was significant [56]. The structure of acylhydrazone 38 is presented in Figure 33.
Figure 33.
Structure of acylhydrazone 38 with antimicrobial action.
Among the compounds investigated are acylhydrazones 39 with action on Escherichia coli, Pseudomonas aeruginosa, Staphylococcus aureus, Bacillus subtilis [57] and 40 which was only active on Mycobacterium tuberculosis among the microorganisms included in the study [58]. The structures of acylhydrazones 39 and 40 are shown in Figure 34.
Figure 34.
Structures of acylhydrazones 39 and 40 with antimicrobial action.
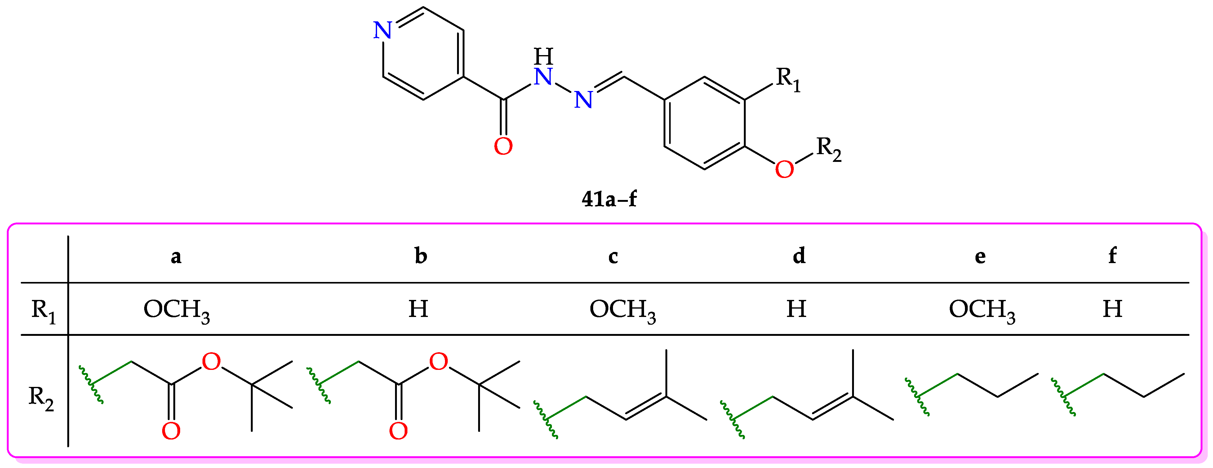
Shah et al. synthesized a series of isonicotinic hydrazid-based acylhydrazone analogs 41a–f (Figure 35), which were evaluated for their antibacterial activity against two Gram-positive strains, namely Staphylococcus aureus, Bacillus subtilis, and a Gram-negative bacterium, i.e., Escherichia coli [118]. The results showed that the studied compounds 41a–f had appreciable antibacterial activity against the tested strains, among which the derivatives 41c and 41e proved to be the most active, being promising agents in the treatment of bacterial infections. The acylhydrazones 41a–f were also screened for their cytotoxic effect, the maximum activity being noted for analogs 41e and 41f.
Figure 35.
Structures of acylhydrazones 41a–f with antibacterial and cytotoxic actions.
The acylhydrazone 42 (Figure 36) showed good antimicrobial activity on Escherichia coli by inhibiting the PDHc-E1 due to the para-NO2 group grafted on the benzene ring [93].
Figure 36.
Structure of acylhydrazone 42 with antimicrobial action.
Yao et al. designed and synthesized a series of aminoguanidine derivatives containing an acylhydrazone moiety 43a–h (Figure 37), which were evaluated for their antimicrobial activity against Gram-positive bacteria (Staphylococcus aureus, Enterococcus faecalis, Bacillus subtilis, and Streptococcus mutans) and Gram-negative strains (Escherichia coli; Pseudomonas aeruginosa) [119]. Penicillin, oxacillin, and norfloxacin were used as positive controls. The derivative 43d displayed a wide spectrum of antibacterial effects, being active on both Gram-positive and Gram-negative bacterial strains.
Figure 37.
Structures of acylhydrazones 43a–h screened for antibacterial activity.
5.2.2. Antifungal Action
The acylhydrazones 31a, 31b, 31c, and 31e (Figure 27) studied on Candida albicans exerted a moderate antifungal effect [34]. Additionally, the derivatives 44a–e (Figure 38) showed modest antifungal activity against different fungal strains (Candida albicans, Candida tropicalis, Candida krusei, Candida glabrata, and Candida parapsilosis) [60]. In the case of compounds 44a–d, the association of the carbohydrate unit with the acylhydrazone moiety determined the increase of the fungicidal effect on Candida parapsilosis. The acylhydrazone derivatives 45a,b (Figure 38), from the series synthesized by Reis et al., had selectivity for Candida glabrata and a potency comparable to that of the nystatin [61].
Figure 38.
Structures of acylhydrazone derivatives 44a–e and 45a,b with antifungal action.
All the compounds 46a–g (Figure 39), obtained by Kumar et al., showed excellent antifungal activity against Aspergillus niger compared to the reference drug (clotrimazole), good antimalarial effect against Plasmodium falciparum compared to the standard drug chloroquine, and moderate to good antibacterial activity against Gram-positive bacterium strain Bacillus cereus compared to clotrimazole [120].
Figure 39.
Structures of acylhydrazones 46a–g with antimicrobial and antimalarial actions.
5.3. Antiviral Action
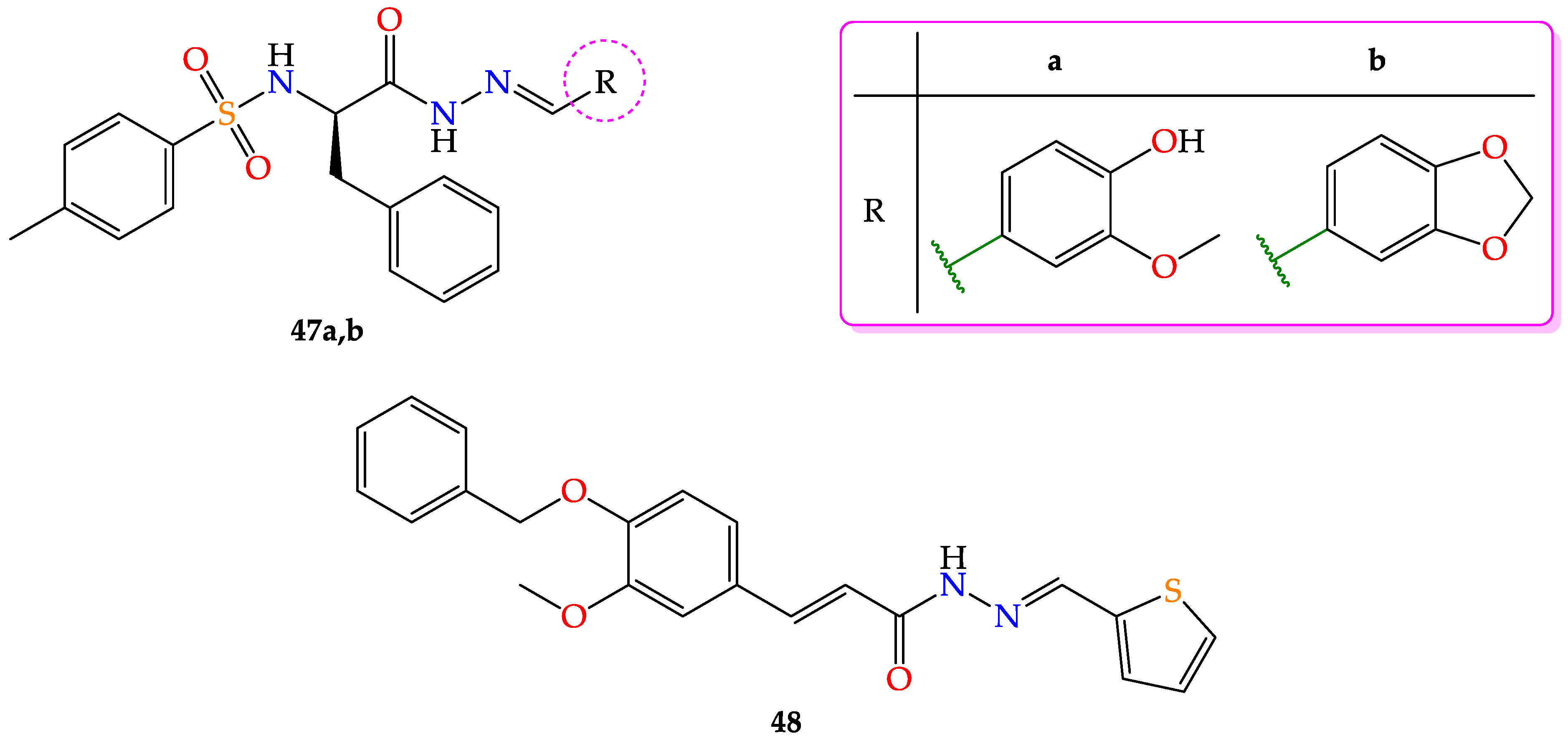
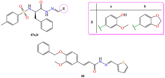
In the case of some derivatives from the acylhydrazone class, it is reported in the literature that they exhibit antiviral action. This effect was identified for acylhydrazones 47a,b and 48 (Figure 40), which were studied as inhibitors targeting Human immunodeficiency virus type 1 (HIV-1) capsid protein [62] and on Tobacco mosaic virus, respectively [63].
Figure 40.
Structures of acylhydrazone derivatives 47a,b and 48 with antiviral action.
Additionally, the acylhydrazone derivatives 49–55 (Figure 41) were studied for their antiviral action. Through the research undertaken, the following results were obtained, namely, compound 49 displayed antiviral action on HIV-1 by blocking the activity of the viral envelope glycoprotein [64], analog 50 showed intense action on HIV-1 [65], and derivatives 51 and 52 had antiviral action on the Epstein–Barr virus [66]. Compound 53, with possible application in the treatment of the Influenza virus, had neuraminidase inhibitory action more potent than oseltamivir [67]. The derivatives 54 and 55, containing in their structure a monosaccharide moiety (D-mannose, D-ribose), displayed the highest potency in the series of studied compounds on Hepatitis A virus (54) and Herpes simplex 1 (55), using as reference substance amantadine, respectively, acyclovir [68].
Figure 41.
Structures of acylhydrazone derivatives 49–55 with antiviral action.
In the case of acylhydrazone derivatives, the antiviral action against HIV and Influenza A virus subtype H1N1 was shown to be determined by the enzymatic inhibition resulting from the chelation of metal ions in the viral structure and endonucleases [69].
The acylhydrazone class derivative 56 (Figure 42) was found to be an influenza virus endonuclease inhibitor due to the ability of complexation of metal ions (through –OH groups) in the enzyme structure and forming hydrogen bonds [98].
Figure 42.
Structure of acylhydrazone 56 with influenza virus endonuclease inhibitory action.
5.4. Antiparasitic Action
Some acylhydrazone derivatives were studied for their antiparasitic activity. For example, compounds 57a,b had antiparasitic action against Entamoeba histolytica which was superior to that of metronidazole with lower toxicity [6]. Compound 58a showed antimalarial activity as an inhibitor of β-hematin synthesis and derivative 58b displayed antiamoebic effect [70]. Compounds 59 [71] and 60a–c exhibited antiparasitic action against the Plasmodium falciparum, 60b being the most potent compound in the series [72]. The structures of acylhydrazone compounds 57–60 are presented in Figure 43.
Figure 43.
Structures of acylhydrazones 57–60 with antiparasitic action.
The derivatives 61a,b [74], 62 [45] with antiparasitic action on Trypanosoma cruzi, and analog 63 [75] active against Leishmania amazonensis were also reported (Figure 44).
Figure 44.
Structures of acylhydrazone derivatives 61–63 with antiparasitic action.
The mechanism of antiparasitic action of the acylhydrazone derivative 64 (Figure 45) is based on membrane depolarization, production of ROS, and alteration of cell membrane integrity in the case of the parasite L. amazonensis [121].
Figure 45.
Structure of acylhydrazone 64 with antiparasitic action.
A compound with an inhibitory effect on the development of Plasmodium falciparum was obtained by complexing the acylhydrazone 65 (Figure 46) with iron ions [73].
Figure 46.
Structure of compound 65 with antiparasitic action on Plasmodium falciparum.
The acylhydrazones 66a,b (Figure 47) showed antiparasitic action via inhibition of cruzain, the major cysteine protease of Trypanosoma cruzi. The effect was comparable to that of the reference substance nifurtimox [76,122].
Figure 47.
Structures of acylhydrazones 66a,b with antiparasitic action on Trypanosoma cruzi.
5.5. Anti-Inflammatory Action
Acylhydrazone class compounds 67–72 (Figure 48) exerted anti-inflammatory activity. Thus, compound 67 inhibited the cascade of arachidonic acid based on the naphthyl group which facilitates hydrophobic interactions with IKK-β [32]. The derivatives 68a,b showed anti-inflammatory and analgesic activities, the effects exerted by 68a being of lower intensity [77]. In the case of compound 69a, the anti-inflammatory action was determined by the presence of the –NO2 group [78]. The derivative 69b had an anti-inflammatory action comparable to that of nimesulide [79]. Compounds 69c and 70a,b demonstrated the anti-inflammatory effect by inhibiting the NF-kB pathway and the release of IL-8 [80]. Analog 71 also exerted analgesic action in addition to the anti-inflammatory one [81]. The derivative 72 had an anti-inflammatory effect by reducing the eosinophilia due to low IL-4, IL-5, and IL-13 cytokine levels [82]. This suggests its therapeutic potential for treating allergic diseases. Additionally, 72 demonstrated the anti-inflammatory action by modulating IL-1β secretion and PGE2 synthesis in macrophages and by inhibiting calcineurin phosphatase activity in lymphocytes [83].
Figure 48.
Structures of acylhydrazone derivatives 67–72 with anti-inflammatory action.
The anti-inflammatory effect of acylhydrazone 73 (Figure 49) was due to the selective inhibition of cyclooxygenase-2 (COX-2) and decreasing lymphocyte proliferation [84]. Moreover, the in silico analysis and experimental results suggested that 73 exhibits a well-balanced pharmacodynamic and pharmacokinetic profile.
Figure 49.
Structure of the acylhydrazone derivative 73 with anti-inflammatory action.
Compound 74 (Figure 50), synthesized by Ünsal-Tan et al., was reported as a non-selective COX inhibitor with the highest potency among the studied derivatives [97].
Figure 50.
Structure of the acylhydrazone derivative 74 with non-selective COX inhibitory action.
The acylhydrazones 75a–c (Figure 51) exhibited an anti-inflammatory effect comparable to that of indomethacin, but do not affect the gastric mucosa [73].
Figure 51.
Structures of compounds 75a–c with anti-inflammatory action.
In addition to the anti-inflammatory activity, compounds of the acylhydrazone class 68a,b [77], 69a [78], 69b [79], 70a [80], and 71 [81] (Figure 48) demonstrated analgesic action. This effect, in association with the anti-inflammatory activity, may have possible therapeutic applications in various pathologies.
It was found that the analgesic action mediated by acylhydrazones 76a,b was exerted via the opioidergic system [36]. Cordeiro et al. showed that amino-pyridinyl-N-acylhydrazone 77 exhibited anti-inflammatory activity by inhibiting p38α, reducing inflammatory pain, cell migration, and inflammatory mediators participating in the MAPK pathway, such as IL-1β and NF-α [123]. The structures of acylhydrazones 76a,b and 77 are presented in Figure 52.
Figure 52.
Structures of acylhydrazones 76a,b and 77 with anti-inflammatory and analgesic actions.
5.6. Immunomodulatory Action
The action of acylhydrazone derivatives on the immune system was also reported in the literature. The acylhydrazone class derivative 72 (Figure 48) showed immunomodulatory effect by inhibiting cytokine production and lymphocyte proliferation [83].
According to a study conducted by Guimarães et al., acylhydrazone 78 (Figure 53) exhibited immunosuppressive activity due to the inhibitory action of phosphodiesterase-4 (PDE-4), inhibiting phosphorylation of IkB protein which interferes with the NF-kB pathway [86].
Figure 53.
Structure of acylhydrazone 78 with immunosuppressive effect.
5.7. Antiedematous Action
Compounds 25b (R1 = C6H5, R2 = 2-pyridyl) and 25c (R1 = CH3, R2 = 4-BrC6H4) (Figure 21), having in their structures the acylhydrazone moiety closed in a heterocycle, showed antiedematous effect by inhibiting carbonic anhydrase I isoform [29].
5.8. Antiglaucomatous Action
The acylhydrazone derivatives 25c (R1 = CH3 and R2 = 4-BrC6H4), 25d (R1 = CH3 and R2 = C6H5), 25e (R1 = CH3 and R2 = 4-CH3C6H4) (Figure 21), and 79 (Figure 54) exhibited antiglaucomatous activity by inhibiting the carbonic anhydrase II isoform [29].
Figure 54.
Structure of acylhydrazone compound 79 with antiglaucomatous effect.
5.9. Activity on the Central Nervous System (CNS)
The acylhydrazones 80a–f showed the inhibitory action on acetylcholinesterase and good antiaggregation activity on plates of β-amyloid. The enzyme inhibition was noted as the effect depending on the conformation of the enzyme-substrate complex, with relatively better results than the other compounds in the case of 80d and 80f [88]. The derivative 81 is one of the substances synthesized by Viegas et al. with possible beneficial effects in Alzheimer’s disease by inhibiting acetylcholinesterase, COX-1, and COX-2 [89]. Compound 82 could be a potential candidate for use in neurodegenerative diseases due to passive diffusion through the blood–brain barrier and controlling neuronal synapses [90]. The structures of compounds 80–82 are presented in Figure 55.
Figure 55.
Structures of compounds 80–82 with activity on the CNS.
Compounds 83 and 84 (Figure 56), which showed the chelating affinity of iron (II) ions, presented inhibitory action on ten-eleven translocation methylcytosine dioxygenase 1 (TET 1). This protein catalyzes the chemical reaction of transforming 5-methylcytosine into 5-hydroxymethylcytosine, a substance that in abnormal concentrations is associated with diverse pathologies, like leukemia, Parkinson’s disease, and Alzheimer’s disease [87].
Figure 56.
Structures of acylhydrazones 83 and 84 with action due to chelation of iron (II) ion.
An acylhydrazone derivative 85 (Figure 57) was reported as a potent phosphodiesterase 10A (PDE10A) inhibitor probably due to the presence in their structure of the substituted 4-quinoline nucleus [92]. The PDE10A is implicated in diverse central nervous system pathologies, such as Parkinson’s disease and Huntington’s disease, and mental disorders, like schizophrenia [92].
Figure 57.
Structure of acylhydrazone 85 with PDE10A inhibitory action.
The derivative of acylhydrazone 86 (Figure 58) exerted inhibitory action of an isoform of lipooxygenase (15-LOX-1) with good intensity, due to the ortho-chlorine atom on the benzene nucleus. This isoform is involved in pathologies, such as Alzheimer’s disease and Parkinson’s disease [95].
Figure 58.
Structure of acylhydrazone 86 with inhibitory action of a LOX isoform.
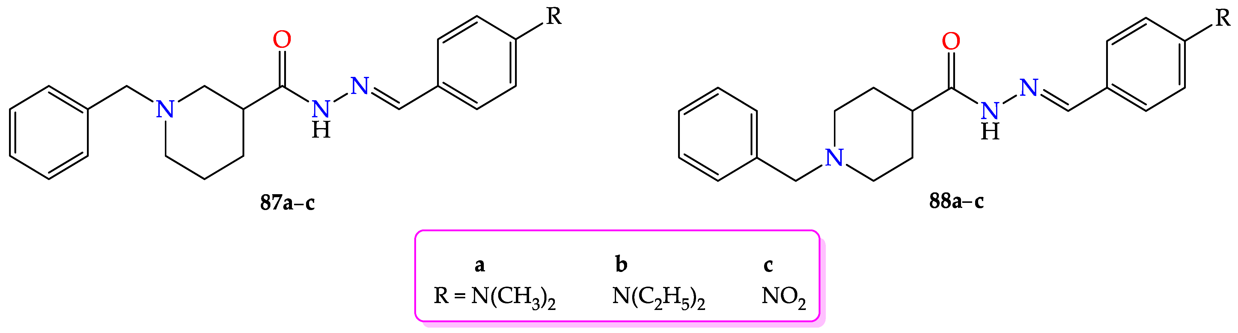
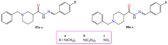
The piperidinehydrazide-hydrazones 87a–c and 88a–c (Figure 59) showed potential anti-Alzheimer activity by inhibiting the β-amyloid plaque formation [99]. Furthermore, the acylhydrazones 87a,b and 88a,b displayed strong antioxidant activity due to the presence in their molecules of the dimethylamino (87a, 88a), respectively, diethylamino moiety (87b, 88b).
Figure 59.
Structures of acylhydrazone derivatives 87a–c and 88a–c with antioxidant action.
5.10. Antidiabetic Activity
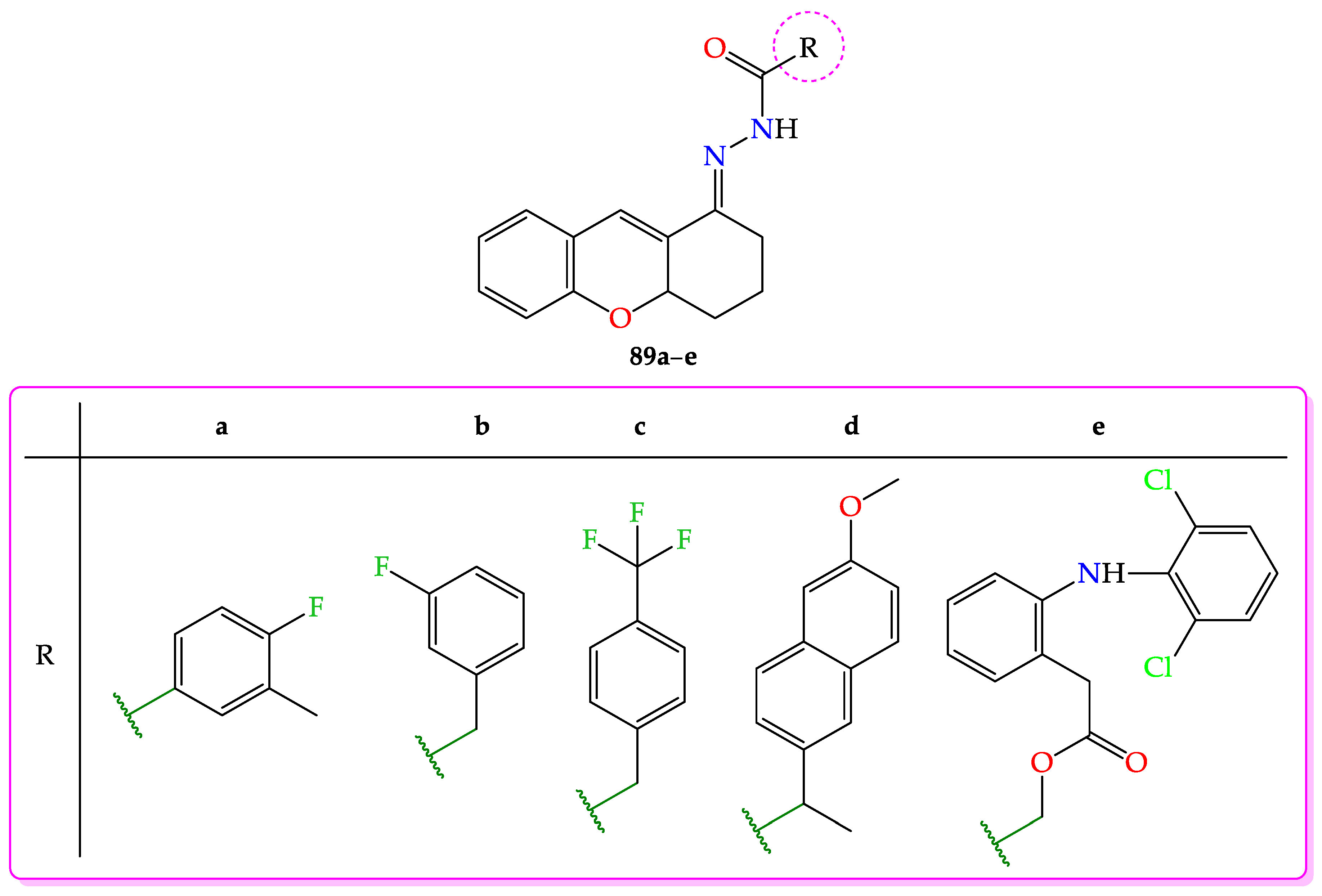
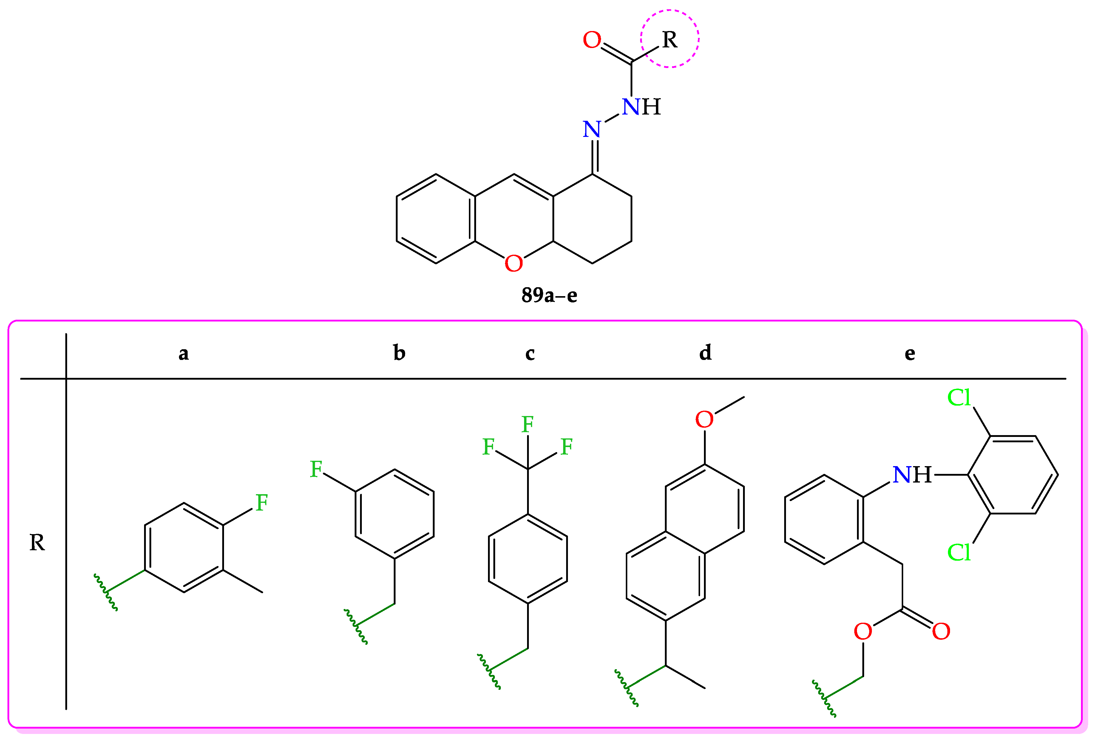
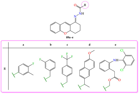
Compounds 89a–e (Figure 60) showed an antidiabetic effect due to the inhibition of α-glucosidase, an enzyme that catalyzes the cleavage of oligosaccharides into monosaccharides. The derivative with an electronegative group in the para position (89c) exhibited the most intense action [18].
Figure 60.
Structures of acylhydrazone compounds 89a–e with antidiabetic action.
5.11. Antioxidant Action
Among the various pharmacological studies performed in the case of some acylhydrazone derivatives are those that showed their antioxidant effects [34,39,78,101].
In addition to the above-mentioned properties identified in the case of acylhydrazones 31a, 31c, 31g (Figure 27) [34], and 69a (Figure 48) [78], the antioxidant action of the specified derivatives was also reported. This activity was tested using DPPH [34,78], ferric-reducing antioxidant power (FRAP) [34], hydroxyl-mediated deoxyribose degradation, and superoxide radical scavenging assays [78].
The antioxidant action was reported for the compounds 90a–i (Figure 61) using the oxidative stress induced by tert-butyl hydroperoxide. Moreover, the cytoprotective effect was investigated, which indicated that derivatives 90a–c and 90g–i showed effects comparable to those of the reference substance (quercetin), and compounds 90d–f exhibited weaker effects compared to this one [100].
Figure 61.
Structures of acylhydrazone class derivatives 90a–i with antioxidant action.
5.12. Action on the Cardiovascular System
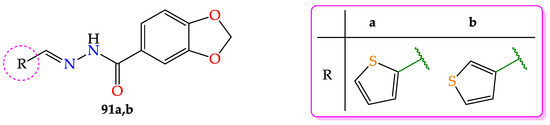
Among the different biological properties and possible therapeutic indications of the acylhydrazone class compounds, their actions on the cardiovascular system were identified. Thus, acylhydrazone 91a (Figure 62) may be a potential candidate for use in the treatment scheme of cardiac remodeling, respectively in combating diastolic disorders after myocardial infarction. This derivative has the potential to reduce cardiac remodeling after myocardial infarction by regulating inflammatory mediators, leading to reduced inflammation and cardiac fibrosis. The positive inotropic effect of compound 91a was observed by stimulating the activity of the sarcoplasmic/endoplasmic reticulum Ca2+-ATPase 2a (SERCA2a) protein, causing both the uptake of Ca2+ ions into the sarcoplasmic reticulum and intracellular Ca2+ utilization. This effect was also observed in healthy cardiomyocytes by increasing the intracellular Ca2+ concentration. Compound 91a regulates the phosphorylation and dephosphorylation of troponin I, troponin T, and protein C, respectively, but the Ca2+ sensitivity of contractile proteins was not noted in this study. Thus, this analog is considered a promising agent for use in the treatment of heart failure after myocardial infarction [102]. The above-mentioned acylhydrazone was also found to prevent exercise intolerance after myocardial infarction, probably by producing NO with vasodilating action by increasing the level of cyclic guanosine monophosphate (cGMP) in vascular smooth muscle cells and by activating adenosine A2A receptors leading to the decreased inflammatory response. Compound 91a could thus increase the blood flow to muscles, prevent the oxidation of proteins, and reduce the pro-inflammatory cytokines, which could lead to improved skeletal muscle contractile response after myocardial infarction [103].
Figure 62.
Structures of acylhydrazones 91a,b with action on the cardiovascular system.
The acylhydrazone derivative 91b had a vasodilating effect, by increasing the concentrations of NO and cGMP, more potent than its isomer with possible use in the treatment scheme of hypertension. Additionally, compound 91b is an M3 muscarinic receptor agonist proved by the antagonist effect of a selective antagonist, 4-diphenylacetoxy-N-methylpiperidine methiodide. The acylhydrazone 91b had a reduced number of adverse reactions compared to other parasympathomimetic compounds. This derivative was reported for its hypotensive effect with no modification in heart rate observed for both intravenous and longer-term oral administration with possible use in the treatment of hypertension [104]. The structure of compound 91b [124] is shown in Figure 62.
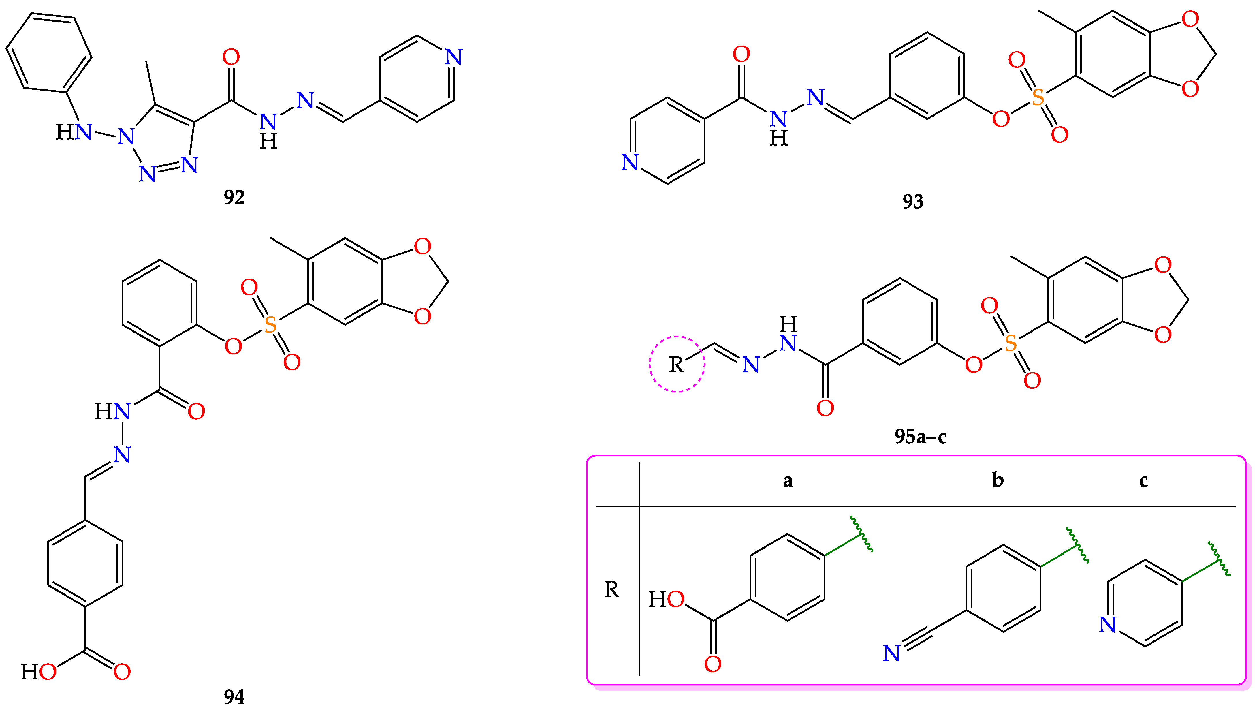
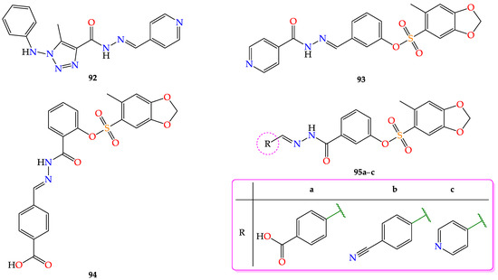
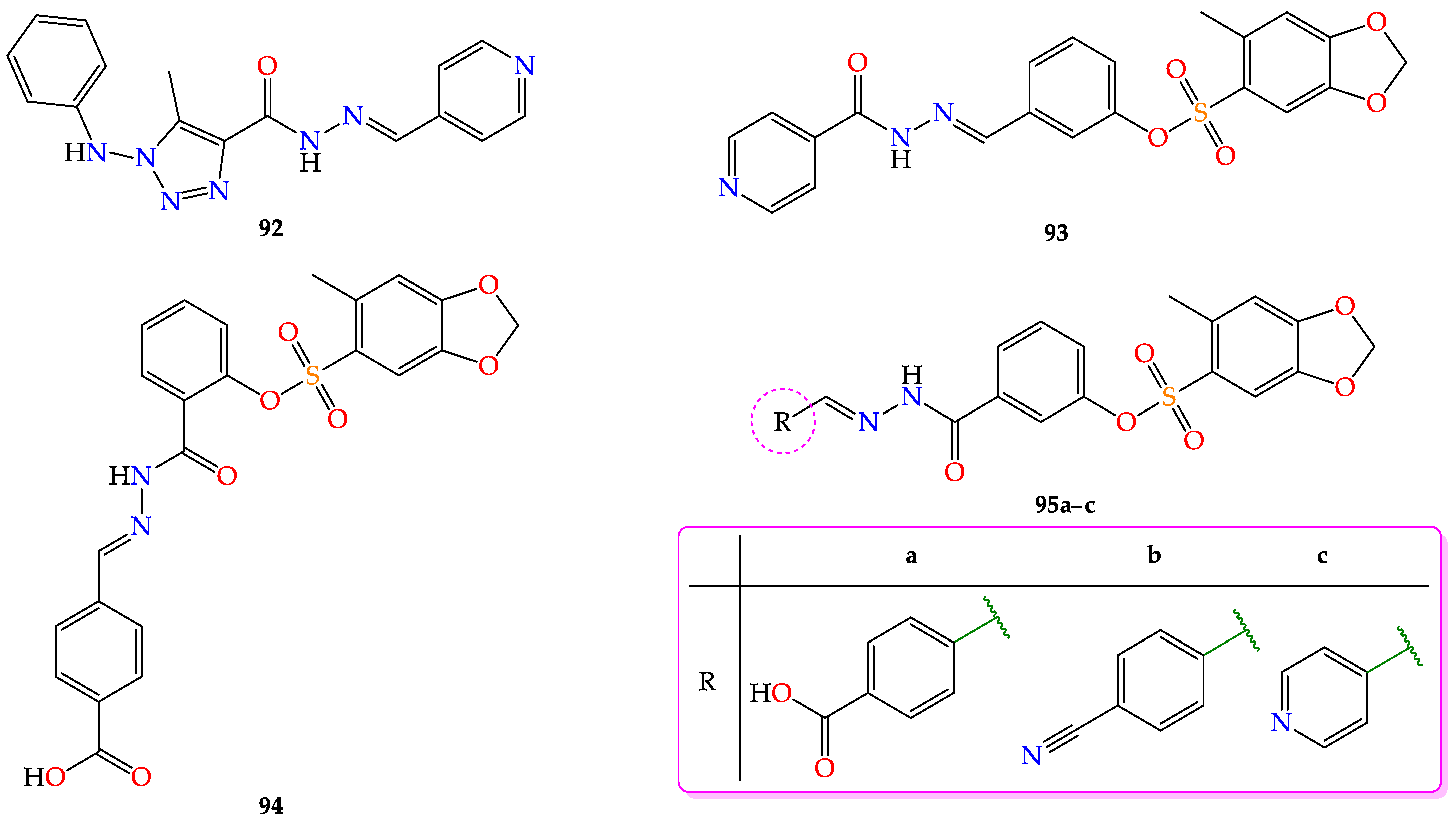
Sathler et al. obtained an acylhydrazone 92 that demonstrated antithrombotic properties when collagen was used as an agonist and lower toxicity compared to other derivatives. The proposed mechanism is based on the interaction of the compound with TXA2 synthase, acting as an inhibitor [105]. Additionally, Lima et al. synthesized the arylsulfonate–acylhydrazone derivatives 93–95 with antiplatelet activity [106]. The structures of the acylhydrazones 92–95 are presented in Figure 63.
Figure 63.
Structures of derivatives 92–95 showing antiplatelet action.
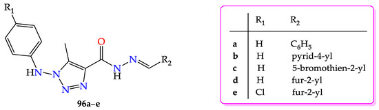
Other derivates with antiplatelet effect are acylhydrazones containing the 1,2,3-triazole scaffold 96a–e (Figure 64), which exhibited a comparable or even higher potency than acetylsalicylic acid. The inhibitory activity observed in the arachidonic acid test was different in the case of studied compounds due to the various structural fragments, as follows: 96a—adenosine diphosphate (ADP) pathway antagonist, 96a,c,d,e—adrenaline pathway antagonists, and 96b,c,e—arachidonic acid pathway antagonists [107].
Figure 64.
Structures of compounds 96a–e with antithrombotic action.
According to a research study conducted by Alencar et al., an acylhydrazone derivative 97 (Figure 65) was analyzed pharmacologically. It lowered the pressure on the pulmonary arteries by interacting with adenosine A2A receptors, which have an important role in the pathophysiological mechanism of pulmonary arterial hypertension. Thus, the acylhydrazone 97 had an effect on ventricular remodeling (right ventricular hypertrophy) by decreasing it, lowering the right ventricular systolic pressure, stimulating SERCA2a protein and endothelial nitric oxide synthase, reducing the levels of phospholamban [108].
Figure 65.
Structure of acylhydrazone 97 with action on ventricular remodeling.
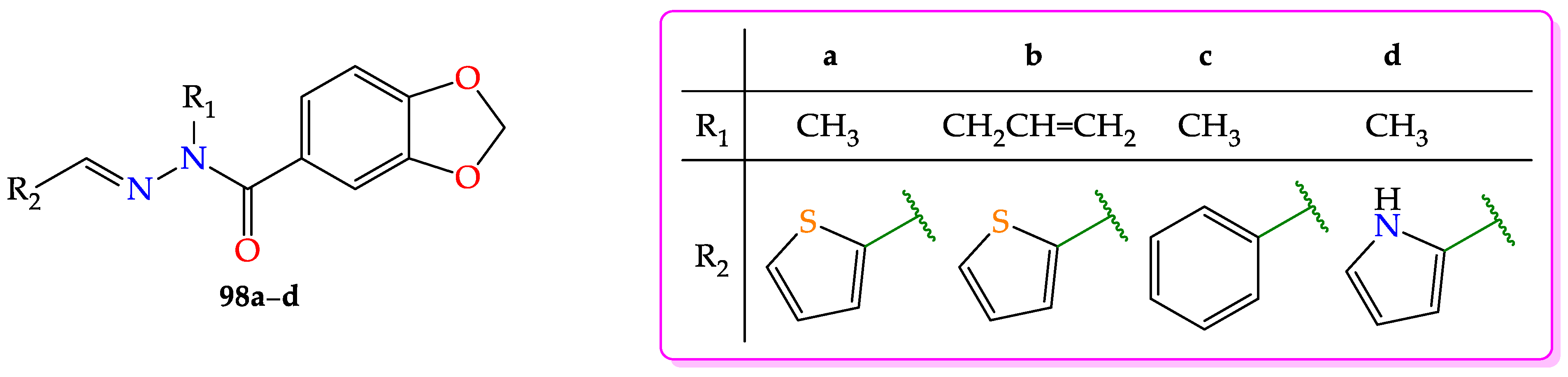
Silva et al. stated that the derivatives of acylhydrazones 98a and 98b (Figure 66) displayed vasodilatory action. Compound 98b, containing an allyl moiety linked to the amide nitrogen atom, showed a potency equivalent to that of compound 91a (Figure 62) and of acylhydrazone 98a, with a methyl group substituting the amide hydrogen atom [109]. The same biological property was exerted by compounds 98c and 98d (Figure 66), the vasodilatory action being more intense than that of acylhydrazone 91a [110].
Figure 66.
Structures of acylhydrazone class derivatives 98a–d with vasodilatory action.
The acylhydrazone 99 (Figure 67) was reported by Feng et al. as a substance that can protect cells from oxygen-glucose deprivation, oxidative stress stimulated by H2O2 and glutamate, stimulated apoptosis by oxygen-glucose deprivation, increased intracellular ROS, and increased ATP levels in neuronal cells. Compound 99 also increased the phosphorylation based on extracellular signal-regulated kinase and protein kinase B, based on antagonistic action with selective antagonists, and had favorable effects on stroke, inducing neuroprotection. Therefore, acylhydrazone 99 could be used in ischemic strokes after further research [111].
Figure 67.
Structure of compound 99 with possible use in ischemic stroke.
Author Contributions
Conceptualization, L.-I.S.; software, T.-V.A.; investigation, L.-I.S., S.-F.B., E.M.P., A.-C.D., G.M.N., R.C.S. and T.-V.A.; resources, L.-I.S., S.-F.B., E.M.P., A.-C.D., G.M.N., R.C.S. and T.-V.A.; writing—original draft preparation, A.-C.D. and T.-V.A.; writing—review and editing, L.-I.S. and T.-V.A.; supervision, L.-I.S.; project administration, L.-I.S. All authors have read and agreed to the published version of the manuscript.
Funding
This research received no external funding.
Institutional Review Board Statement
Not applicable.
Informed Consent Statement
Not applicable.
Conflicts of Interest
The authors declare no conflict of interest.
References
- Gao, P.; Wei, Y. Efficient oxidative cyclization of N-acylhydrazones for the synthesis of 2,5-disubstituted 1,3,4-oxadiazoles using t-BuOI under neutral conditions. Heterocycl. Commun. 2013, 19, 113–119. [Google Scholar] [CrossRef]
- Başpınar Küçük, H.; Alhonaish, A.; Yıldız, T.; Güzel, M. An efficient approach to access 2,5-disubstituted 1,3,4-oxadiazoles by oxidation of 2-arenoxybenzaldehyde N- acyl hydrazones with molecular iodine. ChemistrySelect 2022, 7, e202201391. [Google Scholar] [CrossRef]
- Pelipko, V.V.; Gomonov, K.A. Formation of five- and six-membered nitrogen-containing heterocycles on the basis of hydrazones derived from α-dicarbonyl compounds (microreview). Chem. Heterocycl. Compd. 2021, 57, 624–626. [Google Scholar] [CrossRef]
- Morjan, R.Y.; Mkadmh, A.M.; Beadham, I.; Elmanama, A.A.; Mattar, M.R.; Raftery, J.; Pritchard, R.G.; Awadallah, A.M.; Gardiner, J.M. Antibacterial activities of novel nicotinic acid hydrazides and their conversion into N-acetyl-1,3,4-oxadiazoles. Bioorganic Med. Chem. Lett. 2014, 24, 5796–5800. [Google Scholar] [CrossRef] [PubMed]
- Ţînţaş, M.L.; Diac, A.P.; Soran, A.; Terec, A.; Grosu, I.; Bogdan, E. Structural characterization of new 2-aryl-5-phenyl-1,3,4-oxadiazin-6-ones and their N-aroylhydrazone precursors. J. Mol. Struct. 2014, 1058, 106–113. [Google Scholar] [CrossRef]
- Wani, M.Y.; Bhat, A.R.; Azam, A.; Athar, F. Nitroimidazolyl hydrazones are better amoebicides than their cyclized 1,3,4-oxadiazoline analogues: In vitro studies and Lipophilic efficiency analysis. Eur. J. Med. Chem. 2013, 64, 190–199. [Google Scholar] [CrossRef]
- Mali, S.N.; Thorat, B.R.; Gupta, D.R.; Pandey, A. Mini-Review of the Importance of Hydrazides and Their Derivatives—Synthesis and Biological Activity. Eng. Proc. 2021, 11, 21. [Google Scholar] [CrossRef]
- de Oliveira Carneiro Brum, J.; França, T.C.C.; LaPlante, S.R.; Villar, J.D.F. Synthesis and Biological Activity of Hydrazones and Derivatives: A Review. Mini-Rev. Med. Chem. 2020, 20, 342–368. [Google Scholar] [CrossRef]
- Thota, S.; Rodrigues, D.A.; de Sena Murteira Pinheiro, P.; Lima, L.M.; Fraga, C.A.M.; Barreiro, E.J. N-Acylhydrazones as drugs. Bioorganic Med. Chem. Lett. 2018, 28, 2797–2806. [Google Scholar] [CrossRef]
- Demir, Y.; Tokalı, F.S.; Kalay, E.; Türkeş, C.; Tokalı, P.; Aslan, O.N.; Şendil, K.; Beydemir, Ş. Synthesis and characterization of novel acyl hydrazones derived from vanillin as potential aldose reductase inhibitors. Mol. Divers. 2022. [Google Scholar] [CrossRef]
- Cui, P.; Cai, M.; Meng, Y.; Yang, Y.; Song, H.; Liu, Y.; Wang, Q. Design, synthesis and biological activities of echinopsine derivatives containing acylhydrazone moiety. Sci. Rep. 2022, 12, 2935. [Google Scholar] [CrossRef] [PubMed]
- Zhou, Y.; Zhang, S.; He, H.; Jiang, W.; Hou, L.; Xie, D.; Cai, M.; Peng, H.; Feng, L. Design and synthesis of highly selective pyruvate dehydrogenase complex E1 inhibitors as bactericides. Bioorganic Med. Chem. 2018, 26, 84–95. [Google Scholar] [CrossRef] [PubMed]
- Lawrence, M.A.W.; Lorraine, S.C.; Wilson, K.-A.; Wilson, K. Review: Voltammetric properties and applications of hydrazones and azo moieties. Polyhedron 2019, 173, 114111. [Google Scholar] [CrossRef]
- Purandara, H.; Raghavendra, S.; Foro, S.; Patil, P.; Gowda, B.T.; Dharmaprakash, S.M.; Vishwanatha, P. Synthesis, spectroscopic characterization, crystal structure, Hirshfeld surface analysis and third-order nonlinear optical properties of 2-(4-chlorophenoxy)-N’-[(1E)-1-(4-methylphenyl) ethylidene] acetohydrazide. J. Mol. Struct. 2019, 1185, 205–211. [Google Scholar] [CrossRef]
- Liu, Y.; Di, Y.; Di, Y.; Qiao, C.; Chen, F.; Yuan, F.; Yue, K.; Zhou, C. The studies of structure, thermodynamic properties and theoretical analyses of 2-[(4-nitro-benzoyl)-hydrazone]-propionic acid. J. Mol. Struct. 2019, 1184, 532–537. [Google Scholar] [CrossRef]
- Selvam, P.; Sathiyakumar, S.; Srinivasan, K.; Premkumar, T. A Copper(II) complex of a new hydrazone: A solid-state single source precursor for the preparation of both Cu and CuO nanoparticles. J. Mol. Struct. 2019, 1177, 469–475. [Google Scholar] [CrossRef]
- Sadhukhan, D.; Maiti, M.; Bauzá, A.; Frontera, A.; Garribba, E.; Gomez-García, C.J. Synthesis, structure, physicochemical characterization and theoretical evaluation of non-covalent interaction energy of a polymeric copper(II)-hydrazone complex. Inorg. Chim. Acta 2019, 484, 95–103. [Google Scholar] [CrossRef]
- Tariq, Q.-N.; Malik, S.; Khan, A.; Naseer, M.M.; Khan, S.U.; Ashraf, A.; Ashraf, M.; Rafiq, M.; Mahmood, K.; Tahir, M.N.; et al. Xanthenone-based hydrazones as potent α-glucosidase inhibitors: Synthesis, solid state self-assembly and in silico studies. Bioorganic Chem. 2019, 84, 372–383. [Google Scholar] [CrossRef]
- Kuriakose, D.; Kurup, M.R.P. Crystal structures and supramolecular architectures of ONO donor hydrazone and solvent exchangeable dioxidomolybdenum(VI) complexes derived from 3,5-diiodosalicyaldehyde-4-methoxybenzoylhydrazone: Hirshfeld surface analysis and interaction energy calculat. Polyhedron 2019, 170, 749–761. [Google Scholar] [CrossRef]
- Yang, H.-L.; Dang, Z.-J.; Zhang, Y.-M.; Wei, T.-B.; Yao, H.; Zhu, W.; Fan, Y.-Q.; Jiang, X.-M.; Lin, Q. Novel cyanide supramolecular fluorescent chemosensor constructed from a quinoline hydrazone functionalized-pillar[5]arene. Spectrochim. Acta Part A Mol. Biomol. Spectrosc. 2019, 220, 117136. [Google Scholar] [CrossRef]
- Gamov, G.A.; Khodov, I.A.; Belov, K.V.; Zavalishin, M.N.; Kiselev, A.N.; Usacheva, T.R.; Sharnin, V.A. Spatial structure, thermodynamics and kinetics of formation of hydrazones derived from pyridoxal 5′-phosphate and 2-furoic, thiophene-2-carboxylic hydrazides in solution. J. Mol. Liq. 2019, 283, 825–833. [Google Scholar] [CrossRef]
- Hincapié-Otero, M.M.; Joaqui-Joaqui, A.; Polo-Cerón, D. Synthesis and characterization of four N-acylhydrazones as potential O,N,O donors for Cu2+: An experimental and theoretical study. Univ. Sci. 2021, 26, 193–215. [Google Scholar] [CrossRef]
- Munir, R.; Javid, N.; Zia-ur-Rehman, M.; Zaheer, M.; Huma, R.; Roohi, A.; Athar, M.M. Synthesis of Novel N-Acylhydrazones and Their C-N/N-N Bond Conformational Characterization by NMR Spectroscopy. Molecules 2021, 26, 4908. [Google Scholar] [CrossRef] [PubMed]
- García-Ramírez, V.G.; Suarez-Castro, A.; Villa-Lopez, M.G.; Díaz-Cervantes, E.; Chacón-García, L.; Cortes-García, C.J. Synthesis of Novel Acylhydrazone-Oxazole Hybrids and Docking Studies of SARS-CoV-2 Main Protease. Chem. Proc. 2020, 3, 1. [Google Scholar] [CrossRef]
- Aneja, B.; Khan, N.S.; Khan, P.; Queen, A.; Hussain, A.; Rehman, M.T.; Alajmi, M.F.; El-Seedi, H.R.; Ali, S.; Hassan, M.I.; et al. Design and development of Isatin-triazole hydrazones as potential inhibitors of microtubule affinity-regulating kinase 4 for the therapeutic management of cell proliferation and metastasis. Eur. J. Med. Chem. 2019, 163, 840–852. [Google Scholar] [CrossRef]
- Salum, L.B.; Mascarello, A.; Canevarolo, R.R.; Altei, W.F.; Laranjeira, A.B.A.; Neuenfeldt, P.D.; Stumpf, T.R.; Chiaradia-Delatorre, L.D.; Vollmer, L.L.; Daghestani, H.N.; et al. N-(1’-naphthyl)-3,4,5-trimethoxybenzohydrazide as microtubule destabilizer: Synthesis, cytotoxicity, inhibition of cell migration and in vivo activity against acute lymphoblastic leukemia. Eur. J. Med. Chem. 2015, 96, 504–518. [Google Scholar] [CrossRef]
- Govindaiah, P.; Dumala, N.; Mattan, I.; Grover, P.; Jaya Prakash, M. Design, synthesis, biological and in silico evaluation of coumarin-hydrazone derivatives as tubulin targeted antiproliferative agents. Bioorganic Chem. 2019, 91, 103143. [Google Scholar] [CrossRef]
- Sreenivasulu, R.; Reddy, K.T.; Sujitha, P.; Kumar, C.G.; Raju, R.R. Synthesis, antiproliferative and apoptosis induction potential activities of novel bis(indolyl)hydrazide-hydrazone derivatives. Bioorganic Med. Chem. 2019, 27, 1043–1055. [Google Scholar] [CrossRef]
- Sharma, V.; Kumar, R.; Bua, S.; Supuran, C.T.; Sharma, P.K. Synthesis of novel benzenesulfonamide bearing 1,2,3-triazole linked hydroxy-trifluoromethylpyrazolines and hydrazones as selective carbonic anhydrase isoforms IX and XII inhibitors. Bioorganic Chem. 2019, 85, 198–208. [Google Scholar] [CrossRef]
- Chivers, P.R.A.; Smith, D.K. Shaping and structuring supramolecular gels. Nat. Rev. Mater. 2019, 4, 463–478. [Google Scholar] [CrossRef]
- Rezki, N.; Al-Sodies, S.A.; Ahmed, H.E.A.; Ihmaid, S.; Messali, M.; Ahmed, S.; Aouad, M.R. A novel dicationic ionic liquids encompassing pyridinium hydrazone-phenoxy conjugates as antimicrobial agents targeting diverse high resistant microbial strains. J. Mol. Liq. 2019, 284, 431–444. [Google Scholar] [CrossRef]
- Avila, C.M.; Lopes, A.B.; Gonçalves, A.S.; da Silva, L.L.; Romeiro, N.C.; Miranda, A.L.P.; Sant’Anna, C.M.R.; Barreiro, E.J.; Fraga, C.A.M. Structure-based design and biological profile of (E)-N-(4-Nitrobenzylidene)-2-naphthohydrazide, a novel small molecule inhibitor of IκB kinase-β. Eur. J. Med. Chem. 2011, 46, 1245–1253. [Google Scholar] [CrossRef] [PubMed]
- Rohane, S.H.; Chauhan, A.J.; Fuloria, N.K.; Fuloria, S. Synthesis and in vitro antimycobacterial potential of novel hydrazones of eugenol. Arab. J. Chem. 2020, 13, 4495–4504. [Google Scholar] [CrossRef]
- Siddique, M.; Bin Saeed, A.; Dogar, N.A.; Ahmad, S. Biological Potential of Synthetic Hydrazide Based Schiff Bases. J. Sci. Innov. Res. 2013, 2, 651–657. [Google Scholar]
- Xia, L.; Xia, Y.-F.; Huang, L.-R.; Xiao, X.; Lou, H.-Y.; Liu, T.-J.; Pan, W.-D.; Luo, H. Benzaldehyde Schiff bases regulation to the metabolism, hemolysis, and virulence genes expression in vitro and their structure–microbicidal activity relationship. Eur. J. Med. Chem. 2015, 97, 83–93. [Google Scholar] [CrossRef]
- dos Santos, N.M.; Pereira, N.C.; de Albuquerque, A.P.S.; Dias Viegas, F.P.; Veloso, C.; Vilela, F.C.; Giusti-Paiva, A.; da Silva, M.L.; da Silva, J.R.T.; Viegas, C., Jr. 3-Hydroxy-piperidinyl-N-benzyl-acyl-arylhydrazone derivatives reduce neuropathic pain and increase thermal threshold mediated by opioid system. Biomed. Pharmacother. 2018, 99, 492–498. [Google Scholar] [CrossRef]
- Chen, D.-M.; Wu, X.-F.; Liu, Y.-J.; Huang, C.; Zhu, B.-X. Synthesis, crystal structures and vapor adsorption properties of Hg(II) and Cd(II) coordination polymers derived from two hydrazone Schiff base ligands. Inorg. Chim. Acta 2019, 494, 181–186. [Google Scholar] [CrossRef]
- Singh, A.K.; Thakur, S.; Pani, B.; Chugh, B.; Lgaz, H.; Chung, I.-M.; Chaubey, P.; Pandey, A.K.; Singh, J. Solvent-free microwave assisted synthesis and corrosion inhibition study of a series of hydrazones derived from thiophene derivatives: Experimental, surface and theoretical study. J. Mol. Liq. 2019, 283, 788–803. [Google Scholar] [CrossRef]
- Demurtas, M.; Baldisserotto, A.; Lampronti, I.; Moi, D.; Balboni, G.; Pacifico, S.; Vertuani, S.; Manfredini, S.; Onnis, V. Indole derivatives as multifunctional drugs: Synthesis and evaluation of antioxidant, photoprotective and antiproliferative activity of indole hydrazones. Bioorganic Chem. 2019, 85, 568–576. [Google Scholar] [CrossRef]
- Lis, C.; Rubner, S.; Roatsch, M.; Berg, A.; Gilcrest, T.; Fu, D.; Nguyen, E.; Schmidt, A.-M.; Krautscheid, H.; Meiler, J.; et al. Development of Erasin: A chromone-based STAT3 inhibitor which induces apoptosis in Erlotinib-resistant lung cancer cells. Sci. Rep. 2017, 7, 17390. [Google Scholar] [CrossRef]
- Sun, K.; Peng, J.-D.; Suo, F.-Z.; Zhang, T.; Fu, Y.-D.; Zheng, Y.-C.; Liu, H.-M. Discovery of tranylcypromine analogs with an acylhydrazone substituent as LSD1 inactivators: Design, synthesis and their biological evaluation. Bioorganic Med. Chem. Lett. 2017, 27, 5036–5039. [Google Scholar] [CrossRef] [PubMed]
- Congiu, C.; Onnis, V. Synthesis and biological evaluation of novel acylhydrazone derivatives as potential antitumor agents. Bioorganic Med. Chem. 2013, 21, 6592–6599. [Google Scholar] [CrossRef] [PubMed]
- Cui, Z.; Li, Y.; Ling, Y.; Huang, J.; Cui, J.; Wang, R.; Yang, X. New class of potent antitumor acylhydrazone derivatives containing furan. Eur. J. Med. Chem. 2010, 45, 5576–5584. [Google Scholar] [CrossRef]
- Li, Y.; Yan, W.; Yang, J.; Yang, Z.; Hu, M.; Bai, P.; Tang, M.; Chen, L. Discovery of novel β-carboline/acylhydrazone hybrids as potent antitumor agents and overcome drug resistance. Eur. J. Med. Chem. 2018, 152, 516–526. [Google Scholar] [CrossRef] [PubMed]
- Massarico Serafim, R.A.; Gonçalves, J.E.; de Souza, F.P.; de Melo Loureiro, A.P.; Storpirtis, S.; Krogh, R.; Andricopulo, A.D.; Dias, L.C.; Ferreira, E.I. Design, synthesis and biological evaluation of hybrid bioisoster derivatives of N-acylhydrazone and furoxan groups with potential and selective anti-Trypanosoma cruzi activity. Eur. J. Med. Chem. 2014, 82, 418–425. [Google Scholar] [CrossRef] [PubMed]
- Yao, Q.; Qi, J.; Zheng, Y.; Qian, K.; Wei, L.; Maimaitiyiming, M.; Cheng, Z.; Wang, Y. Synthesis, anticancer activity and mechanism of iron chelator derived from 2,6-diacetylpyridine bis(acylhydrazones). J. Inorg. Biochem. 2019, 193, 1–8. [Google Scholar] [CrossRef]
- Yu, X.; Shi, L.; Ke, S. Acylhydrazone derivatives as potential anticancer agents: Synthesis, bio-evaluation and mechanism of action. Bioorganic Med. Chem. Lett. 2015, 25, 5772–5776. [Google Scholar] [CrossRef] [PubMed]
- Duan, Y.-T.; Man, R.-J.; Tang, D.-J.; Yao, Y.-F.; Tao, X.-X.; Yu, C.; Liang, X.-Y.; Makawana, J.A.; Zou, M.-J.; Wang, Z.-C.; et al. Design, Synthesis and Antitumor Activity of Novel link-bridge and B-Ring Modified Combretastatin A-4 (CA-4) Analogues as Potent Antitubulin Agents. Sci. Rep. 2016, 6, 25387. [Google Scholar] [CrossRef]
- Barbosa, V.A.; Formagio, A.S.N.; Savariz, F.C.; Foglio, M.A.; Spindola, H.M.; de Carvalho, J.E.; Meyer, E.; Sarragiotto, M.H. Synthesis and antitumor activity of β-carboline 3-(substituted-carbohydrazide) derivatives. Bioorganic Med. Chem. 2011, 19, 6400–6408. [Google Scholar] [CrossRef]
- de Almeida, P.S.V.B.; Pereira, T.M.; Kummerle, A.E.; Guedes, G.P.; Silva, H.; de Oliveira, L.L.; Neves, A.P. New Ru(II)–DMSO complexes containing coumarin-N-acylhydrazone hybrids: Synthesis, X-ray structures, cytotoxicity and antimicrobial activities. Polyhedron 2019, 171, 20–31. [Google Scholar] [CrossRef]
- Liu, X.; Tang, Y.; He, X.; Ge, X.; Liu, J.; Meng, X.; Shao, M.; Jin, Y.; Tian, L.; Liu, Z. Triphenyltin(IV) acylhydrazone compounds: Synthesis, structure and bioactivity. J. Inorg. Biochem. 2019, 191, 194–202. [Google Scholar] [CrossRef] [PubMed]
- Socea, L.-I.; Socea, B.; Saramet, G.; Barbuceanu, S.-F.; Draghici, C.; Constantin, V.D.; Olaru, O.T. Synthesis and Cytotoxicity Evaluation of new 5H-dibenzo[a,d][7]annulen-5-yl acetylhydrazones. Rev. Chim. 2015, 6, 1122–1127. [Google Scholar]
- He, H.; Xia, H.; Xia, Q.; Ren, Y.; He, H. Design and optimization of N-acylhydrazone pyrimidine derivatives as E. coli PDHc E1 inhibitors: Structure-activity relationship analysis, biological evaluation and molecular docking study. Bioorganic Med. Chem. 2017, 25, 5652–5661. [Google Scholar] [CrossRef]
- Jin, Y.-X.; Zhong, A.-G.; Ge, C.-H.; Pan, F.-Y.; Yang, J.-G.; Wu, Y.; Xie, M.; Feng, H.-W. A novel difunctional acylhydrazone with isoxazole and furan heterocycles: Syntheses, structure, spectroscopic properties, antibacterial activities and theoretical studies of (E)-N′-(furan-2-ylmethylene)-5-methylisoxazole-4-carbohydrazide. J. Mol. Struct. 2012, 1010, 190–196. [Google Scholar] [CrossRef]
- Jin, Y.-X.; Zhong, A.-G.; Zhang, Y.; Pan, F.-Y. Synthesis, crystal structure, spectroscopic properties, antibacterial activity and theoretical studies of a novel difunctional acylhydrazone. J. Mol. Struct. 2011, 1002, 45–50. [Google Scholar] [CrossRef]
- Rodríguez-Argüelles, M.C.; Cao, R.; García-Deibe, A.M.; Pelizzi, C.; Sanmartín-Matalobos, J.; Zani, F. Antibacterial and antifungal activity of metal(II) complexes of acylhydrazones of 3-isatin and 3-(N-methyl)isatin. Polyhedron 2009, 28, 2187–2195. [Google Scholar] [CrossRef]
- Wang, X.L.; Zhang, Y.B.; Tang, J.F.; Yang, Y.S.; Chen, R.Q.; Zhang, F.; Zhu, H.L. Design, synthesis and antibacterial activities of vanillic acylhydrazone derivatives as potential β-ketoacyl-acyl carrier protein synthase III (FabH) inhibitors. Eur. J. Med. Chem. 2012, 57, 373–382. [Google Scholar] [CrossRef] [PubMed]
- Bonnett, S.A.; Dennison, D.; Files, M.; Bajpai, A.; Parish, T. A class of hydrazones are active against non-replicating Mycobacterium tuberculosis. PLoS ONE 2018, 13, e0198059. [Google Scholar] [CrossRef]
- O’Dwyer, K.; Hackel, M.; Hightower, S.; Hoban, D.; Bouchillon, S.; Qin, D.; Aubart, K.; Zalacain, M.; Butler, D. Comparative Analysis of the Antibacterial Activity of a Novel Peptide Deformylase Inhibitor, GSK1322322. Antimicrob. Agents Chemother. 2013, 57, 2333–2342. [Google Scholar] [CrossRef]
- Guilherme, F.D.; Simonetti, J.É.; Folquitto, L.R.S.; Reis, A.C.C.; Oliver, J.C.; Dias, A.L.T.; Dias, D.F.; Carvalho, D.T.; Brandão, G.C.; de Souza, T.B. Synthesis, chemical characterization and antimicrobial activity of new acylhydrazones derived from carbohydrates. J. Mol. Struct. 2019, 1184, 349–356. [Google Scholar] [CrossRef]
- Reis, D.; Despaigne, A.; Silva, J.; Silva, N.; Vilela, C.; Mendes, I.; Takahashi, J.; Beraldo, H. Structural Studies and Investigation on the Activity of Imidazole-Derived Thiosemicarbazones and Hydrazones against Crop-Related Fungi. Molecules 2013, 18, 12645–12662. [Google Scholar] [CrossRef] [PubMed]
- Tian, B.; He, M.; Tang, S.; Hewlett, I.; Tan, Z.; Li, J.; Jin, Y.; Yang, M. Synthesis and antiviral activities of novel acylhydrazone derivatives targeting HIV-1 capsid protein. Bioorganic Med. Chem. Lett. 2009, 19, 2162–2167. [Google Scholar] [CrossRef] [PubMed]
- Wang, Z.; Xie, D.; Gan, X.; Zeng, S.; Zhang, A.; Yin, L.; Song, B.; Jin, L.; Hu, D. Synthesis, antiviral activity, and molecular docking study of trans-ferulic acid derivatives containing acylhydrazone moiety. Bioorganic Med. Chem. Lett. 2017, 27, 4096–4100. [Google Scholar] [CrossRef] [PubMed]
- Herschhorn, A.; Gu, C.; Espy, N.; Richard, J.; Finzi, A.; Sodroski, J.G. A broad HIV-1 inhibitor blocks envelope glycoprotein transitions critical for entry. Nat. Chem. Biol. 2014, 10, 845–852. [Google Scholar] [CrossRef][Green Version]
- Yoneda, J.D.; Albuquerque, M.G.; Leal, K.Z.; Santos, F.D.C.; Batalha, P.N.; Brozeguini, L.; Seidl, P.R.; de Alencastro, R.B.; Cunha, A.C.; de Souza, M.C.B.V.; et al. Docking of anti-HIV-1 oxoquinoline-acylhydrazone derivatives as potential HSV-1 DNA polymerase inhibitors. J. Mol. Struct. 2014, 1074, 263–270. [Google Scholar] [CrossRef]
- Reznichenko, O.; Quillévéré, A.; Martins, R.P.; Loaëc, N.; Kang, H.; Lista, M.J.; Beauvineau, C.; González-García, J.; Guillot, R.; Voisset, C.; et al. Novel cationic bis(acylhydrazones) as modulators of Epstein–Barr virus immune evasion acting through disruption of interaction between nucleolin and G-quadruplexes of EBNA1 mRNA. Eur. J. Med. Chem. 2019, 178, 13–29. [Google Scholar] [CrossRef]
- Zhao, Z.X.; Cheng, L.P.; Li, M.; Pang, W.; Wu, F.H. Discovery of novel acylhydrazone neuraminidase inhibitors. Eur. J. Med. Chem. 2019, 173, 305–313. [Google Scholar] [CrossRef]
- Abdel-Aal, M.T.; El-Sayed, W.A.; El-Ashry, E.-S.H. Synthesis and Antiviral Evaluation of Some Sugar Arylglycinoylhydrazones and Their Oxadiazoline Derivatives. Arch. Pharm. 2006, 339, 656–663. [Google Scholar] [CrossRef]
- Riccardi, L.; Genna, V.; De Vivo, M. Metal–ligand interactions in drug design. Nat. Rev. Chem. 2018, 2, 100–112. [Google Scholar] [CrossRef]
- Inam, A.; Siddiqui, S.M.; Macedo, T.S.; Moreira, D.R.M.; Leite, A.C.L.; Soares, M.B.P.; Azam, A. Design, synthesis and biological evaluation of 3-[4-(7-chloro-quinolin-4-yl)-piperazin-1-yl]-propionic acid hydrazones as antiprotozoal agents. Eur. J. Med. Chem. 2014, 75, 67–76. [Google Scholar] [CrossRef]
- Melnyk, P.; Leroux, V.; Sergheraert, C.; Grellier, P. Design, synthesis and in vitro antimalarial activity of an acylhydrazone library. Bioorganic Med. Chem. Lett. 2006, 16, 31–35. [Google Scholar] [CrossRef] [PubMed]
- dos Santos Filho, J.M.; de Queiroz e Silva, D.M.A.; Macedo, T.S.; Teixeira, H.M.P.; Moreira, D.R.M.; Challal, S.; Wolfender, J.-L.; Queiroz, E.F.; Soares, M.B.P. Conjugation of N -acylhydrazone and 1,2,4-oxadiazole leads to the identification of active antimalarial agents. Bioorganic Med. Chem. 2016, 24, 5693–5701. [Google Scholar] [CrossRef] [PubMed]
- Shakdofa, M.M.E.; Shtaiwi, M.H.; Morsy, N.; Abdel-rassel, T.M.A. Metal complexes of hydrazones and their biological, analytical and catalytic applications: A review. Main Group Chem. 2014, 13, 187–218. [Google Scholar] [CrossRef]
- dos Santos Filho, J.M.; Leite, A.C.L.; de Oliveira, B.G.; Moreira, D.R.M.; Lima, M.S.; Soares, M.B.P.; Leite, L.F.C.C. Design, synthesis and cruzain docking of 3-(4-substituted-aryl)-1,2,4-oxadiazole-N-acylhydrazones as anti-Trypanosoma cruzi agents. Bioorganic Med. Chem. 2009, 17, 6682–6691. [Google Scholar] [CrossRef]
- Jacomini, A.P.; Silva, M.J.V.; Silva, R.G.M.; Gonçalves, D.S.; Volpato, H.; Basso, E.A.; Paula, F.R.; Nakamura, C.V.; Sarragiotto, M.H.; Rosa, F.A. Synthesis and evaluation against Leishmania amazonensis of novel pyrazolo[3,4-d]pyridazinone-N-acylhydrazone-(bi)thiophene hybrids. Eur. J. Med. Chem. 2016, 124, 340–349. [Google Scholar] [CrossRef]
- Romeiro, N.C.; Aguirre, G.; Hernández, P.; González, M.; Cerecetto, H.; Aldana, I.; Pérez-Silanes, S.; Monge, A.; Barreiro, E.J.; Lima, L.M. Synthesis, trypanocidal activity and docking studies of novel quinoxaline-N-acylhydrazones, designed as cruzain inhibitors candidates. Bioorganic Med. Chem. 2009, 17, 641–652. [Google Scholar] [CrossRef]
- Bezerra-Netto, H.J.C.; Lacerda, D.I.; Miranda, A.L.P.; Alves, H.M.; Barreiro, E.J.; Fraga, C.A.M. Design and synthesis of 3,4-methylenedioxy-6-nitrophenoxyacetylhydrazone derivatives obtained from natural safrole: New lead-agents with analgesic and antipyretic properties. Bioorganic Med. Chem. 2006, 14, 7924–7935. [Google Scholar] [CrossRef]
- Duarte, C.D.; Tributino, J.L.M.; Lacerda, D.I.; Martins, M.V.; Alexandre-Moreira, M.S.; Dutra, F.; Bechara, E.J.H.; De-Paula, F.S.; Goulart, M.O.F.; Ferreira, J.; et al. Synthesis, pharmacological evaluation and electrochemical studies of novel 6-nitro-3,4-methylenedioxyphenyl-N-acylhydrazone derivatives: Discovery of LASSBio-881, a new ligand of cannabinoid receptors. Bioorganic Med. Chem. 2007, 15, 2421–2433. [Google Scholar] [CrossRef]
- Tributino, J.L.M.; Duarte, C.D.; Corrêa, R.S.; Doriguetto, A.C.; Ellena, J.; Romeiro, N.C.; Castro, N.G.; Miranda, A.L.P.; Barreiro, E.J.; Fraga, C.A.M. Novel 6-methanesulfonamide-3,4-methylenedioxyphenyl-N-acylhydrazones: Orally effective anti-inflammatory drug candidates. Bioorganic Med. Chem. 2009, 17, 1125–1131. [Google Scholar] [CrossRef]
- Hernández, P.; Cabrera, M.; Lavaggi, M.L.; Celano, L.; Tiscornia, I.; Rodrigues da Costa, T.; Thomson, L.; Bollati-Fogolín, M.; Miranda, A.L.P.; Lima, L.M.; et al. Discovery of new orally effective analgesic and anti-inflammatory hybrid furoxanyl N-acylhydrazone derivatives. Bioorganic Med. Chem. 2012, 20, 2158–2171. [Google Scholar] [CrossRef]
- da Silva, Y.K.C.; Augusto, C.V.; de Castro Barbosa, M.L.; de Albuquerque Melo, G.M.; de Queiroz, A.C.; de Lima Matos Freire Dias, T.; Júnior, W.B.; Barreiro, E.J.; Lima, L.M.; Alexandre-Moreira, M.S. Synthesis and pharmacological evaluation of pyrazine N-acylhydrazone derivatives designed as novel analgesic and anti-inflammatory drug candidates. Bioorganic Med. Chem. 2010, 18, 5007–5015. [Google Scholar] [CrossRef] [PubMed]
- Cerqueira, J.V.; Meira, C.S.; Santos, E.d.S.; de Aragão França, L.S.; Vasconcelos, J.F.; Nonaka, C.K.V.; de Melo, T.L.; dos Santos Filho, J.M.; Moreira, D.R.M.; Soares, M.B.P. Anti-inflammatory activity of SintMed65, an N-acylhydrazone derivative, in a mouse model of allergic airway inflammation. Int. Immunopharmacol. 2019, 75, 105735. [Google Scholar] [CrossRef] [PubMed]
- Meira, C.S.; dos Santos Filho, J.M.; Sousa, C.C.; Anjos, P.S.; Cerqueira, J.V.; Dias Neto, H.A.; da Silveira, R.G.; Russo, H.M.; Wolfender, J.-L.; Queiroz, E.F.; et al. Structural design, synthesis and substituent effect of hydrazone-N-acylhydrazones reveal potent immunomodulatory agents. Bioorganic Med. Chem. 2018, 26, 1971–1985. [Google Scholar] [CrossRef] [PubMed]
- Moraes, A.D.T.d.O.; de Miranda, M.D.S.; Jacob, Í.T.T.; Amorim, C.A.d.C.; de Moura, R.O.; da Silva, S.Â.S.; Soares, M.B.P.; de Almeida, S.M.V.; Souza, T.R.C.d.L.; de Oliveira, J.F.; et al. Synthesis, in vitro and in vivo biological evaluation, COX-1/2 inhibition and molecular docking study of indole-N-acylhydrazone derivatives. Bioorganic Med. Chem. 2018, 26, 5388–5396. [Google Scholar] [CrossRef] [PubMed]
- Kümmerle, A.E.; Vieira, M.M.; Schmitt, M.; Miranda, A.L.P.; Fraga, C.A.M.; Bourguignon, J.-J.; Barreiro, E.J. Design, synthesis and analgesic properties of novel conformationally-restricted N-acylhydrazones (NAH). Bioorganic Med. Chem. Lett. 2009, 19, 4963–4966. [Google Scholar] [CrossRef] [PubMed]
- Guimarães, E.T.; dos Santos, T.B.; Silva, D.K.C.; Meira, C.S.; Moreira, D.R.M.; da Silva, T.F.; Salmon, D.; Barreiro, E.J.; Soares, M.B.P. Potent immunosuppressive activity of a phosphodiesterase-4 inhibitor N-acylhydrazone in models of lipopolysaccharide-induced shock and delayed-type hypersensitivity reaction. Int. Immunopharmacol. 2018, 65, 108–118. [Google Scholar] [CrossRef]
- Jakubek, M.; Kejík, Z.; Kaplánek, R.; Antonyová, V.; Hromádka, R.; Šandriková, V.; Sýkora, D.; Martásek, P.; Král, V. Hydrazones as novel epigenetic modulators: Correlation between TET 1 protein inhibition activity and their iron(II) binding ability. Bioorganic Chem. 2019, 88, 102809. [Google Scholar] [CrossRef]
- Özturan Özer, E.; Unsal Tan, O.; Ozadali, K.; Küçükkılınç, T.; Balkan, A.; Uçar, G. Synthesis, molecular modeling and evaluation of novel N′-2-(4-benzylpiperidin-/piperazin-1-yl)acylhydrazone derivatives as dual inhibitors for cholinesterases and Aβ aggregation. Bioorganic Med. Chem. Lett. 2013, 23, 440–443. [Google Scholar] [CrossRef]
- Dias Viegas, F.P.; de Freitas Silva, M.; Divino da Rocha, M.; Castelli, M.R.; Riquiel, M.M.; Machado, R.P.; Vaz, S.M.; Simões de Lima, L.M.; Mancini, K.C.; Marques de Oliveira, P.C.; et al. Design, synthesis and pharmacological evaluation of N -benzyl-piperidinyl-aryl-acylhydrazone derivatives as donepezil hybrids: Discovery of novel multi-target anti-alzheimer prototype drug candidates. Eur. J. Med. Chem. 2018, 147, 48–65. [Google Scholar] [CrossRef]
- Canal-Martín, A.; Sastre, J.; Sánchez-Barrena, M.J.; Canales, A.; Baldominos, S.; Pascual, N.; Martínez-González, L.; Molero, D.; Fernández-Valle, M.E.; Sáez, E.; et al. Insights into real-time chemical processes in a calcium sensor protein-directed dynamic library. Nat. Commun. 2019, 10, 2798. [Google Scholar] [CrossRef]
- Zhang, F.; Wang, X.-L.; Shi, J.; Wang, S.-F.; Yin, Y.; Yang, Y.-S.; Zhang, W.-M.; Zhu, H.-L. Synthesis, molecular modeling and biological evaluation of N-benzylidene-2-((5-(pyridin-4-yl)-1,3,4-oxadiazol-2-yl)thio)acetohydrazide derivatives as potential anticancer agents. Bioorganic Med. Chem. 2014, 22, 468–477. [Google Scholar] [CrossRef] [PubMed]
- Gage, J.L.; Onrust, R.; Johnston, D.; Osnowski, A.; MacDonald, W.; Mitchell, L.; Ürögdi, L.; Rohde, A.; Harbol, K.; Gragerov, S.; et al. N-Acylhydrazones as inhibitors of PDE10A. Bioorganic Med. Chem. Lett. 2011, 21, 4155–4159. [Google Scholar] [CrossRef] [PubMed]
- He, J.-B.; Feng, L.-L.; Li, J.; Tao, R.-J.; Ren, Y.-L.; Wan, J.; He, H.-W. Design, synthesis and molecular modeling of novel N-acylhydrazone derivatives as pyruvate dehydrogenase complex E1 inhibitors. Bioorganic Med. Chem. 2014, 22, 89–94. [Google Scholar] [CrossRef] [PubMed]
- Gao, G.-R.; Liu, J.-L.; Mei, D.-S.; Ding, J.; Meng, L.-H.; Duan, W.-H. Design, synthesis and biological evaluation of acylhydrazone derivatives as PI3K inhibitors. Chin. Chem. Lett. 2015, 26, 118–120. [Google Scholar] [CrossRef]
- van der Vlag, R.; Guo, H.; Hapko, U.; Eleftheriadis, N.; Monjas, L.; Dekker, F.J.; Hirsch, A.K.H. A combinatorial approach for the discovery of drug-like inhibitors of 15-lipoxygenase-1. Eur. J. Med. Chem. 2019, 174, 45–55. [Google Scholar] [CrossRef] [PubMed]
- Rupiani, S.; Buonfiglio, R.; Manerba, M.; Di Ianni, L.; Vettraino, M.; Giacomini, E.; Masetti, M.; Falchi, F.; Di Stefano, G.; Roberti, M.; et al. Identification of N-acylhydrazone derivatives as novel lactate dehydrogenase A inhibitors. Eur. J. Med. Chem. 2015, 101, 63–70. [Google Scholar] [CrossRef]
- Ünsal-Tan, O.; Özden, K.; Rauk, A.; Balkan, A. Synthesis and cyclooxygenase inhibitory activities of some N-acylhydrazone derivatives of isoxazolo[4,5-d]pyridazin-4(5H)-ones. Eur. J. Med. Chem. 2010, 45, 2345–2352. [Google Scholar] [CrossRef]
- Carcelli, M.; Rogolino, D.; Gatti, A.; De Luca, L.; Sechi, M.; Kumar, G.; White, S.W.; Stevaert, A.; Naesens, L. N-acylhydrazone inhibitors of influenza virus PA endonuclease with versatile metal binding modes. Sci. Rep. 2016, 6, 31500. [Google Scholar] [CrossRef]
- Parlar, S.; Sayar, G.; Tarikogullari, A.H.; Karadagli, S.S.; Alptuzun, V.; Erciyas, E.; Holzgrabe, U. Synthesis, bioactivity and molecular modeling studies on potential anti-Alzheimer piperidinehydrazide-hydrazones. Bioorganic Chem. 2019, 87, 888–900. [Google Scholar] [CrossRef]
- Anastassova, N.O.; Yancheva, D.Y.; Mavrova, A.T.; Kondeva-Burdina, M.S.; Tzankova, V.I.; Hristova-Avakumova, N.G.; Hadjimitova, V.A. Design, synthesis, antioxidant properties and mechanism of action of new N,N′-disubstituted benzimidazole-2-thione hydrazone derivatives. J. Mol. Struct. 2018, 1165, 162–176. [Google Scholar] [CrossRef]
- Socea, L.I.; Visan, D.C.; Barbuceanu, S.F.; Apostol, T.V.; Bratu, O.G.; Socea, B. The Antioxidant Activity of Some Acylhydrazones with Dibenzo[a,d][7]annulene Moiety. Rev. Chim. 2018, 69, 795–797. [Google Scholar] [CrossRef]
- Costa, D.G.; da Silva, J.S.; Kümmerle, A.E.; Sudo, R.T.; Landgraf, S.S.; Caruso-Neves, C.; Fraga, C.A.M.; de Lacerda Barreiro, E.J.; Zapata-Sudo, G. LASSBio-294, A Compound With Inotropic and Lusitropic Activity, Decreases Cardiac Remodeling and Improves Ca2+ Influx Into Sarcoplasmic Reticulum After Myocardial Infarction. Am. J. Hypertens. 2010, 23, 1220–1227. [Google Scholar] [CrossRef] [PubMed]
- da Silva, J.S.; Pereira, S.L.; Maia, R.D.C.; Landgraf, S.S.; Caruso-Neves, C.; Kümmerle, A.E.; Fraga, C.A.M.; Barreiro, E.J.; Sudo, R.T.; Zapata-Sudo, G. N-acylhydrazone improves exercise intolerance in rats submitted to myocardial infarction by the recovery of calcium homeostasis in skeletal muscle. Life Sci. 2014, 94, 30–36. [Google Scholar] [CrossRef] [PubMed]
- Zapata-Sudo, G.; Pereira, S.L.; Beiral, H.J.V.; Kummerle, A.E.; Raimundo, J.M.; Antunes, F.; Sudo, R.T.; Barreiro, E.J.; Fraga, C.A.M. Pharmacological Characterization of (3-Thienylidene)-3,4-Methylenedioxybenzoylhydrazide: A Novel Muscarinic Agonist With Antihypertensive Profile. Am. J. Hypertens. 2010, 23, 135–141. [Google Scholar] [CrossRef]
- Sathler, P.C.; Lourenço, A.L.; Rodrigues, C.R.; da Silva, L.C.R.P.; Cabral, L.M.; Jordão, A.K.; Cunha, A.C.; Vieira, M.C.B.; Ferreira, V.F.; Carvalho-Pinto, C.E.; et al. In vitro and in vivo analysis of the antithrombotic and toxicological profile of new antiplatelets N-acylhydrazone derivatives and development of nanosystems. Thromb. Res. 2014, 134, 376–383. [Google Scholar] [CrossRef]
- Lima, L.M.; Frattani, F.S.; dos Santos, J.L.; Castro, H.C.; Fraga, C.A.M.; Zingali, R.B.; Barreiro, E.J. Synthesis and anti-platelet activity of novel arylsulfonate–acylhydrazone derivatives, designed as antithrombotic candidates. Eur. J. Med. Chem. 2008, 43, 348–356. [Google Scholar] [CrossRef]
- Jordão, A.K.; Ferreira, V.F.; Lima, E.S.; de Souza, M.C.B.V.; Carlos, E.C.L.; Castro, H.C.; Geraldo, R.B.; Rodrigues, C.R.; Almeida, M.C.B.; Cunha, A.C. Synthesis, antiplatelet and in silico evaluations of novel N-substituted-phenylamino-5-methyl-1H-1,2,3-triazole-4-carbohydrazides. Bioorganic Med. Chem. 2009, 17, 3713–3719. [Google Scholar] [CrossRef]
- Alencar, A.K.N.; Pereira, S.L.; da Silva, F.E.; Mendes, L.V.P.; Cunha, V.D.M.N.; Lima, L.M.; Montagnoli, T.L.; Caruso-Neves, C.; Ferraz, E.B.; Tesch, R.; et al. N-acylhydrazone derivative ameliorates monocrotaline-induced pulmonary hypertension through the modulation of adenosine AA2R activity. Int. J. Cardiol. 2014, 173, 154–162. [Google Scholar] [CrossRef]
- Silva, A.G.; Zapata-Sudo, G.; Kummerle, A.E.; Fraga, C.A.M.; Barreiro, E.J.; Sudo, R.T. Synthesis and vasodilatory activity of new N-acylhydrazone derivatives, designed as LASSBio-294 analogues. Bioorganic Med. Chem. 2005, 13, 3431–3437. [Google Scholar] [CrossRef]
- Kümmerle, A.E.; Raimundo, J.M.; Leal, C.M.; da Silva, G.S.; Balliano, T.L.; Pereira, M.A.; de Simone, C.A.; Sudo, R.T.; Zapata-Sudo, G.; Fraga, C.A.M. Studies towards the identification of putative bioactive conformation of potent vasodilator arylidene N-acylhydrazone derivatives. Eur. J. Med. Chem. 2009, 44, 4004–4009. [Google Scholar] [CrossRef]
- Feng, H.; Li, C.; Shu, S.; Liu, H.; Zhang, H. A11, a novel diaryl acylhydrazone derivative, exerts neuroprotection against ischemic injury in vitro and in vivo. Acta Pharmacol. Sin. 2019, 40, 160–169. [Google Scholar] [CrossRef] [PubMed]
- Vilková, M.; Hudáčová, M.; Palušeková, N.; Jendželovský, R.; Almáši, M.; Béres, T.; Fedoročko, P.; Kožurková, M. Acridine Based N-Acylhydrazone Derivatives as Potential Anticancer Agents: Synthesis, Characterization and ctDNA/HSA Spectroscopic Binding Properties. Molecules 2022, 27, 2883. [Google Scholar] [CrossRef] [PubMed]
- Banumathi; Sherapura, A.; Malojirao, V.H.; Zabiulla; Sharath, B.S.; Thirusangu, P.; Mahmood, R.; Kumari, N.S.; Baliga, S.M.; Khanum, S.A.; et al. Antiproliferative pharmacophore azo-hydrazone analogue BT-1F exerts death signalling pathway targeting STAT3 in solid tumour. Pharmacol. Rep. 2022, 74, 353–365. [Google Scholar] [CrossRef] [PubMed]
- Osmaniye, D.; Levent, S.; Karaduman, A.; Ilgın, S.; Özkay, Y.; Kaplancıklı, Z. Synthesis of New Benzothiazole Acylhydrazones as Anticancer Agents. Molecules 2018, 23, 1054. [Google Scholar] [CrossRef]
- Biagi, G.L.; Guerra, M.C.; Barbaro, A.M.; Gamba, M.F. Influence of lipophilic character on the antibacterial activity of cephalosporins and penicillins. J. Med. Chem. 1970, 13, 511–516. [Google Scholar] [CrossRef]
- Ebejer, J.-P.; Charlton, M.H.; Finn, P.W. Are the physicochemical properties of antibacterial compounds really different from other drugs? J. Cheminformatics 2016, 8, 30. [Google Scholar] [CrossRef]
- Zitko, J.; Doležal, M. Enoyl acyl carrier protein reductase inhibitors: An updated patent review (2011–2015). Expert Opin. Ther. Pat. 2016, 26, 1079–1094. [Google Scholar] [CrossRef]
- Shah, M.A.; Uddin, A.; Shah, M.R.; Ali, I.; Ullah, R.; Hannan, P.A.; Hussain, H. Synthesis and Characterization of Novel Hydrazone Derivatives of Isonicotinic Hydrazide and Their Evaluation for Antibacterial and Cytotoxic Potential. Molecules 2022, 27, 6770. [Google Scholar] [CrossRef]
- Yao, X.; Hu, H.; Wang, S.; Zhao, W.; Song, M.; Zhou, Q. Synthesis, Antimicrobial Activity, and Molecular Docking Studies of Aminoguanidine Derivatives Containing an Acylhydrazone Moiety. Iran. J. Pharm. Res. 2021, 20, 536–545. [Google Scholar] [CrossRef]
- Kumar, P.; Kadyan, K.; Duhan, M.; Sindhu, J.; Singh, V.; Saharan, B.S. Design, synthesis, conformational and molecular docking study of some novel acyl hydrazone based molecular hybrids as antimalarial and antimicrobial agents. Chem. Cent. J. 2017, 11, 115. [Google Scholar] [CrossRef]
- Coimbra, E.S.; Nora de Souza, M.V.; Terror, M.S.; Pinheiro, A.C.; da Trindade Granato, J. Synthesis, biological activity, and mechanism of action of new 2-pyrimidinyl hydrazone and N-acylhydrazone derivatives, a potent and new classes of antileishmanial agents. Eur. J. Med. Chem. 2019, 184, 111742. [Google Scholar] [CrossRef] [PubMed]
- Tejera, E.; Munteanu, C.R.; López-Cortés, A.; Cabrera-Andrade, A.; Pérez-Castillo, Y. Drugs Repurposing Using QSAR, Docking and Molecular Dynamics for Possible Inhibitors of the SARS-CoV-2 Mpro Protease. Molecules 2020, 25, 5172. [Google Scholar] [CrossRef] [PubMed]
- Cordeiro, N.d.M.; Freitas, R.H.C.N.; Fraga, C.A.M.; Fernandes, P.D. New 2-amino-pyridinyl-N-acylhydrazones: Synthesis and identification of their mechanism of anti-inflammatory action. Biomed. Pharmacother. 2020, 123, 109739. [Google Scholar] [CrossRef] [PubMed]
- da Silva Monteiro, C.E.; Franco, Á.X.; Sousa, J.A.O.; Matos, V.E.A.; de Souza, E.P.; Fraga, C.A.M.; Barreiro, E.J.; de Souza, M.H.L.P.; Soares, P.M.G.; Barbosa, A.L.R. Gastroprotective effects of N-acylarylhydrazone derivatives on ethanol-induced gastric lesions in mice are dependent on the NO/cGMP/KATP pathway. Biochem. Pharmacol. 2019, 169, 113629. [Google Scholar] [CrossRef]
Publisher’s Note: MDPI stays neutral with regard to jurisdictional claims in published maps and institutional affiliations. |
© 2022 by the authors. Licensee MDPI, Basel, Switzerland. This article is an open access article distributed under the terms and conditions of the Creative Commons Attribution (CC BY) license (https://creativecommons.org/licenses/by/4.0/).



































































