Synthesis, Structure, Carbohydrate Enzyme Inhibition, Antioxidant Activity, In Silico Drug-Receptor Interactions and Drug-Like Profiling of the 5-Styryl-2-Aminochalcone Hybrids
Abstract
1. Introduction
2. Results and Discussion
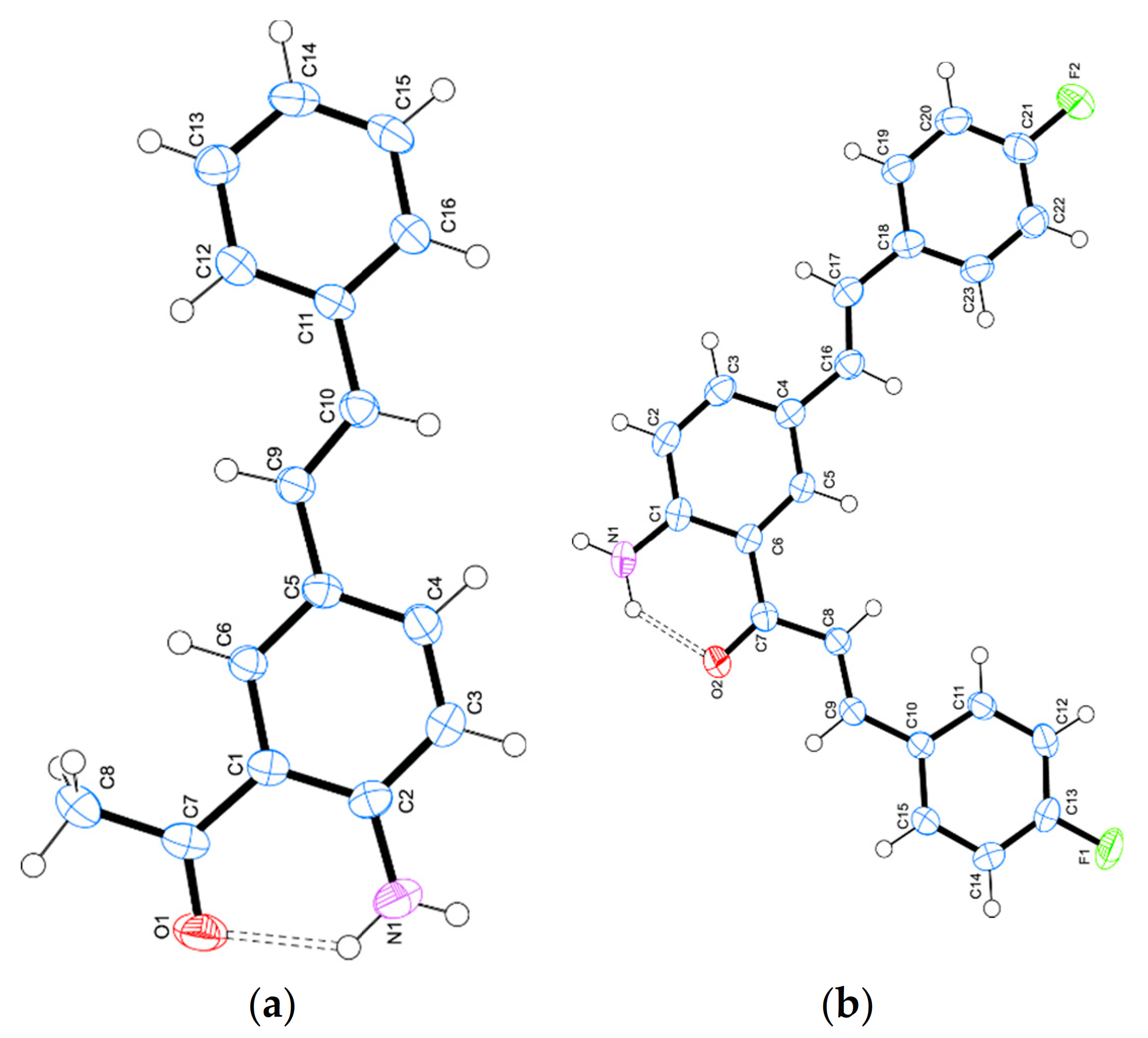
2.1. Chemical Synthesis and Structural Analysis
2.2. Biological Evaluation
2.3. Kinetic Studies on 2a and 3e
2.3.1. Molecular Docking Studies
2.3.2. Prediction of Pharmacokinetic Properties of Compounds 2a, 3e and 3g
3. Materials and Methods
3.1. Instrumentation
3.2. Synthesis of 2-Amino-5-Iodoacetophenone (1)
3.3. Typical Procedure for the Synthesis of 2-Amino-5-Styrylacetophenones 2a–d
3.4. Typical Procedure for the Claisen-Schmidt Aldol Condensation of 2a–d to Afford 3a–h
3.5. α-Glucosidase Inhibition Assays of 2a–d and 3a–h
3.6. α-Amylase Inhibition Assays of 2a–d and 3a–h
3.7. Free Radical Scavenging Assays
3.7.1. Determination of Reducing Activity of the Stable DPPH Radical by 2a–d and 3a–h
3.7.2. NO Free Radical Scavenging Assay
3.8. Kinetic Studies
3.9. Molecular Docking of Test Compounds against α-Glucosidase and α-Amylase
3.10. Physicochemical Parameters of 2a, 3e and 3g
3.11. Evaluation of Cytotoxicity (MTT assay) of 2a and 3e on Vero and A549 Cells
4. Conclusions
Supplementary Materials
Author Contributions
Funding
Institutional Review Board Statement
Informed Consent Statement
Data Availability Statement
Acknowledgments
Conflicts of Interest
Sample Availability
References
- Rafique, R.; Khan, K.M.; Arshia; Kanwal; Chigurupati, S.; Wadood, A.; Rehman, A.U.; Karunanidhi, A.; Hameed, S.; Taha, M.; et al. Synthesis of new indazole based dual inhibitors of α-glucosidase and α-amylase enzymes, their in vitro, in silico and kinetics studies. Bioorg. Chem. 2020, 94, 103195. [Google Scholar] [CrossRef] [PubMed]
- Kawde, A.-N.; Taha, M.; Alansari, R.S.; Almandil, N.B.; Anouar, E.H.; Uddin, N.; Rahim, F. Exploring efficacy of indole-based dual inhibitors for α-glucosidase and α-amylase enzymes: In silico, biochemical and kinetic studies. Int. J. Biol. Macromol. 2020, 154, 217–232. [Google Scholar] [CrossRef] [PubMed]
- Rao, R.R.; Tiwari, A.K.; Reddy, P.P.; Babu, K.S.; Suresh, G.; Ali, A.Z.; Madhusudana, K.; Agawane, S.B.; Badrinarayan, P.; Sastry, G.N.; et al. Synthesis of antihyperglycemic, α-glucosidase inhibitory, and DPPH free radical scavenging furanochalcones. Med. Chem. Res. 2020, 21, 760–774. [Google Scholar]
- Poitout, P.; Robertson, R.P. Minireview: Secondary β-cell failure in type 2 diabetes– a convergence of glucotoxicity and lipotoxicity. Endocrinology 2002, 143, 339–342. [Google Scholar] [CrossRef]
- Imran, S.; Taha, M.; Selvaraj, M.; Ismail, N.H.; Chigurupati, S.; Mohammad, J.I. Synthesis and biological evaluation of indole derivatives as α-amylase inhibitor. Bioorg. Chem. 2017, 73, 121–127. [Google Scholar] [CrossRef]
- Zhao, X.; Tao, J.; Zhang, T.; Jiang, S.; Wei, W.; Han, H.; Shao, Y.; Zhou, G.; Yue, H. Resveratroloside alleviates postprandial hyperglycemia in diabetic mice by competitively inhibiting α-glucosidase. J. Agric. Food Chem. 2019, 67, 2886–2893. [Google Scholar] [CrossRef]
- Alqahtani, A.S.; Hidayathulla, S.; Rehman, M.T.; ElGamal, A.A.; Al-Massarani, S.; Razmovski-Naumovski, V.; Alqahtani, M.S.; El Dib, R.A.; Al Ajmi, M.F. Alpha-amylase and alpha-glucosidase enzyme inhibition and antioxidant potential of 3-oxolupenal and katononic acid isolated from Nuxia oppositifolia. Biomolecules 2020, 10, 61. [Google Scholar] [CrossRef]
- Aispuro-Pérez, A.; López-Ávalos, J.; García-Páez, F.; Montes-Avila, J.; Corrales, L.A.P.; Ochoa-Terán, A.; Bastidas, P.; Montaño, S.; Calderón-Zamora, L.; Osuna-Martínez, U.O.; et al. Synthesis and molecular docking studies of imines as α-glucosidase and α-amylase inhibitors. Bioorg. Chem. 2020, 94, 103491. [Google Scholar] [CrossRef]
- Ghabi, A.; Brahmi, J.; Alminderej, F.; Messaoudi, S.; Vidald, S.; Kadrie, A.; Aouadi, K. Multifunctional isoxazolidine derivatives as α-amylase and α-glucosidase inhibitors. Bioorg. Chem. 2020, 98, 103713. [Google Scholar] [CrossRef]
- Balbaa, M.; El-Hady, N.A.; Taha, N.; Rezki, N.; El Ashry, E.S.H. Inhibition of α-glucosidase and α-amylase by diaryl derivatives of imidazole-thione and 1,2,4-triazole-thiol. Eur. J. Med. Chem. 2017, 46, 2596–2601. [Google Scholar] [CrossRef]
- Furukawa, S.; Fujita, T.; Shimabukuro, M.; Iwaki, M.; Yamada, Y.; Nakajima, Y.; Nakayama, O.; Makishima, M.; Matsuda, M.; Shimomura, I. Increased oxidative stress in obesity and its impact on metabolic syndrome. J. Clin. Investig. 2004, 114, 1752–1761. [Google Scholar] [CrossRef]
- McGarry, T.; Biniecka, T.; Veala, G.J.; Rearon, U. Hypoxia, oxidative stress and inflammation. Free Rad. Biol. Med. 2018, 125, 15–24. [Google Scholar]
- Tangvarasittichai, S. Oxidative stress, insulin resistance, dyslipidemia and type 2 diabetes mellitus. World J. Diabetes 2015, 6, 456–480. [Google Scholar] [CrossRef]
- Pisoschi, A.M.; Pop, A.; Iordache, F.; Stanca, L.; Predoi, G.; Serban, A.I. Oxidative stress mitigation by antioxidants—An overview on their chemistry and influences on health status. Eur. J. Med. Chem. 2020, 209, 112891. [Google Scholar]
- Chetan, S.; Amarjeet, K.; Thind, S.S.; Baljit, S.; Shiveta, R. Advanced glycation End-products (AGEs): An emerging concern for processed food industries. J. Food Sci. Technol. 2015, 52, 7561–7576. [Google Scholar]
- Vieira, R.; Souto, S.B.; Sánchez-López, E.; Machado, A.l.; Severino, P.; Jose, S.; Santini, A.; Fortuna, A.; Garcia, M.L.; Silva, A.M.; et al. Sugar-lowering drugs for type 2 diabetes mellitus and metabolic syndrome– review of classical and new compounds: Part-I. Pharmaceuticals 2019, 12, 152. [Google Scholar] [CrossRef]
- Singh, P.; Anand, A.; Humar, V. Recent developments in biological activities of chalcones: A mini review. Eur. J. Med. Chem. 2015, 85, 758–777. [Google Scholar]
- Zhang, A.J.; Rimando, A.M.; Mizuno, C.S.; Mathews, S.T. α-Glucosidase inhibitory effect of resveratrol and piceatannol. J. Nutr. Biochem. 2017, 47, 86–93. [Google Scholar] [CrossRef]
- Rimando, A.M.; Suh, N. Biological/chemopreventive activity of stilbenes and their effect on colon cancer. Planta Med. 2008, 74, 1635–1643. [Google Scholar]
- Hgani, U. Re-exploring promising α-glucosidase inhibitors for potential development into oral anti-diabetic drugs: Finding needle in the haystack. Eur. J. Med. Chem. 2015, 103, 133–162. [Google Scholar]
- Zhou, B.; Xing, C. Diverse molecular targets for chalcones with varied bioactivities. Med. Chem. 2015, 5, 388–404. [Google Scholar] [CrossRef]
- Seo, W.D.; Kim, J.H.; Kang, J.E.; Ryu, H.W.; Curtis-Long, M.J.; Lee, H.S.; Yang, M.S.; Park, K.H. Sulfonamide chalcone as a new class of α-glucosidase inhibitors. Bioorg. Med. Chem. Lett. 2005, 15, 5514–5516. [Google Scholar]
- Rammohan, A.; Bhaskar, B.V.; Venkateswarlu, N.; Gu, W.; Zyryanov, G.V. Design, synthesis, docking and biological evaluation of chalcones as promising antidiabetic agents. Bioorg. Chem. 2020, 95, 103527. [Google Scholar] [CrossRef]
- Najafi, M.; Najafi, M.; Najafi, H. Theoretical study of the substituent and solvent effects on the reaction enthalpies of the antioxidant mechanisms of tyrosol derivatives. Bull. Chem. Soc. Jpn. 2013, 86, 497–509. [Google Scholar] [CrossRef]
- Moalin, M.; Van Strijdonck, G.P.; Beckers, M.; Hagemen, G.J.; Borm, P.J.; Bast, A.; Haenen, G.R. A planar conformation and the hydroxyl groups in the B and C rings play a pivotal role in the antioxidant capacity of quercetin and quercetin derivatives. Molecules 2011, 16, 9636–9650. [Google Scholar]
- Stojanović, S.; Sprinz, H.; Brede, O. Efficiency and mechanism of the antioxidant action of trans-resveratrol and its analogues in the radical liposome oxidation. Arch. Biochem. Biophys. 2001, 391, 79–89. [Google Scholar] [CrossRef] [PubMed]
- Bhutani, R.; Pathak, D.P.; Kapoor, G.; Husain, A.; Iqbal, M.A. Novel hybrids of benzothiazole-1,3,4-oxadiazole-4-thiazolidinone: Synthesis, in silico ADME study, molecular docking and in vivo anti-diabetic assessment. Bioorg. Chem. 2018, 83, 6–9. [Google Scholar] [CrossRef]
- Lu, Y.; Liu, Y.; Xu, Z.; Li, H.; Liu, H.; Zhu, W. Halogen bonding for rational drug design and new drug discovery. Expert Opin. Drug Discov. 2012, 7, 375–383. [Google Scholar] [CrossRef]
- Kuhn, B.; Mohr, P.; Stahl, M. Intramolecular hydrogen bonding in medicinal chemistry. J. Med. Chem. 2018, 53, 2601–2611. [Google Scholar] [CrossRef]
- Ag, H.B.B. Pharmacology of α-glucosidase inhibition. Eur. J. Clin. Investig. 1994, 24, 3–10. [Google Scholar]
- Rosak, C.; Mertes, G. Critical evaluation of the role of acarbose in the treatment of diabetes: Patient considerations. Diabetes Metab. Syndr. Obes. 2012, 5, 357–367. [Google Scholar] [CrossRef] [PubMed]
- Ruanwas, P.; Chantrapromma, S.; Fun, H.-K. Synthesis, characterization, antioxidant, and antibacterial activities of 2-aminochalcones and crystal structure of (2E)-1-(2-aminophenyl)-3-(4-ethoxyphenyl)-2-propen-1-one. Mol. Cryst. Liq. Cryst. 2015, 609, 126–139. [Google Scholar] [CrossRef]
- Iqbal, H.; Prabhakar, V.; Sangith, A.; Chandrika, B.; Balasubramanian, R. Synthesis, anti-inflammatory and antioxidant activity of ring-A-monosubstituted chalcone derivatives. Med. Chem. Res. 2014, 23, 4383–4394. [Google Scholar] [CrossRef]
- Sulpizio, C.; Roller, A.; Giester, G.; Rompel, A. Synthesis, structure, and antioxidant activity of methoxy- and hydroxyl-substituted 2′-aminochalcones. Monatsh. Chem. 2016, 147, 1747–1757. [Google Scholar] [CrossRef]
- Garcia, G.X.; Larsen, S.W.; Pye, C.; Glabreath, M.; Isovitsch, R.; Fradenger, E.A. The functional group on (E)-4,4′–disubstituted stilbenes influences toxicity and antioxidant activity in differentiated PC-12 cells. Bioorg. Med. Chem. Lett. 2013, 23, 6355–6359. [Google Scholar] [CrossRef]
- Walters, W.P.; Murcko, A.A.; Murcko, M.A. Recognizing molecules with drug-like properties. Curr. Opin. Chem. Biol. 1999, 3, 384–387. [Google Scholar] [CrossRef]
- Olomola, T.O.; Mphahlele, M.J.; Gildenhuys, S. Benzofuran-selenadiazole hybrids as novel α-glucosidase and cyclooxygenase-2 inhibitors with antioxidant and cytotoxic properties. Bioorg. Chem. 2020, 100, 103945. [Google Scholar] [CrossRef]
- Leone, A.M.; Francis, P.L.; Rhodes, P.; Moncada, S. A rapid and simple method for the measurement of nitrite and nitrate in plasma by high performance capillary electrophoresis. Biochem. Biophys. Res. Commun. 1994, 200, 951–957. [Google Scholar] [CrossRef]
- Hanwell, M.D.; Curtis, D.E.; Lonie, D.C.; Vandermeersch, T.; Zurek, E.; Hutchison, G.R. Avogadro: An advanced semantic chemical editor, visualization, and analysis platform. J. Cheminform. 2012, 4, 17. [Google Scholar] [CrossRef]
- Morris, V.; Huey, R.; Lindstrom, W.; Sanner, M.F.; Belew, R.K.; Goodsell, D.S.; Olson, A.J. AutoDock4 and AutoDockTools4: Automated docking with selective receptor flexibility. J. Comput. Chem. 2009, 40, 2785–2791. [Google Scholar] [CrossRef]
- Mosmann, T. Rapid colorimetric assay for cellular growth and survival: Application to proliferation and cytotoxicity assays. J. Immunol. Methods 1983, 65, 55–63. [Google Scholar] [CrossRef]







| Ar | 2a–d | 3a–d | 3e–h |
|---|---|---|---|
| C6H5- | 2a | 3-F (3a) | 4-F (3e) |
| 4-FC6H4- | 2b | 3-F (3b) | 4-F (3f) |
| 4-ClC6H4- | 2c | 3-F (3c) | 4-F (3g) |
| 4-MeOC6H4- | 2d | 3-F (3d) | 4-F (3h) |
| Compound | (IC50 (SD) µM) | |||
|---|---|---|---|---|
| α-Glucosidase | α-Amylase | DPPH | NO | |
| 2a | 5.4 ± 0.10 | 2.3 ± 0.20 | 7.1 ± 0.32 | 8.3 ± 0.22 |
| 2b | 12.7 ± 0.16 | 19.3 ± 0.42 | 15.8 ± 0.21 | 7.2 ± 0.40 |
| 2c | 15.9 ± 0.34 | 5.8 ± 0.51 | 10.4 ± 0.15 | 11.6 ± 0.43 |
| 2d | 30.7 ± 0.42 | 9.0 ± 0.31 | 9.3 ± 0.23 | 25.9 ± 0.61 |
| 3a | 17.8 ± 0.32 | 10.7 ± 0.21 | 21.6 ± 0.32 | 18.9 ± 0.54 |
| 3b | 6.1 ± 0.24 | 15.6 ± 0.60 | 6.6 ± 0.33 | 5.3 ± 0.34 |
| 3c | 12.6 ± 0.31 | 2.4 ± 0.10 | 15.3 ± 0.10 | 10.6 ± 0.30 |
| 3d | 9.4 ± 0.50 | 7.0 ± 0.45 | 3.9 ± 0.21 | 7.9 ± 0.28 |
| 3e | 5.1 ± 0.61 | 1.6 ± 0.52 | 4.2 ± 0.43 | 20.5 ± 0.46 |
| 3f | 6.9 ± 0.37 | 9.5 ± 0.41 | 18.5 ± 0.37 | 8.8 ± 0.33 |
| 3g | 19.2 ± 0.47 | 1.7 ± 0.25 | 5.2 ± 0.53 | 15.1 ± 0.19 |
| 3h | 10.5 ± 0.18 | 7.6 ± 0.20 | 25.8 ± 0.43 | 20.2 ± 0.23 |
| Acarbose | 0.95 ± 0.28 | 1.03 ± 0.05 | - | - |
| α-Amylase inhibitor | - | 0.31 ± 0.05 | - | - |
| Ascorbic acid | - | - | 4.2 ± 0.27 | 6.14 ± 0.21 |
| Compound | Binding Free Energy (kcal/mol) | |
|---|---|---|
| α-Glucosidase | α-Amylase | |
| 2a | −7.78 | −7.06 |
| 2b | −6.81 | −6.33 |
| 2c | −7.63 | −7.03 |
| 2d | −7.44 | −6.43 |
| 3a | −6.70 | −8.40 |
| 3b | −6.32 | −8.34 |
| 3c | −6.75 | −8.50 |
| 3d | −6.71 | −9.31 |
| 3e | −7.30 | −9.37 |
| 3f | −6.45 | −8.32 |
| 3g | −7.87 | −9.66 |
| 3h | −6.71 | −6.96 |
| Compound | |||
|---|---|---|---|
| Property | 2a | 3e | 3g |
| miLogP | 3.81 | 5.94 | 6.62 |
| Topological polar surface area; TPSA (Å) | 43.09 | 43.06 | 43.09 |
| Absorption (%); 109-(0.345 × TPSA) | 94.13 | 94.14 | 94.13 |
| Number of atom | 18 | 26 | 27 |
| Molecular weight | 237.30 | 343.40 | 377.85 |
| Molecular volume | 229.70 | 316.90 | 330.43 |
| Hydrogen bond acceptor | 2 | 2 | 2 |
| Hydrogen bond donor | 2 | 2 | 2 |
| Rotatable bonds | 3 | 5 | 5 |
| Lipinski’s violation | 0 | 1 | 1 |
| Cytotoxicity, IC50 (µM) | ||
|---|---|---|
| Compound | Vero Cells | A549 Cells |
| 2a | 164.56 ± 0.59 | 65.70 ± 0.14 |
| 3e | 220.0 ± 0.57 | 204.00 ± 0.55 |
| Doxorubicin | 0.66 ± 0.12 | 1.14 ± 0.23 |
Publisher’s Note: MDPI stays neutral with regard to jurisdictional claims in published maps and institutional affiliations. |
© 2021 by the authors. Licensee MDPI, Basel, Switzerland. This article is an open access article distributed under the terms and conditions of the Creative Commons Attribution (CC BY) license (https://creativecommons.org/licenses/by/4.0/).
Share and Cite
Mphahlele, M.J.; Agbo, E.N.; Choong, Y.S. Synthesis, Structure, Carbohydrate Enzyme Inhibition, Antioxidant Activity, In Silico Drug-Receptor Interactions and Drug-Like Profiling of the 5-Styryl-2-Aminochalcone Hybrids. Molecules 2021, 26, 2692. https://doi.org/10.3390/molecules26092692
Mphahlele MJ, Agbo EN, Choong YS. Synthesis, Structure, Carbohydrate Enzyme Inhibition, Antioxidant Activity, In Silico Drug-Receptor Interactions and Drug-Like Profiling of the 5-Styryl-2-Aminochalcone Hybrids. Molecules. 2021; 26(9):2692. https://doi.org/10.3390/molecules26092692
Chicago/Turabian StyleMphahlele, Malose J., Emmanuel Ndubuisi Agbo, and Yee Siew Choong. 2021. "Synthesis, Structure, Carbohydrate Enzyme Inhibition, Antioxidant Activity, In Silico Drug-Receptor Interactions and Drug-Like Profiling of the 5-Styryl-2-Aminochalcone Hybrids" Molecules 26, no. 9: 2692. https://doi.org/10.3390/molecules26092692
APA StyleMphahlele, M. J., Agbo, E. N., & Choong, Y. S. (2021). Synthesis, Structure, Carbohydrate Enzyme Inhibition, Antioxidant Activity, In Silico Drug-Receptor Interactions and Drug-Like Profiling of the 5-Styryl-2-Aminochalcone Hybrids. Molecules, 26(9), 2692. https://doi.org/10.3390/molecules26092692

