Comparison of β-Glucan Content in Milled Rice, Rice Husk and Rice Bran from Rice Cultivars Grown in Different Locations of Thailand and the Relationship between β-Glucan and Amylose Contents
Abstract
:1. Introduction
2. Results and Discussion
2.1. Percentage of Each Paddy-Rice Fraction Yields
2.2. β-Glucan Content in Paddy-Rice Fractions
2.3. Descriptive Statistic and Frequency Distribution of β-Glucan Content in Each Rice Fraction
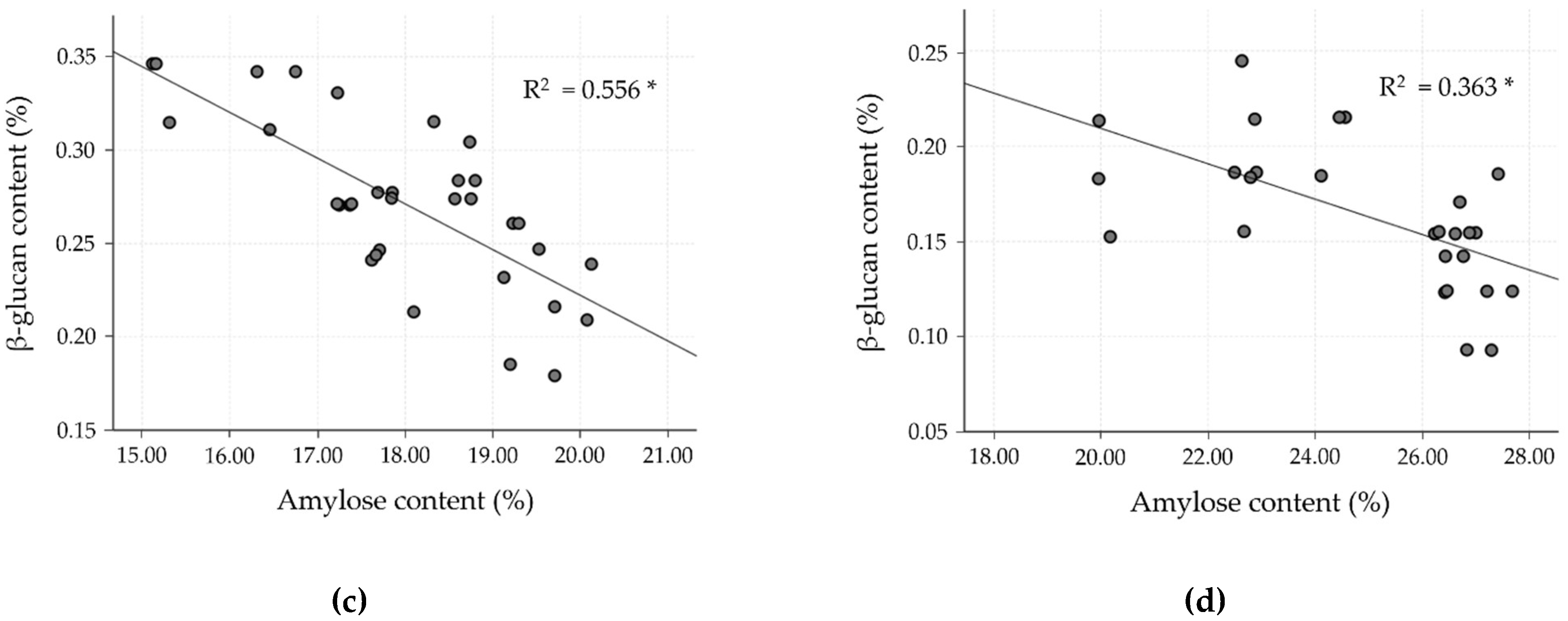
2.4. Relation of Amylose and β-Glucan Contents in Milled Rice Fraction
3. Materials and Methods
3.1. Chemicals
3.2. Rice Sample
3.3. Yield of Paddy-Rice Fractions
3.4. β-Glucan Content Analysis
3.5. Amylose Content Analysis
3.6. Statistical Analysis
4. Conclusions
Funding
Institutional Review Board Statement
Informed Consent Statement
Data Availability Statement
Acknowledgments
Conflicts of Interest
Sample Availability
References
- Thanawong, K.; Perret, S.R.; Basset-Mens, C. Eco-efficiency of paddy rice production in northeastern Thailand: A comparison of rain-fed and irrigated cropping systems. J. Clean. Prod. 2014, 73, 204–217. [Google Scholar] [CrossRef]
- USDA Foreign Agricultural Services. Grain report: Grain and feed update Thailand; Report Number: TH2020-0012; Global Agricultural Information Network: Washington, DC, USA, 2020. [Google Scholar]
- Moongngarm, A.; Daomukda, N.; Khumpika, S. Chemical compositions, phytochemicals, and antioxidant capacity of rice bran, rice bran layer, and rice germ. APCBEE Procedia 2012, 2, 73–79. [Google Scholar] [CrossRef] [Green Version]
- Goufo, P.; Trindade, H. Rice antioxidants: Phenolic acids, flavonoids, anthocyanins, proanthocyanidins, tocopherols, tocotrienols, γ-oryzanol, and phytic acid. Food Sci. Nutr. 2014, 2, 75–104. [Google Scholar] [CrossRef]
- Wanyo, P.; Meeso, N.; Siriamornpun, S. Effects of different treatments on the antioxidant properties and phenolic compounds of rice bran and rice husk. Food Chem. 2014, 157, 457–463. [Google Scholar] [CrossRef]
- Rondanelli, M.; Miccono, A.; Peroni, G.; Nichetti, M.; Infantino, V.; Spadaccini, D.; Alalwan, T.A.; Faliva, M.A.; Perna, S. Rice germ macro- and micronutrients: A new opportunity for the nutraceutics. Nat. Prod. Res. 2019, 35, 1532–1536. [Google Scholar] [CrossRef]
- Tabaraki, R.; Nateghi, A. Optimization of ultrasonic-assisted extraction of natural antioxidants from rice bran using response surface methodology. Ultrason. Sonochem. 2011, 18, 1279–1286. [Google Scholar] [CrossRef]
- Lourith, N.; Kanlayavattanakul, M. Appraisal of Thai glutinous rice husk for health promotion products. J. Cereal Sci. 2013, 57, 343–347. [Google Scholar] [CrossRef]
- Gao, Y.; Guo, X.; Liu, Y.; Fang, Z.; Zhang, M.; Zhang, R.; You, L.; Li, T.; Liu, R.H. A full utilization of rice husk to evaluate phytochemical bioactivities and prepare cellulose nanocrystals. Sci. Rep. 2018, 8, 10482. [Google Scholar] [CrossRef] [PubMed]
- Chinvongamorn, C.; Sansenya, S. The γ-oryzanol content of Thai rice cultivars and the effects of gamma irradiation on the γ-oryzanol content of germinated Thai market rice. Orient. J. Chem. 2020, 36, 812–818. [Google Scholar] [CrossRef]
- Division of Rice Research and Development. Rice Knowledge Bank, Rice Department, Ministry of Agriculture and Cooperatives. Available online: http://webold.ricethailand.go.th/rkb3/ (accessed on 8 September 2021).
- OAE. Agricultural Production Information of Thailand: In-Season Rice and Off-Season Rice; Center for Agricultural Information, Office of Agricultural Economics, Ministry of Agriculture and Cooperatives: Bangkok, Thailand, 2018. [Google Scholar]
- Vergara, B.S.; Chang, T.T. The Flowering Response of the Rice Plant to Photoperiod: A Review of the Literature, 4th ed.; International Rice Research Institute: Los Baños, Philippines, 1986. [Google Scholar]
- Boontakham, P.; Sookwong, P.; Jongkaewwattana, S.; Wangtueai, S.; Mahatheeranont, S. Comparison of grain yield and 2-acetyl-1-pyrroline (2AP) content in leaves and grain of two Thai fragrant rice cultivars cultivated at greenhouse and open-air conditions. Aust. J. Crop Sci. 2019, 13, 1431. [Google Scholar] [CrossRef]
- Chung, H.-J.; Liu, Q.; Lee, L.; Wei, D. Relationship between the structure, physicochemical properties and in vitro digestibility of rice starches with different amylose contents. Food Hydrocoll. 2011, 25, 968–975. [Google Scholar] [CrossRef]
- Juliano, B.O.; Pascaul, C.G. Quality Characteristics of Milled Rice Grown in Different Countries; Paper Series 48; International Rice Research Institute: Los Banos, Philippines, 1980. [Google Scholar]
- Suwannaporn, P.; Pitiphunpong, S.; Champangern, S. Classification of rice amylose content by discriminant analysis of physicochemical properties. Starch-Stärke 2007, 59, 171–177. [Google Scholar] [CrossRef]
- Buckeridge, M.S.; Rayon, C.; Urbanowicz, B.; Tiné, M.A.S.; Carpita, N.C. Mixed linkage (1→3),(1→4)-β-D-glucans of grasses. Cereal Chem. 2004, 81, 115–127. [Google Scholar] [CrossRef]
- Cui, S.W.; Wood, P.J. Relationships between structural features, molecular weight and rheological properties of cereal β-D-glucans. In Hydrocolloids: Part 1: Physical Chemistry and Industrial Applications of Gels, Polysaccharides and Proteins; Nishinari, K., Ed.; Elsevier: Amsterdam, The Netherlands, 2000; pp. 159–168. [Google Scholar]
- Collins, H.M.; Burton, R.A.; Topping, D.L.; Liao, M.-L.; Bacic, A.; Fincher, G.B. Variability in fine structures of noncellulosic cell wall polysaccharides from cereal grains: Potential importance in human health and nutrition. Cereal Chem. 2010, 87, 272–282. [Google Scholar] [CrossRef]
- Henrion, M.; Francey, C.; Lê, K.-A.; Lamothe, L. Cereal β-glucans: The impact of processing and how it affects physiological responses. Nutrients 2019, 11, 1729. [Google Scholar] [CrossRef] [PubMed] [Green Version]
- Cicero, A.F.G.; Fogacci, F.; Veronesi, M.; Strocchi, E.; Grandi, E.; Rizzoli, E.; Poli, A.; Marangoni, F.; Borghi, C. A randomized placebo-controlled clinical trial to evaluate the medium-term effects of oat fibers on human health: The beta-glucan effects on lipid profile, glycemia and intestinal health (belt) study. Nutrients 2020, 12, 686. [Google Scholar] [CrossRef] [Green Version]
- Pino, J.L.; Mujica, V.; Arredondo, M. Effect of dietary supplementation with oat β-glucan for 3 months in subjects with type 2 diabetes: A randomized, double-blind, controlled clinical trial. J. Funct. Foods 2021, 77, 104311. [Google Scholar] [CrossRef]
- Brennan, C.S.; Cleary, L.J. The potential use of cereal (1→3,1→4)-β-d-glucans as functional food ingredients. J. Cereal Sci. 2005, 42, 1–13. [Google Scholar] [CrossRef]
- Tosh, S.M.; Miller, S.S. Health effects of β-glucans found in cereals. In Encyclopedia of Food Grains; Wrigley, C., Corke, H., Seetharaman, K., Faubion, J., Eds.; Elsevier Science Publishers, B.V.: Amsterdam, The Netherlands, 2016; pp. 236–240. [Google Scholar]
- Jayachandran, M.; Chen, J.; Chung, S.S.M.; Xu, B. A critical review on the impacts of β-glucans on gut microbiota and human health. J. Nutr. Biochem. 2018, 61, 101–110. [Google Scholar] [CrossRef]
- Cui, S.W.; Wang, Q. Cell wall polysaccharides in cereals: Chemical structures and functional properties. Struct. Chem. 2009, 20, 291–297. [Google Scholar] [CrossRef]
- Palmer, R.; Cornuault, V.; Marcus, S.E.; Knox, J.P.; Shewry, P.R.; Tosi, P. Comparative in situ analyses of cell wall matrix polysaccharide dynamics in developing rice and wheat grain. Planta 2015, 241, 669–685. [Google Scholar] [CrossRef] [PubMed] [Green Version]
- Demirbas, A. β-Glucan and mineral nutrient contents of cereals grown in Turkey. Food Chem. 2005, 90, 773–777. [Google Scholar] [CrossRef]
- Jung, T.-D.; Shin, G.-H.; Kim, J.-M.; Choi, S.-I.; Lee, J.-H.; Lee, S.J.; Park, S.J.; Woo, K.S.; Oh, S.K.; Lee, O.-H. Comparative analysis of γ-oryzanol, β-glucan, total phenolic content and antioxidant activity in fermented rice bran of different varieties. Nutrients 2017, 9, 571. [Google Scholar] [CrossRef] [PubMed] [Green Version]
- Ehrenbergerová, J.; Brezinová Belcredi, N.; Psota, V.; Hrstková, P.; Cerkal, R.; Newman, C.W. Changes caused by genotype and environmental conditions in beta-glucan content of spring barley for dietetically beneficial human nutrition. Plant Foods Hum. Nutr. 2008, 63, 111–117. [Google Scholar] [CrossRef] [PubMed]
- Howarth, C.J.; Martinez-Martin, P.M.J.; Cowan, A.A.; Griffiths, I.M.; Sanderson, R.; Lister, S.J.; Langdon, T.; Clarke, S.; Fradgley, N.; Marshall, A.H. Genotype and environment affect the grain quality and yield of winter oats (Avena sativa L.). Foods 2021, 10, 2356. [Google Scholar] [CrossRef]
- Islamovic, E.; Obert, D.E.; Oliver, R.E.; Harrison, S.A.; Ibrahim, A.; Marshall, J.M.; Miclaus, K.J.; Hu, G.; Jackson, E.W. Genetic dissection of grain beta-glucan and amylose content in barley (Hordeum vulgare L.). Mol. Breed. 2013, 31, 15–25. [Google Scholar] [CrossRef]
- Izydorczyk, M.S.; Storsley, J.; Labossiere, D.; MacGregor, A.W.; Rossnagel, B.G. Variation in total and solube β-glucan content in hulless barley: Effects of thermal, physical, and enzymatic treatments. J. Agric. Food Chem. 2000, 48, 982–989. [Google Scholar] [CrossRef]
- Hang, A.; Obert, D.; Gironella, A.I.N.; Burton, C.S. Barley amylose and β-glucan: Their relationships to protein, agronomic traits, and environmental factors. Crop Sci. 2007, 47, 1754–1760. [Google Scholar] [CrossRef] [Green Version]
- Shu, X.; Rasmussen, S.K. Quantification of amylose, amylopectin, and β-glucan in search for genes controlling the three major quality traits in barley by genome-wide association studies. Front. Plant. Sci. 2014, 5, 197. [Google Scholar] [CrossRef] [Green Version]
- Esa, N.M.; Ling, T.B.; Peng, L.S. By-Products of rice processing: An overview of health benefits and applications. J. Rice Res. 2013, 1, 107. [Google Scholar] [CrossRef] [Green Version]
- Gopala Krishna, A.G.; Raja Rajan, R.G.; Bhatnagar, A.S. Rice Bran: Chemistry, production and applications—A review. Beverage Food World 2012, 39, 31–36. [Google Scholar]
- Bandonill, E.H.; Corpuz, G.G. Grain quality of irrigated lowland rice varieties as affected by season and crop establishment. J. Crop Sci. 2015, 40, 74–77. [Google Scholar]
- Kalpanadevi, C.; Singh, V.; Subramanian, R. Influence of milling on the nutritional composition of bran from different rice varieties. J. Food Sci. Technol. 2018, 55, 2259–2269. [Google Scholar] [CrossRef] [PubMed]
- Hoogenkamp, H.; Kumagai, H.; Wanasundara, J.P.D. Chapter 3—Rice protein and rice protein products. In Sustainable Protein Sources; Nadathur, S.R., Wanasundara, J.P.D., Scanlin, L., Eds.; Elsevier: Amsterdam, The Netherlands, 2017; pp. 47–65. [Google Scholar]
- Vichapong, J.; Sookserm, M.; Srijesdaruk, V.; Swatsitang, P.; Srijaranai, S. High performance liquid chromatographic analysis of phenolic compounds and their antioxidant activities in rice varieties. LWT Food Sci. Technol. 2010, 43, 1325–1330. [Google Scholar] [CrossRef]
- USAID Mekong Adaptation and Resilience to Climate Change (USAID Mekong ARCC). Thailand Climate Change Vulnerability Profile, IUCN, Asia. Available online: https://www.iucn.org/asia/thailand/countries/thailand/usaid-mekong-adaptation-and-resilience-climate-change (accessed on 5 October 2021).
- De Datta, S.K. Principles and Practices of Rice Production; A Wiley-Interscience Publication; John Wiley & Sons: New York, NY, USA, 1981. [Google Scholar]
- Suebpongsang, P.; Ekasingh, B.; Cramb, R. Commercialisation of rice Farming in northeast Thailand. In White Gold: The Commercialisation of Rice Farming in the Lower Mekong Basin; Cramb, R., Ed.; Palgrave Macmillan: London, UK, 2020; pp. 39–68. [Google Scholar]
- Nishantha, M.D.L.C.; Zhao, X.; Jeewani, D.C.; Bian, J.; Nie, X.; Weining, S. Direct comparison of β-glucan content in wild and cultivated barley. Int. J. Food Prop. 2018, 21, 2218–2228. [Google Scholar] [CrossRef] [Green Version]
- AACC International. Method 44-15.02 Moisture—Air-Oven Methods. Available online: https://www.cerealsgrains.org/resources/Methods/Pages/44Moisture.aspx (accessed on 8 September 2021).




| No | Cultivar | Yield (% w/w) | |||
|---|---|---|---|---|---|
| Milled Rice | Rice Husk | Rice Bran | Yield Loss * | ||
| 1 | RD15 | 61.34 ± 0.65 mn | 29.09 ± 0.75 ab | 8.04 ± 0.42 ijk | 1.53 ± 0.27 g |
| 2 | RD6 | 62.30 ± 0.61 kl | 27.47 ± 0.22 ef | 8.54 ± 0.45 ghij | 1.68 ± 0.35 ef |
| 3 | RD16 | 61.67 ± 1.13 mn | 27.64 ± 0.78 e | 8.98 ± 0.60 fg | 1.71 ± 0.24 ef |
| 4 | Spt1 | 64.25 ± 1.10 fgh | 28.23 ± 1.09 cd | 6.64 ± 0.35 no | 0.88 ± 0.14 l |
| 5 | NSpt | 63.98 ± 1.18 hij | 26.74 ± 1.07 ghi | 7.48 ± 0.28 lm | 1.80 ± 0.29 de |
| 6 | RD39 | 70.08 ± 1.51 a | 21.28 ± 1.59 s | 7.07 ± 0.27 lmn | 1.57 ± 0.36 g |
| 7 | RD10 | 63.13 ± 0.66 jk | 25.81 ± 1.01 m | 9.54 ± 0.43 bcd | 1.52 ± 0.30 gh |
| 8 | RD14 | 62.41 ± 0.65 kl | 27.20 ± 1.00 efg | 8.57 ± 0.58 ghi | 1.82 ± 0.28 de |
| 9 | Pr1 | 62.00 ± 0.32 klm | 27.39 ± 0.65 ef | 9.18 ± 0.34 def | 1.42 ± 0.29 hi |
| 10 | RD21 | 62.14 ± 1.69 klm | 29.76 ± 2.19 a | 6.26 ± 0.75 o | 1.84 ± 0.25 de |
| 11 | JH | 66.14 ± 1.54 de | 24.32 ± 2.33 op | 7.43 ± 0.48 lm | 2.10 ± 0.37 b |
| 12 | JKC | 67.27 ± 0.38 c | 23.77 ± 0.29 r | 7.03 ± 0.21 lmn | 1.93 ± 0.34 cd |
| 13 | JLS | 67.56 ± 0.86 c | 23.74 ± 1.19 r | 7.42 ± 0.14 lm | 1.29 ± 0.21 ij |
| 14 | SMJ | 65.41 ± 0.38 f | 24.05 ± 0.61 opq | 9.05 ± 0.32 def | 1.49 ± 0.20 gh |
| 15 | RD35 | 61.90 ± 1.39 lmn | 27.38 ± 1.06 ef | 8.87 ± 0.38 fg | 1.85 ± 0.22 de |
| 16 | JC1 | 61.16 ± 0.60 no | 28.97 ± 0.55 b | 8.67 ± 0.35 fgh | 1.21 ± 0.14 k |
| 17 | RD31 | 61.77 ± 3.04 lmn | 26.55 ± 1.64 hijk | 9.89 ± 0.92 ab | 1.79 ± 0.50 de |
| 18 | RD41 | 64.29 ± 1.36 fgh | 26.16 ± 0.77 klm | 8.05 ± 1.08 ijk | 1.50 ± 0.23 gh |
| 19 | Pl2 | 64.75 ± 1.04 fg | 26.19 ± 0.49 klm | 7.58 ± 0.44 lm | 1.48 ± 0.18 gh |
| 20 | PT1 | 61.92 ± 0.68 lmn | 28.24 ± 0.54 cd | 8.14 ± 0.93 hijk | 1.70 ± 0.30 ef |
| 21 | LPt123 | 62.68 ± 0.75 kl | 27.57 ± 0.30 e | 8.29 ± 0.42 hij | 1.46 ± 0.32 gh |
| 22 | CN1 | 62.12 ± 1.94 klm | 27.24 ± 2.29 ef | 9.17 ± 0.25 def | 1.46 ± 0.32 gh |
| 23 | SP1 | 63.25 ± 0.19 ij | 26.64 ± 1.62 hij | 8.76 ± 1.45 fg | 1.35 ± 0.32 hi |
| 24 | PNPB | 63.22 ± 0.18 ij | 27.38 ± 0.29 ef | 8.06 ± 0.23 ijk | 1.34 ± 0.19 ij |
| 25 | PB1 | 61.52 ± 1.08 mn | 27.32 ± 0.59 ef | 9.77 ± 0.53 abc | 1.39 ± 0.20 hi |
| 26 | PB2 | 64.71 ± 1.22 fg | 24.47 ± 0.31 op | 8.81 ± 0.46 fg | 2.01 ± 0.48 c |
| 27 | At1 | 61.59 ± 1.79 mn | 26.89 ± 1.73 gh | 10.00 ± 0.92 a | 1.52 ± 0.32 gh |
| 28 | KDM105 | 68.22 ± 1.61 b | 23.94 ± 1.46 qr | 6.56 ± 0.65 no | 1.28 ± 0.27 ij |
| 29 | SN | 66.14 ± 1.28 de | 25.30 ± 0.85 mn | 6.78 ± 0.33 no | 1.78 ± 0.14 de |
| 30 | KMR3 | 66.04 ± 1.05 de | 25.39 ± 1.33 mn | 6.76 ± 0.62 no | 1.81 ± 0.37 de |
| 31 | CP | 67.16 ± 0.52 cd | 24.13 ± 1.11 opq | 7.03 ± 0.51 lmn | 1.69 ± 0.28 ef |
| 32 | RD55 | 63.64 ± 2.69 ij | 26.98 ± 2.30 gh | 7.84 ± 0.29 kl | 1.54 ± 0.15 g |
| 33 | RD47 | 62.98 ± 2.76 jk | 28.58 ± 2.26 bc | 6.17 ± 0.47 op | 2.27 ± 0.91 a |
| 34 | CL97 | 63.96 ± 1.09 hij | 24.65 ± 2.38 ghi | 9.46 ± 0.94 bcd | 1.93 ± 0.37 cd |
| 35 | LNP | 62.04 ± 1.10 klm | 26.87 ± 1.47 ijk | 9.72 ± 0.56 abc | 1.37 ± 0.16 hi |
| 36 | NDC49 | 63.39 ± 1.67 ij | 26.76 ± 1.07 ghi | 8.30 ± 0.63 hij | 1.54 ± 0.31 g |
| 37 | SYP | 62.33 ± 1.05 kl | 26.60 ± 0.96 hij | 9.22 ± 0.29 bcde | 1.85 ± 0.25 de |
| 38 | DPy | 63.98 ± 0.83 hij | 25.42 ± 0.72 mn | 9.28 ± 0.30 bcde | 1.32 ± 0.19 ij |
| Cultivar | Categories | β-Glucan Content (%) | Total β-Glucan Content (mg) 4 | ||||||
|---|---|---|---|---|---|---|---|---|---|
| R 1 | P 2 | T 3 | Milled Rice | Rice Husk | Rice Bran | Milled Rice | Rice Husk | Rice Bran | |
| Northern Region | |||||||||
| RD15 | L | S | NG | 0.34 ± 0.02 lm | 0.05 ± 0.01 lmn | 0.39 ± 0.01 fg | 617.82 ± 28.20 j | 41.54 ± 4.94 lm | 93.31 ± 2.69 e |
| RD6 | L | S | G | 0.46 ± 0.02 d | 0.07 ± 0.00 fg | 0.31 ± 0.01 jk | 854.67 ± 26.14 de | 56.45 ± 3.97 de | 79.80 ± 1.67 gh |
| RD16 | L | S | G | 0.38 ± 0.03 ijkl | 0.06 ± 0.00 hij | 0.26 ± 0.01 mn | 695.32 ± 47.25 ghi | 52.20 ± 4.83 fgh | 63.33 ± 3.71 i |
| Spt1 | L | IS | G | 0.44 ± 0.02 def | 0.08 ± 0.01 c | 0.23 ± 0.01 op | 846.25 ± 19.45 de | 67.42 ± 4.04 b | 44.92 ± 0.65 l |
| NSpt | L | S | G | 0.45 ± 0.04 de | 0.06 ± 0.00 ijk | 0.36 ± 0.03 gh | 872.17 ± 63.17 d | 48.28 ± 1.87 ijk | 81.81 ± 4.48 gh |
| RD39 | L | IS | NG | 0.24 ± 0.02 qrs | 0.05 ± 0.01 lm | 0.43 ± 0.02 e | 497.90 ± 27.86 klm | 31.73 ± 1.83 qr | 91.86 ± 0.97 ef |
| RD10 | L | IS | G | 0.39 ± 0.02 ij | 0.07 ± 0.02 de | 0.36 ± 0.02 h | 744.35 ± 31.41 fgh | 55.22 ± 2.52 defg | 102.08 ± 2.09 d |
| RD14 | L | IS | G | 0.34 ± 0.03 kl | 0.05 ± 0.00 lm | 0.31 ± 0.02 jk | 639.26 ± 51.44 ij | 40.68 ± 4.47 lmn | 78.78 ± 1.85 h |
| Pr1 | L | IS | G | 0.57 ± 0.02 c | 0.06 ± 0.00 jk | 0.34 ± 0.02 hi | 1054.15 ± 36.40 c | 48.11 ± 4.81 ijk | 94.62 ± 6.01 e |
| RD21 | L | IS | NG | 0.33 ± 0.02 lmn | 0.03 ± 0.01 p | 0.11 ± 0.01 u | 617.98 ± 27.02 j | 30.28 ± 3.99 qr | 21.12 ± 2.22 n |
| JH | U | S | NG | 0.38 ± 0.02 ijk | 0.05 ± 0.01 mn | 0.25 ± 0.02 mno | 755.23 ± 27.60 fg | 34.12 ± 3.17 pqr | 56.19 ± 3.20 jk |
| JKC | U | S | NG | 0.71 ± 0.03 b | 0.09 ± 0.01 b | 0.59 ± 0.01 b | 1427.68 ± 56.74 b | 67.06 ± 3.37 b | 123.57 ± 1.78 c |
| JLS | U | S | NG | 0.43 ± 0.03 fg | 0.06 ± 0.01 ijk | 0.36 ± 0.01 gh | 874.21 ± 71.01 d | 42.98 ± 3.25 lm | 81.17 ± 1.63 gh |
| SMJ | U | S | G | 0.40 ± 0.03 ij | 0.07 ± 0.00 de | 0.67 ± 0.03 a | 783.76 ± 55.76 ef | 52.05 ± 1.30 fghi | 182.91 ± 1.37 a |
| Central Plain | |||||||||
| RD35 | L | S | NG | 0.14 ± 0.02 uvw | 0.02 ± 0.00 q | 0.26 ± 0.01 mn | 266.32 ± 27.45 qr | 20.41 ± 1.55 s | 68.10 ± 3.81 i |
| JC1 | L | S | NG | 0.27 ± 0.02 opq | 0.07 ± 0.01 cde | 0.40 ± 0.01 f | 489.90 ± 30.27 klm | 62.99 ± 4.69 bc | 104.49 ± 2.18 d |
| RD31 | L | IS | NG | 0.12 ± 0.03 wx | 0.06 ± 0.00 hij | 0.27 ± 0.02 lm | 227.95 ± 46.36 r | 49.14 ± 2.55 hij | 79.39 ± 4.04 h |
| RD41 | L | IS | NG | 0.11 ± 0.02 x | 0.05 ± 0.00 lm | 0.18 ± 0.02 rs | 218.35 ± 30.48 r | 39.56 ± 1.02 no | 43.15 ± 1.56 lm |
| Pl2 | L | IS | NG | 0.18 ± 0.02 uv | 0.07 ± 0.00 def | 0.34 ± 0.02 hi | 341.43 ± 33.29 op | 55.85 ± 2.56 def | 77.67 ± 2.81 h |
| PT1 | L | IS | NG | 0.42 ± 0.02 fgh | 0.05 ± 0.00 lmn | 0.21 ± 0.02 pq | 785.20 ± 24.76 ef | 41.31 ± 3.07 lm | 51.81 ± 3.20 k |
| Western Region | |||||||||
| LPt123 | L | S | NG | 0.16 ± 0.02 uvw | 0.04 ± 0.01 o | 0.35 ± 0.01 hi | 309.55 ± 29.80 pq | 35.47 ± 3.86 opq | 86.57 ± 2.65 fg |
| CN1 | L | IS | NG | 0.21 ± 0.03 rst | 0.06 ± 0.01 jk | 0.39 ± 0.02 f | 397.92 ± 44.74 no | 46.32 ± 3.37 jkl | 108.33 ± 2.20 d |
| SP1 | L | IS | NG | 0.15 ± 0.02 uvw | 0.02 ± 0.00 q | 0.14 ± 0.02 t | 284.76 ± 31.68 pqr | 12.90 ± 1.52 t | 36.65 ± 6.13 m |
| Eastern Region | |||||||||
| PNPB | F | S | NG | 0.28 ± 0.02 op | 0.05 ± 0.00 lmn | 0.33 ± 0.01 ij | 538.90 ± 34.22 kl | 39.48 ± 1.74 no | 79.22 ± 3.19 h |
| PB1 | D | S | NG | 0.25 ± 0.02 pqr | 0.07 ± 0.00 fgh | 0.29 ± 0.01 kl | 463.18 ± 23.84 mn | 55.61 ± 1.08 def | 83.62 ± 4.81 gh |
| PB2 | D | S | NG | 0.21 ± 0.03 rst | 0.05 ± 0.00 h | 0.40 ± 0.01 f | 405.21 ± 50.48 no | 33.50 ± 1.80 qr | 105.45 ± 4.56 d |
| At1 | D | S | NG | 0.29 ± 0.02 mno | 0.06 ± 0.01 hij | 0.36 ± 0.01 gh | 543.05 ± 17.23 kl | 49.65 ± 3.63 ghij | 108.15 ± 6.98 d |
| Northeastern Region | |||||||||
| KDM105 | L | S | NG | 0.41 ± 0.02 hi | 0.06 ± 0.00 ghi | 0.20 ± 0.02 qr | 842.02 ± 18.98 de | 46.11 ± 0.97 jkl | 38.36 ± 0.70 ml |
| SN | L | IS | G | 0.88 ± 0.03 a | 0.11 ± 0.01 a | 0.52 ± 0.02 d | 1749.21 ± 29.62 a | 81.62 ± 2.36 a | 105.94 ± 1.86 d |
| Southern Region | |||||||||
| KMR3 | L | S | NG | 0.24 ± 0.03 qrs | 0.04 ± 0.01 o | 0.30 ± 0.01 k | 482.47 ± 52.81 lm | 33.03 ± 4.21 qr | 60.70 ± 3.47 j |
| CP | L | S | NG | 0.20 ± 0.02 stu | 0.04 ± 0.00 op | 0.25 ± 0.02 mno | 412.60 ± 33.55 no | 28.54 ± 1.92 r | 52.35 ± 3.72 k |
| RD55 | L | IS | NG | 0.18 ± 0.03 uv | 0.04 ± 0.01 o | 0.23 ± 0.02 nop | 347.77 ± 47.63 op | 34.08 ± 3.45 pqr | 54.43 ± 6.16 jk |
| RD47 | L | IS | NG | 0.22 ± 0.03 rst | 0.05 ± 0.01 h | 0.23 ± 0.02 op | 406.65 ± 40.62 no | 39.10 ± 1.75 nop | 41.92 ± 0.48 lm |
| CL97 | L | S | NG | 0.29 ± 0.03 no | 0.02 ± 0.00 mn | 0.28 ± 0.02 kl | 558.42 ± 76.60 k | 34.12 ± 3.21 pqr | 80.46 ± 3.76 gh |
| LNP | L | S | NG | 0.26 ± 0.02 opq | 0.06 ± 0.01 hij | 0.41 ± 0.01 f | 486.25 ± 35.03 klm | 50.19 ± 4.47 ghi | 118.61 ± 6.47 c |
| NDC49 | L | S | G | 0.45 ± 0.02 de | 0.05 ± 0.00 l | 0.30 ± 0.02 st | 856.39 ± 12.04 de | 42.57 ± 2.78 klm | 39.68 ± 2.53 lm |
| SYP | L | S | NG | 0.36 ± 0.03 jkl | 0.06 ± 0.01 jk | 0.55 ± 0.01 c | 677.82 ± 46.34 hij | 43.89 ± 2.75 klm | 152.96 ± 7.08 b |
| DPy | U | S | NG | 0.37 ± 0.03 ijkl | 0.08 ± 0.00 cd | 0.57 ± 0.02 bc | 704.51 ± 53.97 c | 59.20 ± 2.59 cd | 157.73 ± 3.35 b |
| Descriptive Statistics | Fraction of Paddy Rice | ||
|---|---|---|---|
| Milled Rice | Rice Husk | Rice Bran | |
| Mean (%) | 0.302 | 0.054 | 0.309 |
| Standard Error of Mean | 0.112 | 0.001 | 0.010 |
| Variance | 0.013 | 0.000 | 0.011 |
| Standard Deviation | 0.115 | 0.015 | 0.102 |
| Skewness | 0.197 | −0.358 | 0.419 |
| Standard Error of Skewness | 0.236 | 0.236 | 0.236 |
| Kurtosis | −0.771 | 0.140 | 0.344 |
| Standard Error of Kurtosis | 0.467 | 0.467 | 0.467 |
| Range (%) | 0.480 | 0.070 | 0.490 |
| Minimum (%) | 0.090 | 0.010 | 0.090 |
| Maximum (%) | 0.580 | 0.080 | 0.580 |
| Cluster 1 1 | Cluster 2 2 | Cluster 3 3 | Cluster 4 4 | ||||
|---|---|---|---|---|---|---|---|
| G 4 Cultivar | Amylose Content (%) | NG 5 Cultivar | Amylose Content (%) | NG 5 Cultivar | Amylose Content (%) | NG 5 Cultivar | Amylose Content (%) |
| RD6 | 2.45 ± 0.08 y | JKC | 10.07 ± 0.03 r | RD15 | 15.19 ± 0.10 l | RD55 | 20.03 ± 0.12 f |
| SN | 2.59 ± 0.02 y | JLS | 10.45 ± 0.22 q | RD21 | 16.50 ± 0.23 k | Pl2 | 22.69 ± 0.21 e |
| NSpt | 3.19 ± 0.12 x | PT1 | 11.77 ± 0.03 p | CL97 | 17.30 ± 0.08 j | CN1 | 22.76 ± 0.12 e |
| Pr1 | 3.60 ± 0.14 e | KDM105 | 12.11 ± 0.15 o | LNP | 17.41 ± 0.20 j | CP | 24.38 ± 0.23 d |
| Spt1 | 3.65 ± 0.08 w | DPy | 12.12 ± 0.03 o | JC1 | 17.75 ± 0.09 i | RD35 | 26.42 ± 0.19 c |
| RD16 | 4.47 ± 0.11 v | JH | 12.20 ± 0.40 no | KMR3 | 17.87 ± 0.22 i | RD31 | 26.54 ± 0.27 c |
| SMJ | 4.50 ± 0.05 v | SYP | 12.46 ± 0.05 n | At1 | 18.58 ± 0.24 h | SP1 | 26.63 ± 0.18 c |
| NDC49 | 5.02 ± 0.05 u | RD39 | 13.85 ± 0.24 m | PNPB | 18.69 ± 0.11 h | LPt123 | 27.10 ± 0.28 b |
| RD10 | 5.44 ± 0.10 t | PB1 | 19.22 ± 0.09 g | RD41 | 27.39 ± 0.25 a | ||
| RD14 | 5.77 ± 0.06 s | RD47 | 19.48 ± 0.26 g | ||||
| PB2 | 19.97 ± 0.23 f | ||||||
| Cluster | Pearson’s Correlation | Linear Equation | R2 | Sample Size | p-Value |
|---|---|---|---|---|---|
| 1 | −0.622 | y = 0.819 − 0.084x | 0.387 | 30 | <0.0001 |
| 2 | −0.857 | y = 1.565 − 0.097x | 0.734 | 24 | <0.0001 |
| 3 | −0.746 | y = 0.712 − 0.024x | 0.556 | 33 | <0.0001 |
| 4 | −0.603 | y = 0.395 − 0.009x | 0.363 | 27 | <0.0001 |
| No. | Rice Cultivar | Abbreviation | Location of Rice Research Center |
|---|---|---|---|
| 1 | RD15 | RD15 | Chiang Rai |
| 2 | RD6 | RD6 | Chiang Rai |
| 3 | RD16 | RD16 | Chiang Rai |
| 4 | San-pah-tawng 1 | Spt1 | Chiang Mai |
| 5 | Niaw San-pah-tawng | NSpt | Chiang Mai |
| 6 | RD39 | RD39 | Chiang Mai |
| 7 | RD10 | RD10 | Phrae |
| 8 | RD14 | RD14 | Phrae |
| 9 | Phrae 1 | Pr1 | Phrae |
| 10 | RD21 | RD21 | Mae Hong Son |
| 11 | Jow Haw | JH | Mae Hong Son |
| 12 | Jow Khao Chiangmai | JKC | Mae Hong Son |
| 13 | Jow Lisaw San-pah-tawng | JLS | Mae Hong Son |
| 14 | Sew Mae Jan | SMJ | Samoeng |
| 15 | RD35 (Rangsit 80) | RD35 | Pathum Thani |
| 16 | Jek Chuey 1 | JC1 | Pathum Thani |
| 17 | RD31 (Pathum Thani 80) | RD31 | Pathum Thani |
| 18 | RD41 | RD41 | Pathum Thani |
| 19 | Phitsanulok 2 | Pl2 | Pathum Thani |
| 20 | Pathum Thani 1 | PT1 | Pathum Thani |
| 21 | Leuang Pratew 123 | LPt123 | Ratchaburi |
| 22 | Chai Nat 1 | CN1 | Ratchaburi |
| 23 | Suphan Buri 1 | SP1 | Ratchaburi |
| 24 | Plai Ngahm Prachin Buri | PNPB | Prachinburi |
| 25 | Prachin Buri 1 | PB1 | Prachinburi |
| 26 | Prachin Buri 2 | PB2 | Prachinburi |
| 27 | Ayutthaya 1 | At1 | Prachinburi |
| 28 | Khao Dawk Mali 105 | KDM105 | Sakon Nakhon |
| 29 | Sakon Nakhon | SN | Sakon Nakhon |
| 30 | Khai Mod Rin 3 | KMR3 | Nakhon Si Thammarat |
| 31 | Chiang Phatthalung | CP | Phatthalung |
| 32 | RD55 | RD55 | Phatthalung |
| 33 | RD47 | RD47 | Phatthalung |
| 34 | Cho Lung 97 | CL97 | Pattani |
| 35 | Leb Nok Pattani | LNP | Pattani |
| 36 | Niaw Dam Chaw Mai Pai 49 | NDC49 | Pattani |
| 37 | Sang Yod Phattalung | SYP | Phatthalung |
| 38 | Dawk Pa-yawm | DPy | Phatthalung |
Publisher’s Note: MDPI stays neutral with regard to jurisdictional claims in published maps and institutional affiliations. |
© 2021 by the author. Licensee MDPI, Basel, Switzerland. This article is an open access article distributed under the terms and conditions of the Creative Commons Attribution (CC BY) license (https://creativecommons.org/licenses/by/4.0/).
Share and Cite
Phuwadolpaisarn, P. Comparison of β-Glucan Content in Milled Rice, Rice Husk and Rice Bran from Rice Cultivars Grown in Different Locations of Thailand and the Relationship between β-Glucan and Amylose Contents. Molecules 2021, 26, 6368. https://doi.org/10.3390/molecules26216368
Phuwadolpaisarn P. Comparison of β-Glucan Content in Milled Rice, Rice Husk and Rice Bran from Rice Cultivars Grown in Different Locations of Thailand and the Relationship between β-Glucan and Amylose Contents. Molecules. 2021; 26(21):6368. https://doi.org/10.3390/molecules26216368
Chicago/Turabian StylePhuwadolpaisarn, Pattraporn. 2021. "Comparison of β-Glucan Content in Milled Rice, Rice Husk and Rice Bran from Rice Cultivars Grown in Different Locations of Thailand and the Relationship between β-Glucan and Amylose Contents" Molecules 26, no. 21: 6368. https://doi.org/10.3390/molecules26216368
APA StylePhuwadolpaisarn, P. (2021). Comparison of β-Glucan Content in Milled Rice, Rice Husk and Rice Bran from Rice Cultivars Grown in Different Locations of Thailand and the Relationship between β-Glucan and Amylose Contents. Molecules, 26(21), 6368. https://doi.org/10.3390/molecules26216368