Valorization of Byproducts of Hemp Multipurpose Crop: Short Non-Aligned Bast Fibers as a Source of Nanocellulose
Abstract
1. Introduction
2. Materials and Methods
2.1. Materials
2.2. Production of Nanocellulose from Hemp Fibers
2.3. Production of Nanopaper
2.4. Characterization Methods
3. Results and Discussion
3.1. Evolution of the Dimensions and Morphology of the Fibers during the Pretreatment
3.2. Morphology and Dimensions of the Nanocellulose
3.3. FTIR Characterization
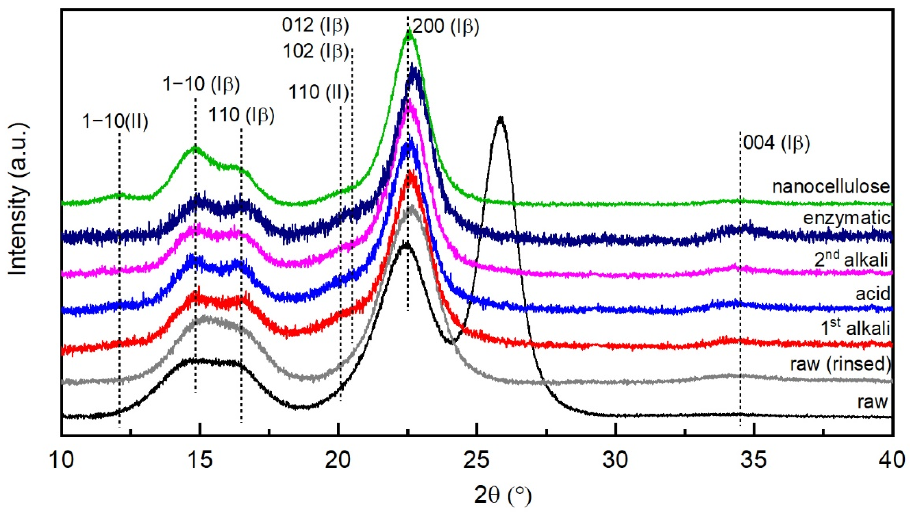
3.4. X-ray Diffraction
3.5. Thermal Analysis
3.6. Compatibility of Nanocellulose with Solvents
3.7. Use of Nanocellulose for the Preparation of Nanopapers and Their Characterization
4. Conclusions
Supplementary Materials
Author Contributions
Funding
Institutional Review Board Statement
Informed Consent Statement
Data Availability Statement
Acknowledgments
Conflicts of Interest
Sample Availability
References
- Amaducci, S.; Gusovius, H.-J. Hemp—Cultivation, extraction and processing. In Industrial Applications of Natural Fibres; John Wiley & Sons, Ltd.: West Sussex, UK, 2010; pp. 109–134. ISBN 978-0-470-66032-4. [Google Scholar]
- Angelini, L.G.; Tavarini, S.; Candilo, M.D. Performance of new and traditional fiber hemp (Cannabis sativa L.) cultivars for novel applications: Stem, bark, and core yield and chemical composition. J. Nat. Fibers 2016, 13, 238–252. [Google Scholar] [CrossRef]
- McPartland, J. Cannabis: The plant, its Evolution, and its genetics—With an emphasis on Italy. Rend. Fis. Acc. Lincei 2020, 31, 939–948. [Google Scholar] [CrossRef]
- Amaducci, S.; Scordia, D.; Liu, F.H.; Zhang, Q.; Guo, H.; Testa, G.; Cosentino, S.L. Key cultivation techniques for hemp in Europe and China. Ind. Crop. Prod. 2015, 68, 2–16. [Google Scholar] [CrossRef]
- Guerriero, G.; Hausman, J.-F.; Strauss, J.; Ertan, H.; Siddiqui, K.S. Lignocellulosic biomass: Biosynthesis, degradation, and industrial utilization. Eng. Life Sci. 2016, 16, 1–16. [Google Scholar] [CrossRef]
- Crônier, D.; Monties, B.; Chabbert, B. Structure and chemical composition of bast fibers isolated from developing hemp stem. J. Agric. Food Chem. 2005, 53, 8279–8289. [Google Scholar] [CrossRef]
- Musio, S.; Müssig, J.; Amaducci, S. Optimizing hemp fiber production for high performance composite applications. Front. Plant Sci. 2018, 9. [Google Scholar] [CrossRef]
- Placet, V. Characterization of the thermo-mechanical behaviour of hemp fibres intended for the manufacturing of high performance composites. Compos. Part A Appl. Sci. Manuf. 2009, 40, 1111–1118. [Google Scholar] [CrossRef]
- Amaducci, S.; Pelatti, F.; Bonatti, P.M. Fibre development in hemp (Cannabis sativa L.) as affected by agrotechnique. J. Ind. Hemp 2005, 10, 31–48. [Google Scholar] [CrossRef]
- Tang, K.; Struik, P.C.; Yin, X.; Thouminot, C.; Bjelková, M.; Stramkale, V.; Amaducci, S. Comparing hemp (Cannabis sativa L.) cultivars for dual-purpose production under contrasting environments. Ind. Crop. Prod. 2016, 87, 33–44. [Google Scholar] [CrossRef]
- Westerhuis, W.; van Delden, S.H.; van Dam, J.E.G.; Pereira Marinho, J.P.; Struik, P.C.; Stomph, T.J. Plant weight determines secondary fibre development in fibre hemp (Cannabis sativa L.). Ind. Crop. Prod. 2019, 139, 111493. [Google Scholar] [CrossRef]
- Zamil, M.S.; Geitmann, A. The middle lamella—More than a glue. Phys. Biol. 2017, 14, 015004. [Google Scholar] [CrossRef]
- Ansell, M.P.; Mwaikambo, L.Y. 2-The structure of cotton and other plant fibres. In Handbook of Textile Fibre Structure; Eichhorn, S.J., Hearle, J.W.S., Jaffe, M., Kikutani, T., Eds.; Woodhead Publishing Series in Textiles; Woodhead Publishing: Cambridge, UK, 2009; Volume 2, pp. 62–94. ISBN 978-1-84569-730-3. [Google Scholar]
- Garside, P.; Wyeth, P. Identification of cellulosic fibres by FTIR spectroscopy: Thread and single fibre analysis by attenuated total reflectance. Stud. Conserv. 2003, 48, 269–275. [Google Scholar] [CrossRef]
- Melelli, A.; Arnould, O.; Beaugrand, J.; Bourmaud, A. The middle lamella of plant fibers used as composite reinforcement: Investigation by atomic force microscopy. Molecules 2020, 25, 632. [Google Scholar] [CrossRef]
- Wang, R.; He, X.; Lin, H.; Liang, R.; Liang, L.; Chen, J.; Liu, C. Solubility difference between pectic fractions from creeping fig seeds. Polymers 2019, 11, 159. [Google Scholar] [CrossRef] [PubMed]
- Garvey, C.J.; Parker, I.H.; Simon, G.P. On the interpretation of X-Ray diffraction powder patterns in terms of the nanostructure of cellulose I fibres. Macromol. Chem. Phys. 2005, 206, 1568–1575. [Google Scholar] [CrossRef]
- Korte, S.; Staiger, M.P. Effect of processing route on the composition and properties of hemp fibre. Fibers Polym. 2008, 9, 593–603. [Google Scholar] [CrossRef]
- Manaia, J.P.; Manaia, A.T.; Rodriges, L. Industrial hemp fibers: An overview. Fibers 2019, 7, 106. [Google Scholar] [CrossRef]
- Marrot, L.; Lefeuvre, A.; Pontoire, B.; Bourmaud, A.; Baley, C. Analysis of the hemp fiber mechanical properties and their scattering (Fedora 17). Ind. Crop. Prod. 2013, 51, 317–327. [Google Scholar] [CrossRef]
- Mondragon, G.; Fernandes, S.; Retegi, A.; Peña, C.; Algar, I.; Eceiza, A.; Arbelaiz, A. A common strategy to extracting cellulose nanoentities from different plants. Ind. Crop. Prod. 2014, 55, 140–148. [Google Scholar] [CrossRef]
- Nechyporchuk, O.; Belgacem, M.N.; Bras, J. Production of cellulose nanofibrils: A review of recent advances. Ind. Crop. Prod. 2016, 93, 2–25. [Google Scholar] [CrossRef]
- Abraham, R.; Wong, C.; Puri, M. Enrichment of cellulosic waste hemp (Cannabis sativa ) hurd into non-toxic microfibres. Materials 2016, 9, 562. [Google Scholar] [CrossRef]
- Dai, D.; Fan, M.; Collins, P. Fabrication of nanocelluloses from hemp fibers and their application for the reinforcement of hemp fibers. Ind. Crop. Prod. 2013, 44, 192–199. [Google Scholar] [CrossRef]
- Luzi, F.; Fortunati, E.; Puglia, D.; Lavorgna, M.; Santulli, C.; Kenny, J.M.; Torre, L. Optimized extraction of cellulose nanocrystals from Pristine and carded hemp fibres. Ind. Crop. Prod. 2014, 56, 175–186. [Google Scholar] [CrossRef]
- Pacaphol, K.; Aht-Ong, D. Preparation of hemp nanofibers from agricultural waste by mechanical defibrillation in water. J. Clean. Prod. 2017, 142, 1283–1295. [Google Scholar] [CrossRef]
- Puangsin, B.; Yang, Q.; Saito, T.; Isogai, A. Comparative characterization of TEMPO-oxidized cellulose nanofibril films prepared from non-wood resources. Int. J. Biol. Macromol. 2013, 59, 208–213. [Google Scholar] [CrossRef]
- Puangsin, B.; Fujisawa, S.; Kuramae, R.; Saito, T.; Isogai, A. TEMPO-mediated oxidation of hemp bast holocellulose to prepare cellulose nanofibrils dispersed in water. J. Polym. Environ. 2013, 21, 555–563. [Google Scholar] [CrossRef]
- Wang, B.; Sain, M.; Oksman, K. Study of structural morphology of hemp fiber from the micro to the nanoscale. Appl. Compos. Mater. 2007, 14, 89. [Google Scholar] [CrossRef]
- Singh, A.K.; Chandra, R. Pollutants released from the pulp paper industry: Aquatic toxicity and their health hazards. Aquat. Toxicol. 2019, 211, 202–216. [Google Scholar] [CrossRef]
- Santos, R.; Hart, P. Kraft ECF pulp bleaching: A review of the development and use of techno economic models to optimize cost, performance, and justify capital expenditures. Tappi. J. 2013, 12, 19. [Google Scholar] [CrossRef]
- Hart, P.W.; Rudie, A.W. A comparative evaluation of explosion hazards in chemical and mechanical pulp bleaching systems. Pulp. Pap. Can. 2010, 111, 19–22. [Google Scholar]
- Campos-Martin, J.M.; Blanco-Brieva, G.; Fierro, J.L.G. Hydrogen peroxide synthesis: An outlook beyond the anthraquinone process. Angew. Chem. Int. Ed. 2006, 45, 6962–6984. [Google Scholar] [CrossRef] [PubMed]
- Šutka, A.; Kukle, S.; Gravitis, J.; Grave, L. Characterization of Cellulose Microfibrils Obtained from Hemp. Available online: https://www.hindawi.com/journals/cpis/2013/171867/ (accessed on 18 December 2018).
- Agate, S.; Tyagi, P.; Naithani, V.; Lucia, L.; Pal, L. Innovating generation of nanocellulose from industrial hemp by dual asymmetric centrifugation. ACS Sustain. Chem. Eng. 2020, 8, 1850–1858. [Google Scholar] [CrossRef]
- Xu, Y.; Salmi, J.; Kloser, E.; Perrin, F.; Grosse, S.; Denault, J.; Lau, P.C.K. Feasibility of nanocrystalline cellulose production by endoglucanase treatment of natural bast fibers. Ind. Crop. Prod. 2013, 51, 381–384. [Google Scholar] [CrossRef]
- Segal, L.; Creely, J.J.; Martin, A.E., Jr.; Conrad, C.M. An empirical method for estimating the degree of crystallinity of native cellulose using the X-Ray diffractometer. Text. Res. J. 1959, 29, 786–794. [Google Scholar] [CrossRef]
- Park, S.; Baker, J.O.; Himmel, M.E.; Parilla, P.A.; Johnson, D.K. Cellulose Crystallinity Index: Measurement Techniques and Their Impact on Interpreting Cellulase Performance. Biotechnol. Biofuels 2010, 3, 10. [Google Scholar] [CrossRef] [PubMed]
- Scherrer, P. Bestimmung der Größe und der inneren Struktur von Kolloidteilchen mittels Röntgenstrahlen. Nachr. Ges. Wiss. Gött. Math. Phys. Kl. 1918, 1918, 98–100. [Google Scholar]
- Cappelletto, P.; Brizzi, M.; Mongardini, F.; Barberi, B.; Sannibale, M.; Nenci, G.; Poli, M.; Corsi, G.; Grassi, G.; Pasini, P. Italy-grown hemp: Yield, composition and cannabinoid content. Ind. Crop. Prod. 2001, 13, 101–113. [Google Scholar] [CrossRef]
- Dalle Vacche, S.; Karunakaran, V.; Patrucco, A.; Zoccola, M.; Douard, L.; Ronchetti, S.M.; Gallo, M.; Bras, J.; Beneventi, D. Research data: Preparation of nanocellulose using non-aligned hemp bast fibers, Version 2. Zenodo 2021. [Google Scholar] [CrossRef]
- Mwaikambo, L.Y.; Ansell, M.P. Mechanical properties of alkali treated plant fibres and their potential as reinforcement materials. I. hemp fibres. J. Mater. Sci. 2006, 41, 2483–2496. [Google Scholar] [CrossRef]
- Tatyana, C.; Polina, M.; Vadim, S.; Marina, A.; Nadezda, I.; Olga, S.; Tatyana, G. Development of hemp fibers: The key components of hemp plastic composites. Nat. Artif. Fiber Reinf. Compos. Renew. Sources 2017. [Google Scholar] [CrossRef]
- Thygesen, L.G. Quantification of dislocations in hemp fibers using acid hydrolysis and fiber segment length distributions. J. Mater. Sci. 2008, 43, 1311–1317. [Google Scholar] [CrossRef]
- Cintrón, M.S.; Hinchliffe, D.J. FT-IR examination of the development of secondary cell wall in cotton fibers. Fibers 2015, 3, 30–40. [Google Scholar] [CrossRef]
- Fackler, K.; Stevanic, J.S.; Ters, T.; Hinterstoisser, B.; Schwanninger, M.; Salmén, L. Localisation and characterisation of incipient brown-rot decay within spruce wood cell walls using FT-IR imaging microscopy. Enzym. Microb. Technol. 2010, 47, 257–267. [Google Scholar] [CrossRef] [PubMed]
- Boukir, A.; Fellak, S.; Doumenq, P. Structural characterization of argania spinosa moroccan wooden artifacts during natural degradation Progress USING infrared spectroscopy (ATR-FTIR) and X-Ray diffraction (XRD). Heliyon 2019, 5, e02477. [Google Scholar] [CrossRef] [PubMed]
- Popescu, C.-M.; Gradinariu, P.; Popescu, M.-C. Structural analysis of lime wood biodegraded by white rot fungi through infrared and two dimensional correlation spectroscopy techniques. J. Mol. Struct. 2016, 1124, 78–84. [Google Scholar] [CrossRef]
- Schwanninger, M.; Rodrigues, J.C.; Pereira, H.; Hinterstoisser, B. Effects of short-time vibratory ball milling on the shape of FT-IR spectra of wood and cellulose. Vib. Spectrosc. 2004, 36, 23–40. [Google Scholar] [CrossRef]
- Boeriu, C.G.; Bravo, D.; Gosselink, R.J.A.; van Dam, J.E.G. Characterisation of structure-dependent functional properties of lignin with infrared spectroscopy. Ind. Crop. Prod. 2004, 20, 205–218. [Google Scholar] [CrossRef]
- Stevulova, N.; Cigasova, J.; Estokova, A.; Terpakova, E.; Geffert, A.; Kacik, F.; Singovszka, E.; Holub, M. Properties characterization of chemically modified hemp hurds. Materials 2014, 7, 8131–8150. [Google Scholar] [CrossRef] [PubMed]
- Lehto, J.; Louhelainen, J.; Kłosińska, T.; Drożdżek, M.; Alén, R. Characterization of alkali-extracted wood by FTIR-ATR spectroscopy. Biomass Conv. Bioref. 2018, 8, 847–855. [Google Scholar] [CrossRef]
- Tejado, A.; Peña, C.; Labidi, J.; Echeverria, J.M.; Mondragon, I. Physico-chemical characterization of lignins from different sources for use in phenol–formaldehyde resin synthesis. Bioresour. Technol. 2007, 98, 1655–1663. [Google Scholar] [CrossRef]
- Jiang, Z.; Yi, J.; Li, J.; He, T.; Hu, C. Promoting effect of sodium chloride on the solubilization and depolymerization of cellulose from raw biomass materials in water. ChemSusChem 2015, 8, 1901–1907. [Google Scholar] [CrossRef]
- French, A.D. Idealized powder diffraction patterns for cellulose polymorphs. Cellulose 2014, 21, 885–896. [Google Scholar] [CrossRef]
- Hult, E.-L.; Iversen, T.; Sugiyama, J. Characterization of the supermolecular structure of cellulose in wood pulp fibres. Cellulose 2003, 10, 103–110. [Google Scholar] [CrossRef]
- O’Sullivan, A.C. Cellulose: The structure slowly unravels. Cellulose 1997, 4, 173–207. [Google Scholar] [CrossRef]
- Fawcett, T.G.; Crowder, C.E.; Kabekkodu, S.N.; Needham, F.; Kaduk, J.A.; Blanton, T.N.; Petkov, V.; Bucher, E.; Shpanchenko, R. Reference materials for the study of polymorphism and crystallinity in cellulosics. Powder Diffr. 2013, 28, 18–31. [Google Scholar] [CrossRef]
- Dinand, E.; Vignon, M.; Chanzy, H.; Heux, L. Mercerization of primary wall cellulose and its implication for the conversion of cellulose I→cellulose II. Cellulose 2002, 9, 7–18. [Google Scholar] [CrossRef]
- Jiao, C.; Xiong, J. Accessibility and morphology of cellulose fibres treated with sodium hydroxide. BioResources 2014, 9, 6504–6513. [Google Scholar] [CrossRef]
- Gjönnes, J.; Norman, N.; Viervoll, H.; Zackrisson, M.; Ernster, L.; Diczfalusy, E. The state of order in cellulose as revealed from X-Ray diffractograms. Acta Chem. Scand. 1958, 12, 489–494. [Google Scholar] [CrossRef]
- Gjønnes, J.; Norman, N.; Møller, J.; Detoni, S. The use of half width and position of the lines in the X-Ray diffractograms of native cellulose to characterize the structural properties of the samples. Acta Chem. Scand. 1958, 12, 2028–2033. [Google Scholar] [CrossRef][Green Version]
- Krässig, H.A. Cellulose Structure, Accessibilty and Reactivity; Polymer Monographs; Gordon and Breach Science Publishers: Amsterdam, The Netherlands, 1993; Volume 11, ISBN 978-2-88124-798-9. [Google Scholar]
- Oriez, V.; Peydecastaing, J.; Pontalier, P.-Y. Lignocellulosic biomass fractionation by mineral acids and resulting extract purification processes: Conditions, yields, and purities. Molecules 2019, 24, 4273. [Google Scholar] [CrossRef]
- Khattab, I.S.; Bandarkar, F.; Fakhree, M.A.A.; Jouyban, A. Density, viscosity, and surface tension of water+ethanol mixtures from 293 to 323K. Korean J. Chem. Eng. 2012, 29, 812–817. [Google Scholar] [CrossRef]
- Noda, K.; Ohashi, M.; Ishida, K. Viscosities and densities at 298.15 K for mixtures of methanol, acetone, and water. J. Chem. Eng. Data 1982, 27, 326–328. [Google Scholar] [CrossRef]
- Meng, Q.; Wang, T.J. Mechanics of strong and tough cellulose nanopaper. Appl. Mech. Rev. 2019, 71, 040801. [Google Scholar] [CrossRef]
- Kumar, V.; Bollström, R.; Yang, A.; Chen, Q.; Chen, G.; Salminen, P.; Bousfield, D.; Toivakka, M. Comparison of nano-and microfibrillated cellulose films. Cellulose 2014, 21, 3443–3456. [Google Scholar] [CrossRef]
- Dalle Vacche, S.; Karunakaran, V.; Ronchetti, S.M.; Vitale, A.; Bongiovanni, R. Nanocellulose from unbleached hemp fibers as a filler for biobased photocured composites with epoxidized cardanol. J. Compos. Sci. 2021, 5, 11. [Google Scholar] [CrossRef]













| Wavenumber (cm−1) | Vibration |
|---|---|
| 3700–3000 | O–H stretching of hydroxyl groups in polysaccharides (cellulose and hemicellulose) [45] |
| 3330 | Valence vibration of hydrogen bonded O–H [46] |
| 3280 | O6-H6⋯O3 intermolecular hydrogen bond in cellulose Iβ [47,48,49] |
| 2917, 2849 | C–H stretching of aliphatic methylene groups of fatty acids [21,50] |
| 2895 | C–H symmetrical stretching of hydrocarbon constituents in polysaccharides [51] |
| 1734 | C=O unconjugated stretching of acetyl groups in hemicelluloses [23] |
| 1636 | O–H bending/deformation in water bound to cellulose [23] |
| 1595, 1505 | Skeletal vibrations in phenolic ring in lignin [46,47] |
| 1462 | δCH2 asymmetric bending in cellulose I, δCH3 asymmetric bending in lignin and hemicelluloses [47] |
| 1424, 1420 | δCH2 symmetric bending in crystalline cellulose I (strong), in amorphous cellulose (weak) [47,51] |
| 1370 | δC–H and δsCH3 in cellulose and hemicelluloses [47] |
| 1337 | O–H in plane bending in amorphous cellulose [51] |
| 1320 | CH2 wagging in crystalline [47,51] |
| 1261 | C–O stretching, guaiacyl rings in lignin [46,52,53] |
| 1246 | stretching vibration of C=O in xylan [54] |
| 1230 | C–O stretching of syringyl rings in lignin [52] |
| 1104 | C–O vibrations from cellulose secondary alcohols [45] |
| 1051 | C–O stretching in hemicellulose, lignin and cellulose secondary alcohols [23] |
| 1034 | C–O–C skeletal vibration of polysaccharides ring [47] |
| 1027 | C–C, C–OH, C–H ring and side group vibrations in hemicellulose, pectin and cellulose primary alcohols [51] |
| 1002 | C–O vibrations from cellulose primary alcohols [45] |
| 985 | C–O bending of cellulose alcohols involved in hydrogen bonds [45] |
| 897 | Glycosidic bonds symmetric ring-stretching mode of amorphous regions in cellulose [51] |
| Fiber Sample | 200 (±0.05°) | CI (%) | Crystallite Size (Å) | |
|---|---|---|---|---|
| 2θmax | β | |||
| Raw hemp | 22.41 | 2.18 | 74 | 39 |
| First Alkali | 22.71 | 1.62 | 79 | 55 |
| Acid | 22.57 | 1.60 | 80 | 55 |
| Second Alkali | 22.58 | 1.47 | 82 | 60 |
| Enzymatic | 22.66 | 1.45 | 80 | 61 |
| Nanocellulose | 22.58 | 1.45 | 80 | 61 |
Publisher’s Note: MDPI stays neutral with regard to jurisdictional claims in published maps and institutional affiliations. |
© 2021 by the authors. Licensee MDPI, Basel, Switzerland. This article is an open access article distributed under the terms and conditions of the Creative Commons Attribution (CC BY) license (https://creativecommons.org/licenses/by/4.0/).
Share and Cite
Dalle Vacche, S.; Karunakaran, V.; Patrucco, A.; Zoccola, M.; Douard, L.; Ronchetti, S.; Gallo, M.; Schreier, A.; Leterrier, Y.; Bras, J.; et al. Valorization of Byproducts of Hemp Multipurpose Crop: Short Non-Aligned Bast Fibers as a Source of Nanocellulose. Molecules 2021, 26, 4723. https://doi.org/10.3390/molecules26164723
Dalle Vacche S, Karunakaran V, Patrucco A, Zoccola M, Douard L, Ronchetti S, Gallo M, Schreier A, Leterrier Y, Bras J, et al. Valorization of Byproducts of Hemp Multipurpose Crop: Short Non-Aligned Bast Fibers as a Source of Nanocellulose. Molecules. 2021; 26(16):4723. https://doi.org/10.3390/molecules26164723
Chicago/Turabian StyleDalle Vacche, Sara, Vijayaletchumy Karunakaran, Alessia Patrucco, Marina Zoccola, Loreleï Douard, Silvia Ronchetti, Marta Gallo, Aigoul Schreier, Yves Leterrier, Julien Bras, and et al. 2021. "Valorization of Byproducts of Hemp Multipurpose Crop: Short Non-Aligned Bast Fibers as a Source of Nanocellulose" Molecules 26, no. 16: 4723. https://doi.org/10.3390/molecules26164723
APA StyleDalle Vacche, S., Karunakaran, V., Patrucco, A., Zoccola, M., Douard, L., Ronchetti, S., Gallo, M., Schreier, A., Leterrier, Y., Bras, J., Beneventi, D., & Bongiovanni, R. (2021). Valorization of Byproducts of Hemp Multipurpose Crop: Short Non-Aligned Bast Fibers as a Source of Nanocellulose. Molecules, 26(16), 4723. https://doi.org/10.3390/molecules26164723

