Bioactive Phytochemical Constituents of Wild Edible Mushrooms from Southeast Asia
Abstract
1. Introduction
2. Wild Edible Mushroom Species in Southeast Asia
3. Antioxidant Activity
4. Antimicrobial Activity
5. Bioactive Phytochemical Constituents of Wild Edible Mushrooms from Southeast Asian Countries
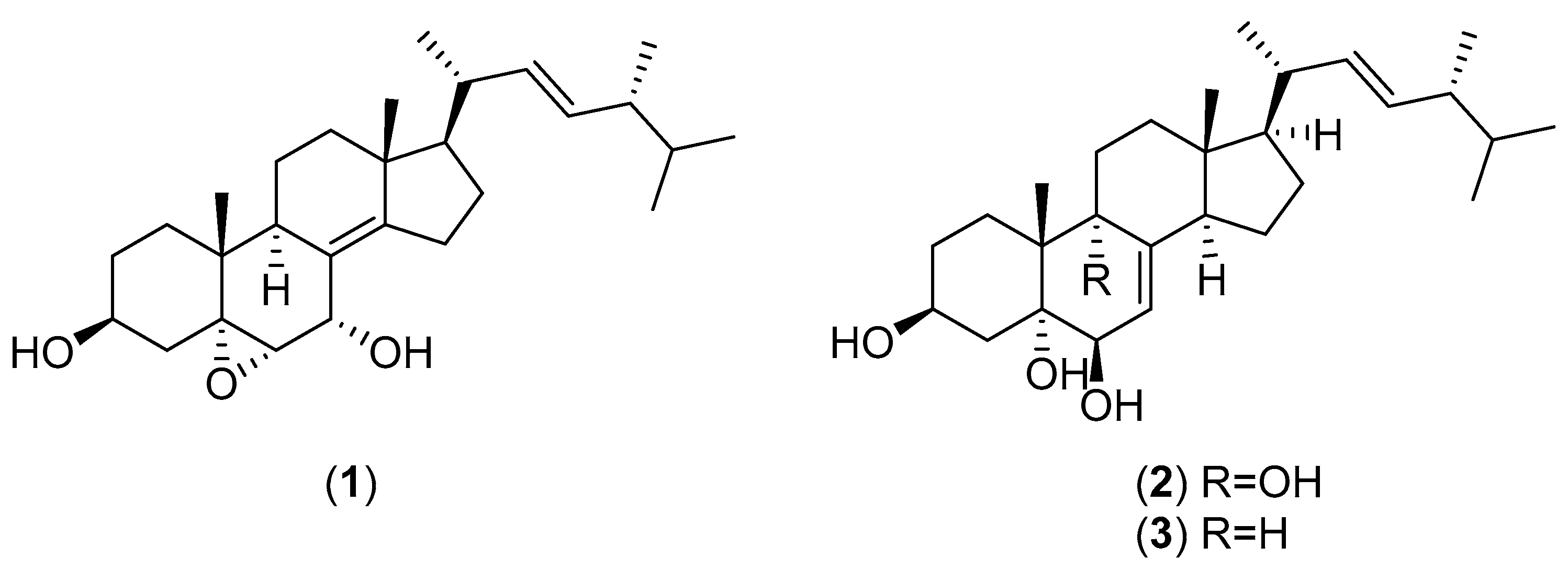
5.1. Agaricus silvaticus Schaeff.
5.2. Ampulloclitocybe clavipes (Pers.) Redhead, Lutzoni, Moncalvo and Vilgalys
5.3. Butyriboletus roseoflavus (M. Zang and H.B. Li) D. Arora and J.L. Frank
5.4. Cantharellus cibarius Fr.
5.5. Craterellus cornucopioides (L.Fr.) Pers
5.6. Craterellus odoratus (Schwein.) Fr.
5.7. Fistulina hepatica (Schaeff.)
5.8. Hydnum repandum L.
5.9. Laccaria amethystea (Bull.) Murrill
5.10. Lactarius hatsudake Nobuj. Tanaka
5.11. Lepista sordida (Schumach.) Singer
5.12. Lycoperdon pyriforme Schaeff.
5.13. Neolentinus lepideus (Fr.) Redhead and Ginns
5.14. Phlebopus portentosus (Berk. & Broome) Boedijn
5.15. Polyozellus multiplex (Underw.) Murrill
5.16. Ramaria botrytis (Pers.) Bourdot
5.17. Rugiboletus extremiorientalis (Lj.N. Vassiljeva) G. Wu and Zhu L. Yang
5.18. Russula virescens (Schaeff.) Fr.
5.19. Sarcodon imbricatus (L.) P. Karst
5.20. Termitomyces albuminosus (Berk.) R. Heim
5.21. Termitomyces eurhizus (Berk.) R. Heim
5.22. Termitomyces heimii Natarajan
5.23. Termitomyces microcarpus (Berk. and Broome) R. Heim
5.24. Thelephora ganbajun M. Zang
5.25. Volvariella Bombycina (Schaeff.) Singer
6. Conclusions
Author Contributions
Funding
Acknowledgments
Conflicts of Interest
References
- Hawksworth, D.L. The magnitude of fungal diversity: The 1.5 million species estimate revisited. Mycol. Res. 2001, 105, 1422–1432. [Google Scholar] [CrossRef]
- Hawksworth, D.L.; Lücking, R. Fungal diversity revisited: 2.2 to 3.8 million species. Microbiol. Spectr. 2017, 5, FUNK-0052-2016. [Google Scholar] [CrossRef] [PubMed]
- He, M.-Q.; Zhao, R.-L.; Hyde, K.D.; Begerow, D.; Kemler, M.; Yurkov, A.; McKenzie, E.H.C.; Raspé, O.; Kakishima, M.; Sánchez-Ramírez, S.; et al. Notes, outline and divergence times of Basidiomycota. Fungal Divers. 2019, 99, 105–367. [Google Scholar] [CrossRef]
- Boa, E. Wild Edible Fungi: A Global Overview of Their Use and Importance to People; Food and Agriculture Organization: Rome, Italy, 2004. [Google Scholar]
- Kalač, P. Chemical composition and nutritional value of European species of wild growing mushrooms: A review. Food Chem. 2009, 113, 9–16. [Google Scholar] [CrossRef]
- Srikram, A.; Supapvanich, S. Proximate compositions and bioactive compounds of edible wild and cultivated mushrooms from Northeast Thailand. Agric. Nat. Resour. 2016, 50, 432–436. [Google Scholar] [CrossRef]
- Díez, V.A.; Alvarez, A. Compositional and nutritional studies on two wild edible mushrooms from Northwest Spain. Food Chem. 2001, 75, 417–422. [Google Scholar] [CrossRef]
- Günç Ergönül, P.; Akata, I.; Kalyoncu, F.; Ergönül, B. Fatty acid compositions of six wild edible mushroom species. Sci. World J. 2013, 2013, 163964. [Google Scholar] [CrossRef]
- Sarikurkcu, C.; Copur, M.; Yildiz, D.; Akata, I. Metal concentration of wild edible mushrooms in Soguksu National Park in Turkey. Food Chem. 2011, 128, 731–734. [Google Scholar] [CrossRef]
- Surinrut, P.; Julshamn, K.; Rein Njaa, L. Protein, amino acids and some major and trace elements in Thai and Norwegian mushrooms. Plant. Food Hum. Nutr. 1987, 37, 117–125. [Google Scholar] [CrossRef]
- Xu, X.; Yan, H.; Chen, J.; Zhang, X. Bioactive proteins from mushrooms. Biotechnol. Adv. 2011, 29, 667–674. [Google Scholar] [CrossRef]
- Zhou, R.; Liu, Z.K.; Zhang, Y.N.; Wong, J.H.; Ng, T.B.; Liu, F. Research progress of bioactive proteins from the edible and medicinal mushrooms. Curr. Protein Pept. Sci. 2019, 20, 196–219. [Google Scholar] [CrossRef] [PubMed]
- Wang, X.M.; Zhang, J.; Wu, L.H.; Zhao, Y.L.; Li, T.; Li, J.Q.; Wang, Y.Z.; Liu, H.G. A mini-review of chemical composition and nutritional value of edible wild-grown mushroom from China. Food Chem. 2014, 151, 279–285. [Google Scholar] [CrossRef] [PubMed]
- Falandysz, J. Mercury accumulation of three Lactarius mushroom species. Food Chem. 2017, 214, 96–101. [Google Scholar] [CrossRef]
- Mironczuk-Chodakowska, I.; Socha, K.; Zujko, M.E.; Terlikowska, K.M.; Borawska, M.H.; Witkowska, A.M. Copper, manganese, selenium and zinc in wild-growing edible mushrooms from the Eastern territory of “green lungs of Poland”: Nutritional and toxicological implications. Int. J. Environ. Res. Public Health. 2019, 16, 3614. [Google Scholar] [CrossRef] [PubMed]
- Rashid, M.H.; Rahman, M.M.; Correll, R.; Naidu, R. Arsenic and other elemental concentrations in mushrooms from Bangladesh: Health risks. Int. J. Environ. Res. Public Health. 2018, 15, 919. [Google Scholar] [CrossRef] [PubMed]
- Fang, Y.-Z.; Yang, S.; Wu, G. Free radicals, antioxidants, and nutrition. Nutrition 2002, 18, 872–879. [Google Scholar] [CrossRef]
- Kozarski, M.; Klaus, A.; Jakovljevic, D.; Todorovic, N.; Vunduk, J.; Petrović, P.; Niksic, M.; Vrvic, M.M.; van Griensven, L. Antioxidants of edible mushrooms. Molecules 2015, 20, 19489–19525. [Google Scholar] [CrossRef]
- Elkhateeb, W.A.; Daba, G.M.; Thomas, P.W.; Wen, T.-C. Medicinal mushrooms as a new source of natural therapeutic bioactive compounds. Egypt. Pharm. J. 2019, 18, 88–101. [Google Scholar] [CrossRef]
- Hsieh, H.-M.; Ju, Y.-M. Medicinal components in Termitomyces mushrooms. Appl. Microbiol. Biotechnol. 2018, 102, 4987–4994. [Google Scholar] [CrossRef]
- Friedman, M. Mushroom polysaccharides: Chemistry and antiobesity, antidiabetes, anticancer, and antibiotic properties in cells, rodents, and humans. Foods 2016, 5, 80. [Google Scholar] [CrossRef]
- Alves, M.J.; Ferreira, I.C.; Martins, A.; Pintado, M. Antimicrobial activity of wild mushroom extracts against clinical isolates resistant to different antibiotics. J. Appl. Microbiol. 2012, 113, 466–475. [Google Scholar] [CrossRef] [PubMed]
- Gebreyohannes, G.; Nyerere, A.; Bii, C.; Berhe Sbhatu, D. Determination of antimicrobial activity of extracts of indigenous wild mushrooms against pathogenic organisms. Evid. Based Complementary Altern. Med. 2019, 2019, 1–7. [Google Scholar] [CrossRef] [PubMed]
- Ramesh, C.; Pattar, M.G. Antimicrobial properties, antioxidant activity and bioactive compounds from six wild edible mushrooms of Western Ghats of Karnataka, India. Pharmacogn. Res. 2010, 2, 107–112. [Google Scholar] [CrossRef]
- Venturini, M.; Rivera, C.; Gonzalez, C.; Blanco, D. Antimicrobial activity of extracts of edible wild and cultivated mushrooms against foodborne bacterial strains. J. Food Prot. 2008, 71, 1701–1706. [Google Scholar] [CrossRef] [PubMed]
- Barros, L.; Venturini, B.A.; Baptista, P.; Estevinho, L.M.; Ferreira, I.C.F.R. Chemical composition and biological properties of Portuguese wild mushrooms: A comprehensive study. J. Agric. Food Chem. 2008, 56, 3856–3862. [Google Scholar] [CrossRef]
- Goh, D.P.S. Southeast Asia. In The Wiley Blackwell Encyclopedia of Urban and Regional Studies; Orum, A.M., Ed.; John Wiley and Sons: Hoboken, NJ, USA, 2019; pp. 1–10. [Google Scholar]
- Gasparatos, A.; Subramanian, S.M.; Elliott, W.; Braimoh, A.K. Unraveling the Drivers of Southeast Asia’s Biodiversity Loss. Available online: https://ourworld.unu.edu/en/unraveling-the-drivers-of-southeast-asia%e2%80%99s-biodiversity-loss (accessed on 10 December 2019).
- WWF. New Species Discoveries in the Greater Mekong. Available online: https://wwf.panda.org/?222513/New-species-discoveries-in-the-Greater-Mekong (accessed on 10 December 2019).
- Hyde, K.D.; Norphanphoun, C.; Chen, J.; Dissanayake, A.J.; Doilom, M.; Hongsanan, S.; Jayawardena, R.S.; Jeewon, R.; Perera, R.H.; Thongbai, B.; et al. Thailand’s amazing diversity: Up to 96% of fungi in northern Thailand may be novel. Fungal Divers. 2018, 93, 215–239. [Google Scholar] [CrossRef]
- Valko, M.; Izakovic, M.; Mazur, M.; Rhodes, C.J.; Telser, J. Role of oxygen radicals in DNA damage and cancer incidence. Mol. Cell. Biochem. 2004, 266, 37–56. [Google Scholar] [CrossRef]
- Valko, M.; Rhodes, C.J.; Moncol, J.; Izakovic, M.; Mazur, M. Free radicals, metals and antioxidants in oxidative stress-induced cancer. Chem. Biol. Interact. 2006, 160, 1–40. [Google Scholar] [CrossRef]
- Winterbourn, C.C. Superoxide as an intracellular radical sink. Free Radic. Biol. Med. 1993, 14, 85–90. [Google Scholar] [CrossRef]
- Diplock, A.T.; Charleux, J.L.; Crozier-Willi, G.; Kok, F.J.; Rice-Evans, C.; Roberfroid, M.; Stahl, W.; Viña-Ribes, J. Functional food science and defence against reactive oxidative species. Br. J. Nutr. 1998, 80 (Suppl. 1), S77–S112. [Google Scholar] [CrossRef]
- Valko, M.; Leibfritz, D.; Moncol, J.; Cronin, M.T.D.; Mazur, M.; Telser, J. Free radicals and antioxidants in normal physiological functions and human disease. Int. J. Biochem. Cell Biol. 2007, 39, 44–84. [Google Scholar] [CrossRef] [PubMed]
- Simic, M.G. Mechanisms of inhibition of free-radical processes in mutagenesis and carcinogenesis. Mutat. Res. 1988, 202, 377–386. [Google Scholar] [CrossRef]
- Bouayed, J.; Bohn, T. Exogenous antioxidants—double-edged swords in cellular redox state: Health beneficial effects at physiologic doses versus deleterious effects at high doses. Oxid. Med. Cell. Longev. 2010, 3, 228–237. [Google Scholar] [CrossRef] [PubMed]
- Shahidi, F. Antioxidants in food and food antioxidants. Nahrung 2000, 44, 158–163. [Google Scholar] [CrossRef]
- Kim, M.-Y.; Seguin, P.; Ahn, J.-K.; Kim, J.-J.; Chun, S.-C.; Kim, E.-H.; Seo, S.-H.; Kang, E.-Y.; Kim, S.-L.; Park, Y.-J.; et al. Phenolic compound concentration and antioxidant activities of edible and medicinal mushrooms from Korea. J. Agric. Food Chem. 2008, 56, 7265–7270. [Google Scholar] [CrossRef]
- Kumari, D.; Reddy, M.S.; Upadhyay, R.C. Nutritional composition and antioxidant activities of 18 different wild Cantharellus mushrooms of Northwestern Himalayas. Food Sci. Technol. Int. 2011, 17, 557–567. [Google Scholar] [CrossRef]
- Puttaraju, N.G.; Venkateshaiah, S.U.; Dharmesh, S.M.; Urs, S.M.N.; Somasundaram, R. Antioxidant activity of indigenous edible mushrooms. J. Agric. Food Chem. 2006, 54, 9764–9772. [Google Scholar] [CrossRef]
- Woodford, N.; Livermore, D.M. Infections caused by gram-positive bacteria: A review of the global challenge. J. Infect. 2009, 59 (Suppl. 1), S4–S16. [Google Scholar] [CrossRef]
- Prestinaci, F.; Pezzotti, P.; Pantosti, A. Antimicrobial resistance: A global multifaceted phenomenon. Pathog. Glob. Health 2015, 109, 309–318. [Google Scholar] [CrossRef]
- Vacca, P.; Fazio, C.; Neri, A.; Ambrosio, L.; Palmieri, A.; Stefanelli, P. Neisseria meningitidis antimicrobial resistance in Italy, 2006 to 2016. Antimicrob. Agents Chemother. 2018, 62, e00207–e00218. [Google Scholar] [CrossRef]
- Watkins, R.R.; Holubar, M.; David, M.Z. Antimicrobial resistance in methicillin-resistant Staphylococcus aureus to newer antimicrobial agents. Antimicrob. Agents Chemother. 2019, 63, e01216–e01219. [Google Scholar] [CrossRef] [PubMed]
- O’Donnell, F.; Smyth, T.J.P.; Ramachandran, V.N.; Smyth, W.F. A study of the antimicrobial activity of selected synthetic and naturally occurring quinolines. Int. J. Antimicrob. Agents. 2010, 35, 30–38. [Google Scholar] [CrossRef]
- Smyth, T.; Ramachandran, V.N.; Smyth, W.F. A study of the antimicrobial activity of selected naturally occurring and synthetic coumarins. Int. J. Antimicrob. Agents. 2009, 33, 421–426. [Google Scholar] [CrossRef] [PubMed]
- Barbieri, R.; Coppo, E.; Marchese, A.; Daglia, M.; Sobarzo-Sánchez, E.; Nabavi, S.F.; Nabavi, S.M. Phytochemicals for human disease: An update on plant-derived compounds antibacterial activity. Microbiol. Res. 2017, 196, 44–68. [Google Scholar] [CrossRef] [PubMed]
- Khameneh, B.; Iranshahy, M.; Soheili, V.; Fazly Bazzaz, B.S. Review on plant antimicrobials: A mechanistic viewpoint. Antimicrob. Resist. Infect. Control. 2019, 8, 118. [Google Scholar] [CrossRef]
- Tambekar, D.H.; Sonar, T.P.; Khodke, M.V.; Khante, B.S. The novel antibacterials from two edible mushrooms: Agaricus bisporus and Pleurotus sajor caju. Int. J. Pharmacol. 2006, 2, 584–587. [Google Scholar]
- Alves, M.J.; Ferreira, I.C.F.R.; Dias, J.; Teixeira, V.; Martins, A.; Pintado, M. A review on antimicrobial activity of mushroom (Basidiomycetes) extracts and isolated compounds. Planta Med. 2012, 78, 1707–1718. [Google Scholar] [CrossRef]
- Hatab, S.; Athanasio, R.; Holley, R.; Rodas-Gonzalez, A.; Narvaez-Bravo, C. Survival and reduction of shiga toxin-producing Escherichia coli in a fresh cold-pressed juice treated with antimicrobial plant extracts. J. Food Sci. 2016, 81, M1987–M1995. [Google Scholar] [CrossRef]
- Bondi, M.; Lauková, A.; de Niederhausern, S.; Messi, P.; Papadopoulou, C. Natural preservatives to improve food quality and safety. J. Food Qual. 2017, 2017. [Google Scholar] [CrossRef]
- Olatunde, O.O.; Benjakul, S. Natural preservatives for extending the shelf-life of seafood: A revisit. Compr. Rev. Food Sci. Food Saf. 2018, 17, 1595–1612. [Google Scholar] [CrossRef]
- Shen, H.S.; Shao, S.; Chen, J.C.; Zhou, T. Antimicrobials from mushrooms for assuring food safety. Compr. Rev. Food Sci. Food Saf. 2017, 16, 316–329. [Google Scholar] [CrossRef]
- Burt, S. Essential oils: Their antibacterial properties and potential applications in foods—A review. Int. J. Food Microbiol. 2004, 94, 223–253. [Google Scholar] [CrossRef]
- Lodonjav, M.; Luo, G.; Zhou, M.; Duger, R.; Zhang, G.; Luo, Y. Chemical components from an edible mushroom Agaricus silvaticus. Chin. J. Appl. Environ. Biol. 2014, 20, 629–632. [Google Scholar] [CrossRef]
- Chandrasrikul, A.; Suwanarit, P.; Sangwanit, U.; Lumyong, S.; Payapanon, A.; Sanoamuang, N.; Pukahuta, C.; Petcharat, V.; Sardsud, U.; Duengkae, K.; et al. Checklist of Mushrooms (Basidiomycetes) in Thailand; Office of Natural Resources and Environmental Policy and Planning: Bangkok, Thailand, 2011. [Google Scholar]
- Boonyanuphap, J.; Hansawasdi, C. Spatial distribution of beta glucan containing wild mushroom communities in subtropical dry forest, Thailand. Fungal Divers. 2011, 46, 29–42. [Google Scholar] [CrossRef]
- Chilton, W.S.; Chien, P.H. N-nitroamines of Agaricus silvaticus. Phytochemistry 1975, 14, 2291–2292. [Google Scholar] [CrossRef]
- Alston, T.A.; Porter, D.J.; Seitz, S.P.; Bright, H.J. Oxidation of N-nitroethylenediamine, a GABA analog from Agaricus silvaticus, by GABA aminotransferase. Biochem. Biophys. Res. Commun. 1981, 103, 1077–1082. [Google Scholar] [CrossRef]
- Nilsson, L.; Noori, G.; Bergman, R.; Kesler, E.; Sterner, O. A novel synthesis of β-aminoalkylnitroamines. rac-β-nitroaminoalanine and N-nitroethylenediamine, two reported metabolites from Agaricus silvaticus. Acta Chem. Scand. 1983, 37, 929–933. [Google Scholar] [CrossRef]
- Garrab, M.; Edziri, H.; El Mokni, R.; Mastouri, M.; Mabrouk, H.; Douki, W. Phenolic composition, antioxidant and anticholinesterase properties of the three mushrooms Agaricus silvaticus Schaeff., Hydnum rufescens Pers. and Meripilus giganteus (Pers.) Karst. in Tunisia. S. Afr. J. Bot. 2019, 124, 359–363. [Google Scholar] [CrossRef]
- Gąsecka, M.; Magdziak, Z.; Siwulski, M.; Mleczek, M. Profile of phenolic and organic acids, antioxidant properties and ergosterol content in cultivated and wild growing species of Agaricus. Eur. Food Res. Technol. 2018, 244, 259–268. [Google Scholar] [CrossRef]
- Kawagishi, H.; Miyazawa, T.; Kume, H.; Arimoto, Y.; Inakuma, T. Aldehyde dehydrogenase inhibitors from the mushroom Clitocybe clavipes. J. Nat. Prod. 2002, 65, 1712–1714. [Google Scholar] [CrossRef]
- Arnone, A.; Cardillo, R.; Meille, S.V.; Nasini, G.; Tolazzi, M. Secondary mould metabolites. Part 47. Isolation and structure elucidation of clavilactones A–C new metabolites from the fungus Clitocybe clavipes. J. Chem. Soc. Perkin Trans. 1 1994, 2165–2168. [Google Scholar] [CrossRef]
- Merlini, L.; Nasini, G.; Scaglioni, L.; Cassinelli, G.; Lanzi, C. Structure elucidation of clavilactone D: An inhibitor of protein tyrosine kinases. Phytochemistry 2000, 53, 1039–1041. [Google Scholar] [CrossRef]
- Takao, K.-i.; Mori, K.; Kasuga, K.; Nanamiya, R.; Namba, A.; Fukushima, Y.; Nemoto, R.; Mogi, T.; Yasui, H.; Ogura, A.; et al. Total synthesis of clavilactones. J. Org. Chem. 2018, 83, 7060–7075. [Google Scholar] [CrossRef] [PubMed]
- Cassinelli, G.; Lanzi, C.; Pensa, T.; Gambetta, R.A.; Nasini, G.; Cuccuru, G.; Cassinis, M.; Pratesi, G.; Polizzi, D.; Tortoreto, M.; et al. Clavilactones, a novel class of tyrosine kinase inhibitors of fungal origin. Biochem. Pharmacol. 2000, 59, 1539–1547. [Google Scholar] [CrossRef]
- Sun, Z.; Zhu, N.; Zhou, M.; Huo, X.; Wu, H.; Tian, Y.; Yang, J.; Ma, G.; Yang, Y.-L.; Xu, X. Clavipines A–C, antiproliferative meroterpenoids with a fused azepine skeleton from the basidiomycete Clitocybe clavipes. Org. Chem. Front. 2019, 6, 3759–3765. [Google Scholar] [CrossRef]
- Sun, Z.; Xu, X.; Liang, H.; Xia, X.; Ma, G.; Shi, L. Five new meroterpenoids from the fruiting bodies of the basidiomycete Clitocybe clavipes with cytotoxic activity. Molecules 2019, 24, 4015. [Google Scholar] [CrossRef]
- Ding, X.; Hou, Y.-L.; Hou, W.-R. Structure elucidation and antioxidant activity of a novel polysaccharide isolated from Boletus speciosus Forst. Int. J. Biol. Macromol. 2012, 50, 613–618. [Google Scholar] [CrossRef]
- Su, S.; Wang, M.; Ding, X.; Hou, Y.; Tang, J.; Liu, L.; Dong, M.; Jing, L. Protein chip of Boletus speciosus Frost polysaccharide revealed the molecular mechanism of antitumor and immunostimulatory activities on macrophages. Indian, J. Pharm. Sci. 2018, 80, 1029–1038. [Google Scholar] [CrossRef]
- Hou, Y.; Ding, X.; Hou, W.; Song, B.; Wang, T.; Wang, F.; Li, J.; Zeng, Y.; Zhong, J.; Xu, T.; et al. Pharmacological evaluation for anticancer and immune activities of a novel polysaccharide isolated from Boletus speciosus Frost. Mol. Med. Rep. 2014, 9, 1337–1344. [Google Scholar] [CrossRef]
- Zhu, H.; Ding, X.; Hou, Y.; Li, Y.; Wang, M. Structure elucidation and bioactivities of a new polysaccharide from Xiaojin Boletus speciosus Frost. Int. J. Biol. Macromol. 2019, 126, 697–716. [Google Scholar] [CrossRef]
- Sun, J.; Ng, T.-B.; Wang, H.; Zhang, G. A novel hemagglutinin with antiproliferative activity against tumor cells from the hallucinogenic mushroom Boletus speciosus Biomed. Res. Int. 2014, 2014, 7. [Google Scholar] [CrossRef]
- Eyssartier, G.; Stubbe, D.; Walleyn, R.; Verbeken, A. New records of Cantharellus species (Basidiomycota, Cantharellaceae) from Malaysian dipterocarp rainforest. Fungal Divers. 2009, 36, 57–67. [Google Scholar]
- Jones, E.B.G.; Whalley, A.J.S.; Hywel-Jones, N.L. A fungus foray to Chiang Mai market in Northern Thailand. Mycologist 1994, 8, 87–90. [Google Scholar] [CrossRef]
- Olariaga, I.; Moreno, G.; Manjón, J.L.; Salcedo, I.; Hofstetter, V.; Rodríguez, D.; Buyck, B. Cantharellus (Cantharellales, Basidiomycota) revisited in Europe through a multigene phylogeny. Fungal Divers. 2017, 83, 263–292. [Google Scholar] [CrossRef]
- Meng, Y.; Qu, Y.; Wu, W.; Chen, L.; Sun, L.; Tai, G.; Zhou, Y.; Cheng, H. Galactan isolated from Cantharellus cibarius modulates antitumor immune response by converting tumor-associated macrophages toward M1-like phenotype. Carbohydr. Polym. 2019, 226, 115295. [Google Scholar] [CrossRef]
- Yang, G.; Qu, Y.; Meng, Y.; Wang, Y.; Song, C.; Cheng, H.; Li, X.; Sun, L.; Zhou, Y. A novel linear 3-O-methylated galactan isolated from Cantharellus cibarius activates macrophages. Carbohydr. Polym. 2019, 214, 34–43. [Google Scholar] [CrossRef]
- Nowacka-Jechalke, N.; Nowak, R.; Juda, M.; Malm, A.; Lemieszek, M.; Rzeski, W.; Kaczyński, Z. New biological activity of the polysaccharide fraction from Cantharellus cibarius and its structural characterization. Food Chem. 2018, 268, 355–361. [Google Scholar] [CrossRef]
- Villares, A.; García-Lafuente, A.; Guillamón, E.; Mateo-Vivaracho, L. Separation and characterization of the structural features of macromolecular carbohydrates from wild edible mushrooms. Bioact. Carbohydr. Diet. Fibre. 2013, 2, 15–21. [Google Scholar] [CrossRef]
- Nyman, A.A.T.; Aachmann, F.L.; Rise, F.; Ballance, S.; Samuelsen, A.B.C. Structural characterization of a branched (1→6)-α-mannan and β-glucans isolated from the fruiting bodies of Cantharellus cibarius. Carbohydr. Polym. 2016, 146, 197–207. [Google Scholar] [CrossRef]
- Lemieszek, M.K.; Nunes, F.M.; Cardoso, C.; Marques, G.; Rzeski, W. Neuroprotective properties of Cantharellus cibarius polysaccharide fractions in different in vitro models of neurodegeneration. Carbohydr. Polym. 2018, 197, 598–607. [Google Scholar] [CrossRef]
- Zhao, D.; Ding, X.; Hou, Y.; Hou, W.; Liu, L.; Xu, T.; Yang, D. Structural characterization, immune regulation and antioxidant activity of a new heteropolysaccharide from Cantharellus cibarius Fr. Int. J. Mol. Med. 2018, 41, 2744–2754. [Google Scholar] [CrossRef] [PubMed]
- Mittermeier, V.K.; Dunkel, A.; Hofmann, T. Discovery of taste modulating octadecadien-12-ynoic acids in golden chanterelles (Cantharellus cibarius). Food Chem. 2018, 269, 53–62. [Google Scholar] [CrossRef] [PubMed]
- Pang, Z.; Sterner, O. Cibaric acid, a new fatty acid derivative formed enzymically in damaged fruit bodies of Cantharellus cibarius (chanterelle). J. Org. Chem. 1991, 56, 1233–1235. [Google Scholar] [CrossRef]
- Hong, S.S.; Lee, J.H.; Jeong, W.; Kim, N.; Jin, H.Z.; Hwang, B.Y.; Lee, H.-J.; Lee, S.-J.; Jang, D.S.; Lee, D. Acetylenic acid analogues from the edible mushroom chanterelle (Cantharellus cibarius) and their effects on the gene expression of peroxisome proliferator-activated receptor-gamma target genes. Bioorg. Med. Chem. Lett. 2012, 22, 2347–2349. [Google Scholar] [CrossRef] [PubMed]
- Rangel-Castro, J.I.; Staffas, A.; Danell, E. The ergocalciferol content of dried pigmented and albino Cantharellus cibarius fruit bodies. Mycol. Res. 2002, 106, 70–73. [Google Scholar] [CrossRef]
- Palacios, I.; Lozano, M.; Moro, C.; D’Arrigo, M.; Rostagno, M.A.; Martínez, J.A.; García-Lafuente, A.; Guillamón, E.; Villares, A. Antioxidant properties of phenolic compounds occurring in edible mushrooms. Food Chem. 2011, 128, 674–678. [Google Scholar] [CrossRef]
- Ozen, T.; Darcan, C.; Aktop, O.; Turkekul, I. Screening of antioxidant, antimicrobial activities and chemical contents of edible mushrooms wildly grown in the Black Sea region of Turkey. Comb. Chem. High. Throughput Screen. 2011, 14, 72–84. [Google Scholar] [CrossRef]
- Vasdekis, E.P.; Karkabounas, A.; Giannakopoulos, I.; Savvas, D.; Lekka, M.E. Screening of mushrooms bioactivity: Piceatannol was identified as a bioactive ingredient in the order Cantharellales. Eur. Food Res. Technol. 2018, 244, 861–871. [Google Scholar] [CrossRef]
- Guo, M.-Z.; Meng, M.; Duan, S.-Q.; Feng, C.-C.; Wang, C.-L. Structure characterization, physicochemical property and immunomodulatory activity on RAW264.7 cells of a novel triple-helix polysaccharide from Craterellus cornucopioides. Int. J. Biol. Macromol. 2019, 126, 796–804. [Google Scholar] [CrossRef]
- Hall, I.R.; Stephenson, S.L.; Buchanan, P.K.; Yun, W.; Cole, A.L.J. Edible and Poisonous Mushrooms of the World; Timber Press: Portland, OR, USA, 2003. [Google Scholar]
- Guo, M.-Z.; Meng, M.; Feng, C.-C.; Wang, X.; Wang, C.-L. A novel polysaccharide obtained from Craterellus cornucopioides enhances immunomodulatory activity in immunosuppressive mice models via regulation of the TLR4-NF-κB pathway. Food Funct. 2019, 10, 4792–4801. [Google Scholar] [CrossRef]
- Yang, W.-W.; Wang, L.-M.; Gong, L.-L.; Lu, Y.-M.; Pan, W.-J.; Wang, Y.; Zhang, W.-N.; Chen, Y. Structural characterization and antioxidant activities of a novel polysaccharide fraction from the fruiting bodies of Craterellus cornucopioides. Int. J. Biol. Macromol. 2018, 117, 473–482. [Google Scholar] [CrossRef] [PubMed]
- Guo, H.; Diao, Q.-P.; Hou, D.-Y.; Li, Z.-H.; Zhou, Z.-Y.; Feng, T.; Liu, J.-K. Sesquiterpenoids from cultures of the edible mushroom Craterellus cornucopioides. Phytochem. Lett. 2017, 21, 114–117. [Google Scholar] [CrossRef]
- Guo, H.; Diao, Q.-P.; Zhang, B.; Feng, T. Two new illudane sesquiterpenoids and one new menthane monoterpene from cultures of Craterellus cornucopioides. J. Asian Nat. Prod. Res. 2019, 21, 123–128. [Google Scholar] [CrossRef] [PubMed]
- Liu, R.; Zhou, Z.-Y.; Liu, J.-K. Three new keto esters from cultures of the Basidiomycete Craterellus cornucopioides. Chin. J. Nat. Med. 2010, 8, 88–90. [Google Scholar] [CrossRef]
- Magnus, V.; Laćan, G.; Iskrić, S.; Lewer, P.; Aplin, R.T.; Thaller, V. Conversion of indole-3-ethanol to fatty acid esters in Craterellus cornucopioides. Phytochemistry 1989, 28, 2949–2954. [Google Scholar] [CrossRef]
- Magnus, V.; Laćan, G.; Aplin, R.T.; Thaller, V. Glycerol tridehydrocrepenynate from the Basidiomycete Craterellus cornucopioides. Phytochemistry 1989, 28, 3047–3050. [Google Scholar] [CrossRef]
- Villares, A.; Mateo-Vivaracho, L.; García-Lafuente, A.; Guillamón, E. Storage temperature and UV-irradiation influence on the ergosterol content in edible mushrooms. Food Chem. 2014, 147, 252–256. [Google Scholar] [CrossRef]
- Watanabe, F.; Schwarz, J.; Takenaka, S.; Miyamoto, E.; Ohishi, N.; Nelle, E.; Hochstrasser, R.; Yabuta, Y. Characterization of vitamin B₁₂compounds in the wild edible mushrooms black trumpet (Craterellus cornucopioides) and golden chanterelle (Cantharellus cibarius). J. Nutr. Sci. Vitaminol. 2012, 58, 438–441. [Google Scholar] [CrossRef]
- Kosanić, M.; Ranković, B.; Stanojković, T.; Radović-Jakovljević, M.; Ćirić, A.; Grujičić, D.; Milošević-Djordjević, O. Craterellus cornucopioides edible mushroom as source of biologically active compounds. Nat. Product Commun. 2019, 14, 1934578–19843610. [Google Scholar] [CrossRef]
- Liu, Y.-T.; Sun, J.; Luo, Z.-Y.; Rao, S.-Q.; Su, Y.-J.; Xu, R.-R.; Yang, Y.-J. Chemical composition of five wild edible mushrooms collected from Southwest China and their antihyperglycemic and antioxidant activity. Food Chem. Toxicol. 2012, 50, 1238–1244. [Google Scholar] [CrossRef]
- O’Callaghan, Y.C.; O’Brien, N.M.; Kenny, O.; Harrington, T.; Brunton, N.; Smyth, T.J. Anti-inflammatory effects of wild Irish mushroom extracts in RAW264.7 mouse macrophage cells. J. Med. Food 2015, 18, 202–207. [Google Scholar] [CrossRef] [PubMed]
- Vamanu, E.; Nita, S. Biological activity of fluidized bed ethanol extracts from several edible mushrooms. Food Sci. Biotechnol. 2014, 23, 1483–1490. [Google Scholar] [CrossRef]
- Guo, H.; Feng, T.; Li, Z.-H.; Liu, J.-K. Four new compounds from the Basidiomycete Craterellus odoratus. J. Asian Nat. Prod. Res. 2012, 14, 950–955. [Google Scholar] [CrossRef] [PubMed]
- Sanmee, R.; Dell, B.; Lumyong, P.; Izumori, K.; Lumyong, S. Nutritive value of popular wild edible mushrooms from Northern Thailand. Food Chem. 2003, 82, 527–532. [Google Scholar] [CrossRef]
- Zhang, L.; Shen, Y.; Wang, F.; Leng, Y.; Liu, J.-K. Rare merosesquiterpenoids from Basidiomycete Craterellus odoratus and their inhibition of 11β-hydroxysteroid dehydrogenases. Phytochemistry 2010, 71, 100–103. [Google Scholar] [CrossRef]
- Guo, H.; Feng, T.; Li, Z.-H.; Liu, J.-K. Five new polyketides from the Basidiomycete Craterellus odoratus. Nat. Prod. Bioprospect. 2012, 2, 170–173. [Google Scholar] [CrossRef]
- Zhang, L.; Yao, J.-N.; Bai, X.; Li, Z.-H.; Dong, Z.-J.; Liu, J.-K. Two new 4,6-dimethyl-3,4-dihydrochromen-2-one derivatives from Craterellus odoratus. J. Asian Nat. Prod. Res. 2017, 19, 241–246. [Google Scholar] [CrossRef]
- Zhao, Z.-Z.; Zhao, K.; Chen, H.-P.; Bai, X.; Zhang, L.; Liu, J.-K. Terpenoids from the mushroom-associated fungus Montagnula donacina. Phytochemistry 2018, 147, 21–29. [Google Scholar] [CrossRef]
- Heleno, S.A.; Barros, L.; Sousa, M.J.; Martins, A.; Ferreira, I.C.F.R. Tocopherols composition of Portuguese wild mushrooms with antioxidant capacity. Food Chem. 2010, 119, 1443–1450. [Google Scholar] [CrossRef]
- Liktor-Busa, E.; Kovács, B.; Urbán, E.; Hohmann, J.; Ványolós, A. Investigation of Hungarian mushrooms for antibacterial activity and synergistic effects with standard antibiotics against resistant bacterial strains. Lett. Appl. Microbiol. 2016, 62, 437–443. [Google Scholar] [CrossRef]
- Tsuge, N.; Mori, T.; Hamano, T.; Tanaka, H.; Shin-ya, K.; Seto, H. Cinnatriacetins A and B, new antibacterial triacetylene derivatives from the fruiting bodies of Fistulina hepatica. J. Antibiot. 1999, 52, 578–581. [Google Scholar] [CrossRef][Green Version]
- Ribeiro, B.; Valentão, P.; Baptista, P.; Seabra, R.M.; Andrade, P.B. Phenolic compounds, organic acids profiles and antioxidative properties of beefsteak fungus (Fistulina hepatica). Food Chem. Toxicol. 2007, 45, 1805–1813. [Google Scholar] [CrossRef]
- Froufe, H.J.C.; Abreu, R.M.V.; Ferreira, I.C.F.R. QCAR models to predict wild mushrooms radical scavenging activity, reducing power and lipid peroxidation inhibition. Chemom. Intell. Lab. Syst. 2011, 109, 192–196. [Google Scholar] [CrossRef]
- Ribeiro, B.; Andrade, P.B.; Silva, B.M.; Baptista, P.; Seabra, R.M.; Valentão, P. Comparative study on free amino acid composition of wild edible mushroom species. J. Agric. Food Chem. 2008, 56, 10973–10979. [Google Scholar] [CrossRef] [PubMed]
- Ribeiro, B.; Guedes de Pinho, P.; Andrade, P.B.; Baptista, P.; Valentão, P. Fatty acid composition of wild edible mushrooms species: A comparative study. Microchem. J. 2009, 93, 29–35. [Google Scholar] [CrossRef]
- Wu, S.; Krings, U.; Zorn, H.; Berger, R.G. Volatile compounds from the fruiting bodies of beefsteak fungus Fistulina hepatica (Schaeffer: Fr.) Fr. Food Chem. 2005, 92, 221–226. [Google Scholar] [CrossRef]
- de Pinho, P.G.; Ribeiro, B.; Gonçalves, R.F.; Baptista, P.; Valentão, P.; Seabra, R.M.; Andrade, P.B. Correlation between the pattern volatiles and the overall aroma of wild edible mushrooms. J. Agric. Food Chem. 2008, 56, 1704–1712. [Google Scholar] [CrossRef]
- Wu, S.; Zorn, H.; Krings, U.; Berger, R.G. Volatiles from submerged and surface-cultured beefsteak fungus, Fistulina hepatica. Flavour Fragr. J. 2007, 22, 53–60. [Google Scholar] [CrossRef]
- Alves, M.J.; Ferreira, I.C.F.R.; Lourenço, I.; Castro, A.; Pereira, L.; Martins, A.; Pintado, M. Wild mushroom extracts potentiate the action of standard antibiotics against multiresistant bacteria. J. Appl. Microbiol. 2014, 116, 32–38. [Google Scholar] [CrossRef]
- Alves, M.J.; Fernandes, Â.; Barreira, J.C.M.; Lourenço, I.; Fernandes, D.; Moura, A.; Ribeiro, A.R.; Salgado, J.; Antonio, A.; Ferreira, I.C.F.R. How gamma-rays and electron-beam irradiation would affect the antimicrobial activity of differently processed wild mushroom extracts? J. Appl. Microbiol. 2015, 118, 592–598. [Google Scholar] [CrossRef]
- Fernandes, Â.; Barreira, J.C.M.; Antonio, A.L.; Santos, P.M.P.; Martins, A.; Oliveira, M.B.P.P.; Ferreira, I.C.F.R. Study of chemical changes and antioxidant activity variation induced by gamma-irradiation on wild mushrooms: Comparative study through principal component analysis. Food Res. Int. 2013, 54, 18–25. [Google Scholar] [CrossRef]
- Kavishree, S.; Hemavathy, J.; Lokesh, B.R.; Shashirekha, M.N.; Rajarathnam, S. Fat and fatty acids of Indian edible mushrooms. Food Chem. 2008, 106, 597–602. [Google Scholar] [CrossRef]
- Takahashi, A.; Endo, T.; Nozoe, S. Repandiol, a new cytotoxic diepoxide from the mushrooms Hydnum repandum and H. repandum var. album. Chem. Pharm. Bull. 1992, 40, 3181–3184. [Google Scholar] [CrossRef] [PubMed][Green Version]
- Wang, X.N.; Du, J.C.; Tan, R.X.; Liu, J.K. Chemical constituents of Basidiomycete Hydnum repandum. Chin. Tradit. Herbal Drugs 2005, 36, 1126–1130. [Google Scholar]
- Florianowicz, T. Inhibition of growth and sporulation of Penicillium expansum by extracts of selected basidiomycetes. Acta Soc. Bot. Pol. 2000, 69, 263–267. [Google Scholar] [CrossRef]
- Yamaç, M.; Bilgili, F. Antimicrobial activities of fruit bodies and/or mycelial cultures of some mushroom isolates. Pharm. Biol. 2006, 44, 660–667. [Google Scholar] [CrossRef]
- Murcia, M.A.; Martínez-Tomé, M.; Jiménez, A.M.; Vera, A.M.; Honrubia, M.; Parras, P. Antioxidant activity of edible fungi (truffles and mushrooms): Losses during industrial processing. J. Food Prot. 2002, 65, 1614–1622. [Google Scholar] [CrossRef]
- Berg, A.; Reiber, K.; Dörfelt, H.; Walther, G.; Schlegel, B.; Gräfe, U. Laccaridiones A and B, new protease inhibitors from Laccaria amethystea. J. Antibiot. 2000, 53, 1313–1316. [Google Scholar] [CrossRef]
- Liu, R.; Zhou, Z.-Y.; Jiang, M.-Y.; Wang, F.; Liu, J.-K. A new isoprenyl phenyl ether riboside from the culture of Basidiomycete Laccaria amethystea. J. Asian Nat. Prod. Res. 2010, 12, 723–726. [Google Scholar] [CrossRef]
- He, L.; Liang, G.; Guoying, Z.; Jun-ang, L. Analysis of genetic diversity of Lactarius hatsudake in South China. Can. J. Microbiol. 2011, 57, 661–666. [Google Scholar] [CrossRef]
- Clericuzio, M.; Gilardoni, G.; Malagòn, O.; Vidari, G.; Finzi, P.V. Sesquiterpenes of Lactarius and Russula (mushrooms): An update. Nat. Prod. Commun. 2008, 3, 951–974. [Google Scholar] [CrossRef]
- Miyazawa, M.; Kawauchi, Y.; Matsuda, N. Character impact odorants from wild mushroom (Lactarius hatsudake) used in Japanese traditional food. Flavour Fragr. J. 2010, 25, 197–201. [Google Scholar] [CrossRef]
- Gao, J.-M.; Wang, M.; Liu, L.-P.; Wei, G.-H.; Zhang, A.-L.; Draghici, C.; Konishi, Y. Ergosterol peroxides as phospholipase A2 inhibitors from the fungus Lactarius hatsudake. Phytomedicine 2007, 14, 821–824. [Google Scholar] [CrossRef] [PubMed]
- Zhang, A.-L.; Liu, L.-P.; Wang, M.; Gao, J.-M. Bioactive ergosterol derivatives isolated from the fungus Lactarius hatsudake. Chem. Nat. Compd. 2007, 43, 637–638. [Google Scholar] [CrossRef]
- Fang, L.Z.; Shao, H.J.; Yang, W.Q.; Liu, J.K. Two new azulene pigments from the fruiting bodies of the Basidiomycete Lactarius hatsudake. Helv. Chim. Acta 2006, 89, 1463–1466. [Google Scholar] [CrossRef]
- Xu, G.-H.; Kim, J.W.; Ryoo, I.-J.; Choo, S.-J.; Kim, Y.-H.; Seok, S.-J.; Ahn, J.-S.; Yoo, I.-D. Lactariolines A and B: New guaiane sesquiterpenes with a modulatory effect on interferon-γ production from the fruiting bodies of Lactarius hatsudake. J. Antibiot. 2010, 63, 335–337. [Google Scholar] [CrossRef]
- Kang, H.-S.; Ji, S.-A.; Park, S.-H.; Kim, J.-P. Lepistatins A-C, chlorinated sesquiterpenes from the cultured Basidiomycete Lepista sordida. Phytochemistry 2017, 143, 111–114. [Google Scholar] [CrossRef]
- Thongbai, B.; Wittstein, K.; Richter, C.; Miller, S.L.; Hyde, K.D.; Thongklang, N.; Klomklung, N.; Chukeatirote, E.; Stadler, M. Successful cultivation of a valuable wild strain of Lepista sordida from Thailand. Mycol. Prog. 2017, 16, 311–323. [Google Scholar] [CrossRef]
- Luo, Q.; Sun, Q.; Wu, L.; Yang, Z. Structural characterization of an immunoregulatory polysaccharide from the fruiting bodies of Lepista sordida. Carbohydr. Polym. 2012, 88, 820–824. [Google Scholar] [CrossRef]
- Miao, S.; Mao, X.; Pei, R.; Miao, S.; Xiang, C.; Lv, Y.; Yang, X.; Sun, J.; Jia, S.; Liu, Y. Antitumor activity of polysaccharides from Lepista sordida against laryngocarcinoma in vitro and in vivo. Int. J. Biol. Macromol. 2013, 60, 235–240. [Google Scholar] [CrossRef]
- Miao, S.; Mao, X.; Pei, R.; Miao, S.; Xiang, C.; Lv, Y.; Yang, X.; Sun, J.; Jia, S.; Liu, Y. Lepista sordida polysaccharide induces apoptosis of Hep-2 cancer cells via mitochondrial pathway. Int. J. Biol. Macromol. 2013, 61, 97–101. [Google Scholar] [CrossRef] [PubMed]
- Zhong, W.; Liu, N.; Xie, Y.; Zhao, Y.; Song, X.; Zhong, W. Antioxidant and anti-aging activities of mycelial polysaccharides from Lepista sordida. Int. J. Biol. Macromol. 2013, 60, 355–359. [Google Scholar] [CrossRef] [PubMed]
- Mazur, X.; Becker, U.; Anke, T.; Sterner, O. Two new bioactive diterpenes from Lepista sordida. Phytochemistry 1996, 43, 405–407. [Google Scholar] [CrossRef]
- Chen, X.-L.; Wu, M.; Ti, H.-H.; Wei, X.-Y.; Li, T.-H. Three new 3,6-dioxygenated diketopiperazines from the Basidiomycete Lepista sordida. Helv. Chim. Acta 2011, 94, 1426–1430. [Google Scholar] [CrossRef]
- Choi, J.-H.; Abe, N.; Tanaka, H.; Fushimi, K.; Nishina, Y.; Morita, A.; Kiriiwa, Y.; Motohashi, R.; Hashizume, D.; Koshino, H.; et al. Plant-growth regulator, imidazole-4-carboxamide, produced by the fairy ring forming fungus Lepista sordida. J. Agric. Food Chem. 2010, 58, 9956–9959. [Google Scholar] [CrossRef]
- Choi, J.-H.; Fushimi, K.; Abe, N.; Tanaka, H.; Maeda, S.; Morita, A.; Hara, M.; Motohashi, R.; Matsunaga, J.; Eguchi, Y.; et al. Disclosure of the “fairy” of fairy-ring-forming fungus Lepista sordida. ChemBioChem 2010, 11, 1373–1377. [Google Scholar] [CrossRef]
- Choi, J.-H.; Wu, J.; Sawada, A.; Takeda, S.; Takemura, H.; Yogosawa, K.; Hirai, H.; Kondo, M.; Sugimoto, K.; Asakawa, T.; et al. N-glucosides of fairy chemicals, 2-azahypoxanthine and 2-aza-8-oxohypoxanthine, in rice. Org. Lett. 2018, 20, 312–314. [Google Scholar] [CrossRef]
- Ma, G.; Zhang, L.; Yamawaki, K.; Yahata, M.; Choi, J.-H.; Kawagishi, H.; Kato, M. Fairy chemicals, 2-azahypoxanthine and 2-aza-8-oxohypoxanthine, regulate carotenoid accumulation in citrus juice sacs in vitro. J. Agric. Food Chem. 2015, 63, 7230–7235. [Google Scholar] [CrossRef]
- Ito, A.; Choi, J.-H.; Wu, J.; Tanaka, H.; Hirai, H.; Kawagishi, H. Plant growth inhibitors from the culture broth of fairy ring-forming fungus Lepista sordida. Mycoscience 2017, 58, 387–390. [Google Scholar] [CrossRef]
- Nedelcheva, D.; Antonova, D.; Tsvetkova, S.; Marekov, I.; Momchilova, S.; Nikolova-Damyanova, B.; Gyosheva, M. TLC and GC-MS probes into the fatty acid composition of some Lycoperdaceae mushrooms. J. Liq. Chromatogr. Relat. Technol. 2007, 30, 2717–2727. [Google Scholar] [CrossRef]
- Akatin, M.Y. Characterization of a β-glucosidase from an edible mushroom, Lycoperdon pyriforme. Int. J. Food Prop. 2013, 16, 1565–1577. [Google Scholar] [CrossRef]
- KÖpcke, B.; Mayer, A.; Anke, H.; Sterner, O. Bioactive azo- and azoxyformamides from Lycoperdon pyriforme (Schaeff. Ex Pers.). Nat. Prod. Lett. 1999, 13, 41–46. [Google Scholar] [CrossRef]
- Dyakov, M.Y.; Kamzolkina, O.V.; Shtaer, O.V.; Bis’ko, N.A.; Poedinok, N.L.; Mikhailova, O.B.; Tikhonova, O.V.; Tolstikhina, T.E.; Vasil’eva, B.F.; Efremenkova, O.V. Morphological characteristics of natural strains of certain species of Basidiomycetes and biological analysis of antimicrobial activity under submerged cultural conditions. Microbiology 2011, 80, 274. [Google Scholar] [CrossRef]
- Klančnik, A.; Megušar, P.; Sterniša, M.; Jeršek, B.; Bucar, F.; Smole Možina, S.; Kos, J.; Sabotič, J. Aqueous extracts of wild mushrooms show antimicrobial and antiadhesion activities against bacteria and fungi. Phytother. Res. 2017, 31, 1971–1976. [Google Scholar] [CrossRef]
- Prasad, R.; Varshney, V.K.; Harsh, N.S.K.; Kumar, M. Antioxidant capacity and total phenolics content of the fruiting bodies and submerged cultured mycelia of sixteen higher basidiomycetes mushrooms from India. Int. J. Med. Mushrooms. 2015, 17, 933–941. [Google Scholar] [CrossRef]
- Hosoe, T.; Sakai, H.; Ichikawa, M.; Itabashi, T.; Ishizaki, T.; Kawai, K.-I. Lepidepyrone, a new gamma-pyrone derivative, from Neolentinus lepideus, inhibits hyaluronidase. J. Antibiot. 2007, 60, 388–390. [Google Scholar] [CrossRef][Green Version]
- Yoon, K.N.; Lee, J.S.; Kim, H.Y.; Lee, K.R.; Shin, P.G.; Cheong, J.C.; Yoo, Y.B.; Alam, N.; Ha, T.M.; Lee, T.S. Appraisal of antihyperlipidemic activities of Lentinus lepideus in hypercholesterolemic rats. Mycobiology 2011, 39, 283–289. [Google Scholar] [CrossRef]
- Hanssen, H.-P. Sesquiterpene hydrocarbons from Lentinus lepideus. Phytochemistry 1982, 21, 1159–1160. [Google Scholar] [CrossRef]
- Hanssen, H.-P. Sesquiterpene alcohols from Lentinus lepideus. Phytochemistry 1985, 24, 1293–1294. [Google Scholar] [CrossRef]
- Li, Y.; Bao, L.; Song, B.; Han, J.; Li, H.; Zhao, F.; Liu, H. A new benzoquinone and a new benzofuran from the edible mushroom Neolentinus lepideus and their inhibitory activity in NO production inhibition assay. Food Chem. 2013, 141, 1614–1618. [Google Scholar] [CrossRef]
- Ishihara, A.; Ide, Y.; Bito, T.; Ube, N.; Endo, N.; Sotome, K.; Maekawa, N.; Ueno, K.; Nakagiri, A. Novel tyrosinase inhibitors from liquid culture of Neolentinus lepideus. Biosci. Biotechnol. Biochem. 2018, 82, 22–30. [Google Scholar] [CrossRef] [PubMed]
- Yoon, K.N.; Alam, N.; Lee, K.R.; Shin, P.G.; Cheong, J.C.; Yoo, Y.B.; Lee, T.S. Antioxidant and antityrosinase activities of various extracts from the fruiting bodies of Lentinus lepideus. Molecules 2011, 16, 2334–2347. [Google Scholar] [CrossRef] [PubMed]
- Jung, Y.-S.; Yang, B.-K.; Jeong, Y.-T.; Islam, R.; Kim, S.-M.; Song, C.-H. Immunomodulating activities of water-soluble exopolysaccharides obtained from submerged culture of Lentinus lepideus. J. Microbiol. Biotechnol. 2008, 18, 1431–1438. Available online: https://www.ncbi.nlm.nih.gov/pubmed/18756105 (accessed on 23 April 2020). [PubMed]
- Doskocil, I.; Havlik, J.; Verlotta, R.; Tauchen, J.; Vesela, L.; Macakova, K.; Opletal, L.; Kokoska, L.; Rada, V. In vitro immunomodulatory activity, cytotoxicity and chemistry of some central European polypores. Pharm. Biol. 2016, 54, 2369–2376. [Google Scholar] [CrossRef] [PubMed]
- Yang, R.-H.; Bao, D.-P.; Guo, T.; Li, Y.; Ji, G.-Y.; Ji, K.-P.; Tan, Q. Bacterial profiling and dynamic succession analysis of Phlebopus portentosus casing soil using MiSeq sequencing. Front. Microbiol. 2019, 10, 1927. [Google Scholar] [CrossRef]
- Kumla, J.; Danell, E.; Lumyong, S. Improvement of yield for a tropical black bolete, Phlebopus portentosus, cultivation in Northern Thailand. Mycoscience 2015, 56, 114–117. [Google Scholar] [CrossRef]
- Kaewnarin, K.; Suwannarach, N.; Kumla, J.; Lumyong, S. Phenolic profile of various wild edible mushroom extracts from Thailand and their antioxidant properties, anti-tyrosinase and hyperglycaemic inhibitory activities. J. Funct. Foods. 2016, 27, 352–364. [Google Scholar] [CrossRef]
- Sun, Z.; Hu, M.; Sun, Z.; Zhu, N.; Yang, J.; Ma, G.; Xu, X. Pyrrole alkaloids from the edible mushroom Phlebopus portentosus with their bioactive activities. Molecules 2018, 23, 1198. [Google Scholar] [CrossRef]
- Chon, S.-H.; Yang, E.-J.; Lee, T.; Song, K.-S. β-secretase (BACE1) inhibitory and neuroprotective effects of p-terphenyls from Polyozellus multiplex. Food Funct. 2016, 7, 3834–3842. [Google Scholar] [CrossRef]
- Hwang, J.S.; Song, K.S.; Kim, W.G.; Lee, T.H.; Koshino, H.; Yoo, I.D. Polyozellin, a new inhibitor of prolyl endopeptidase from Polyozellus multiplex. J. Antibiot. 1997, 50, 773–777. [Google Scholar] [CrossRef]
- Takahashi, S.; Kawano, T.; Nakajima, N.; Suda, Y.; Usukhbayar, N.; Kimura, K.-i.; Koshino, H. Synthesis of polyozellin, a prolyl oligopeptidase inhibitor, and its structural revision. Bioorg. Med. Chem. Lett. 2018, 28, 930–933. [Google Scholar] [CrossRef] [PubMed]
- Kwak, J.-Y.; Rhee, I.-K.; Lee, K.-B.; Hwang, J.-S.; Yoo, I.-D.; Song, K.-S. Thelephoric acid and kynapcin-9 in mushroom Polyozellus multiflex inhibit prolyl endopeptidase in vitro. J. Microbiol. Biotechnol. 1999, 9, 798–803. [Google Scholar]
- Lee, H.J.; Rhee, I.K.; Lee, K.B.; Yoo, I.D.; Song, K.S. Kynapcin-12, a new p-terphenyl derivative from Polyozellus multiplex, inhibits prolyl endopeptidase. J. Antibiot. 2000, 53, 714–719. [Google Scholar] [CrossRef] [PubMed]
- Takahashi, S.; Yoshida, A.; Uesugi, S.; Hongo, Y.; Kimura, K.-i.; Matsuoka, K.; Koshino, H. Structural revision of kynapcin-12 by total synthesis, and inhibitory activities against prolyl oligopeptidase and cancer cells. Bioorg. Med. Chem. Lett. 2014, 24, 3373–3376. [Google Scholar] [CrossRef] [PubMed]
- Nagasawa, I.; Kaneko, A.; Suzuki, T.; Nishio, K.; Kinoshita, K.; Shiro, M.; Koyama, K. Potential anti-angiogenesis effects of p-terphenyl compounds from Polyozellus multiplex. J. Nat. Prod. 2014, 77, 963–968. [Google Scholar] [CrossRef] [PubMed]
- Kim, S.-I.; Park, I.-H.; Song, K.-S. Kynapcin-13 and-28, new benzofuran prolyl endopeptidase inhibitors from Polyozellus multiplex. J. Antibiot. 2002, 55, 623–628. [Google Scholar] [CrossRef][Green Version]
- Song, K.-S.; Raskin, I. A prolyl endopeptidase-inhibiting benzofuran dimer from Polyozellus multiflex. J. Nat. Prod. 2002, 65, 76–78. [Google Scholar] [CrossRef]
- Hwang, J.S.; Song, K.-S.; Kim, Y.-S.; Seok, S.-J.; Lee, T.-H.; Yoo, I.D. Lipid peroxidation inhibitors from Polyozellus multiplex. Korean J. Microbiol. Biotechnol. 1996, 24, 591–596. [Google Scholar]
- Lee, I.-S.; Nishikawa, A. Polyozellus multiplex, a Korean wild mushroom, as a potent chemopreventive agent against stomach cancer. Life Sci. 2003, 73, 3225–3234. [Google Scholar] [CrossRef]
- Lee, D.; Boo, K.H.; Lee, J.-M.; Unno, T.; Lee, W.S.; Cho, M.; Riu, K.Z.; Lee, D.-S. Anti-viral activity of blue chanterelle (Polyozellus multiplex) that inhibits α-glucosidase. Food Sci. Biotechnol. 2013, 22, 747–750. [Google Scholar] [CrossRef]
- Yang, E.-J.; Song, K.-S. Polyozellin, a key constituent of the edible mushroom Polyozellus multiplex, attenuates glutamate-induced mouse hippocampal neuronal HT22 cell death. Food Funct. 2015, 6, 3678–3686. [Google Scholar] [CrossRef] [PubMed]
- Kim, J.H.; Lee, J.S.; Song, K.-S.; Kwon, C.-S.; Kim, Y.K.; Kim, J.-S. Polyozellin isolated from Polyozellus multiplex induces phase 2 enzymes in mouse hepatoma cells and differentiation in human myeloid leukaemic cell lines. J. Agric. Food Chem. 2004, 52, 451–455. [Google Scholar] [CrossRef] [PubMed]
- Jeong, N.-H.; Lee, S.; Choi, J.K.; Choi, Y.-A.; Kim, M.-J.; Lee, H.-S.; Shin, T.-Y.; Jang, Y.H.; Song, K.-S.; Kim, S.-H. Polyozellin alleviates atopic dermatitis-like inflammatory and pruritic responses in activated keratinocytes and mast cells. Biomed. Pharmacother. 2020, 122, 109743. [Google Scholar] [CrossRef] [PubMed]
- Jin, X.Y.; Lee, S.H.; Kim, J.Y.; Zhao, Y.-Z.; Park, E.-J.; Lee, B.-S.; Nan, J.-X.; Song, K.-S.; Ko, G.; Sohn, D.H. Polyozellin inhibits nitric oxide production by down-regulating LPS-induced activity of NF-κB and SAPK/JNK in RAW 264.7 cells. Planta Med. 2006, 72, 857–859. [Google Scholar] [CrossRef]
- Jung, B.; Yang, E.-J.; Bae, J.-S. Suppressive effects of polyozellin on TGFBIp-mediated septic responses in human endothelial cells and mice. Nutr. Res. 2016, 36, 380–389. [Google Scholar] [CrossRef]
- Ku, S.-K.; Yang, E.-J.; Kang, H.; Jung, B.; Bae, J.-S. Inhibitory effect of polyozellin on secretory group IIA phospholipase A2. Arch. Pharm. Res. 2016, 39, 271–278. [Google Scholar] [CrossRef]
- Lee, S.H.; Song, K.-S.; Sohn, D.H.; Seo, G.S. Polyozellin blocks tumor necrosis factor α-induced interleukin 8 and matrix metalloproteinase 7 production in the human intestinal epithelial cell line HT-29. Arch. Pharm. Res. 2011, 34, 91–97. [Google Scholar] [CrossRef]
- Lee, W.; Yang, E.-J.; Park, D.H.; Bae, J.-S. Suppressive effects of polyozellin on endothelial protein C receptor shedding via inhibiting TACE activity and MAP kinases. Fitoterapia 2016, 108, 26–32. [Google Scholar] [CrossRef]
- Yang, E.-J.; Ku, S.-K.; Lee, W.; Song, K.-S.; Bae, J.-S. Inhibitory effects of polyozellin from Polyozellus multiplex on HMGB1-mediated septic responses. Inflamm. Res. 2015, 64, 733–746. [Google Scholar] [CrossRef]
- Zhou, R.; Han, Y.-J.; Zhang, M.-H.; Zhang, K.-R.; Ng, T.B.; Liu, F. Purification and characterization of a novel ubiquitin-like antitumour protein with hemagglutinating and deoxyribonuclease activities from the edible mushroom Ramaria botrytis. AMB Expr. 2017, 7, 47. [Google Scholar] [CrossRef]
- Bhanja, S.K.; Rout, D.; Patra, P.; Sen, I.K.; Nandan, C.K.; Islam, S.S. Water-insoluble glucans from the edible fungus Ramaria botrytis. Bioact. Carbohydr. Diet. Fibre. 2014, 3, 52–58. [Google Scholar] [CrossRef]
- Bhanja, S.K.; Rout, D.; Patra, P.; Nandan, C.K.; Behera, B.; Maiti, T.K.; Islam, S.S. Structural studies of an immunoenhancing glucan of an ectomycorrhizal fungus Ramaria botrytis. Carbohydr. Res. 2013, 374, 59–66. [Google Scholar] [CrossRef] [PubMed]
- Li, H. Extraction, purification, characterization and antioxidant activities of polysaccharides from Ramaria botrytis (Pers.) Ricken. Chem. Cent. J. 2017, 11, 24. [Google Scholar] [CrossRef] [PubMed]
- Yaoita, Y.; Satoh, Y.; Kikuchi, M. A new ceramide from Ramaria botrytis (Pers.) Ricken. J. Nat. Med. 2007, 61, 205–207. [Google Scholar] [CrossRef]
- Vamanu, E. Bioactive capacity of some Romanian wild edible mushrooms consumed mainly by local communities. Nat. Prod. Res. 2018, 32, 440–443. [Google Scholar] [CrossRef] [PubMed]
- Li, N.; Ng, T.B.; Wong, J.H.; Qiao, J.X.; Zhang, Y.N.; Zhou, R.; Chen, R.R.; Liu, F. Separation and purification of the antioxidant compounds, caffeic acid phenethyl ester and caffeic acid from mushrooms by molecularly imprinted polymer. Food Chem. 2013, 139, 1161–1167. [Google Scholar] [CrossRef]
- Luo, Y.; Huang, Y.; Yuan, X.; Zhang, L.; Zhang, X.; Gao, P. Evaluation of fatty acid composition and antioxidant activity of wild-growing mushrooms from Southwest China. Int. J. Med. Mushrooms 2017, 19, 937–947. [Google Scholar] [CrossRef]
- Barros, L.; Dueñas, M.; Ferreira, I.C.F.R.; Baptista, P.; Santos-Buelga, C. Phenolic acids determination by HPLC–DAD–ESI/MS in sixteen different Portuguese wild mushrooms species. Food Chem. Toxicol. 2009, 47, 1076–1079. [Google Scholar] [CrossRef]
- Choi, J.-H.; Ozawa, N.; Yamakawa, Y.; Nagai, K.; Hirai, H.; Kawagishi, H. Leccinine A, an endoplasmic reticulum stress-suppressive compound from the edible mushroom. Leccinum extremiorientale. Tetrahedron. 2011, 67, 6649–6653. [Google Scholar] [CrossRef][Green Version]
- Ito, A.; Wu, J.; Ozawa, N.; Choi, J.-H.; Hirai, H.; Kawagishi, H. Plant growth regulators from the edible mushroom Leccinum extremiorientale. Mycoscience 2017, 58, 383–386. [Google Scholar] [CrossRef]
- Yang, N.-N.; Huang, S.-Z.; Ma, Q.-Y.; Dai, H.-F.; Guo, Z.-K.; Yu, Z.-F.; Zhao, Y.-X. A new pyrrole alkaloid from Leccinum extremiorientale. Chem. Nat. Compd. 2015, 51, 730–732. [Google Scholar] [CrossRef]
- Sun, Z.-W.; Zhang, L.-X.; Zhang, B.; Niu, T.-G. Structural characterisation and antioxidant properties of polysaccharides from the fruiting bodies of Russula virescens. Food Chem. 2010, 118, 675–680. [Google Scholar] [CrossRef]
- Zhu, M.-J.; Du, F.; Zhang, G.-Q.; Wang, H.-X.; Ng, T.-B. Purification a laccase exhibiting dye decolorizing ability from an edible mushroom Russula virescens. Int. Biodeterior. Biodegradation 2013, 82, 33–39. [Google Scholar] [CrossRef]
- Sun, Z.; He, Y.; Liang, Z.; Zhou, W.; Niu, T. Sulfation of (1→3)-β-d-glucan from the fruiting bodies of Russula virescens and antitumor activities of the modifiers. Carbohydr. Polym. 2009, 77, 628–633. [Google Scholar] [CrossRef]
- Sun, Y.-X.; Liu, J.-C.; Yang, X.-D.; Kennedy, J.F. Purification, structural analysis and hydroxyl radical-scavenging capacity of a polysaccharide from the fruiting bodies of Russula virescens. Process. Biochem. 2010, 45, 874–879. [Google Scholar] [CrossRef]
- Tang, J.; Shao, H.; Liu, J. Chemical constituents of Russula virescens. Chin. Tradit. Herbal Drugs 2008, 39, 1776–1778. [Google Scholar]
- Hasnat, M.A.; Pervin, M.; Debnath, T.; Lim, B.O. DNA protection, total phenolics and antioxidant potential of the mushroom Russula virescens. J. Food Biochem. 2014, 38, 6–17. [Google Scholar] [CrossRef]
- Chen, X.; Zhou, H.; Qiu, G. Chemical composition and antioxidant activity of two edible mycorrhizal fungi from South China. Asian J. Chem. 2010, 22, 6867–6878. [Google Scholar]
- Sesli, E. Preliminary checklist of the macromycetes of the east and middle Black Sea regions of Turkey. Mycotaxon 2007, 99, 71–74. [Google Scholar]
- Meng, F.; Xu, P.; Wang, X.; Huang, Y.; Wu, L.; Chen, Y.; Teng, L.; Wang, D. Investigation on the immunomodulatory activities of Sarcodon imbricatus extracts in a cyclophosphamide (CTX)-induced immunosuppressanted mouse model. Saudi Pharm. J. 2017, 25, 460–463. [Google Scholar] [CrossRef]
- Alves, M.J.; Ferreira, I.C.F.R.; Lourenço, I.; Costa, E.; Martins, A.; Pintado, M. Wild mushroom extracts as inhibitors of bacterial biofilm formation. Pathogens 2014, 3, 667–679. [Google Scholar] [CrossRef] [PubMed]
- Barros, L.; Calhelha, R.C.; Vaz, J.A.; Ferreira, I.C.F.R.; Baptista, P.; Estevinho, L.M. Antimicrobial activity and bioactive compounds of Portuguese wild edible mushrooms methanolic extracts. Eur. Food Res. Technol. 2007, 225, 151–156. [Google Scholar] [CrossRef]
- Barros, L.; Ferreira, M.-J.; Queirós, B.; Ferreira, I.C.F.R.; Baptista, P. Total phenols, ascorbic acid, β-carotene and lycopene in Portuguese wild edible mushrooms and their antioxidant activities. Food Chem. 2007, 103, 413–419. [Google Scholar] [CrossRef]
- Zhang, F.-M.; Wang, Y.-H.; Zhao, P.; Yu, F.-Q. A new p-terphenyl derivative from the fruiting bodies of Sarcodon imbricatus (L.) P. Karst. Nat. Prod. Res. 2019, 1–7. [Google Scholar] [CrossRef] [PubMed]
- Marcotullio, M.C.; Mwankie, G.N.O.-M.; Cossignani, L.; Tirillini, B.; Pagiotti, R. Phytochemical analysis and antiradical properties of Sarcodon imbricatus (L.: Fr) Karsten. Nat. Prod. Commun. 2008, 3, 1907–1910. [Google Scholar] [CrossRef]
- Sulkowska-Ziaja, K.; Szewczyk, A.; Gdula-Argasinska, J.; Ekiert, H.; Jaskiewicz, J.; Muszynska, B. Chemical compounds of extracts from Sarcodon imbricatus at optimized growth conditions. Acta Mycol. 2016, 51. [Google Scholar] [CrossRef][Green Version]
- Sułkowska-Ziaja, K.; Karczewska, E.; Wojtas, I.; Budak, A.; Muszyńska, B.; Ekiert, H. Isolation and biological activities of polysaccharide fractions from mycelium of Sarcodon imbricatus L. P. Karst. (Basidiomycota) cultured in vitro. Acta. Pol. Pharm. 2011, 68, 143–145. [Google Scholar]
- Wang, X.; Chu, Q.; Jiang, X.; Yu, Y.; Wang, L.; Cui, Y.; Lu, J.; Teng, L.; Wang, D. Sarcodon imbricatus polysaccharides improve mouse hematopoietic function after cyclophosphamide-induced damage via G-CSF mediated JAK2/STAT3 pathway. Cell Death Dis. 2018, 9, 578. [Google Scholar] [CrossRef]
- Wang, X.; Wang, Z.; Wu, H.; Jia, W.; Teng, L.; Song, J.; Yang, X.; Wang, D. Sarcodon imbricatus polysaccharides protect against cyclophosphamide-induced immunosuppression via regulating Nrf2-mediated oxidative stress. Int. J. Biol. Macromol. 2018, 120, 736–744. [Google Scholar] [CrossRef]
- Wang, S.; Wang, K.; Chen, D.; Zhao, L. Influence of Sarcodon imbricatus polysaccharide on immune function in immunosuppressive mouse. J. Chem. Pharm. Res. 2014, 6, 1723–1726. [Google Scholar]
- Wang, X.; Qu, Y.; Zhang, Y.; Li, S.; Sun, Y.; Chen, Z.; Teng, L.; Wang, D. Antifatigue potential activity of Sarcodon imbricatus in acute excise-treated and chronic fatigue syndrome in mice via regulation of Nrf2-mediated oxidative stress. Oxid. Med. Cell. Longev. 2018, 2018, 1–13. [Google Scholar] [CrossRef] [PubMed]
- Pegler, D.; Vanhaecke, M. Termitomyces of southeast Asia. Kew Bull. 1994, 49, 717–736. [Google Scholar] [CrossRef]
- Abe, T.; Matsumoto, T. Studies on the distribution and ecological role of termites in a lowland rain forest of West Malaysia (3) distribution and abundance of termites in pasoh forest reserve. Jap. J. Ecol. 1979, 29, 337–351. [Google Scholar] [CrossRef]
- Zhao, H.; Wang, X.; Liu, X.; Zhang, J.; Wan, L.; Jia, L. Antioxidant and hypolipidemic activities of acid-depolymerised exopolysaccharides by Termitomyces albuminosus Oxid. Med. Cell. Longev. 2019, 2019, 1–13. [Google Scholar] [CrossRef]
- Hu, Y.; Wang, T.; Yang, X.; Zhao, Y. Analysis of compositional monosaccharides in fungus polysaccharides by capillary zone electrophoresis. Carbohydr. Polym. 2014, 102, 481–488. [Google Scholar] [CrossRef]
- Zhao, H.; Li, J.; Zhang, J.; Wang, X.; Liu, M.; Zhang, C.; Jia, L. Hepatoprotective and in vitro antioxidant effects of native depolymerised-exopolysaccharides derived from Termitomyces albuminosus. Sci. Rep. 2017, 7, 3910. [Google Scholar] [CrossRef]
- Hong, Y.; Ying, T. Isolation, molecular characterization and antioxidant activity of a water-soluble polysaccharide extracted from the fruiting body of Termitornyces albuminosus (Berk.) Heim. Int. J. Biol. Macromol. 2019, 122, 115–126. [Google Scholar] [CrossRef]
- Zhao, H.; Li, H.; Feng, Y.; Zhang, Y.; Yuan, F.; Zhang, J.; Ren, H.; Jia, L. Mycelium polysaccharides from Termitomyces albuminosus attenuate CCl4-induced chronic liver injury via inhibiting TGFβ1/Smad3 and NF-κB signal pathways. Int. J. Mol. Sci. 2019, 20, 4872. [Google Scholar] [CrossRef]
- Hong, Y.; Ying, T. Characterization of a chitin-glucan complex from the fruiting body of Termitomyces albuminosus (Berk.) Heim. Int. J. Biol. Macromol. 2019, 134, 131–138. [Google Scholar] [CrossRef]
- Lu, Y.-Y.; Ao, Z.-H.; Lu, Z.-M.; Xu, H.-Y.; Zhang, X.-M.; Dou, W.-F.; Xu, Z.-H. Analgesic and anti-inflammatory effects of the dry matter of culture broth of Termitomyces albuminosus and its extracts. J. Ethnopharmacol. 2008, 120, 432–436. [Google Scholar] [CrossRef]
- De Souza, R.A.; Kamat, N.M.; Nadkarni, V.S. Purification and characterisation of a sulphur rich melanin from edible mushroom Termitomyces albuminosus Heim. Mycology 2018, 9, 296–306. [Google Scholar] [CrossRef] [PubMed]
- Zheng, S.; Wang, H.; Zhang, G. A novel alkaline protease from wild edible mushroom Termitomyces albuminosus. Acta Biochim. Pol. 2011, 58, 269–273. Available online: https://www.ncbi.nlm.nih.gov/pubmed/21706070 (accessed on 23 April 2020). [CrossRef]
- Mau, J.-L.; Chang, C.-N.; Huang, S.-J.; Chen, C.-C. Antioxidant properties of methanolic extracts from Grifola frondosa, Morchella esculenta and Termitomyces albuminosus mycelia. Food Chem. 2004, 87, 111–118. [Google Scholar] [CrossRef]
- Qi, J.; Ojika, M.; Sakagami, Y. Termitomycesphins A–D, novel neuritogenic cerebrosides from the edible Chinese mushroom Termitomyces albuminosus. Tetrahedron 2000, 56, 5835–5841. [Google Scholar] [CrossRef]
- Qi, J.; Ojika, M.; Sakagami, Y. Neuritogenic cerebrosides from an edible Chinese mushroom. Part 2: Structures of two additional termitomycesphins and activity enhancement of an inactive cerebroside by hydroxylation. Bioorg. Med. Chem. 2001, 9, 2171–2177. [Google Scholar] [CrossRef]
- Qu, Y.; Sun, K.; Gao, L.; Sakagami, Y.; Kawagishi, H.; Ojika, M.; Qi, J. Termitomycesphins G and H, additional cerebrosides from the edible Chinese mushroom Termitomyces albuminosus. Biosci. Biotechnol. Biochem. 2012, 76, 791–793. [Google Scholar] [CrossRef]
- Li, W.; Liu, Q.; Li, S.; Zheng, Y. New sesquiterpenoids from the fermented broth of Termitomyces albuminosus and their anti-acetylcholinesterase activity. Molecules 2019, 24, 2980. [Google Scholar] [CrossRef]
- Mondal, S.; Chakraborty, I.; Pramanik, M.; Rout, D.; Islam, S.S. Structural studies of water-soluble polysaccharides of an edible mushroom, Termitomyces eurhizus. A reinvestigation. Carbohydr. Res. 2004, 339, 1135–1140. [Google Scholar] [CrossRef]
- Chakraborty, I.; Mondal, S.; Rout, D.; Islam, S.S. A water-insoluble (1→3)-β-d-glucan from the alkaline extract of an edible mushroom Termitomyces eurhizus. Carbohydr. Res. 2006, 341, 2990–2993. [Google Scholar] [CrossRef]
- Chatterjee, A.; Khatua, S.; Chatterjee, S.; Mukherjee, S.; Mukherjee, A.; Paloi, S.; Acharya, K.; Bandyopadhyay, S.K. Polysaccharide-rich fraction of Termitomyces eurhizus accelerate healing of indomethacin induced gastric ulcer in mice. Glycoconj. J. 2013, 30, 759–768. [Google Scholar] [CrossRef]
- Mitra, P.; Mandal, N.C.; Acharya, K. Polyphenolic extract of Termitomyces heimii: Antioxidant activity and phytochemical constituents. J. Verbrauch. Lebensm. 2016, 11, 25–31. [Google Scholar] [CrossRef]
- Manna, D.K.; Nandi, A.K.; Pattanayak, M.; Maity, P.; Tripathy, S.; Mandal, A.K.; Roy, S.; Tripathy, S.S.; Gupta, N.; Islam, S.S. A water soluble β-glucan of an edible mushroom Termitomyces heimii: Structural and biological investigation. Carbohydr. Polym. 2015, 134, 375–384. [Google Scholar] [CrossRef] [PubMed]
- Abd Malek, S.N.; Kanagasabapathy, G.; Sabaratnam, V.; Abdullah, N.; Yaacob, H. Lipid components of a Malaysian edible mushroom, Termitomyces heimii Natarajan. Int. J. Food Prop. 2012, 15, 809–814. [Google Scholar] [CrossRef]
- Karun, N.C.; Sridhar, K.R. Occurrence and distribution of Termitomyces (Basidiomycota, Agaricales) in the Western Ghats and on the West coast of India. Czech. Mycol. 2013, 65, 233–254. [Google Scholar] [CrossRef]
- Aletor, V.A. Compositional studies on edible tropical species of mushrooms. Food Chem. 1995, 54, 265–268. [Google Scholar] [CrossRef]
- Chandra, K.; Ghosh, K.; Ojha, A.K.; Islam, S.S. A protein containing glucan from an edible mushroom, Termitomyces microcarpus (var). Nat. Prod. Commun. 2009, 4, 553–556. [Google Scholar] [CrossRef]
- Chandra, K.; Ghosh, K.; Roy, S.K.; Mondal, S.; Maiti, D.; Ojha, A.K.; Das, D.; Mondal, S.; Islam, S.S. A water-soluble glucan isolated from an edible mushroom Termitomyces microcarpus. Carbohydr. Res. 2007, 342, 2484–2489. [Google Scholar] [CrossRef]
- Bhanja, S.K.; Rout, D. Structural analysis of two bioactive components of an edible mushroom, Termitomyces microcarpus. Nat. Prod. Commun. 2017, 12, 1917–1920. [Google Scholar] [CrossRef]
- Njue, A.W.; Omolo, J.O.; Cheplogoi, P.K.; Langat, M.K.; Mulholland, D.A. Cytotoxic ergostane derivatives from the edible mushroom Termitomyces microcarpus (Lyophyllaceae). Biochem. Syst. Ecol. 2018, 76, 12–14. [Google Scholar] [CrossRef]
- Nakalembe, I.; Kabasa, J.D. Anti-microbial activity and biochemical constituents of two edible and medicinal mushrooms of Mid-western, Uganda. Res. J. Pharmacol. 2012, 6, 4–11. [Google Scholar] [CrossRef]
- Mitra, P.; Mandal, N.C.; Acharya, K. Phytochemical characteristics and free radical scavenging activity of ethanolic extract of Termitomyces microcarpus r. Heim. Pharm. Lett. 2014, 6, 92–98. [Google Scholar]
- Mitra, P.; Mandal, N.; Acharya, K. Mycochemicals and antioxidant activity of polyphenol-rich fraction of Termitomyces microcarpus. Int. Food Res. J. 2016, 23, 2384–2389. [Google Scholar]
- Woldegiorgis, A.Z.; Abate, D.; Haki, G.D.; Ziegler, G.R. Antioxidant property of edible mushrooms collected from Ethiopia. Food Chem. 2014, 157, 30–36. [Google Scholar] [CrossRef] [PubMed]
- Mortimer, P.E.; Karunarathna, S.C.; Li, Q.; Gui, H.; Yang, X.; Yang, X.; He, J.; Ye, L.; Guo, J.; Li, H.; et al. Prized edible Asian mushrooms: Ecology, conservation and sustainability. Fungal Divers. 2012, 56, 31–47. [Google Scholar] [CrossRef]
- Yang, W.-M.; Liu, J.-K.; Hu, L.; Dong, Z.-J.; Wu, W.-L.; Chen, Z.-H. Antioxidant properties of natural p-terphenyl derivatives from the mushroom Thelephora ganbajun. Z. Naturforsch. C 2004, 59, 359–362. [Google Scholar] [CrossRef]
- Wang, H.X.; Ng, T.B. Purification of a novel ribonuclease from dried fruiting bodies of the edible wild mushroom Thelephora ganbajun. Biochem. Biophys. Res. Commun. 2004, 324, 855–859. [Google Scholar] [CrossRef]
- Gong, L.L.; Meng, F.J.; Hou, Y.C.; Liu, Y.; Xu, J.J.; Zhang, W.N.; Chen, Y. Purification, characterization, and bioactivity of two new polysaccharide fractions from Thelephora ganbajun mushroom. J. Food Biochem. 2019, 44, e13092. [Google Scholar] [CrossRef]
- Hu, L.; Gao, J.M.; Liu, J.K. Unusual poly(phenylacetyloxy)-substituted 1,1′:4′,1″-terphenyl derivatives from fruiting bodies of the Basidiomycete Thelephora ganbajun. Helv. Chim. Acta 2001, 84, 3342–3349. [Google Scholar] [CrossRef]
- Hu, L.; Liu, J.K. Two novel phenylacetoxylated p-terphenyls from Thelephora ganbajun Zang. Z. Naturforsch. C 2001, 56, 983–987. [Google Scholar] [CrossRef]
- Xu, D.-P.; Zheng, J.; Zhou, Y.; Li, Y.; Li, S.; Li, H.-B. Extraction of natural antioxidants from the Thelephora ganbajun mushroom by an ultrasound-assisted extraction technique and evaluation of antiproliferative activity of the extract against human cancer cells. Int. J. Mol. Sci. 2016, 17, 1664. [Google Scholar] [CrossRef]
- Liu, J.-K.; Hu, L.; Dong, Z.-J.; Hu, Q. DPPH radical scavenging activity of ten natural p-terphenyl derivatives obtained from three edible mushrooms indigenous to China. Chem. Biodivers. 2004, 1, 601–605. [Google Scholar] [CrossRef] [PubMed]
- Liu, J.K. Secondary metabolites from higher fungi in China and their biological activity. Drug Discov. Ther. 2007, 1, 94–103. Available online: https://www.ncbi.nlm.nih.gov/pubmed/22504394 (accessed on 23 April 2020). [CrossRef] [PubMed]
- Wu, F.; Zhou, L.-W.; Yang, Z.-L.; Bau, T.; Li, T.-H.; Dai, Y.-C. Resource diversity of Chinese macrofungi: Edible, medicinal and poisonous species. Fungal Divers. 2019, 98, 1–76. [Google Scholar] [CrossRef]
- Das, D.; Maiti, D.; Chandra, K.; Mondal, S.; Ojha, A.K.; Roy, S.K.; Ghosh, K.; Islam, S.S. NMR and MALDI-TOFMS analysis of a heteroglycan isolated from hot water extract of edible mushroom, volvariella bombycina. Carbohydr. Res. 2008, 343, 2258–2265. [Google Scholar] [CrossRef]
- Xu, G.-H.; Kim, Y.-H.; Choo, S.-J.; Ryoo, I.-J.; Zheng, C.-J.; Seok, S.-J.; Kim, W.-G.; Yoo, I.-D. Isodeoxyhelicobasidin, a novel human neutrophil elastase inhibitor from the culture broth of Volvariella bombycina. J. Antibiot. 2009, 62, 333–334. [Google Scholar] [CrossRef][Green Version]
- Xu, G.-H.; Choo, S.-J.; Kim, Y.-H.; Ryoo, I.-J.; Seok, S.-J.; Ahn, J.-S.; Yoo, I.-D. Secondary metabolites of Volvariella bombycina and their inhibitory effects on melanogenesis. J. Microbiol. Biotechnol. 2010, 20, 78–81. Available online: https://www.ncbi.nlm.nih.gov/pubmed/20134236 (accessed on 23 April 2020). [CrossRef]
- Park, K.M.; Kwon, K.M.; Lee, S.H. Evaluation of the antioxidant activities and tyrosinase inhibitory property from mycelium culture extracts. Evid. Based Complementary Altern. Med. 2015, 2015, 616298. [Google Scholar] [CrossRef]
- Sodhi, N.S.; Koh, L.P.; Brook, B.W.; Ng, P.K.L. Southeast Asian biodiversity: An impending disaster. Trends Ecol. Evol. 2004, 19, 654–660. [Google Scholar] [CrossRef]
- Conversation, T. Even as More New Species Are Found, Southeast Asia Is in the Grip of a Biodiversity Crisis. Available online: https://theconversation.com/even-as-more-new-species-are-found-southeast-asia-is-in-the-grip-of-a-biodiversity-crisis-67700 (accessed on 10 December 2019).
- Hughes, A.C. Understanding the drivers of Southeast Asian biodiversity loss. Ecosphere 2017, 8, e01624. [Google Scholar] [CrossRef]




















| Mushroom Species | Metabolites with Antioxidant Activity | Metabolites with Antimicrobial Activity | Metabolites with Cytotoxic and/or Antiproliferative Activity | Metabolites with Other Biological Activities |
|---|---|---|---|---|
| Agaricus silvaticus Schaeff. (Agaricaceae) | Extract [64,65] | - | - | - |
| Ampulloclitocybe clavipes (Pers.) Redhead, Lutzoni, Moncalvo & Vilgalys (Hygrophoraceae) | - | Clavilactone A-C (4−6) [66] | Clavipines A (9) [70], Clavilactone H (16) [71] | Clavilactone B (5) (inhibitory activity of the growth of Lepidum sativum) [66]). Clavilactones A, B, D (4,5,8) (tyrosine kinases inhibitory activity [67,69]). Fatty acid derivatives (aldehyde dehydrogenase inhibitory activity [65]) |
| Butyriboletus roseoflavus (M. Zang & H.B. Li) D. Arora & J.L. Frank (Boletaceae) | Polysaccharide [72] | - | Polysaccharide [73,74,75], Hemagglutinin [76] | Polysaccharide (immunoregulatory activity [73,74,75]). Hemagglutinin (HIV-1 reverse transcriptase inhibitory activity [76]) |
| Cantharellus cibarius Fr. (Cantharellaceae) | Polysaccharide [85,86] | Extract [92] | Polysaccharide [80,82] | Polysaccharide (immunomodulatory [81,86] and neuroprotective activities [85]) |
| Craterellus cornucopioides (L.Fr.) Pers. (Cantharellaceae) | Polysaccharide [97], Extract [91,93,105,106,108] | Extract [105] | Craterellin C (20) [98], Extract [93,105] | Polysaccharide [94,96]. Extract (antimutagenic effects [105], antihyperglycemic [106] and anti-inflammatory activities [107,108]) |
| Craterellus odoratus (Schwein.) Fr. (Cantharellaceae) | - | - | Calbistrin C [112] | Craterellin A (26) (inhibitory activities against human 11β-HSD2 [111]). 5-Hydroxymethyl-2-hydroxy-4-methoxy-phenylethanone (inhibitory activity against human 11β-HSD1 [109]) |
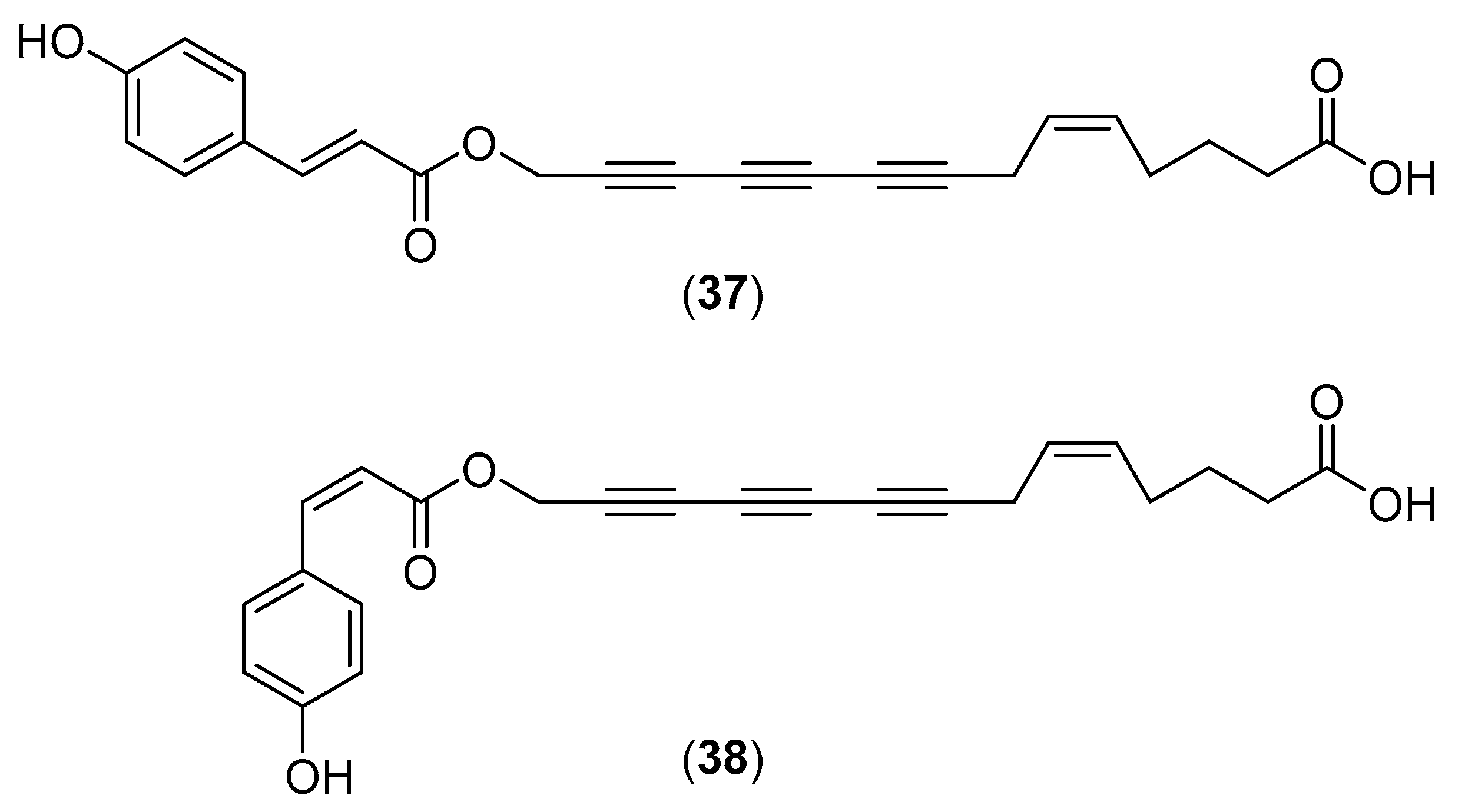
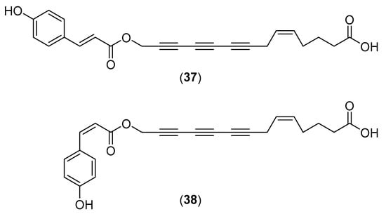
| Fistulina hepatica (Schaeff.) (Fistulinaceae) | Extract [115,118,119] | Cinnatriacetins A (37) and B (38) [117]. Extract [22,116,125] | - | - |
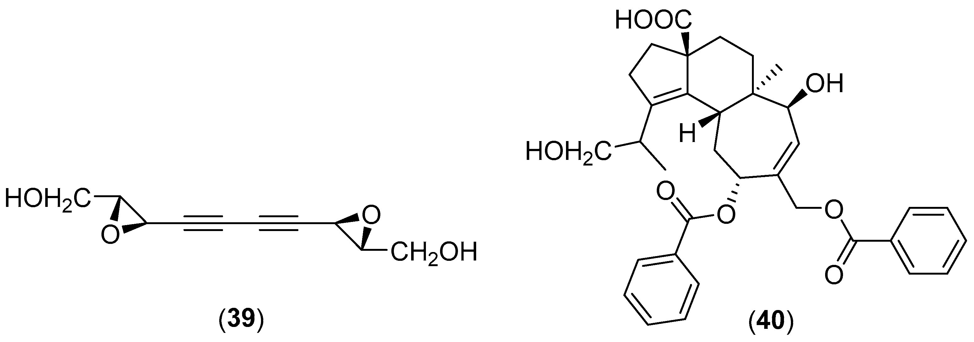
| Hydnum repandum L. (Cantharellaceae) | Extract [92,115,127,133] | Extract [92,126,131,132] | Repandiol (39) [129], Extract [93] | - |
| Laccaria amethystea (Bull.) Murrill (Hydnangiaceae) | Extract [106] | Laccaridiones A (41) and B (42) [134] | Laccaridiones B (42) [134] | Extract (antihyperglycemic activity [106]) |
| Lactarius hatsudake Nobuj. Tanaka (Russulaceae) | - | - | - | Ergosterol peroxide, 5α,8α-epidioxy-(24S)-ergosta -6-en-3β-ol (antiphospholipase A2 activity [139] and anti-HIV activity [140]) |
| Lepista sordida (Schumach.) Singer (Tricholomataceae) | Polysaccharides [148] | Lepistal (48), lepistol (49) [149] | Polysaccharides [146,147], lepistal (48), lepistol (49) [149] | Polysaccharide (immunoregulatory activity [145]). Compounds 56−59 (plant growth inhibitory activity [155]) |
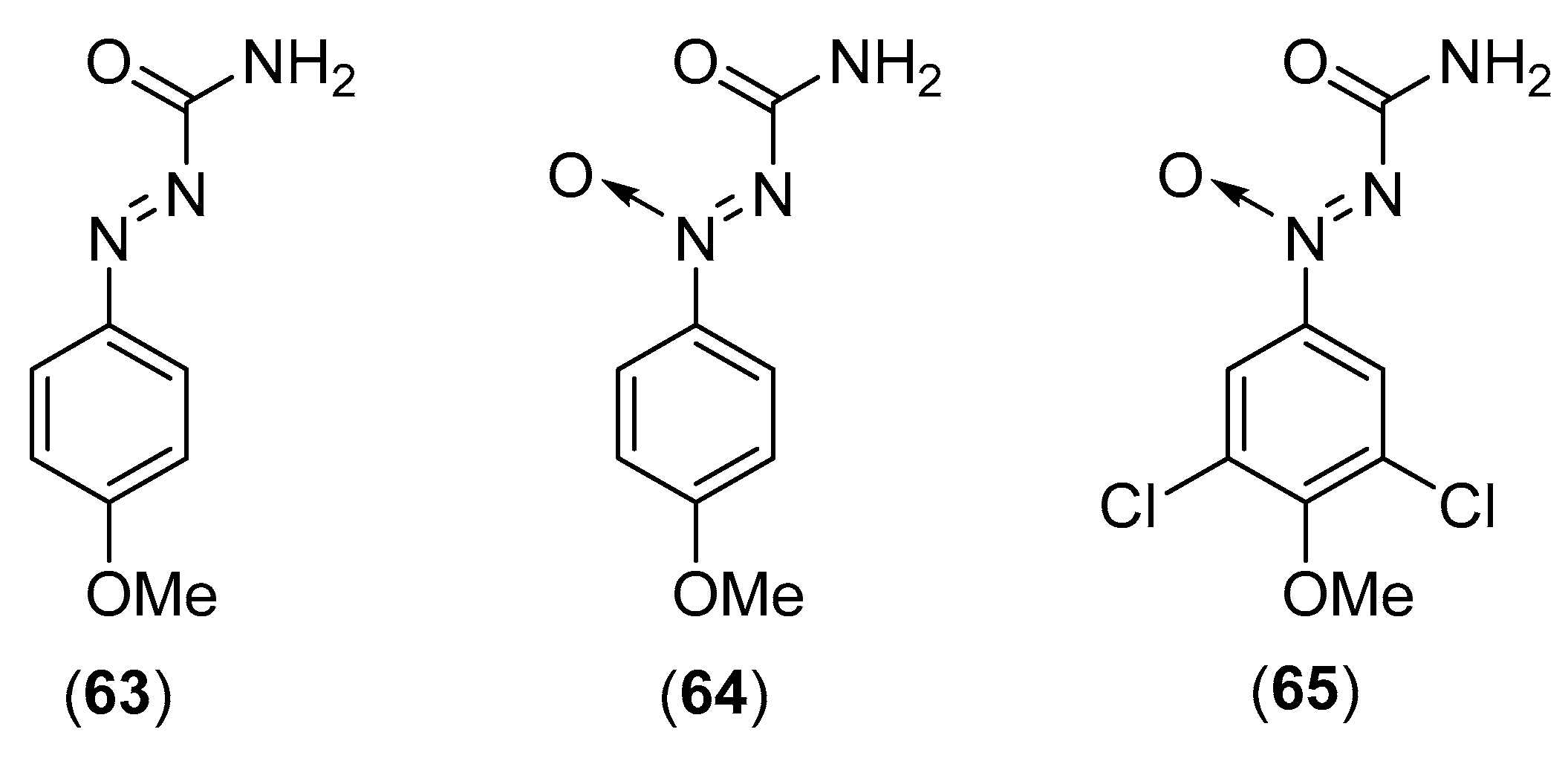
| Lycoperdon pyriforme Schaeff. (Agaricaceae) | Extract [161] | Compounds 63 and 64 [158]. Extract [160] | Compound 65 [158] | Compounds 63 and 64 (nematicidal activity [158]) |
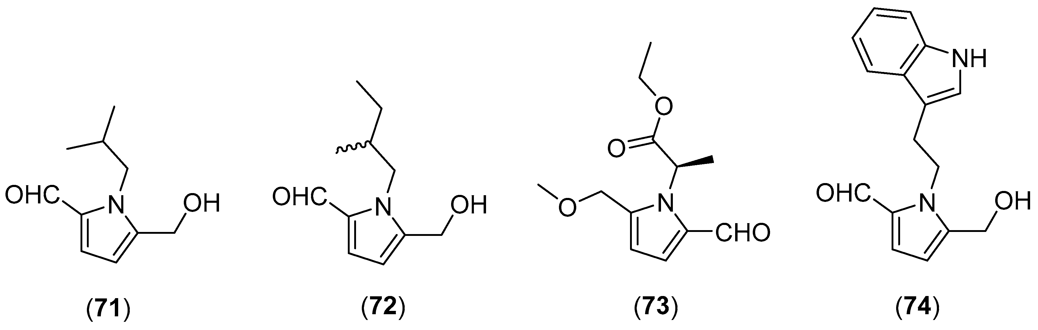
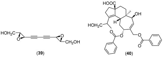
| Neolentinus lepideus (Fr.) Redhead & Ginns (Polyporaceae) | Compound 68 [166], Extract [168] | - | - | Lepidepyrone (66) (inhibitory effects on hyaluronidase [162). Compounds 67 and 68 (NO inhibitory activity [166]) Compounds 69 and 70 (tyrosinase inhibitory activity [167]). Polysaccharide (immunomodulating activity [169]). Extract (antityrosinase [168], antihyperlipidemic [163] and immunomodulatory activities [170]) |
| Phlebopus portentosus (Berk. & Broome) Boedijn (Boletinellaceae) | Extract [173] | - | - | Extract (tyrosinase and hyperglycaemic moderate inhibitory activities [173]). Compound 74 (neuroprotective activity [174]) |
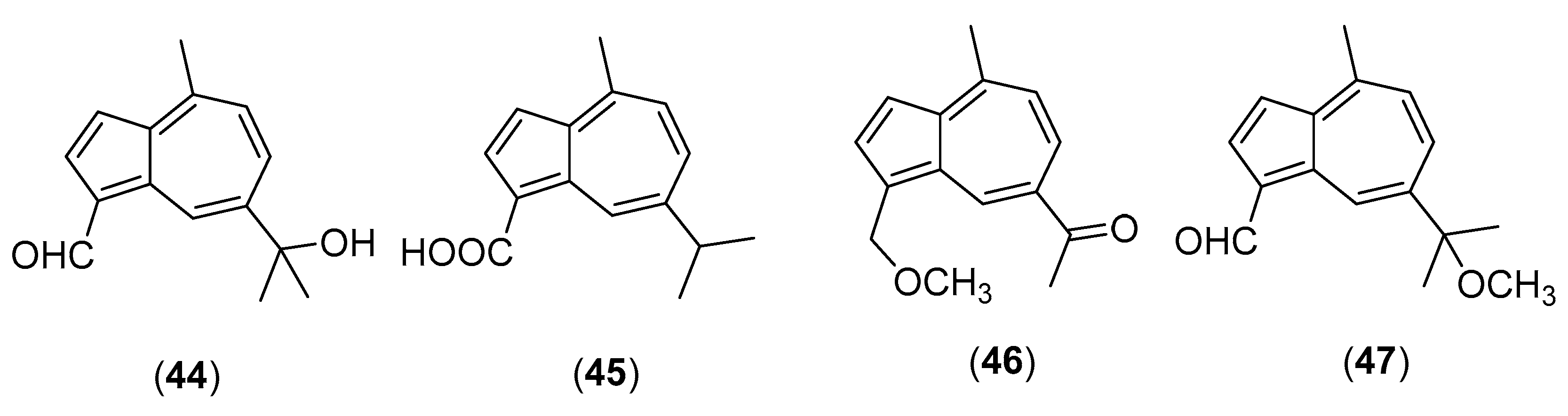
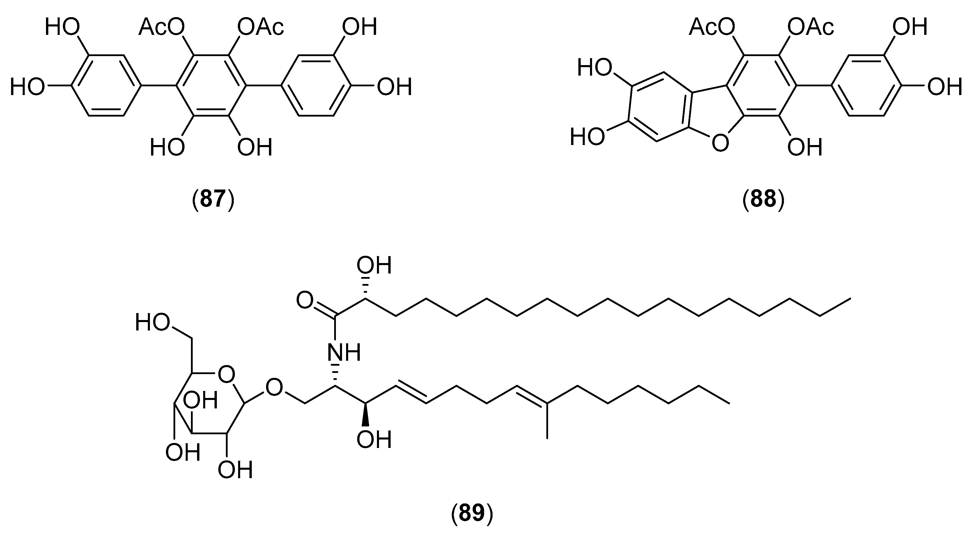
| Polyozellus multiplex (Underw.) Murrill (Thelephoraceae) | Polyozellin (75) and extract [189] | Extract [188] | Polyozellin (75) [179,190]. Extract [187,190] | Polyozellin (75) (prolyl endopeptidase (PEP) inhibitory activity [176,177], β-secretase (BACE1) inhibitory activities [175], neuroprotective effect [187] and anti-inflammatory activities [189,190,191,192,193,194,195]). Thelephoric acid (76) (PEP inhibitory activity [178], β-secretase (BACE1) inhibitory activity [175] and neuroprotective effect [175]). Kynapcin-9 (77) (PEP inhibitory activity) [178]. Kynapcin-12 (78) (PEP inhibitory [179], prolyl oligopeptidase (POP) inhibitory [180] and β-secretase (BACE1) inhibitory activities [175]). Polyozellic acid (79) (antiangiogenesis [181], β-secretase (BACE1) inhibitory activities [175] and neuroprotective effects [175]), compound 80 (antiangiogenesis activity [181]). Kynapcin-13 (81) and -28 (82) (PEP inhibitory activity [182]), Kynapcin-24 (83) (PEP inhibitory activity [183]). |
| Ramaria botrytis (Pers.) Bourdot (Ramariaceae) | Polysaccharide [199], Extract [202,203,204] | - | A novel ubiquitin-like protein [196] | Glucan (immunostimulating activity) [198] |
| Rugiboletus extremiorientalis (Lj.N. Vassiljeva) G. Wu & Zhu L. Yang | - | - | - | Leccinine A (84) (protective activity against endoplasmic reticulum stress-dependent cell death [205] and plant growth regulatory activity [206]). (8E,12Z)-10,11-dihydroxyoctadeca-8,12-dienoic acid (plant growth regulatory activity [206]). |
| Russula virescens (Schaeff.) Fr. (Russulaceae) | Polysaccharide [208,211], Extract [203,213,214] | - | - | - |
| Sarcodon imbricatus (L.) P. Karst (Bankeraceae) | Extract [203,219,221] | Extract [22,132,217,218], Polysaccharide [223] | - | Extract (immunomodulatory [216] and antifatigue activities [227]). Polysaccharide (immunoenhancement [225,226] and anti-myelosuppressive activities [224]). |
| Termitomyces albuminosus (Berk.) R. Heim (Lyophyllaceae) | Polysaccharide [230,232,233,234], Extract [239] | - | - | Polysaccharide (anti-inflammatory [234] and hepatoprotective effects [232,234]). Extract (analgesic and anti-inflammatory activities [236]). Termitomycesphins A-F (90-95) (neuritogenic activity [240,241]). Termitomycesphins G (97) and H (98) (neuritogenic activity [242]). epi-Guaidiol A (104) (anti-acetylcholinesterase activity [243]). |
| Termitomyces eurhizus (Berk.) R. Heim (Lyophyllaceae) | - | - | - | Extract (anti-ulcerogenic activity) [245] |
| Termitomyces heimii Natarajan (Lyophyllaceae) | Extract [247] Polysaccharide [248] | - | - | - |
| Termitomyces microcarpus (Berk. & Broome) R. Hein (Lyophyllaceae) | Extract [36,257,258,259] | Extract [257] | Dimethylincisterol; 5α,8α-epidioxy-(22E,24R)-ergosta-6,22-dien-3β-ol [255] | - |
| Thelephora ganbajun M. Zang (Thelephoraceae) | Ganbajunins A-B (105−106) [261,267,268]. Ganbajunin C (107); 3-O-methylatromentin [267,268] | - | Polysaccharide [263], Extract [266] | Ribonuclease (inhibitory activity toward HIV-1 reverse transcriptase) [262]. Polysaccharides (antidiabetic activity) [263] |
| Volvariella bombycina (Schaeff.) Singer (Pluteaceae) | Extract [269,273] | Isodeoxyhelicobasidin [271] | Compound 113 [272] | Isodeoxyhelicobasidin (human neutrophil elastase (NHE) activity [271]). Compound 113 (inhibitory effects on melanogenesis [272]). |
© 2020 by the authors. Licensee MDPI, Basel, Switzerland. This article is an open access article distributed under the terms and conditions of the Creative Commons Attribution (CC BY) license (http://creativecommons.org/licenses/by/4.0/).
Share and Cite
Thu, Z.M.; Myo, K.K.; Aung, H.T.; Clericuzio, M.; Armijos, C.; Vidari, G. Bioactive Phytochemical Constituents of Wild Edible Mushrooms from Southeast Asia. Molecules 2020, 25, 1972. https://doi.org/10.3390/molecules25081972
Thu ZM, Myo KK, Aung HT, Clericuzio M, Armijos C, Vidari G. Bioactive Phytochemical Constituents of Wild Edible Mushrooms from Southeast Asia. Molecules. 2020; 25(8):1972. https://doi.org/10.3390/molecules25081972
Chicago/Turabian StyleThu, Zaw Min, Ko Ko Myo, Hnin Thanda Aung, Marco Clericuzio, Chabaco Armijos, and Giovanni Vidari. 2020. "Bioactive Phytochemical Constituents of Wild Edible Mushrooms from Southeast Asia" Molecules 25, no. 8: 1972. https://doi.org/10.3390/molecules25081972
APA StyleThu, Z. M., Myo, K. K., Aung, H. T., Clericuzio, M., Armijos, C., & Vidari, G. (2020). Bioactive Phytochemical Constituents of Wild Edible Mushrooms from Southeast Asia. Molecules, 25(8), 1972. https://doi.org/10.3390/molecules25081972

