Sign in to use this feature.

Years

Between: -

Subjects

remove_circle_outline
remove_circle_outline
remove_circle_outline
remove_circle_outline
remove_circle_outline
remove_circle_outline
remove_circle_outline
remove_circle_outline
remove_circle_outline

Journals

remove_circle_outline
remove_circle_outline
remove_circle_outline
remove_circle_outline
remove_circle_outline
remove_circle_outline
remove_circle_outline
remove_circle_outline
remove_circle_outline
remove_circle_outline
remove_circle_outline

Article Types

Countries / Regions

remove_circle_outline
remove_circle_outline
remove_circle_outline
remove_circle_outline
remove_circle_outline
remove_circle_outline
remove_circle_outline

Search Results (1,008)

Search Parameters:
Keywords = phytochemical constituents

Order results
Result details
Results per page
Select all
Export citation of selected articles as:
24 pages, 5753 KB  
Article
Chemical Profiling, Molecular Docking, and Mechanistic Anticancer Activity of Pinus sylvestris Essential Oil in SH-SY5Y and U-87MG Cells
by Gökhan Dervişoğlu
Molecules 2026, 31(3), 470; https://doi.org/10.3390/molecules31030470 - 29 Jan 2026
Abstract
Pinus sylvestris essential oil (PSEO) has gained increasing interest as a natural anticancer candidate due to its bioactive phytochemical composition and potential to modulate apoptosis-related pathways. In this study, the chemical profile of PSEO was characterized by GC-MS, revealing oxygenated monoterpenes and monoterpene [...] Read more.
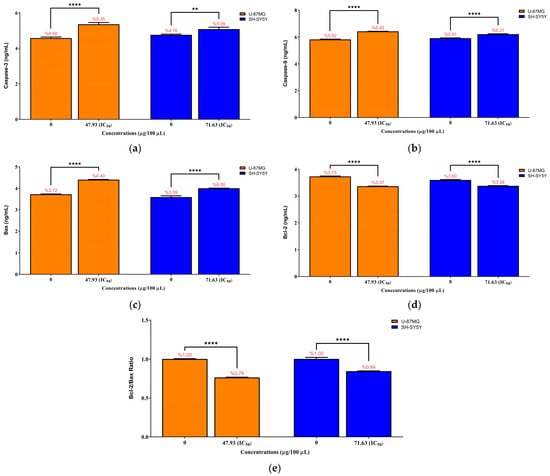
Pinus sylvestris essential oil (PSEO) has gained increasing interest as a natural anticancer candidate due to its bioactive phytochemical composition and potential to modulate apoptosis-related pathways. In this study, the chemical profile of PSEO was characterized by GC-MS, revealing oxygenated monoterpenes and monoterpene hydrocarbons as dominant constituents. Human brain (U-87MG) and peripheral nervous system (SH-SY5Y) tumor cells were treated with PSEO to evaluate cytotoxicity and mechanistic responses. Cell viability was assessed using the MTT assay, and 24-h IC50 values were determined as 47.93 µg/100 µL for U-87MG and 71.63 µg/100 µL for SH-SY5Y, which were subsequently used for all mechanistic analyses. IC50 exposure significantly increased intracellular ROS generation while reducing total antioxidant status, indicating oxidative stress-mediated cytotoxicity. Apoptosis-related ELISA assays demonstrated increased caspase-3 and caspase-9 activity, upregulated Bax, decreased Bcl-2, and a lowered Bcl-2/Bax ratio, collectively supporting the activation of the intrinsic mitochondrial apoptosis pathway. Molecular docking provided in silico evidence of favorable binding interactions between selected PSEO-associated ligands and apoptotic targets, consistent with experimentally observed biochemical outcomes. Overall, the findings suggest that PSEO exerts dose- and time-dependent anticancer effects and promotes mitochondrial apoptosis in U-87MG and SH-SY5Y cells, supporting its potential as a natural therapeutic candidate. Full article
Show Figures

Graphical abstract

75 pages, 5082 KB  
Review
Phytochemical Insights and Biological Potential of the Helianthus Genus
by Aldana Malen Corlatti, Hernán Bach, Ignacio Jorge Aguelo, Orlando Germán Elso, Rafael Ricco, Laura Cecilia Laurella and Valeria Patricia Sülsen
Plants 2026, 15(3), 401; https://doi.org/10.3390/plants15030401 - 28 Jan 2026
Abstract
The Helianthus genus comprises more than 60 species distributed throughout North and Central America, with a few extending into South America. Among these, H. annuus and H. tuberosus represent the most widely utilized and extensively investigated species. The aim of this paper is [...] Read more.
The Helianthus genus comprises more than 60 species distributed throughout North and Central America, with a few extending into South America. Among these, H. annuus and H. tuberosus represent the most widely utilized and extensively investigated species. The aim of this paper is to provide an overview of the current knowledge regarding the phytochemical composition and biological activities of Helianthus species. Phytochemical studies of Helianthus taxa have demonstrated that terpenoid constituents, including sesquiterpene lactones, diterpenes, and triterpenes, together with phenolic compounds, constitute the principal classes of secondary metabolites. Pharmacological investigations on Helianthus extracts have revealed a broad spectrum of biological activities. More than twenty distinct bioactivities have been reported for H. annuus, with the majority supported by in vitro assays (≈26 reports), reflecting multiple experimental evaluations per activity using different plant parts, extracts, and models; followed by a substantial number of in vivo studies in animal models (≈21 reports), and very limited clinical evidence. In comparison, five bioactivities have been described for H. tuberosus, mainly in vitro with a few in vivo reports, whereas only single in vitro bioactivities have been described for H. salicifolius and H. angustifolius. Among these, antidiabetic, antioxidant, antimicrobial, and anticancer properties are the most frequently documented. Full article
24 pages, 693 KB  
Review
Natural Bioactive Compounds Targeting FABP4 in Adipogenesis and Obesity: Evidence from In Vitro and In Vivo Studies
by Jan Sobczyński, Filip Nowaczyński, Katarzyna Smolińska, Joanna Lachowicz-Radulska, Anna Serefko and Aleksandra Szopa
Int. J. Mol. Sci. 2026, 27(3), 1306; https://doi.org/10.3390/ijms27031306 - 28 Jan 2026
Abstract
FABP4 (fatty acid-binding protein 4) is a lipid chaperone and secreted adipokine linking dysregulated fatty acid handling with inflammation, cellular stress, and insulin resistance in obesity. By modulating nuclear receptor signaling (notably PPARγ) and enhancing NF-κB/MAPK activation in adipocytes and macrophages, FABP4 contributes [...] Read more.
FABP4 (fatty acid-binding protein 4) is a lipid chaperone and secreted adipokine linking dysregulated fatty acid handling with inflammation, cellular stress, and insulin resistance in obesity. By modulating nuclear receptor signaling (notably PPARγ) and enhancing NF-κB/MAPK activation in adipocytes and macrophages, FABP4 contributes to maladaptive adipose remodeling and systemic metabolic decline. This review critically summarizes recent preclinical evidence on natural bioactive compounds that regulate FABP4 expression and associated adipogenic programs in models of adipogenesis and diet-induced obesity. Data from 3T3-L1/OP9 adipocytes, rodent studies, and selected alternative models indicate that many plant-derived extracts and phytochemicals (e.g., polyphenols, saponins, coumarins, terpenoids, and fermented products) down-regulate FABP4 at mRNA and/or protein levels. These effects are frequently accompanied by suppression of PPARγ/C/EBPα/SREBP1c signaling, activation of AMPK-related pathways, reduced lipid accumulation, and improved metabolic outcomes including lower weight gain, reduced adipocyte hypertrophy, improved steatosis, and favorable serum lipid profiles. Natural compounds from non-plant sources (animal- and microbe-derived metabolites) further broaden FABP4-targeting strategies, supporting FABP4 as a cross-class therapeutic node. Key translational barriers include poor extract standardization, incomplete identification of active constituents, limited oral bioavailability, microbiome-dependent variability, and scarce clinical validation. Future work should prioritize well-characterized lead scaffolds, targeted delivery, rational combinations, and standardized, adequately powered clinical trials assessing dose, durability of FABP4 suppression, and cardiometabolic safety. Full article
(This article belongs to the Special Issue Natural Compounds in Human Health and Disease)
Show Figures

Figure 1

14 pages, 2177 KB  
Article
Identification of Active Anti-Inflammatory Compounds in Sweet Potato Storage Roots Extracted with Ethanol via LC-Q-TOF-MS
by Ryohei Sakuraoka, Hirofumi Masutomi and Katsuyuki Ishihara
Molecules 2026, 31(3), 456; https://doi.org/10.3390/molecules31030456 - 28 Jan 2026
Abstract
Sweet potatoes (Ipomoea batatas (L.) Lam.) are known for their anti-inflammatory effects, which are attributed to their phytochemical content. Our previous study revealed that ethanol extracts of sweet potato storage roots (SP-EtOH-Ex) inhibit interleukin-6 (IL-6) production in RAW264.7 cells stimulated with lipopolysaccharide [...] Read more.
Sweet potatoes (Ipomoea batatas (L.) Lam.) are known for their anti-inflammatory effects, which are attributed to their phytochemical content. Our previous study revealed that ethanol extracts of sweet potato storage roots (SP-EtOH-Ex) inhibit interleukin-6 (IL-6) production in RAW264.7 cells stimulated with lipopolysaccharide (LPS). However, the causative compounds responsible for the anti-inflammatory effect have not yet been identified. This study aims to identify the compounds responsible for the anti-inflammatory effect of SP-EtOH-Ex using liquid chromatography–quadrupole time-of-flight mass spectrometry (LC-Q-TOF-MS). The unknown compounds were measured using the auto MS/MS mode (data-dependent acquisition; DDA) of LC-Q-TOF-MS, and the resulting data were analyzed using MS-DIAL and MS-FINDER and also compared with those of the corresponding reference standards in terms of retention time and fragment ions. As a result, β-sitosterol (2.527–4.850 µg/mL), campesterol (75.74–93.63 ng/mL), and lauroyl diethanolamide (4.568–9.260 ng/mL) were identified and quantified in SP-EtOH-Ex. Moreover, the anti-inflammatory effect of these three compounds against RAW264.7 cells was investigated at varying concentrations of β-sitosterol (1 µg/mL, 5 µg/mL, 10 µg/mL), campesterol (10 ng/mL, 100 ng/mL, 1000 ng/mL), and lauroyl diethanolamide (1 ng/mL, 10 ng/mL, 100 ng/mL). The phytosterols β-sitosterol and campesterol suppressed LPS-induced IL-6 production at concentrations comparable to those present in SP-EtOH-Ex. In contrast, lauroyl diethanolamide did not similarly suppress LPS-induced IL-6 production. These results suggest that β-sitosterol and campesterol in sweet potato storage roots contribute to their anti-inflammatory effects. The lack of activity in lauroyl diethanolamide further supports that phytosterols are the primary anti-inflammatory constituents. The edible portion of sweet potatoes holds promise as a promising raw material with anti-inflammatory properties. Full article
(This article belongs to the Special Issue Bioactive Compounds in Foods and Their By-Products)
Show Figures

Figure 1

19 pages, 1569 KB  
Article
Revealing the Bioactive Potential of Romanian Wild Hop Cones: An Integrative Chemical, Antimicrobial, and Antibiofilm Activity and In Silico Docking Analysis
by Mona Luciana Gălăţanu, Mariana Panţuroiu, Viorel Ordeanu, Răzvan Neagu, Roxana Măriuca Gavriloaia, Sorina Nicoleta Aurică and Gabriela Mariana Costache
Molecules 2026, 31(3), 405; https://doi.org/10.3390/molecules31030405 - 24 Jan 2026
Viewed by 232
Abstract
Hop (Humulus lupulus L.) is recognized as a valuable source of bioactive compounds; however, the phytochemical composition and biological potential of wild Romanian hops remain insufficiently characterized. In this study, the bioactive profile of wild hop cones was evaluated using an integrated [...] Read more.
Hop (Humulus lupulus L.) is recognized as a valuable source of bioactive compounds; however, the phytochemical composition and biological potential of wild Romanian hops remain insufficiently characterized. In this study, the bioactive profile of wild hop cones was evaluated using an integrated phytochemical, biological, and in silico approach. The hydroethanolic extract was characterized by a total phenolic content of 25.61 mg GAE/g DW and a total flavonoid content of 3.20 mg RE/g DW, with α-acids predominating (8.77%) and β-acids detected only at trace levels (0.15%). Hydrodistillation yielded 0.613 ± 0.11% essential oil, which was rich in sesquiterpene hydrocarbons (64.61%), mainly α-humulene, β-caryophyllene oxide, selina-3,7-diene, and germacrene B. The hydroethanolic extract exhibited strong antioxidant activity (IC50 = 5.03 µg GAE/mL), whereas the essential oil showed a moderate but dose-dependent radical-scavenging capacity (IC50 = 0.44% v/v). In addition, the essential oil displayed pronounced antibacterial and antibiofilm activity against Staphylococcus aureus, Escherichia coli, and Pseudomonas aeruginosa, at 25 mg/mL, with the highest antibiofilm inhibition observed for Pseudomonas aeruginosa (96.44%). Molecular docking analysis suggested that the major volatile constituents may interact with Staphylococcus aureus Sortase A, providing a plausible mechanistic basis for the observed antibiofilm effects. Overall, these findings indicate that wild Romanian hop cones represent a promising source of antioxidant and antimicrobial bioactive compounds, supporting their potential applications in pharmaceutical, food, and cosmetic formulations, as well as in natural-product-based drug discovery. Full article
(This article belongs to the Special Issue Bioactive Natural Products: The Potential Sources of New Drugs)
Show Figures

Graphical abstract

16 pages, 1092 KB  
Article
Therapeutic Potential, Predictive Pharmaceutical Modeling, and Metabolic Interactions of the Oxindole Kratom Alkaloids
by Md Harunur Rashid, Matthew J. Williams, Andres Garcia Guerra, Arunporn Itharat, Raimar Loebenberg and Neal M. Davies
J. Phytomed. 2026, 1(1), 2; https://doi.org/10.3390/jphytomed1010002 - 23 Jan 2026
Viewed by 90
Abstract
Kratom (Mitragyna speciosa (Korth.) Havil.) oxindole alkaloids remain underexplored compared to the well-studied indole constituents mitragynine and 7-hydroxymitragynine. Previous research has primarily focused on phytochemical identification and preliminary pharmacology, with limited pharmacokinetic insight. This study pioneers an in silico ADMET modeling analysis of [...] Read more.
Kratom (Mitragyna speciosa (Korth.) Havil.) oxindole alkaloids remain underexplored compared to the well-studied indole constituents mitragynine and 7-hydroxymitragynine. Previous research has primarily focused on phytochemical identification and preliminary pharmacology, with limited pharmacokinetic insight. This study pioneers an in silico ADMET modeling analysis of 27 kratom-derived oxindole alkaloids using ADMET Predictor™ v3.0, delivering the first comprehensive predictions of their physicochemical properties, CYP450/UGT enzyme interactions, transporter affinities, permeability, and pharmacokinetic parameters. Representative compounds such as speciophylline, isomitraphylline, and isospeciophylline displayed notably favorable predicted jejunal permeability and moderate metabolic stability, suggesting promising oral drug-like characteristics. Across the dataset, high CYP3A4 substrate affinity (98% confidence), variable CYP3A4, CYP2D6, CYP2C19 inhibition, strong P-gp substrate potential, and differential BBB penetration probabilities (46–99%) were observed. These findings provide a foundational computational framework to guide future experimental validation and rational drug development of kratom oxindole alkaloids. Full article
Show Figures

Graphical abstract

22 pages, 4221 KB  
Article
Polyphenolic Profile and Antioxidant and Aortic Endothelium Effect of Michay (Berberis congestiflora Gay) Collected in the Araucanía Region of Chile
by Fredi Cifuentes, Javier Palacios, Astrid Lavado, Javier Romero-Parra, Adrián Paredes and Mario J. Simirgiotis
Plants 2026, 15(3), 352; https://doi.org/10.3390/plants15030352 - 23 Jan 2026
Viewed by 119
Abstract
Berries are an excellent source of bioactive compounds, particularly polyphenols, and have been widely used in folk medicine by the Mapuche people of southern Chile. In this study, a hydroalcoholic extract of Berberis congestiflora Gay (BE) was analyzed to determine its phytochemical composition [...] Read more.
Berries are an excellent source of bioactive compounds, particularly polyphenols, and have been widely used in folk medicine by the Mapuche people of southern Chile. In this study, a hydroalcoholic extract of Berberis congestiflora Gay (BE) was analyzed to determine its phytochemical composition and to evaluate its antioxidant capacity, vasorelaxant effects in rat aortas, and inhibitory activity on enzymes related to chronic non-communicable diseases, including exploration of a possible vasodilatory mechanism in isolated rat aortas. Antioxidant activity was assessed using Oxygen Radical Absorbance Capacity (ORAC), DPPH (2,2-diphenyl-1-picrylhydrazyl), and ABTS (2,2-azinobis-(3-ethylbenzothiazolin-6-sulfonic acid)) radical scavenging assays, as well as ferric reducing antioxidant power (FRAP). Vascular responses to the Berberis extract were studied using isometric tension recordings in an ex vivo rat thoracic aortic ring model, and the chemical constituents of BE were identified for the first time by HPLC-DAD-MS. The extract itself produced a dose-dependent contraction at 100 and 1000 µg/mL and induced relaxation in phenylephrine-precontracted aortas at the same concentrations, with a maximum contraction of 71% and maximum relaxation of 70% at 1000 µg/mL. Mechanistically, the extract triggered calcium-mediated contraction primarily through calcium release from the sarcoplasmic reticulum and, to a lesser degree, via extracellular Ca2+ influx, while its relaxant effect depended on an intact endothelium and activation of the NO/cGMP pathway. In addition, the extract showed inhibitory activity against cholinesterase, glucosidase, and amylase, with IC50 values of 7.33 ± 0.32, 243.23 ± 0.3, and 27.21 ± 0.03 µg/mL, respectively, and docking studies were carried out for selected berry compounds. Overall, these findings indicate that these berries are a rich source of bioactive constituents with antioxidant properties and endothelium-dependent vasodilator effects, supporting their traditional use and highlighting their potential as enzyme inhibitors and as promising candidates for the development of phytotherapeutic products, particularly as supplements for chronic disease management. Full article
Show Figures

Figure 1

23 pages, 348 KB  
Article
Phytochemical Composition, Biological Activity and Application of Cymbopogon citratus In Vitro Microshoot Cultures in Cosmetic Formulations
by Ewelina Błońska-Sikora, Jakub Wawrzycki, Paulina Lechwar, Katarzyna Gaweł-Bęben, Paulina Żarnowiec, Klaudia Wojtaszek and Małgorzata Wrzosek
Appl. Sci. 2026, 16(3), 1158; https://doi.org/10.3390/app16031158 - 23 Jan 2026
Viewed by 113
Abstract
This study investigated the phytochemical composition and biological activity of Cymbopogon citratus microshoot cultures and evaluated their suitability for incorporation into a cosmetic formulation. Microshoot cultures were established on Murashige and Skoog media supplemented with plant growth regulators and served as a reproducible [...] Read more.
This study investigated the phytochemical composition and biological activity of Cymbopogon citratus microshoot cultures and evaluated their suitability for incorporation into a cosmetic formulation. Microshoot cultures were established on Murashige and Skoog media supplemented with plant growth regulators and served as a reproducible source of biomass. Methanolic and ethanolic extracts were analyzed for total phenolic content (TPC), total flavonoid content (TFC), and antioxidant activity using 2,2-diphenyl-1-picrylhydrazyl (DPPH) and ferric reducing antioxidant power (FRAP) assays. Chemical composition was characterized using LC-MS/MS analysis, which revealed the presence of phenolic acids and flavonoids, with p-coumaric, caffeic, and ferulic acids being among the most abundant detected constituents. In biological assays, the extracts inhibited murine tyrosinase in a concentration-dependent manner and exhibited antimicrobial activity against selected oral and skin-associated microorganisms, including Streptococcus mutans, Streptococcus pyogenes, and Staphylococcus epidermidis, as well as showing fungistatic and fungicidal effects against Candida albicans. Cytotoxicity analysis performed on HaCaT keratinocytes confirmed biocompatibility within the tested concentration range. To assess formulation suitability, the microshoot extract was incorporated into an oil-in-water (O/W) cream, which maintained stable pH, viscosity, and physical properties while preserving the antioxidant activity of the extract. Overall, these findings indicate that C. citratus microshoot cultures represent a reproducible source of bioactive metabolites with potential application in cosmetic formulations. Full article
19 pages, 2834 KB  
Article
Antiprotozoal Potential of Cultivated Geranium macrorrhizum Against Giardia duodenalis, Trichomonas gallinae and Leishmania infantum
by Sara Marcos-Herraiz, María José Irisarri-Gutiérrez, Javier Carrión, Iris Azami Conesa, Rodrigo Suárez Lombao, Juliana Navarro-Rocha, Jose Francisco Quilez del Moral, Alejandro Fernández Barrero, Eneko Ochoa Larrigan, Azucena González-Coloma, María Teresa Gómez-Muñoz and María Bailén
Int. J. Mol. Sci. 2026, 27(2), 1125; https://doi.org/10.3390/ijms27021125 - 22 Jan 2026
Viewed by 68
Abstract
Plant-derived natural products are an invaluable source of structurally diverse secondary metabolites with ecological and pharmacological significance. Geranium macrorrhizum, a species known for producing essential oils rich in monoterpenoids and sesquiterpenes, has been scarcely explored for its antiparasitic potential. This study represents [...] Read more.
Plant-derived natural products are an invaluable source of structurally diverse secondary metabolites with ecological and pharmacological significance. Geranium macrorrhizum, a species known for producing essential oils rich in monoterpenoids and sesquiterpenes, has been scarcely explored for its antiparasitic potential. This study represents the first comprehensive evaluation of the antiprotozoal activity of G. macrorrhizum obtained from cultivated plants. Plant material was produced under controlled greenhouse cultivation systems, ensuring high-quality and reproducible metabolite profiles. Essential oils were obtained through hydrodistillation and chemically characterized by Gas Chromatography-Mass Spectrometry (GC–MS). In vitro assays were conducted against Giardia duodenalis, Trichomonas gallinae, and Leishmania infantum to assess antiparasitic efficacy and cytotoxicity. The results demonstrated strong activity of essential oils against Trichomonas gallinae, and Leishmania infantum, indicating the relevance of lipophilic compounds—especially germacrone—as key bioactive constituents. Germacrone exhibited strong and selective antiparasitic activity, outperforming its structural analogues. Microscopic analyses revealed distinct parasite-specific morphological alterations, differing from those induced by conventional drugs such as metronidazole and amphotericin B. These findings highlight G. macrorrhizum obtained through biotechnological cultivation as a novel and sustainable source of natural antiprotozoal agents. The study underscores the importance of integrating controlled cultivation with phytochemical and biological evaluation to advance the discovery of innovative bioactive compounds. Full article
(This article belongs to the Section Molecular Pharmacology)
Show Figures

Graphical abstract

17 pages, 5457 KB  
Article
Bioactive Compounds of Momordica charantia L. Downregulate the Protein Expression of ACE2 and TMPRSS2 In Vivo and In Vitro
by Che-Yi Chao, Woei-Cheang Shyu, Chih-Lung Lin, Wen-Ping Jiang, Atsushi Inose, Song-Jie Chiang, Wen-Liang Wu, Jaung-Geng Lin and Guan-Jhong Huang
Int. J. Mol. Sci. 2026, 27(2), 868; https://doi.org/10.3390/ijms27020868 - 15 Jan 2026
Viewed by 121
Abstract
The emergence of SARS-CoV-2, the etiological agent of COVID-19, has resulted in widespread global infection and millions of deaths. Viral entry is initiated by the interaction between the viral spike (S) protein and the host cell receptor ACE2, followed by TMPRSS2-mediated proteolytic activation [...] Read more.
The emergence of SARS-CoV-2, the etiological agent of COVID-19, has resulted in widespread global infection and millions of deaths. Viral entry is initiated by the interaction between the viral spike (S) protein and the host cell receptor ACE2, followed by TMPRSS2-mediated proteolytic activation that facilitates membrane fusion. Bitter melon (Momordica charantia L., MC), a traditional medicinal and edible plant widely used in tropical Asia, possesses notable anti-inflammatory, antioxidant, antitumor, and hypoglycemic properties. In this study, the ethanol extract of bitter melon (EMC) markedly downregulated ACE2 and TMPRSS2 expression in both in vitro and in vivo models without inducing cytotoxicity. Furthermore, phytochemicals isolated from EMC—including p-coumaric acid, rutin, and quercetin—exhibited comparable inhibitory effects. These results indicate that EMC and its bioactive constituents may interfere with SARS-CoV-2 entry by modulating the ACE2/TMPRSS2 axis, highlighting their potential as natural adjuncts for COVID-19 prevention or management. Full article
Show Figures

Figure 1

19 pages, 813 KB  
Review
Maca (Lepidium meyenii) as a Functional Food and Dietary Supplement: A Review on Analytical Studies
by Andreas Wasilewicz and Ulrike Grienke
Foods 2026, 15(2), 306; https://doi.org/10.3390/foods15020306 - 14 Jan 2026
Viewed by 434
Abstract
Maca (Lepidium meyenii Walp.), a Brassicaceae species native to the high Andes of Peru, has gained global attention as a functional food and herbal medicinal product due to its endocrine-modulating, fertility-enhancing, and neuroprotective properties. Although numerous studies have addressed its biological effects, [...] Read more.
Maca (Lepidium meyenii Walp.), a Brassicaceae species native to the high Andes of Peru, has gained global attention as a functional food and herbal medicinal product due to its endocrine-modulating, fertility-enhancing, and neuroprotective properties. Although numerous studies have addressed its biological effects, a systematic and up-to-date summary of its chemical constituents and analytical methodologies is lacking. This review aims to provide a critical overview of the chemical constituents of L. meyenii and to evaluate analytical studies published between 2000 and 2025, focusing on recent advances in extraction strategies and qualitative and quantitative analytical techniques for quality control. Major compound classes include macamides, macaenes, glucosinolates, and alkaloids, each contributing to maca’s multifaceted activity. Ultra-(high-)performance liquid chromatography (U(H)PLC), often coupled with ultraviolet, diode array, or mass spectrometric detection, is the primary and most robust analytical platform due to its sensitivity, selectivity, and throughput, while ultrasound-assisted extraction improves efficiency and reproducibility. Emerging techniques such as metabolomics and chemometric approaches enhance quality control by enabling holistic, multivariate assessment of complex systems and early detection of variations not captured by traditional univariate methods. As such, they provide complementary, predictive, and more representative insights into maca’s phytochemical complexity. The novelty of this review lies in its integration of conventional targeted analysis with emerging approaches, comprehensive comparison of analytical workflows, and critical discussion of variability related to phenotype, geographic origin, and post-harvest processing. By emphasizing analytical standardization and quality assessment rather than biological activity alone, this review provides a framework for quality control, authentication, and safety evaluation of L. meyenii as a functional food and dietary supplement. Full article
Show Figures

Figure 1

21 pages, 3919 KB  
Article
Myristicin from Athamanta sicula L.: A Potential Natural Antimicrobial Agent
by Antonella Porrello, Alessia Sordillo, Natale Badalamenti, Giusy Castagliuolo, Giuseppe Bazan, Daniela Di Girolamo, Mario Varcamonti, Anna Zanfardino and Maurizio Bruno
Antibiotics 2026, 15(1), 79; https://doi.org/10.3390/antibiotics15010079 - 13 Jan 2026
Viewed by 209
Abstract
Athamanta L. is a small genus of the Apiaceae family, comprising only sixteen species and subspecies, which are distributed in the Canary Islands, Central Europe, and the Mediterranean basin. Background/Objectives: Since the time of Dioscurides, the species of this genus have been [...] Read more.
Athamanta L. is a small genus of the Apiaceae family, comprising only sixteen species and subspecies, which are distributed in the Canary Islands, Central Europe, and the Mediterranean basin. Background/Objectives: Since the time of Dioscurides, the species of this genus have been reported to have had several ethnopharmacological activities, and some of them are also used currently. Athamanta sicula L., growing in Italy, Tunisia, Algeria, and Morocco, is the only species of this genus present in Sicily. To further explore the phytochemical profile and biological properties of this species, the present study focused on the essential oil (EO) extracted from the aerial parts of wild A. sicula populations collected in central Sicily. Methods: The chemical composition of the EO, obtained by hydrodistillation, was determined by GC–MS analysis. The presence of myristicin was confirmed by isolation and by 1H-NMR spectroscopic characterization. Results: The EO and its main constituents have been tested for possible antimicrobial properties against several bacterial strains, showing MIC values in the of 15–30 mg/mL range, and the mechanism of action was further investigated, revealing membrane-targeting effects consistent with outer membrane permeabilization. In addition, antibiofilm activity (with up to ~80% inhibition of biofilm formation at sub-MICs), antioxidant potential (demonstrating dose-dependent radical scavenging activity), and biocompatibility with eukaryotic cells were assessed to provide a comprehensive pharmacological profile of A. sicula EO. Specifically, the most abundant constituent was myristicin (62.2%), the principal representative of the phenylpropanoid class (64.4%). Hydrocarbon monoterpenes represented the second class of the EO (27.4%), with β-phellandrene (12.2%) as the main compound. Conclusions: Myristicin emerged as the key contributor to the antimicrobial and antibiofilm activity of the EO. The obtained results highlight the relevance of A. sicula EO as a myristicin-rich essential oil with notable in vitro biological activity. Full article
(This article belongs to the Section Plant-Derived Antibiotics)
Show Figures

Figure 1

16 pages, 2951 KB  
Article
Antioxidant and Anti-Inflammatory Constituents from the Roots of Anodendron affine: Inhibition of the fMLP-Induced Superoxide Anion Generation and Molecular Docking Studies
by Shih-Jung Cheng, Yuen-Sing Lee, Lin-Yang Cheng, Sin-Min Li and Jih-Jung Chen
Antioxidants 2026, 15(1), 97; https://doi.org/10.3390/antiox15010097 - 12 Jan 2026
Viewed by 282
Abstract
Oxidative stress is a key driver of chronic inflammatory diseases. Anodendron affine is a native Formosan plant species in Taiwan that remains largely underexplored phytochemically and bioactivity. To reveal the bioactive constituents and assess its potential as a source of anti-inflammatory antioxidants, we [...] Read more.
Oxidative stress is a key driver of chronic inflammatory diseases. Anodendron affine is a native Formosan plant species in Taiwan that remains largely underexplored phytochemically and bioactivity. To reveal the bioactive constituents and assess its potential as a source of anti-inflammatory antioxidants, we performed bioactivity-guided fractionation and evaluated the inhibition of superoxide anion (O2•−) generation in formyl-L-methionyl-L-leucyl-L-phenylalanine-stimulated human neutrophils. Molecular docking simulations were employed to model interactions with Formyl peptide receptor 1 (FPR1) and the Nicotinamide adenine dinucleotide phosphate (NADPH) oxidase complex, including neutrophil cytosol factor 1 (p47phox) and NADPH oxidase 2 (NOX2), to propose a theoretical mechanism of action. Phytochemical investigation led to the isolation of two new compounds, methyl 4,5-O-diferuloyl-3-methoxyquinate (1) and 16-pregnen-3,12,20-trione (2), together with four known compounds. Notably, 4-hydroxy-3-prenylbenzoic acid (5) exhibited potent inhibitory activity (IC50 = 17.65 ± 0.97 μM), surpassing the activity of the positive control, ibuprofen (IC50 = 27.85 ± 3.56 μM). Docking studies suggested that anodendrosin H (4) and 4-hydroxy-3-prenylbenzoic acid (5) exhibit high predicted binding affinity to p47phox and NOX2. Based on these results, compounds 1, 4, and 5 from A. affine were identified as potential lead candidates for the development of novel anti-inflammatory therapeutics. Full article
(This article belongs to the Special Issue Plant Materials and Their Antioxidant Potential, 3rd Edition)
Show Figures

Figure 1

21 pages, 1963 KB  
Article
Juniperus communis L. Needle Extract Modulates Oxidative and Inflammatory Pathways in an Experimental Model of Acute Inflammation
by Dinu Bolunduț, Alina Elena Pârvu, Andra Diana Cecan, Anca Elena But, Florica Ranga, Marcel Pârvu, Iulia Ioana Morar and Ciprian Ovidiu Dalai
Molecules 2026, 31(2), 247; https://doi.org/10.3390/molecules31020247 - 11 Jan 2026
Viewed by 280
Abstract
Juniperus communis L. is a conifer widely used in traditional European medicine for the management of inflammatory disorders. However, its effects on oxidative stress and inflammation remain incompletely characterized. The present study investigated the antioxidant and anti-inflammatory potential of an ethanolic needle extract [...] Read more.
Juniperus communis L. is a conifer widely used in traditional European medicine for the management of inflammatory disorders. However, its effects on oxidative stress and inflammation remain incompletely characterized. The present study investigated the antioxidant and anti-inflammatory potential of an ethanolic needle extract of J. communis using in vitro assays and an in vivo model of acute inflammation induced by turpentine oil in rats. Phytochemical profiling by HPLC–DAD–ESI–MS revealed a polyphenol-rich extract dominated by flavonols, flavanols, and hydroxybenzoic acids, with quercetin derivatives and taxifolin as major constituents. In vitro analyses demonstrated radical-scavenging and reducing capacities, exceeding or comparable to reference antioxidants in DPPH, hydrogen peroxide, ferric-reducing, and nitric oxide scavenging assays. In vivo, both therapeutic and prophylactic administration of the extract significantly attenuated oxidative and nitrosative stress, as evidenced by reductions in total oxidant status, oxidative stress index, malondialdehyde, advanced oxidation protein products, nitric oxide, 3-nitrotyrosine, and 8-hydroxy-2′-deoxyguanosine, alongside restoration of total antioxidant capacity and thiol levels. These effects were concentration-dependent. Concomitantly, inflammatory signaling was suppressed, with decreased NF-κB activity and reduced levels of interleukin-1β and interleukin-18. These results support the use of these extracts, whose benefits have been observed in traditional medicine, providing scientific support for the anti-inflammatory and antioxidant capacity of J. communis extract. Full article
Show Figures

Graphical abstract

23 pages, 1157 KB  
Review
Unifying Phytochemistry, Analytics, and Target Prediction to Advance Dendropanax morbifera Bioactive Discovery
by SuHyun Kim, Damhee Lee, Kyujeong Won, Jinseop Lee, Wooseop Lee, Woohyeon Roh and Youngjun Kim
Life 2026, 16(1), 100; https://doi.org/10.3390/life16010100 - 11 Jan 2026
Viewed by 297
Abstract
Dendropanax morbifera (DM; “Hwangchil”) is an evergreen tree native to southern Korea and Jeju Island, traditionally used for detoxification, anti-inflammatory, immunomodulatory, and neuroprotective purposes. Recent studies indicate that DM extracts and their constituents exhibit a broad range of biological activities, including antioxidant, anti-inflammatory, [...] Read more.
Dendropanax morbifera (DM; “Hwangchil”) is an evergreen tree native to southern Korea and Jeju Island, traditionally used for detoxification, anti-inflammatory, immunomodulatory, and neuroprotective purposes. Recent studies indicate that DM extracts and their constituents exhibit a broad range of biological activities, including antioxidant, anti-inflammatory, antimicrobial, anticancer, antidiabetic, hepatoprotective, and neuroprotective effects. Phytochemical investigations have revealed a chemically diverse profile comprising phenolic acids, flavonoids, diterpenoids, triterpenoids—most notably dendropanoxide—and polyacetylenes, with marked variation in compound distribution across plant parts. Despite this progress, translational application remains constrained by the lack of standardized extraction protocols, substantial variability in high-performance liquid chromatography (HPLC) methodologies, and limited mechanistic validation of reported bioactivities. This review proposes an integrated framework that links extraction strategies tailored to compound class and plant part with standardized C18 reverse-phase HPLC conditions to enhance analytical reproducibility. In parallel, in silico target prediction using SwissTargetPrediction is applied as a hypothesis-generating approach to prioritize potential molecular targets for subsequent experimental validation. By emphasizing methodological harmonization, critical evaluation of evidence levels, and systems-level consideration of multi-compound interactions, this review aims to clarify structure–activity relationships, support pharmacokinetic and safety assessment, and facilitate the rational development of DM-derived materials for medical, nutritional, and cosmetic applications. Full article
(This article belongs to the Section Pharmaceutical Science)
Show Figures

Figure 1

Back to TopTop