New Hybrid Pyrazole and Imidazopyrazole Antinflammatory Agents Able to Reduce ROS Production in Different Biological Targets
Abstract
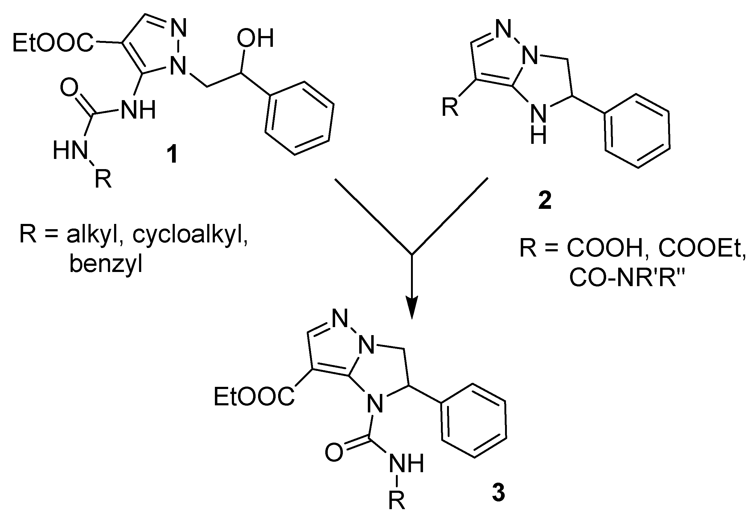
1. Introduction
2. Results and Discussion
2.1. Chemistry
2.2. ROS Production and Aggregation Inhibition Evaluated in Human Platelets in the Presence of Compounds 4a–k and 5a–k
2.3. Structure-Activity Relationships
2.4. Flow Cytometric Evaluation of ROS Production on Human Neutrophils in the Presence of Compounds 4d and 5d
2.5. Enzymatic Assays on PDE4
3. Experimental
3.1. General Information
3.2. Synthesis
3.2.1. General Procedure for 5-amino-1-(2-hydroxy-2-phenylethyl)-1H-pyrazole-4-carbohydrazide (7) and 2-phenyl-2,3-dihydro-1H-imidazo[1,2-b]pyrazole-7-carbohydrazide (12)
3.2.2. Preparation of Ethyl 1-(2-hydroxy-2-phenylethyl)-5-(1H-pyrrol-1-yl)-1H-pyrazole-4-carboxylate (9)
3.2.3. Preparation of 1-(2-hydroxy-2-phenylethyl)-5-(1H-pyrrol-1-yl)-1H-pyrazole-4-carbohydrazide (10)
3.2.4. General Procedure for (E)-5-amino-1-(2-hydroxy-2-phenylethyl)-N′-benzylidene-1H-pyrazole-4-carbohydrazides 4a–k and N′-benzylidene-2-phenyl-2,3-dihydro-1H-imidazo[1,2-b]pyrazole-7-carbohydrazides 5a–j
3.2.5. Preparation of (E)-1-acetyl-N′-(3-(cyclopentyloxy)-4-methoxybenzylidene)-2-phenyl-2,3-dihydro-1H-imidazo[1,2-b]pyrazole-7-carbohydrazide (5k)
3.3. Biological Studies
3.3.1. Material and Methods
3.3.2. Blood Collection and Preparative Procedures
3.3.3. ROS Assay
3.3.4. Platelet Aggregation
3.3.5. Isolation of Human Primary Neutrophils
3.3.6. Flow Cytometric Assessment of Neutrophil Oxidative Metabolism
3.3.7. Enzymatic Assays
4. Conclusions
Supplementary Materials
Author Contributions
Funding
Acknowledgments
Conflicts of Interest
Abbreviations
| AD | Alzheimer’s Disease |
| COPD | Chronic obstructive pulmonary disease |
| fMLP | Formyl-methyl-leucyl-phenylalanine |
| IL-1 | Interleukin 1 |
| IL-8 | Interleukine-8 |
| MS | Multiple Sclerosis |
| p38 MAPK | p38 Mitogen-Activated Protein Kinase |
| PDE4 | Phosphodiesterase type 4 |
| PDE4Is | Phosphodiesterase type 4 Inhibitors |
| PDGF | Platelet derived growth factor |
| ROS | Reactive oxygen species |
| SAR | Structure-activity-relationship |
| TGF | Tumor growth factor |
| TNFα | Tumor necrosis factor alpha |
References
- Morphy, R.; Rankovic, Z. Designed multiple ligands. An emerging drug discovery paradigm. J. Med. Chem. 2005, 48, 6523–6543. [Google Scholar] [CrossRef]
- Keith, C.T.; Borisy, A.A.; Stockwell, B.R. Multicomponent therapeutics for networked system. Nat. Rev. Drug Discov. 2005, 4, 1–7. [Google Scholar] [CrossRef] [PubMed]
- Bruno, O.; Brullo, C.; Bondavalli, F.; Schenone, S.; Ranise, A.; Arduino, N.; Bertolotto, M.B.; Montecucco, F.; Ottonello, L.; Dallegri, F.; et al. Synthesis and biological evaluation of N-pyrazolyl-N’-alkyl/benzyl/phenylureas: A new class of potent inhibitors of interleukin 8-induced neutrophil chemotaxis. J. Med. Chem. 2007, 50, 3618–3626. [Google Scholar] [CrossRef] [PubMed]
- Bruno, O.; Brullo, C.; Bondavalli, F.; Ranise, A.; Schenone, S.; Falzarano, M.S.; Varani, K.; Spisani, S. 2-Phenyl-2,3-dihydro-1H-imidazo[1,2-b]pyrazole derivatives: New potent inhibitors of fMLP-OMe-induced neutrophil chemotaxis. Bioorg. Med. Chem. Lett. 2007, 17, 3696–3701. [Google Scholar] [CrossRef] [PubMed]
- Bruno, O.; Brullo, C.; Bondavalli, F.; Schenone, S.; Spisani, S.; Falzarano, M.S.; Varani, K.; Barocelli, E.; Ballabeni, V.; Giorgio, C.; et al. 1-Methyl and 1-(2-hydroxyalkyl)-5-(3-alkyl/cycloalkyl/phenyl/naphthylureido)-1H-pyrazole-4-carboxylic acid ethyl esters as potent human neutrophil chemotaxis inhibitors. Bioorg. Med. Chem. 2009, 17, 3379–3387. [Google Scholar] [CrossRef]
- Brullo, C.; Spisani, S.; Selvatici, R.; Bruno, O. N-Aryl-2-phenyl-2,3-dihydro-imidazo[1,2-b]pyrazole-1-carboxamides 7-substituted strongly inhibiting both fMLP-OMe- and IL-8-induced human neutrophil chemotaxis. Eur. J. Med. Chem. 2012, 47, 573–579. [Google Scholar] [CrossRef]
- Selvatici, R.; Brullo, C.; Bruno, O.; Spisani, S. Differential inhibition of signaling pathways by two new imidazo-pyrazoles molecules in fMLF-OMe- and IL8-stimulated human neutrophil. Eur. J. Pharm. 2013, 718, 428–434. [Google Scholar] [CrossRef]
- Brullo, C.; Ricciarelli, R.; Prickaerts, J.; Arancio, O.; Massa, M.; Rotolo, C.; Romussi, A.; Rebosio, C.; Marengo, B.; Pronzato, M.A.; et al. New insights into selective PDE4D inhibitors: 3-(Cyclopentyloxy)-4-methoxybenzaldehyde O-(2-(2,6-dimethylmorpholino)-2-oxoethyl) oxime (GEBR-7b) structural development and promising activities to restore memory impairment. Eur. J. Med. Chem. 2016, 124, 82–102. [Google Scholar] [CrossRef] [PubMed]
- Ricciarelli, R.; Brullo, C.; Prickaerts, J.; Arancio, O.; Villa, C.; Rebosio, C.; Calcagno, E.; Balbi, M.; Van Hagen, B.T.J.; Argyrousi, E.K.; et al. Memory-enhancing effects of GEBR-32a, a new PDE4D inhibitor holding promise for the treatment of Alzheimer’s disease. Sc. Rep. 2017, 7, 46320. [Google Scholar] [CrossRef]
- Bruno, O.; Fedele, E.; Prickaerts, J.; Parker, L.A.; Canepa, E.; Brullo, C.; Cavallero, V.; Gardella, E.; Balbi, A.; Domenicotti, C.; et al. GEBR-7b, a novel PDE4D selective inhibitor that improves memory in rodents at non-emetic doses. Br. J. Pharmacol. 2011, 164, 2054–2063. [Google Scholar] [CrossRef]
- Schafer, P.H.; Parton, A.; Capone, L.; Cedzik, D.; Evans, J.F.; Man, H.V.; Muller, G.W.; Stirling, D.I.; Chopra, L. Apremilast is a selective PDE4 inhibitor with regulatory effects on innate immunity. Cell. Signal. 2014, 26, 2016–2029. [Google Scholar] [CrossRef] [PubMed]
- Puhan, M. Phosphodiesterase 4 inhibitors for chronic obstructive pulmonary disease. Cochrane Database Syst. Rev. 2011, 8, ED000028. [Google Scholar]
- Rabe, K.F.; Bateman, E.D.; O’Donnell, D.; Witte, S.; Bredenbröker, D.; Bethke, T.D. Roflumilast-an oral anti-inflammatory treatment for chronic obstructive pulmonary disease: A randomised controlled trial. Lancet 2005, 366, 563–571. [Google Scholar] [CrossRef]
- Wang, C.; Wang, Z.; Li, M.; Li, C.; Yu, H.; Zhou, D.; Chen, Z. Reducing neuroinflammation in psychiatric disorders: Novel target of phosphodiesterase 4 (PDE4) and developing of the PDE4 inhibitors. Mech. Neuroinflamm. 2017, 3–23. [Google Scholar]
- Bruno, O.; Brullo, C.; Arduino, N.; Schenone, S.; Ranise, A.; Bondavalli, F.; Ottonello, L.; Dapino, P.; Dallegri, F. Synthesis and biological evaluation of neutrophilic inflammation inhibitors. Il Farmaco 2004, 59, 223–235. [Google Scholar] [CrossRef] [PubMed]
- Kümmerle, A.E.; Schmitt, M.; Cardozo, S.V.; Lugnier, C.; Villa, P.; Lopes, A.B.; Romeiro, N.C.; Justiniano, H.; Martins, M.A.; Fraga, C.A.; et al. Design, synthesis, and pharmacological evaluation of N-acylhydrazones and novel conformationally constrained compounds as selective and potent orally active phosphodiesterase-4 inhibitors. J. Med. Chem. 2012, 55, 7525–7545. [Google Scholar] [CrossRef] [PubMed]
- Hansson, G.K.; Libby, P.; Tabas, I. Inflammation and plaque vulnerability. J. Intern. Med. 2015, 278, 483–493. [Google Scholar] [CrossRef]
- Maritim, A.C.; Sanders, R.A.; Watkins, J.B. Diabetes, oxidative stress, and antioxidants. J. Biochem. Mol. Toxicol. 2003, 17, 24–38. [Google Scholar] [CrossRef]
- Chen, X.; Guo, C.; Kong, J. Oxidative stress in neurodegenerative diseases. Neural. Regen. Res. 2012, 7, 376–385. [Google Scholar]
- Haigis, M.C.; Yankner, B.A. The aging stress response. Mol. Cell 2010, 40, 333–344. [Google Scholar] [CrossRef]
- Marivet, M.C.; Bourguignon, J.J.; Lugnier, C.; Mann, A.; Stoclet, J.C.; Wermuth, C.G. Inhibition of Cyclic adenosine-3’,5’-monophosphate Phosphodiesterase From Vascular Smooth Muscle by Rolipram Analogues. J. Med. Chem. 1989, 32, 1450–1457. [Google Scholar] [CrossRef] [PubMed]
- Leoncini, G.; Maresca, M.; Colao, C. Oxidative metabolism of human platelets. Biochem. Int. 1991, 25, 647–655. [Google Scholar] [PubMed]
- Maresca, M.; Colao, C.; Leoncini, G. Generation of hydrogen peroxide in resting and activated platelets. Cell Biochem. Funct. 1992, 10, 79–85. [Google Scholar] [CrossRef] [PubMed]
- Friestad, G.K. Chiral N’-Acylhydrazones: Versatile Imino Acceptors for Asymmetric Amine Synthesis. Eur. J. Org. Chem. 2005, 15, 3157–3172. [Google Scholar] [CrossRef]
- Kumar, P.; Kadyan, K.; Duhan, M.; Sindhu, J.; Singh, V.; Saharan, B.S. Design, synthesis, conformational and molecular docking study of some novel acyl hydrazone based molecular hybrids as antimalarial and antimicrobial agents. Chem. Centr. J. 2017, 11, 115. [Google Scholar] [CrossRef]
- Syakaev, V.; Podyachev, S.N.; Buzykin, B.I.; Syakaeva, V.V.; Podyacheva, S.N.; Buzykina, B.I.; Latypova, S.K.; Habicherb, W.D.; Konovalova, A.I. NMR study of conformation and isomerization of aryl- and hetero arylaldehyde 4-tert-butylphenoxyacetylhydrazones. J. Mol. Struct. 2006, 788, 55–62. [Google Scholar] [CrossRef]
- Hamzi, I.; Barhoumi-Slimi, T.M.; Abidi, R. Synthesis, characterization, and conformational study of acylhydrazones of α-β unsaturated aldehydes. Heteroat. Chem. 2016, 27, 139–148. [Google Scholar] [CrossRef]
- Angelusiu, M.V.; Barbuceanu, S.F.; Draghici, C.; Almajan, G.L. New Cu(II), Co(II), Ni(II) complexes with aroyl-hydrazone based ligand. Synthesis, spectroscopic characterization and in vitro antibacterial evaluation. Eur. J. Med. Chem. 2010, 45, 2055–2062. [Google Scholar] [CrossRef]
- Stadler, A.M.; Harrowfeld, J. Bis-acyl-aroyl-hydrazones as multidentate ligands. Inorg. Chim. Acta 2009, 362, 4298–4314. [Google Scholar] [CrossRef]
- Onnis, V.; Cocco, M.T.; Fadda, R.; Congiu, C. Synthesis and evaluation of anticancer activity of 2-arylamino-6-trifuoromethyl- 3-(hydrazonocarbonyl)pyridines. Bioorg. Med. Chem. 2009, 17, 6158–6165. [Google Scholar] [CrossRef]
- Hernández-Vázqueza, E.; Castañeda-Arriaga, R.; Ramírez-Espinosad, J.; Medina-Campos, O.N.; Hernández-Luis, F.; Chaverri, J.P.; Estrada-Soto, S. 1,5-Diarylpyrazole and vanillin hybrids: Synthesis, biological activity and DFT studies. Eur. J. Med. Chem. 2015, 100, 106–118. [Google Scholar] [CrossRef] [PubMed]
- Van Dijken, D.J.; Kovaříček, P.; Ihrig, S.P.; Hecht, S. Acylhydrazones as Widely Tunable Photoswitches. J. Am. Chem. Soc. 2015, 137, 14982–14999. [Google Scholar] [CrossRef] [PubMed]
- Bondavalli, F.; Botta, M.; Bruno, O.; Ciacci, A.; Corelli, F.; Fossa, P.; Lucacchini, A.; Manetti, F.; Martini, C.; Menozzi, G.; et al. Synthesis, molecular modeling studies, and pharmacological activity of selective A(1) receptor antagonists. J. Med. Chem. 2002, 45, 4875–4887. [Google Scholar] [CrossRef] [PubMed]
- Brullo, C.; Massa, M.; Villa, C.; Ricciarelli, R.; Rivera, D.; Pronzato, M.A.; Fedele, E.; Barocelli, E.; Bertoni, S.; Flammini, L.; et al. Synthesis, biological activities and pharmacokinetic properties of new fluorinated derivatives of selective PDE4D inhibitors. Bioorg. Med. Chem. 2015, 23, 3426–3435. [Google Scholar] [CrossRef]
- Crowder, J.R.; Glover, E.E.; Grundon, M.F.; Kaempfen, H.X. Bisbenzylisoquinolines. Part IV. The preparation of diaryl ethers from diaryliodonium salts. J. Chem. Soc. 1963, 4578–4585. [Google Scholar] [CrossRef]
- Ashton, M.J.; Cook, D.C.; Fenton, G.; Karlsson, J.A.; Palfreyman, M.N.; Raeburn, D.; Ratcliffe, A.J.; Souness, J.E.; Thurairatnam, S.; Vicker, N. Selective type IV phosphodiesterase inhibitors as antiasthmatic agents. The synthesis and biological activities of 3-(cyclopentyloxy)-4-methoxybenzamides and analogues. J. Med. Chem 1994, 37, 1696–1703. [Google Scholar] [CrossRef]
- Raffaghello, L.; Bianchi, G.; Bertolotto, M.B.; Montecucco, F.; Busca, A.; Dallegri, F.; Ottonello, L.; Pistoia, V. Human mesenchymal stem cells inhibit neutrophil apoptosis: A model for neutrophil preservation in the bone narrow niche. Stem Cells 2008, 26, 151–162. [Google Scholar] [CrossRef]
- Verzola, D.; Bertolotto, M.B.; Villaggio, B.; Ottonello, L.; Dallegri, F.; Frumento, G.; Berruti, V.; Gandolfo, M.T.; Garibotto, G.; Deferrari, G. Taurine prevents apoptosis induced by high glucose in human tubule renal cells. J. Investig. Med. 2002, 50, 443–451. [Google Scholar] [CrossRef]
- Born, G.V.R. Aggregation of blood platelets by adenosine diphosphate and its reversal. Nature 1962, 194, 927–929. [Google Scholar] [CrossRef]
- Bertolotto, M.; Contini, P.; Ottonello, L.; Pende, A.; Dallegri, F.; Montecucco, F. Neutrophil migration towards C5a and CXCL8 is abrogated by non-steroidal anti-inflammatory drugs (NSAIDs) via the inhibition of different pathways. Br. J. Pharmacol. 2014, 171, 3376–3393. [Google Scholar] [CrossRef]
- Bass, D.A.; Parce, J.W.; Dechatelet, L.R.; Szejda, P.; Seeds, M.C.; Thomas, M. Flow cytometric studies of oxidative product formation by neutrophils: A graded response to membrane stimulation. J. Immunol. 1983, 130, 1910–1917. [Google Scholar] [PubMed]
- Ghio, M.; Ottonello, L.; Contini, P.; Amelotti, M.; Mazzei, C.; Indiveri, F.; Puppo, F.; Dallegri, F. Transforming growth factor-β1 in supernatants from stored red blood cells inhibits neutrophil locomotion. Blood 2003, 102, 1100–1107. [Google Scholar] [CrossRef] [PubMed]
- Saldou, N.; Obernolte, R.; Huber, A.; Badcker, P.A.; Wilhelm, R.; Alvarez, R.; Li, B.; Xia, L.; Callan, O.; Su, C.; et al. Comparison of recombinant human PDE4 isoforms: Interaction with substrate and inhibitors. Cell. Signal. 1998, 10, 427–440. [Google Scholar] [CrossRef]
Sample Availability: Samples of the compounds are available from the authors. |





| Comp. | R | R1 | R2 | R3 | R4 |
|---|---|---|---|---|---|
| 4a, 8a | H | O-CH3 | O-CHF2 | H | NH2 |
| 4b, 8b | O-cyclopentyl | O-CH3 | H | H | NH2 |
| 4c, 8c | H | O-CH(CH3)CH2CH3 | O-CH3 | H | NH2 |
| 4d, 8d | H | O-cyclopentyl | O-CH3 | H | NH2 |
| 4e, 8e | H | O-cyclopentyl | O-CHF2 | H | NH2 |
| 4f, 8f | H | O-C6H5 | O-CHF2 | H | NH2 |
| 4g, 8g | H | O-CH2C6H5 | O-CHF2 | H | NH2 |
| 4h, 8h | H | O-CH3 | O-CH3 | O-CH3 | NH2 |
| 4i, 8i | O-C6H5 | O-CH3 | H | H | NH2 |
| 4j, 8j | O-CH2C6H5 | O-CH3 | H | H | NH2 |
| 4k, 8d | H | O-cyclopentyl | O-CH3 | H | 1-pyrrolyl |
| 5a, 8k | H | O-CH3 | O-CH3 | H | H |
| 5b, 8b | O-cyclopentyl | O-CH3 | H | H | H |
| 5c, 8c | H | O-CH(CH3)CH2CH3 | O-CH3 | H | H |
| 5d, 8d | H | O-cyclopentyl | O-CH3 | H | H |
| 5e, 8e | H | O-cyclopentyl | O-CHF2 | H | H |
| 5f, 8l | H | O-cyclohexyl | O-CH3 | H | H |
| 5g, 8m | H | O-CH2-O | H | H | |
| 5h, 8h | H | O-CH3 | O-CH3 | O-CH3 | H |
| 5i, 8i | O-C6H5 | O-CH3 | H | H | H |
| 5j, 8j | O-CH2C6H5 | O-CH3 | H | H | H |
| 5k, 8d | H | O-cyclopentyl | O-CH3 | COCH3 | |
| Compd. | Aggregation Inhibition IC50 (µΜ) | ROS production Inhibition IC50 (µM) |
|---|---|---|
| 4a | 7.6 ± 0.5 | 10.1 ± 2.1 |
| 4b | 64 ± 2.5 | 20.5 ± 2.5 |
| 4c | 57.1 ± 1.6 | 16.7 ± 1.1 |
| 4d | 29.8 ± 3.7 | 38.3 ± 2.8 |
| 4e | 29.4 ± 4.4 | 32.8 ± 2.8 |
| 4f | 9.8 ± 1.7 | 8.6 ± 2.2 |
| 4g | 11.0 ± 1.2 | 9.5 ± 2.6 |
| 4h | >200 | >200 |
| 4i | >200 | >200 |
| 4j | >200 | >200 |
| 4k | 86.1 ± 7.8 | 92.7 ± 5.8 |
| 5a | 31.5 ± 5.2 | 37.2 ± 2.5 |
| 5b | 59.1 ± 5.5 | 66.7 ± 5.7 |
| 5c | 70.9 ± 4.0 | 71.4 ± 6.0 |
| 5d | 71.0 ± 6.8 | 70.6 ± 7.4 |
| 5e | 70.5 ± 8.0 | 78.8 ± 5.6 |
| 5f | 61.6 ± 6.5 | 59.9 ± 5.7 |
| 5g | 67.0 ± 6.6 | 77.9 ± 7.1 |
| 5h | >200 | >200 |
| 5i | >200 | >200 |
| 5j | >200 | >200 |
| 5k | >200 | >200 |
© 2020 by the authors. Licensee MDPI, Basel, Switzerland. This article is an open access article distributed under the terms and conditions of the Creative Commons Attribution (CC BY) license (http://creativecommons.org/licenses/by/4.0/).
Share and Cite
Brullo, C.; Massa, M.; Rapetti, F.; Alfei, S.; Bertolotto, M.B.; Montecucco, F.; Signorello, M.G.; Bruno, O. New Hybrid Pyrazole and Imidazopyrazole Antinflammatory Agents Able to Reduce ROS Production in Different Biological Targets. Molecules 2020, 25, 899. https://doi.org/10.3390/molecules25040899
Brullo C, Massa M, Rapetti F, Alfei S, Bertolotto MB, Montecucco F, Signorello MG, Bruno O. New Hybrid Pyrazole and Imidazopyrazole Antinflammatory Agents Able to Reduce ROS Production in Different Biological Targets. Molecules. 2020; 25(4):899. https://doi.org/10.3390/molecules25040899
Chicago/Turabian StyleBrullo, Chiara, Matteo Massa, Federica Rapetti, Silvana Alfei, Maria B. Bertolotto, Fabrizio Montecucco, Maria Grazia Signorello, and Olga Bruno. 2020. "New Hybrid Pyrazole and Imidazopyrazole Antinflammatory Agents Able to Reduce ROS Production in Different Biological Targets" Molecules 25, no. 4: 899. https://doi.org/10.3390/molecules25040899
APA StyleBrullo, C., Massa, M., Rapetti, F., Alfei, S., Bertolotto, M. B., Montecucco, F., Signorello, M. G., & Bruno, O. (2020). New Hybrid Pyrazole and Imidazopyrazole Antinflammatory Agents Able to Reduce ROS Production in Different Biological Targets. Molecules, 25(4), 899. https://doi.org/10.3390/molecules25040899

