Thermal Conductivity of Defective Graphene Oxide: A Molecular Dynamic Study
Abstract
1. Introduction
2. Model and Methodology
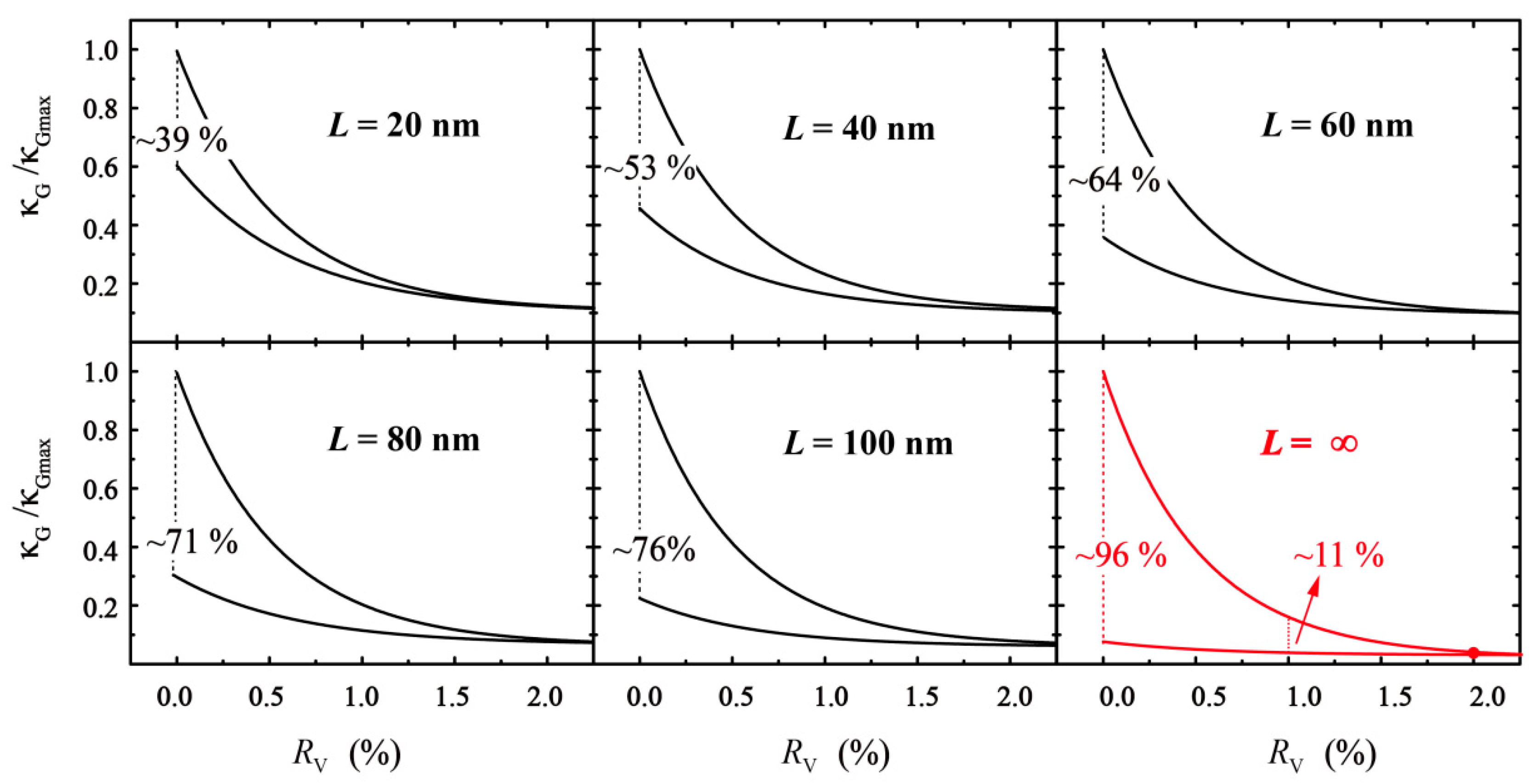
3. Result and Discussion
4. Conclusions
Author Contributions
Funding
Conflicts of Interest
References
- Yanwu, Z.; Shanthi, M.; Weiwei, C.; Xuesong, L.; Won, S.J.; Potts, J.R.; Ruoff, R.S. Graphene and graphene oxide: Synthesis, properties, and applications. Cheminform 2010, 22, 3906–3924. [Google Scholar]
- Stankovich, S.; Dikin, D.A.; Dommett, G.H.; Kohlhaas, K.M.; Zimney, E.J.; Stach, E.A.; Piner, R.D.; Nguyen, S.T.; Ruoff, R.S. Graphene-based composite materials. Nature 1990, 442, 282. [Google Scholar] [CrossRef] [PubMed]
- Goki, E.; Giovanni, F.; Manish, C. Large-area ultrathin films of reduced graphene oxide as a transparent and flexible electronic material. Nat. Nanotechnol. 2008, 3, 270–274. [Google Scholar]
- Choi, J.; Tu, N.D.K.; Lee, S.S.; Lee, H.; Jin, S.K.; Kim, H. Controlled oxidation level of reduced graphene oxides and its effect on thermoelectric properties. Macromol. Res. 2014, 22, 1104–1108. [Google Scholar] [CrossRef]
- Tian, L.; Pickel, A.D.; Yao, Y.; Chen, Y.; Zeng, Y.; Lacey, S.D.; Li, Y.; Wang, Y.; Dai, J.; Wang, Y. Thermoelectric properties and performance of flexible reduced graphene oxide films up to 3000 K. Nat. Energy 2018, 3, 148–156. [Google Scholar]
- Balandin, A.A.; Ghosh, S.; Bao, W.; Calizo, I.; Teweldebrhan, D.; Miao, F.; Lau, C.N. Superior thermal conductivity of single-layer graphene. Nano Lett. 2008, 8, 902. [Google Scholar] [CrossRef]
- Zhang, C.; Dabbs, D.M.; Liu, L.M.; Aksay, I.A.; Car, R.; Selloni, A. Combined effects of functional groups, lattice defects, and edges in the infrared spectra of graphene oxide. J. Phys. Chem. C 2015, 119, 150720175209001. [Google Scholar] [CrossRef]
- Nekahi, A.; Marashi, S.P.H.; Fatmesari, D.H. Modified structure of graphene oxide by investigation of structure evolution. Bull. Mater. Sci. 2015, 38, 1717–1722. [Google Scholar] [CrossRef]
- Baek, S.J.; Hong, W.G.; Min, P.; Kaiser, A.B.; Kim, H.J.; Kim, B.H.; Park, Y.W. The effect of oxygen functional groups on the electrical transport behavior of a single piece multi-layered graphene oxide. Synth. Met. 2014, 191, 1–5. [Google Scholar] [CrossRef]
- Nika, D.L.; Balandin, A.A. Phonons and thermal transport in graphene and graphene-based materials. Rep. Prog. Phys. 2016, 80, 036502. [Google Scholar] [CrossRef]
- Lin, S.; Buehler, M.J. Thermal transport in monolayer graphene oxide: Atomistic insights into phonon engineering through surface chemistry. Carbon 2014, 77, 351–359. [Google Scholar] [CrossRef]
- Mu, X.; Wu, X.; Zhang, T.; Go, D.B.; Luo, T. Thermal transport in graphene oxide-from ballistic extreme to amorphous limit. Sci. Rep. 2014, 4, 3909. [Google Scholar] [CrossRef]
- Timo, S.; Burg, B.R.; Schirmer, N.C.; Dimos, P. An electrical method for the measurement of the thermal and electrical conductivity of reduced graphene oxide nanostructures. Nanotechnology 2009, 20, 405704. [Google Scholar]
- Mahanta, N.K.; Abramson, A.R. Thermal conductivity of graphene and graphene oxide nanoplatelets. Therm. Thermomechanic. Phenom. Electron. Syst. 2012. [Google Scholar] [CrossRef]
- Zhang, H.; Fonseca, A.F.; Cho, K. Tailoring thermal transport property of graphene through oxygen functionalization. J. Phys. Chem. C 2015, 118, 1436–1442. [Google Scholar] [CrossRef]
- Kargar, F.; Barani, Z.; Lewis, J.S.; Debnath, B.; Balandin, A.A. Thermal percolation threshold and thermal properties of composites with graphene and boron nitride fillers. ACS Appl. Mater. Interfaces 2018, 10, 37555–37565. [Google Scholar] [CrossRef] [PubMed]
- Chang, C.W.; Okawa, D.; Majumdar, A.; Zettl, A. Solid-state thermal rectifier. Science 2006, 314, 1121–1124. [Google Scholar] [CrossRef]
- Baowen, L.; Lei, W.; Giulio, C. Thermal diode: Rectification of heat flux. Phys. Rev. Lett. 2004, 93, 184301. [Google Scholar]
- Hu, J.; Ruan, X.; Chen, Y.P. Thermal conductivity and thermal rectification in graphene nanoribbons: A molecular dynamics study. Nano Lett. 2009, 9, 2730. [Google Scholar] [CrossRef]
- Wang, W.; Zhang, Q.; Li, J.; Liu, X.; Wang, L.; Zhu, J.; Luo, W.; Jiang, W. An efficient thermoelectric material: Preparation of reduced graphene oxide/polyaniline hybrid composites by cryogenic grinding. Rsc Adv. 2015, 5, 8988–8995. [Google Scholar] [CrossRef]
- Renteria, J.D.; Ramirez, S.; Malekpour, H.; Alonso, B.; Centeno, A.; Zurutuza, A.; Cocemasov, A.I.; Nika, D.L.; Balandin, A.A. Anisotropy of thermal conductivity of free-standing reduced graphene oxide films annealed at high temperature. Adv. Funct. Mater. 2015, 25, 4664–4672. [Google Scholar] [CrossRef]
- Zhao, W.; Wang, Y.; Wu, Z.; Wang, W.; Bi, K.; Liang, Z.; Yang, J.; Chen, Y.; Xu, Z.; Ni, Z. Defect-engineered heat transport in graphene: A route to high efficient thermal rectification. Sci. Rep. 2015, 5, 11962. [Google Scholar] [CrossRef] [PubMed]
- Sheng, C.; Zhang, Y.; Huang, Q.; Hao, W.; Wang, G. Effects of vacancy defects on graphene nanoribbon field effect transistor. Micro Nano Lett. 2013, 8, 816–821. [Google Scholar]
- He, H.; Klinowski, J.; Forster, M.; Lerf, A. A new structural model for graphite oxide. Chem. Phys. Lett. 1998, 287, 53–56. [Google Scholar] [CrossRef]
- Kimberly, C.; Duin, A.C.T.; van Goddard, W.A. ReaxFF reactive force field for molecular dynamics simulations of hydrocarbon oxidation. J. Phys. Chem. A 2008, 112, 1040–1053. [Google Scholar]
- Medhekar, N.V.; Ashwin, R.; Ruoff, R.S.; Shenoy, V.B. Hydrogen bond networks in graphene oxide composite paper: Structure and mechanical properties. ACS Nano 2010, 4, 2300–2306. [Google Scholar] [CrossRef] [PubMed]
- Plimpton, S. Fast parallel algorithms for short-range molecular dynamics. J. Comput. Phys. 1995, 117, 1–19. [Google Scholar] [CrossRef]
- Jorgensen, W.L.; Maxwell, D.S.; Tirado-Rives, J. Development and testing of the OPLS All-Atom force field on conformational energetics and properties of organic liquids. J. Am. Chem. Soc. 1996, 118, 11225–11236. [Google Scholar] [CrossRef]
- Wei, N.; Lv, C.; Xu, Z. Wetting of graphene oxide: A molecular dynamics study. Langmuir Acs J. Surf. Colloids 2014, 30, 3572. [Google Scholar] [CrossRef] [PubMed]
- Cao, J.; Cai, K. Thermal expansion producing easier formation of a black phosphorus nanotube from nanoribbon on carbon nanotube. Nanotechnology 2017, 29. [Google Scholar] [CrossRef]
- Hockney, R.W.; Eastwood, J.W. Computer Simulation Using Particles; Taylor & Francis, Inc.: Milton Park, UK, 1988. [Google Scholar]
- Müllerplathe, F. A simple nonequilibrium molecular dynamics method for calculating the thermal conductivity. J. Chem. Phys. 1997, 106, 6082–6085. [Google Scholar] [CrossRef]
- Zhang, Y.Y.; Pei, Q.X.; Jiang, J.W.; Wei, N.; Zhang, Y.W. Thermal conductivities of single-and multi-layer phosphorene: A molecular dynamics study. Nanoscale 2015, 8, 483–491. [Google Scholar] [CrossRef]
- Malekpour, H.; Ramnani, P.; Srinivasan, S.; Balasubramanian, G.; Nika, D.L.; Mulchandani, A.; Lake, R.K.; Balandin, A.A. Thermal conductivity of graphene with defects induced by electron beam irradiation. Nanoscale 2016, 8, 14608–14616. [Google Scholar] [CrossRef]
- Malekpour, H.; Balandin, A.A.; Malekpour, H.; Balandin, A.A. Raman-based technique for measuring thermal conductivity of graphene and related materials: Thermal conductivity of graphene and related materials. J. Raman Spectrosc. 2018, 49, 106–120. [Google Scholar] [CrossRef]
- Yang, L.; Chen, J.; Yang, N.; Baowen, L. Significant reduction of graphene thermal conductivity by phononic crystal structure. Int. J. Heat Mass Transf. 2015, 91, 428–432. [Google Scholar] [CrossRef]
- Wei, N.; Chen, Y.; Cai, K.; Zhao, J.; Wang, H.-Q.; Zheng, J.-C. Thermal conductivity of graphene kirigami: Ultralow and strain robustness. Carbon 2016, 104, 203–213. [Google Scholar] [CrossRef]
Sample Availability: Samples of the compounds are available from the authors. |









| Type | Fitting Functions | MFP of Phonon |
|---|---|---|
| 27.44 nm | ||
| 8.57 nm | ||
| 2.14 nm | ||
| 0.29 nm |
© 2019 by the authors. Licensee MDPI, Basel, Switzerland. This article is an open access article distributed under the terms and conditions of the Creative Commons Attribution (CC BY) license (http://creativecommons.org/licenses/by/4.0/).
Share and Cite
Yang, Y.; Cao, J.; Wei, N.; Meng, D.; Wang, L.; Ren, G.; Yan, R.; Zhang, N. Thermal Conductivity of Defective Graphene Oxide: A Molecular Dynamic Study. Molecules 2019, 24, 1103. https://doi.org/10.3390/molecules24061103
Yang Y, Cao J, Wei N, Meng D, Wang L, Ren G, Yan R, Zhang N. Thermal Conductivity of Defective Graphene Oxide: A Molecular Dynamic Study. Molecules. 2019; 24(6):1103. https://doi.org/10.3390/molecules24061103
Chicago/Turabian StyleYang, Yi, Jing Cao, Ning Wei, Donghui Meng, Lina Wang, Guohua Ren, Rongxin Yan, and Ning Zhang. 2019. "Thermal Conductivity of Defective Graphene Oxide: A Molecular Dynamic Study" Molecules 24, no. 6: 1103. https://doi.org/10.3390/molecules24061103
APA StyleYang, Y., Cao, J., Wei, N., Meng, D., Wang, L., Ren, G., Yan, R., & Zhang, N. (2019). Thermal Conductivity of Defective Graphene Oxide: A Molecular Dynamic Study. Molecules, 24(6), 1103. https://doi.org/10.3390/molecules24061103

