A Simple, Efficient, and Eco-Friendly Method for the Preparation of 3-Substituted-2,3-dihydroquinazolin-4(1H)-one Derivatives
Abstract
1. Introduction
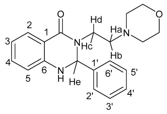
2. Results and Discussion
3. Materials and Methods
3.1. General Method for the Synthesis of 2-amino-N-(2-substituted-ethyl)benzamide
3.2. General Method for the Synthesis of 3-substituted-2,3-dihydroquinazolin-4(1H)-one Derivatives
3.3. X-Ray Measurements
4. Conclusions
Supplementary Materials
Author Contributions
Funding
Acknowledgments
Conflicts of Interest
References
- Malamas, M.S.; Millen, J. Quinazolineacetic acids and related analogs as aldose reductase inhibitors. J. Med. Chem. 1991, 34, 1492–1503. [Google Scholar] [CrossRef] [PubMed]
- Cao, S.-L.; Feng, Y.-P.; Jiang, Y.-Y.; Liu, S.-Y.; Ding, G.-Y.; Li, R.-T. Synthesis and in vitro antitumor activity of 4(3H)-quinazolinone derivatives with dithiocarbamate side chains. Bioorg. Med. Chem. Lett. 2005, 15, 1915–1917. [Google Scholar] [CrossRef] [PubMed]
- Chern, J.W.; Tao, P.L.; Wang, K.C.; Gutcait, A.; Liu, S.W.; Yen, M.H.; Chien, S.L.; Rong, J.K. Studies on quinazolines and 1,2,4-benzothiadiazine 1,1-dioxides. Synthesis and pharmacological evaluation of tricyclic fused quinazolines and 1,2,4-benzothiadiazine 1,1-dioxides as potential α1-Adrenoceptor Antagonists. J. Med. Chem. 1998, 41, 3128–3141. [Google Scholar] [CrossRef] [PubMed]
- Wolfe, J.F.; Rathman, T.L.; Sleevi, M.C.; Campbell, J.A.; Greenwood, T.D. Synthesis and anticonvulsant activity of some new 2-substituted 3-aryl-4(3H)-quinazolinones. J. Med. Chem. 1990, 33, 161–166. [Google Scholar] [CrossRef]
- Kung, P.-P.; Casper, M.D.; Cook, K.L.; Wilson-Lingardo, L.; Risen, L.M.; Vickers, T.A.; Ranken, R.; Blyn, L.B.; Wyatt, J.R.; Cook, P.D.; et al. Structure-activity relationships of novel 2-substituted quinazoline antibacterial agents. J. Med. Chem. 1999, 42, 4705–4713. [Google Scholar] [CrossRef]
- Rorsch, F.; Buscato, E.; Deckmann, K.; Schneider, G.; Zsilavecz, M.S.; Geisslinger, G.; Proschak, E.; Grosch, S. Structure–activity relationship of nonacidic quinazolinone inhibitors of human microsomal prostaglandin aynthase 1 (mPGES 1). J. Med. Chem. 2012, 55, 3792–3803. [Google Scholar] [CrossRef]
- Mustazza, C.; Borioni, A.; Sestili, I.; Sbraccia, M.; Rodomonte, A.; Ferretti, R.; Del Giudice, M.R. Synthesis and Evaluation as NOP Ligands of Some Spiro[piperidine-4,2′(1′H)-quinazolin]-4′(3′H)-ones and Spiro[piperidine-4,5′(6′H)-[1,2,4]triazolo[1,5-c]quinazolines]. Chem. Pharm. Bull. 2006, 54, 611–622. [Google Scholar] [CrossRef]
- Badolato, M.; Aiello, F.; Neamati, N. 2,3-Dihydroquinazolin-4(1H)-one as a privileged scaffold in drug design. RSC Adv. 2018, 8, 20894–20921. [Google Scholar] [CrossRef]
- Lee, S.H.; Son, J.-K.; Jeong, B.S.; Jeong, T.-C.; Chang, H.W.; Lee, E.-S.; Jahng, Y. Progress in the Studies on Rutaecarpine. Molcules 2008, 13, 272–300. [Google Scholar] [CrossRef]
- Jaganmohan, C.; Kumar, V.; Reddy, G.S.; Mohanty, S.; Kumar, J.; Rao, B.V.; Krishnaji, T.; Raghunadh, A. De novo synthesis of 2,2-bis(dimethylamino)-3- alkyl or benzyl 2,3-dihydroquinazolin-4(1H)-one compounds. Synth. Commun. 2018, 48, 168–174. [Google Scholar] [CrossRef]
- Murthy, V.N.; Nikumbh, S.P.; Kumar, S.P.; Chiranjeevi, Y.; Rao, L.V.; Raghunadh, A. A Simple Approach for the Synthesis of Fused Quinazoline-Based Tetracyclic Compounds via a Multicomponent Reaction Strategy. Synlett 2016, 27, 2362–2367. [Google Scholar]
- Azimi, S.B.; Azizian, J. ChemInform Abstract: Reaction of Benzyl Alcohols, Isatoic Anhydride, and Primary Amines Mediated by I2/K2CO3in Water: A New and Green Approach for the Synthesis of 2,3-Dihydroquinazolin-4(1H)-ones. Tetrahedron Lett. 2016, 47, 181–184. [Google Scholar] [CrossRef]
- Zhang, J.; Zhao, J.; Wang, L.; Liu, J.; Ren, D.; Ma, Y. ChemInform Abstract: Design, Synthesis and Docking Studies of Some Spiro-Oxindole Dihydroquinazolinones as Antibacterial Agents. Tetrahedron 2016, 72, 936–943. [Google Scholar] [CrossRef]
- Tamaddon, F.; Taghi, M.; Varnamkhasti, K. Self-Assembled Nanoliposomes of Phosphatidylcholine: Bridging the Gap between Organic and Aqueous Media for a Green Synthesis of Hydroquinazolinones. Synlett 2016, 27, 2510–2514. [Google Scholar] [CrossRef]
- Madhubabu, M.; Shankar, R.; Reddy, G.R.; Rao, T.S.; Rao, M.V.B.; Akula, R. Metal–Catalyst-Free Green and efficient synthesis of five and six membered fused N-heterocyclic quinazoline derivatives. Tetrahedron Lett. 2016, 57, 5033–5037. [Google Scholar] [CrossRef]
- Yang, J.; Sun, S.; Zhang, B.; Zhang, J.; Gu, Y. 2-Alkoxy-3,4-dihydropyrans as modular substrates to construct polyheterocycles by reacting with NH2-containing bisnucleophiles. Tetrahedron 2014, 70, 9214–9223. [Google Scholar] [CrossRef]
- Sun, S.; Cheng, C.; Yang, J.; Taheri, A.; Jiang, D.; Zhang, B.; Gu, Y. Synthesis of Tetrahydropyridine Derivatives through a Modular Assembly Reaction Using 3,4-Dihydropyran as Dual Substrate and Template. Org. Lett. 2014, 16, 4520–4523. [Google Scholar] [CrossRef]
- Murthy, P.V.; Rambabu, D.; Krishna, G.R.; Reddy, C.M.; Prasad, K.; Rao, M.B.; Pal, M. Amberlyst-15 mediated synthesis of 2-substituted 2,3-dihydroquinazolin-4(1H)-ones and their crystal structure analysis. Tetrahedron Lett. 2012, 53, 863–867. [Google Scholar] [CrossRef]
- Rueping, M.; Antonchick, A.P.; Sugiono, E.; Grenader, K. Asymmetric Brønsted acid catalysis: catalytic enantioselective synthesis of highly biologically active dihydroquinazolinones. Angew. Chem. Int. Ed. 2009, 48, 908–910. [Google Scholar] [CrossRef]
- Yoo, C.L.; Fettinger, J.C.; Kurth, M.J. Stannous Chloride in Alcohol: A One-Pot Conversion of 2-Nitro-N-arylbenzamides to 2,3-Dihydro-1H-quinazoline-4-ones. J. Org. Chem. 2005, 70, 6941–6943. [Google Scholar] [CrossRef]
- Zhou, J.; Fang, J. One-Pot Synthesis of quinazolinones via Iridium-catalyzed hydrogen transfers. J. Org. Chem. 2011, 76, 7730–7736. [Google Scholar] [CrossRef] [PubMed]
- Wang, L.-M.; Hu, L.; Shao, J.-H.; Yu, J.; Zhang, L. A novel catalyst zinc(II) perfluorooctanoate [Zn(PFO)2]-catalyzed three-component one-pot reaction: Synthesis of quinazolinone derivatives in aqueous micellar media. J. Fluor. Chem. 2008, 129, 1139–1145. [Google Scholar] [CrossRef]
- Cai, G.; Xu, X.; Li, Z.; Lu, P.; Weber, W.P. A one-pot synthesis of 2-aryl-2,3-dihydro-4(1H)-quinazolinones by use of samarium iodide. J. Heterocycl. Chem. 2002, 39, 1271–1272. [Google Scholar] [CrossRef]
- Khurana, J.M.; Kumar, S. An efficient, catalyst free synthesis of 3-(2″-benzothiazolyl)-2,3-dihydroquinazolin-4(1 H )-ones in aqueous medium. Green Chem. Lett. Rev. 2011, 4, 321–325. [Google Scholar] [CrossRef][Green Version]
- Bharathi, A.; Roopan, S.M.; Kajbafvala, A.; Padmaja, R.; Darsana, M.; Kumari, G.N. Catalytic activity of TiO2 nanoparticles in the synthesis of some 2,3-disubstituted dihydroquinazolin-4(1H)-ones. Chin. Chem. Lett. 2014, 25, 324–326. [Google Scholar] [CrossRef]
- Bunce, R.A. Nammalwar B 2011 (±)-2-Aryl-2,3-dihydro-4(1H)-quinolinones by a tandem reduction–Michael addition reaction. J. Heterocycl. Chem. 2018, 48, 613–619. [Google Scholar] [CrossRef]
- Kumar, K.S.; Kumar, P.M.; Reddy, M.A.; Ferozuddin, M.; Sreenivasulu, M.; Jafar, A.A.; Krishna, G.R.; Reddy, C.M.; Rambabu, D.; Kumar, K.S.; et al. Yb(OTf)3 catalyzed new cascade reaction: a facile assembly of fused quinazolinones. Chem. Commun. 2011, 47, 10263–10265. [Google Scholar] [CrossRef]
- Chen, B.-H.; Li, J.-T.; Chen, G.-F. Efficient synthesis of 2,3-disubstituted-2,3-dihydroquinazolin-4(1H)-ones catalyzed by dodecylbenzenesulfonic acid in aqueous media under ultrasound irradiation. Ultrason. Sonochem. 2015, 23, 59–65. [Google Scholar] [CrossRef]
- Murthy, V.N.; Nikumbh, S.P.; Tadiparthi, K.; Madhubabu, M.V.; Jammula, S.R.; Rao, L.V.; Raghunadh, A. Amberlite-15 promoted an unprecedented aza Michael rearrangement for one pot synthesis of dihydroquinazolinone compounds. RSC Adv. 2018, 8, 22331–22334. [Google Scholar] [CrossRef]
- Safari, J.; Gandomi-Ravandi, S. Microwave-accelerated three components cyclocondensation in the synthesis of 2,3-dihydroquinazolin-4(1H)-ones promoted by Cu-CNTs. J. Mol. Catal. A Chem. 2013, 371, 135–140. [Google Scholar] [CrossRef]
- Chen, J.; Su, W.; Wu, H.; Liu, M.; Jin, C. Eco-friendly synthesis of 2,3-dihydroquinazolin-4(1H)-ones in ionic liquids or ionic liquid–water without additional catalyst. Green Chem. 2007, 9, 972. [Google Scholar] [CrossRef]
- Ghorbani-Choghamarani, A.; Taghipour, T. Green and One-Pot Three-Component Synthesis of 2,3-Dihydroquinazolin- 4(1H)-Ones Promoted by Citric Acid as Recoverable Catalyst in Water. Lett. Org. Chem. 2011, 8, 470–476. [Google Scholar] [CrossRef]
- Dabiri, M.; Salehi, P.; Baghbanzadeh, M.; Zolfigol, M.A.; Agheb, M.; Heydari, S. Silica sulfuric acid: An efficient reusable heterogeneous catalyst for the synthesis of 2,3-dihydroquinazolin-4(1H)-ones in water and under solvent-free conditions. Catal. Commun. 2008, 9, 785–788. [Google Scholar] [CrossRef]
- Niknam, K.; Jafarpour, N.; Niknam, E. Silica-bonded N-propylsulfamic acid as a recyclable catalyst for the synthesis of 2,3-dihydroquinazolin-4(1H)-ones. Chin. Chem. Lett. 2011, 22, 69–72. [Google Scholar] [CrossRef]
- Mirzaee, S.; Niknam, K.; Mohammadizadeh, M.R. Silica-bonded S-sulfonic Acid as a Recyclable Catalyst for Synthesis of 2,3-Dihydroquinazolin-4(1H)-ones. Chin. J. Chem. 2011, 29, 1417–1422. [Google Scholar]
- Pace, V.; Hoyos, P.; Castoldi, L.; De María, P.D.; Alcantara, A.R. 2-Methyltetrahydrofuran (2-MeTHF): A Biomass-Derived Solvent with Broad Application in Organic Chemistry. ChemSusChem 2012, 5, 1369–1379. [Google Scholar] [CrossRef]
- Jad, Y.E.; Acosta, G.A.; Khattab, S.N.; De la Torre1, B.G.; Govender, T.H.; Kruger, H.G.; El-Faham, A.; Albericio, F. 2-Methyltetrahydrofuran and cyclopentyl methyl ether for green solid-phase peptide synthesis. Amino Acids 2016, 48, 419–426. [Google Scholar] [CrossRef]
- Al Musaimi, O.; Jad, Y.E.; Kumar, A.; El-Faham, A.; Collins, J.M.; Basso, A.; De La Torre, B.G.; Albericio, F. Greening the Solid-Phase Peptide Synthesis Process. 2-MeTHF for the Incorporation of the First Amino Acid and Precipitation of Peptides after Global Deprotection. Org. Process. Res. Dev. 2018, 22, 1809–1816. [Google Scholar] [CrossRef]
- Spulak, M.; Pourova, J.; Voprsalova, M.; Mikusek, J.; Kunes, J.; Vacek, J.; Ghavre, M.; Gathergood, N.; Pour, M. Novel bronchodilatory quinazolines and quinoxalines: Synthesis and biological evaluation. Eur. J. Med. Chem. 2014, 74, 65–72. [Google Scholar] [CrossRef]
- Miller, C.K.; Huttunen, K.M.; Denny, W.A.; Jaiswal, J.K.; Ciccone, A.; Browne, K.A.; Trapani, J.A.; Spicer, J.A. Diarylthiophenes as inhibitors of the pore-forming protein perforin. Bioorg. Med. Chem. Lett. 2016, 26, 355–360. [Google Scholar] [CrossRef]
- Li, Y.; Ganesh, T.; Diebold, B.A.; Zhu, Y.; McCoy, J.W.; Smith, S.M.E.; Sun, A.; Lambeth, J.D. Thioxodihydro-quinazolin-one compounds as novel inhibitors of myeloperoxidase. ACS Med. Chem. Lett. 2015, 610, 1047–1052. [Google Scholar] [CrossRef] [PubMed]
- Khattab, S.N.; Haiba, N.S.; Asal, A.M.; Bekhit, A.A.; Amer, A.; Abdel-Rahman, H.M.; El-Faham, A. Synthesis and evaluation of quinazoline amino acid derivatives as mono amine oxidase (MAO) inhibitors. Bioorg. Med. Chem. 2015, 23, 3574–3585. [Google Scholar] [CrossRef] [PubMed]
- Bost, R.W.; Mullen Leo, V. 4-(2-Aminoethyl)morpholine as a reagent for the characterization of esters. J. Am. Chem. Soc. 1951, 73, 1967–1968. [Google Scholar] [CrossRef]
- Bonola, G.; Sianesi, E. 2,3-Dihydro-4(1H)-quinazolinone derivatives. J. Med. Chem. 1970, 13, 329–332. [Google Scholar] [CrossRef]
- Allen, F.H.; Kennard, O.; Watson, D.G.; Brammer, L.; Orpen, A.G.; Taylor, R. Tables of bond lengths determined by X-ray and neutron diffraction. Part 1. Bond lengths in organic compounds. J. Chem. Soc. Perkin Trans. 2 1987, S1–S19. [Google Scholar] [CrossRef]
- Xu, L.; Jiang, Y.; Ma, D. Synthesis of 3-Substituted and 2,3-Disubstituted Quinazolinones via Cu-Catalyzed Aryl Amidation. Org. Lett. 2012, 14, 1150–1153. [Google Scholar] [CrossRef]
- Sheldrick, G.M. A short history of SHELX. Acta Crystallogr. A 2008, 64, 112–122. [Google Scholar] [CrossRef]
- Sheldrick, G.M. SHELXTL-PC (Version 5.1); Siemens Analytical Instruments, Inc.: Madison, WI, USA, 1997. [Google Scholar]
Sample Availability: Samples of the compounds are available from the authors. |






| Entry | Solvent | Time (h) | Yield (%) | Mp (°C) |
|---|---|---|---|---|
| 1 | Water–acetone | 8 | 71 | 104–106 |
| 2 | THF | 5–6 | 86 | 113–114 |
| 3 | 2-MeTHF | 4–5 | 95 | 113–114 |
| Crystal Data | |
| Chemical formula | C13H19N3O2 |
| Mr | 249.31 |
| Crystal system, space group | Monoclinic, P21/c |
| Temperature (K) | 296 |
| a, b, c (Å) | 13.6879 (11), 10.2118 (9), 9.7884 (9) |
| β (°) | 105.068 (7) |
| V (Å3) | 1321.2 (2) |
| Z | 4 |
| Radiation type | Cu Kα |
| µ (mm−1) | 0.70 |
| Crystal size (mm) | 0.51 × 0.45 × 0.11 |
| Data collection | |
| Diffractometer | Bruker APEX-II D8 venture diffractometer |
| Absorption correction | Multi-scan SADABS Bruker 2014 |
| Tmin, Tmax | 0.887, 0.912 |
| No. of measured, independent, and observed [I > 2σ(I)] reflections | 12783, 2298, 1393 |
| Rint | 0.088 |
| Refinement | |
| R[F2 > 2σ( F2)], wR(F2), S | 0.052, 0.152, 1.02 |
| No. of reflections | 2298 |
| No. of parameters | 176 |
| No. of restraints | H atoms treated by a mixture of independent and constrained refinement |
| H-atom treatment | 0.21, −0.19 |
| Δρmax, Δρmin (e Å−3) | 0.052, 0.152, 1.02 |
| Compound No. | R1 | R2 | R3 | Reaction Time (h), Yield% Conventional Heating | Reaction Time (min), Yield% Microwave Irradiation | Mp (°C) |
|---|---|---|---|---|---|---|
| 4a | H | H | H | 4(86) | 6(92) | 142–144 |
| 4b | H | Br | H | 4(87) | 6(96) | 133–135 |
| 4c | H | Cl | H | 4(84) | 6(96) | 165–166 |
| 4d | H | CH3 | H | 5(83) | 6(96) | 132–134 |
| 4e | H | NMe2 | H | 5(87) | 7(96) | 183–184 |
| 4f | OCH3 | OCH3 | OCH3 | 5(86) | 7(97) | 148–150 |
| 5a | H | H | H | 4(80) | 6(93) | 120–121 |
| 5b | H | Br | H | 4(82) | 6(97) | 198–198 |
| 5c | H | OCH3 | H | 5(81) | 6(94) | 146–147 |
| 6a | H | H | H | 4(83) | 6(97) | 154–155 |
| 6b | H | H | H | 4(84) | 6(96) | 135–136 |
| 7 | H | H | H | 6(85) | 8(97) | 221–223 |
© 2019 by the authors. Licensee MDPI, Basel, Switzerland. This article is an open access article distributed under the terms and conditions of the Creative Commons Attribution (CC BY) license (http://creativecommons.org/licenses/by/4.0/).
Share and Cite
Almarhoon, Z.; Dahlous, K.A.; Abd Alhameed, R.; Ghabbour, H.A.; El-Faham, A. A Simple, Efficient, and Eco-Friendly Method for the Preparation of 3-Substituted-2,3-dihydroquinazolin-4(1H)-one Derivatives. Molecules 2019, 24, 4052. https://doi.org/10.3390/molecules24224052
Almarhoon Z, Dahlous KA, Abd Alhameed R, Ghabbour HA, El-Faham A. A Simple, Efficient, and Eco-Friendly Method for the Preparation of 3-Substituted-2,3-dihydroquinazolin-4(1H)-one Derivatives. Molecules. 2019; 24(22):4052. https://doi.org/10.3390/molecules24224052
Chicago/Turabian StyleAlmarhoon, Zainab, Kholood A. Dahlous, Rakia Abd Alhameed, Hazem A. Ghabbour, and Ayman El-Faham. 2019. "A Simple, Efficient, and Eco-Friendly Method for the Preparation of 3-Substituted-2,3-dihydroquinazolin-4(1H)-one Derivatives" Molecules 24, no. 22: 4052. https://doi.org/10.3390/molecules24224052
APA StyleAlmarhoon, Z., Dahlous, K. A., Abd Alhameed, R., Ghabbour, H. A., & El-Faham, A. (2019). A Simple, Efficient, and Eco-Friendly Method for the Preparation of 3-Substituted-2,3-dihydroquinazolin-4(1H)-one Derivatives. Molecules, 24(22), 4052. https://doi.org/10.3390/molecules24224052

