Synthesis, Characterization of Liposomes Modified with Biosurfactant MEL-A Loading Betulinic Acid and Its Anticancer Effect in HepG2 Cell
Abstract
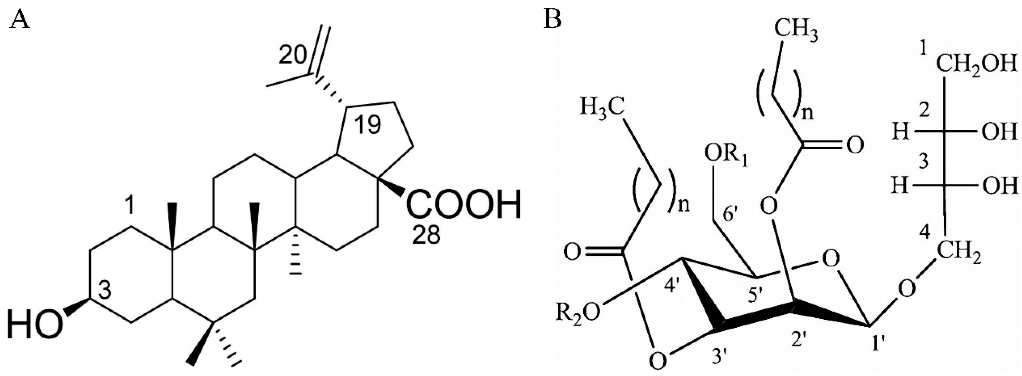
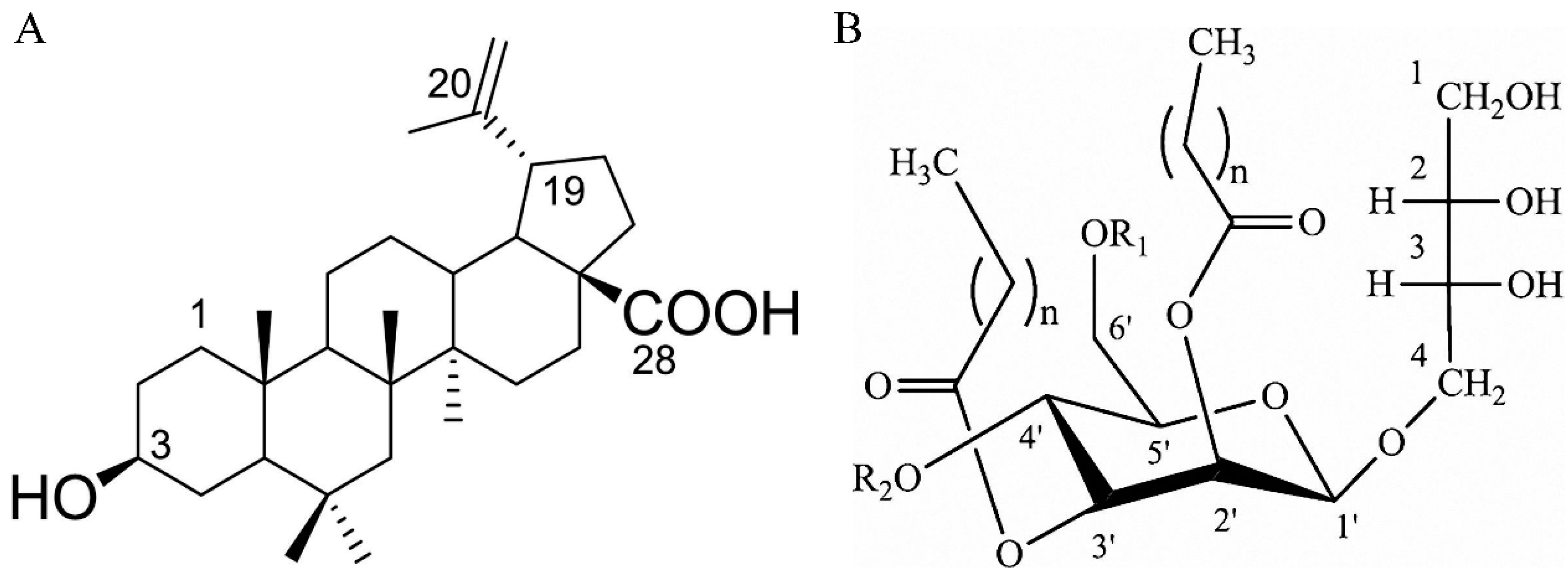
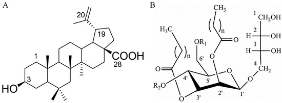
1. Introduction
2. Results
2.1. The Effect of Ratio of SPC to Chol on the Size of Liposomes
2.2. The Effect of MEL-A Adding Ratio on the Size, PDI and Zeta Potential of Liposomes
2.3. The Effect of Loaded BA on Size, PDI and Zeta Potential of Liposomes
2.4. Changes in Particle size, PDI, Zeta Potential and Encapsulation Efficiency of BA-Loaded Liposomes
2.5. Morphology Observation of Different Liposomes
2.6. Anti-Tumor Activity of Liposomes in HepG2
2.6.1. Inhibitory Effect on HepG2 Cells Growth
2.6.2. Effect on Cell Apoptosis of HepG2
2.6.3. Effect on Cell Cycle of HepG2
2.6.4. Effect on Mitochondrial Membrane Potential
3. Discussion
4. Materials and Methods
4.1. Chemicals and Reagents
4.2. Preparation of Liposomes
4.2.1. Optimization of Soybean Lecithin and Cholesterol Mass Ratio
4.2.2. Optimization Determination of MEL-A Adding Ratio
4.2.3. Optimization of Betulinic Acid Loaded Concentration
4.3. Characterization of Liposomes Modified with MEL-A and Loading Betulinic Acid
4.3.1. Measurement of Size Distribution and Zeta Potential
4.3.2. Morphology Observation
4.3.3. Measurements of Encapsulation Efficiency
4.4. Culture of HepG2 Cells
4.5. Cell Viability Assay with MTT
4.6. Cell Apoptosis Determination by Flow Cytometry
4.7. Cell Cycle Analysis by Flow Cytometry
4.8. Mitochondrial Membrane Potential Assessment
4.9. Statistical Analysis
5. Conclusions
Supplementary Materials
Author Contributions
Funding
Conflicts of Interest
Abbreviations
| MEL-A | Mannosylerythritol Lipid-A |
| SPC | Soy Phosphatidylcholine |
| Chol | Cholesterol |
| BA | Betulinic Acid |
| PDI | Polydispersity Index |
| SC | Soy Phosphatidylcholine-Cholesterol Liposomes |
| SCB | Soy Phosphatidylcholine-Cholesterol-Betulinic Acid Liposomes |
| SCM | Soy Phosphatidylcholine-Cholesterol-Mannosylerythritol Lipid-A Liposomes |
| SCMB | Soy Phosphatidylcholine-Cholesterol-Mannosylerythritol Lipid-A-Betulinic Acid Liposomes |
| EE | Encapsulation Efficiency |
| TEM | Transmission Electron Microscope |
References
- Kreuter, J. Nanoparticles—A historical perspective. Int. J. Pharm. 2007, 331, 1–10. [Google Scholar] [CrossRef] [PubMed]
- Wacker, M. Nanocarriers for intravenous injection—The long hard road to the market. Int. J. Pharm. 2013, 457, 50–62. [Google Scholar] [CrossRef] [PubMed]
- Bangham, A.D.; Standish, M.M.; Watkins, J.C. Diffusion of univalent ions across lamellae of swollen phospholipids. J. Mol. Biol. 1965, 13, 238–252. [Google Scholar] [CrossRef]
- Peschka-Suess, R.; Schubert, R. pH-Sensitive liposomes. In Liposomes: A Practical Approach, 2nd ed.; Torchilin, V.P., Weissig, V., Eds.; Publisher: New York, NY, USA, 2003; pp. 305–318. [Google Scholar]
- Bulbake, U.; Doppalapudi, S.; Kommineni, N.; Khan, W. Liposomal formulations in clinical use: An updated review. Pharmaceutics 2017, 9, 12. [Google Scholar] [CrossRef]
- Krasutsky, P.A. Birch bark research and development. Nat. Prod. Rep. 2006, 23, 919–942. [Google Scholar] [CrossRef]
- Aiken, C.; Chen, C.H. Betulinic acid derivatives as HIV-1 antivirals. Trends Mol. Med. 2005, 11, 31–36. [Google Scholar] [CrossRef]
- Saneja, A.; Arora, D.; Kumar, R.; Dubey, R.D.; Panda, A.K.; Gupta, P.N. Therapeutic applications of betulinic acid nanoformulations. Ann. N. Y. Acad. Sci. 2018, 1421, 5–18. [Google Scholar] [CrossRef]
- Tasi, L.M.; Liu, D.Z.; Chen, W.Y. Microcalorimetric investigation of the interaction of polysorbate surfactants with unilamellar phosphatidylcholines liposomes. Colloids Surf. A 2003, 213, 7–14. [Google Scholar] [CrossRef]
- Zhang, X.; Hu, J.; Chen, Y. Betulinic acid and the pharmacological effects of tumor suppression (Review). Mol. Med. Rep. 2016, 14, 4489–4495. [Google Scholar] [CrossRef]
- Rios, J.L.; Manez, S. New pharmacological opportunities for betulinic acid. Planta. Med. 2018, 84, 8–19. [Google Scholar] [CrossRef]
- Wang, W.; Wang, Y.; Liu, M.; Zhang, Y.; Yang, T.; Li, D.; Huang, Y.; Li, Q.; Bai, G.; Shi, L. Betulinic acid induces apoptosis and suppresses metastasis in hepatocellular carcinoma cell lines in vitro and in vivo. J. Cell. Mol. Med. 2019, 23, 586–595. [Google Scholar] [CrossRef]
- Allen, T.M.; Hansen, C.; Rutledge, J. Liposomes with prolonged circulation times - factors affecting uptake by reticuloendothelial and other tissues. Biochim. Et Biophys. Acta (BBA) - Biomembr. 1989, 981, 27–35. [Google Scholar] [CrossRef]
- Ueno, Y.; Hirashima, N.; Inoh, Y.; Furuno, T.; Nakanishi, N. Characterization of biosurfactant-containing liposomes and their efficiency for gene transfection. Biol. Pharm. Bull. 2007, 30, 169–172. [Google Scholar] [CrossRef] [PubMed]
- Dai, K.; Hiroko, I.; Tadaatsu, N. Functions and potential applications of glycolipid biosurfactants-from energy-saving materials to gene delivery carriers. J. Biosci. Bioeng. 2002, 94, 187–200. [Google Scholar]
- Chen, J.G.; Zhang, S.W. Liver cancer epidemic in China: Past, present and future. Semin. Cancer Biol. 2011, 21, 59–69. [Google Scholar] [CrossRef] [PubMed]
- Sulkowski, W.W.; Pentak, D.; Nowak, K.; Sulkowska, A. The influence of temperature, cholesterol content and pH on liposome stability. J. Mol. Struct. 2005, 744, 737–747. [Google Scholar] [CrossRef]
- Eloy, J.O.; Petrilli, R.; Topan, J.F.; Ribeiro Antonio, H.M.; Abriata Barcellos, J.P.; Chesca, D.L.; Serafini, L.N.; Tiezzi, D.G.; Lee, R.J.; Marchetti, J.M. Co-loaded paclitaxel/rapamycin liposomes: Development, characterization and in vitro and in vivo evaluation for breast cancer therapy. Colloids Surf. B 2016, 141, 74–82. [Google Scholar] [CrossRef] [PubMed]
- Lopez-Pinto, J.M.; Gonzalez-Rodriguez, M.L.; Rabasco, A.M. Effect of cholesterol and ethanol on dermal delivery from DPPC liposomes. Int. J. Pharm. 2005, 298, 1–12. [Google Scholar] [CrossRef] [PubMed]
- Hasan, M.; Ben Messaoud, G.; Michaux, F.; Tamayol, A.; Kahn, C.J.F.; Belhaj, N.; Linder, M.; Arab-Tehrany, E. Chitosan-coated liposomes encapsulating curcumin: Study of lipid-polysaccharide interactions and nanovesicle behavior. Rsc Adv. 2016, 6, 45290–45304. [Google Scholar] [CrossRef]
- Cho, E.C.; Xie, J.; Wurm, P.A.; Xia, Y. Understanding the role of surface charges in cellular adsorption versus internalization by selectively removing gold nanoparticles on the cell surface with a I-2/KI Etchant. Nano Lett. 2009, 9, 1080–1084. [Google Scholar] [CrossRef]
- Gratton, S.E.A.; Ropp, P.A.; Pohlhaus, P.D.; Luft, J.C.; Madden, V.J.; Napier, M.E.; DeSimone, J.M. The effect of particle design on cellular internalization pathways. Proc. Natl. Acad. Sci. USA 2008, 105, 11613–11618. [Google Scholar] [CrossRef] [PubMed]
- Tianyue, J.; Zhenhai, Z.; Yinlong, Z.; Huixia, L.; Jianping, Z.; Caocao, L.; Lulu, H.; Qiang, Z.J.B. Dual-functional liposomes based on pH-responsive cell-penetrating peptide and hyaluronic acid for tumor-targeted anticancer drug delivery. Biomaterials 2012, 33, 9246–9258. [Google Scholar]
- Yao, H.J.; Ju, R.J.; Wang, X.X.; Zhang, Y.; Li, R.J.; Yu, Y.; Zhang, L.; Lu, W.L. The antitumor efficacy of functional paclitaxel nanomicelles in treating resistant breast cancers by oral delivery. Biomaterials 2011, 32, 3285–3302. [Google Scholar] [CrossRef] [PubMed]
- Yingchoncharoen, P.; Kalinowski, D.S.; Richardson, D.R. Lipid-based drug delivery systems in cancer therapy: What is available and what is yet to come. Pharm. Rev. 2016, 68, 701–787. [Google Scholar] [CrossRef] [PubMed]
- Igarashi, S.; Hattori, Y.; Maitani, Y. Biosurfactant MEL-A enhances cellular association and gene transfection by cationic liposome. J. Control. Release 2006, 112, 362–368. [Google Scholar] [CrossRef]
- Inoh, Y.; Kitamoto, D.; Hirashima, N.; Nakanishi, M. Biosurfactant MEL-A dramatically increases gene transfection via membrane fusion. J. Control. Release 2004, 94, 423–431. [Google Scholar] [CrossRef]
- Fan, L.; Li, H.; Niu, Y.; Chen, Q. Characterization and inducing melanoma cell apoptosis activity of mannosylerythritol lipids-A produced from Pseudozyma aphidis. PLoS ONE 2016, 11, e0148198. [Google Scholar] [CrossRef]
- Denicourt; Science, C.J. Medicine: Targeting apoptotic pathways in cancer cells. Science 2004, 305, 1411–1413. [Google Scholar] [CrossRef]
- Kumar, P.; Bhadauria, A.S.; Singh, A.K.; Saha, S. Betulinic acid as apoptosis activator: Molecular mechanisms, mathematical modeling and chemical modifications. Life Sci. 2018, 209, 24–33. [Google Scholar] [CrossRef]
- Gomes, A.; Giri, B.; Alam, A.; Mukherjee, S.; Bhattacharjee, P.; Toxicon, A.G.J. Anticancer activity of a low immunogenic protein toxin (BMP1) from Indian toad (Bufo melanostictus, Schneider) skin extract. Toxicon 2011, 58, 85–92. [Google Scholar] [CrossRef]
- Mohamad, N.; Gutiérrez, A.; Núñez, M.; Cocca, C.; Martín, G.; Cricco, G.; Medina, V.; Rivera, E.; Bergoc, R.J.B. Mitochondrial apoptotic pathways. Biocell 2005, 29, 149–161. [Google Scholar] [PubMed]
- Wu, J.N.; Niu, Y.W.; Bakur, A.; Li, H.; Chen, Q.H. Cell-free production of pentacyclic triterpenoid compound betulinic acid from betulin by the engineered Saccharomyces cerevisiae. Molecules 2017, 22, 1075. [Google Scholar] [CrossRef] [PubMed]
- Zhang, Y.S.; Ma, Y.L.; Thakur, K.; Hussain, S.S.; Wang, J.; Zhang, Q.; Zhang, J.G.; Wei, Z.J. Molecular mechanism and inhibitory targets of dioscin in HepG2 cells. Food Chem. Toxicol. 2018, 120, 143–154. [Google Scholar] [CrossRef] [PubMed]
- Ciapetti, G.; Cenni, E.; Pratelli, L.; Pizzoferrato, A. In vitro evaluation of cell biomaterial interaction by MTT assay. Biomaterials 1993, 14, 359–364. [Google Scholar] [CrossRef]
- Qu, H.; Yang, W.; Li, J. Structural characterization of a polysaccharide from the flower buds of Tussilago farfara, and its effect on proliferation and apoptosis of A549 human non-small lung cancer cell line. Int. J. Biol. Macromol. 2018, 113, 849–858. [Google Scholar] [CrossRef]
- Bonomo, M.G.; Milella, L.; Martelli, G.; Salzano, G. Stress response assessment of Lactobacillus sakei strains selected as potential autochthonous starter cultures by flow cytometry and nucleic acid double-staining analyses. J. Appl. Microbiol. 2013, 115, 786–795. [Google Scholar] [CrossRef]
- Galluzzi, L.; Kroemer, G. Necroptosis: A specialized pathway of programmed necrosis. Cell 2008, 135, 1161–1163. [Google Scholar] [CrossRef]
Sample Availability: Samples of the compounds MEL-A are available from the authors. |









| Group | Size (nm) | PDI | Zeta Potential (mV) | EE (%) |
|---|---|---|---|---|
| SC | 75.96 ± 0.98 a | 0.344 ± 0.004 c | −11.2 ± 0.361 a | / |
| SCB | 128.90 ± 0.26 d | 0.282 ± 0.008 b | −10.9 ± 1.820 a | 82.21 ± 0.41 a |
| SCM | 81.00 ± 0.46 b | 0.221 ± 0.002 a | −27.6 ± 3.410 b | / |
| SCMB | 89.83 ± 0.92 c | 0.348 ± 0.012 c | −33.5 ± 2.390 c | 80.44 ± 1.19 a |
| Treatment | Late Apoptosis (%) | Early Apoptosis (%) | Total Apoptosis (%) |
|---|---|---|---|
| Blank | 14.75 ± 1.18 a | 1.36 ± 0.21 a | 16.11 ± 1.40 a |
| BA | 14.64 ± 2.25 a | 5.06 ± 0.45 b | 19.70 ± 2.06 b |
| SCMB | 16.31 ± 1.14 a | 15.36 ± 0.62 e | 31.67 ± 0.56 d |
| SCB | 16.27 ± 0.78 a | 9.28 ± 0.68 d | 25.55 ± 1.12 c |
| SCM | 14.24 ± 1.23 a | 6.42 ± 0.50 c | 20.66 ± 1.61 b |
| SC | 16.30 ± 1.35 a | 1.93 ± 0.52 a | 18.23 ± 1.88 ab |
© 2019 by the authors. Licensee MDPI, Basel, Switzerland. This article is an open access article distributed under the terms and conditions of the Creative Commons Attribution (CC BY) license (http://creativecommons.org/licenses/by/4.0/).
Share and Cite
Shu, Q.; Wu, J.; Chen, Q. Synthesis, Characterization of Liposomes Modified with Biosurfactant MEL-A Loading Betulinic Acid and Its Anticancer Effect in HepG2 Cell. Molecules 2019, 24, 3939. https://doi.org/10.3390/molecules24213939
Shu Q, Wu J, Chen Q. Synthesis, Characterization of Liposomes Modified with Biosurfactant MEL-A Loading Betulinic Acid and Its Anticancer Effect in HepG2 Cell. Molecules. 2019; 24(21):3939. https://doi.org/10.3390/molecules24213939
Chicago/Turabian StyleShu, Qin, Jianan Wu, and Qihe Chen. 2019. "Synthesis, Characterization of Liposomes Modified with Biosurfactant MEL-A Loading Betulinic Acid and Its Anticancer Effect in HepG2 Cell" Molecules 24, no. 21: 3939. https://doi.org/10.3390/molecules24213939
APA StyleShu, Q., Wu, J., & Chen, Q. (2019). Synthesis, Characterization of Liposomes Modified with Biosurfactant MEL-A Loading Betulinic Acid and Its Anticancer Effect in HepG2 Cell. Molecules, 24(21), 3939. https://doi.org/10.3390/molecules24213939

