Bioactivity-Guided Screening of Wound-Healing Active Constituents from American Cockroach (Periplaneta americana)
Abstract
:1. Introduction
2. Results and Discussion
2.1. Comparison of Wound-Healing Activities of Different PA Extracts
2.2. Separation by Organic Reagent Extraction and Macroporous Resin Column Chromatography
2.3. UPLC-MS Analysis of Wound-Healing Activity Fraction
3. Materials and Methods
3.1. Reagents and Experimental Animals
3.2. Preparation of Three PA Extracts
3.3. Organic Reagent Extraction and Macroporous Resin Column Chromatography Isolation
3.4. UPLC-MS Identification and Analysis
3.5. Assay of Wound-Healing Activity
3.5.1. Animal Modeling of Cutaneous Excision Wound and Administration
3.5.2. Evaluation of Wound-Healing Activity and Statistical Analysis
4. Conclusions
Supplementary Materials
Acknowledgments
Author Contributions
Conflicts of Interest
References
- Gurtner, G.C.; Werner, S.; Barrandon, Y.; Longaker, M.T. Wound repair and regeneration. Nature 2008, 453, 314–321. [Google Scholar] [CrossRef] [PubMed]
- Boateng, J.S.; Matthews, K.H.; Stevens, H.N.; Eccleston, G.M. Wound healing dressings and drug delivery systems: A review. J. Pharm. Sci. 2008, 97, 2892–2923. [Google Scholar] [CrossRef] [PubMed]
- Macdonald, J.; Asiedu, K. WAWLC: World a alliance for wound and lymphedema care. Wounds 2010, 22, 55–59. [Google Scholar] [PubMed]
- Oprea, A.M.; Ciolacu, D.; Neamtu, A.; Mungiu, O.C.; Stoica, B.; Vasile, C. Cellulose/chondroitin sulfate hydrogels: Synthesis, drug loading/release properties and biocompatibility. Cell. Chem. Technol. 2010, 44, 369–378. [Google Scholar]
- Suh, H.J.; Kim, S.R.; Lee, K.S.; Park, S.; Kang, S.C. Antioxidant activity of various solvent extracts from Allomyrina dichotoma (Arthropoda: Insecta) larvae. J. Photochem. Photobiol. B 2010, 99, 67–73. [Google Scholar] [CrossRef] [PubMed]
- Zou, J.B.; Sang, W.T.; Wang, F.; Yang, S.; Zhang, T.; Zeng, N. Protective effect of Periplaneta americana extract on mice with ethanol-induced acute gastric ulcer. Chin. Tradit. Pat. Med. 2016, 38, 2325–2331. [Google Scholar]
- Jiang, W.X.; Luo, S.L.; Wang, Y.; Wang, L.; Zhang, X.; Ye, W.C. Chemical constituents from Periplaneta americana. J. Jinan Univ. 2015, 36, 294–301. [Google Scholar]
- Nasirian, H. Infestation of cockroaches (Insecta: Blattaria) in the human dwelling environments: A systematic review and meta-analysis. Acta Trop. 2017, 167, 86–98. [Google Scholar] [CrossRef] [PubMed]
- Xie, B.; Shu, Y.; Liang, Z.; Chen, J.H.; Cheng, Y.N.; Zhang, X.N. Effect of Periplaneta americana extraction on post-injury healing of rat bladder mucosa. Zhejiang J. Integr. Tradit. Chin. West. Med. 2012, 22, 689–691. [Google Scholar]
- Wang, K.; Feng, Y.; Sun, L.; He, Z.; Chen, Z.Y. Isolation of ethyl acetate extract from Periplaneta americana and its antimicrobial activity. For. Res. 2013, 26, 163–166. [Google Scholar]
- Wang, J. Effect of Periplaneta americana extract on H125 lung cancer cells. Chin. J. Public Health 2014, 30, 1400–1402. [Google Scholar]
- Zhou, Q.; Li, Z.R.; Liu, J.; Lin, Q.; Wang, C.K.; Jiang, X. Effect of Periplaneta americana meal on immunity and antioxidation of broliers. J. Fujian Agric. For. Univ. 2009, 38, 175–180. [Google Scholar]
- Alves, R.R.; Alves, H.N. The faunal drugstore: Animal-based remedies used in traditional medicines in Latin America. J. Ethnobiol. Ethnomed. 2011, 7, 9. [Google Scholar] [CrossRef] [PubMed]
- Luo, T.S.; Gao, M.T.; Ma, F.F.; Liu, G.M.; Zhang, C.G. Research advances in pharmacological action and clinical application of Periplaneta americana. J. Anhui Agric. Sci. 2012, 40, 5933–5935. [Google Scholar]
- Zhang, J.; Meng, L.H.; Shan, S.J.; Zhang, L.T. Effect of Kangfuxin liquid on subcrustal wound healing of rat. J. Tianjin Med. Univ. 2014, 20, 192–195. [Google Scholar]
- Yang, Y.X.; Luo, Q.; Hou, B.; Yan, Y.M.; Wang, Y.H.; Tang, J.J.; Dong, X.P.; Ma, X.Y.; Yang, T.H.; Zuo, Z.L.; et al. Periplanosides A–C: New insect-derived dihydroisocoumarin glucosides from Periplaneta americana stimulating collagen production in human dermal fibroblasts. J. Asian Nat. Prod. Res. 2015, 17, 988–995. [Google Scholar] [CrossRef] [PubMed]
- Usui, M.L.; Underwood, R.A.; Fleckman, P.; Olerud, J.E. Parakeratotic corneocytes play a unique role in human skin wound healing. J. Investig. Dermatol. 2013, 133, 856–858. [Google Scholar] [CrossRef] [PubMed]
- Drew, A.F.; Liu, H.; Davidson, J.M.; Daugherty, C.C.; Degen, J.L. Wound-healing defects in mice lacking fibrinogen. Blood 2001, 97, 3691–3698. [Google Scholar] [CrossRef] [PubMed]
- Guo, S.; Dipietro, L.A. Factors affecting wound healing. J. Dent. Res. 2010, 89, 219–229. [Google Scholar] [CrossRef] [PubMed]
- Li, Y.; Wang, F.; Zhang, P.; Yang, M. Chemical Constituents from Periplaneta americana. Chin. Med. Mater. 2015, 38, 2038–2041. [Google Scholar]
- Tian, F. Chemical constituents of Artemisia borealis and antidiabetic components of the leaves of Smallanthus sonchifolius. Master’s Thesis, Liaoning University of Traditional Chinese Medicine, Liaoning, China, 2007. [Google Scholar]
- Regos, I.; Urbanella, A.; Treutter, D. Identification and quantification of phenolic compounds from the forage legume sainfoin (Onobrychis viciifolia). J. Agric. Food Chem. 2009, 57, 5843–5852. [Google Scholar] [CrossRef] [PubMed]
- Catel, Y.; Aladedunye, F.; Przybylski, R. Synthesis, radical scavenging activity, protection during storage, and frying by novel antioxidants. J. Agric. Food Chem. 2010, 58, 11081–11089. [Google Scholar] [CrossRef] [PubMed]
- Lee, S.Y.; Kim, K.H.; Lee, I.K.; Lee, K.H.; Choi, S.U.; Lee, K.R. A new flavonol glycoside from Hylomecon vernalis. Arch. Pharm. Res. 2012, 35, 415–421. [Google Scholar] [CrossRef] [PubMed]
- Tulloch, A.P. Carbon-13 NMR spectra of all the isomeric methyl hydroxy- and acetoxyoctadecanoates. Determination of chemical shifts by deuterium isotope effects. Magn. Reson. Chem. 2010, 11, 109–115. [Google Scholar]
- Tang, J.Y.; Peng, F. Research progress of pharmacological effects and ways of obtaining resources of arbutin. Pharm. Today 2015, 25, 673–677. [Google Scholar]
- Pyka, A.; Bober, K.A. Densitometric determination of arbutin in cowberry leaves (Vaccinium vitis idaeae). Acta Pol. Pharm. 2007, 64, 395–400. [Google Scholar] [PubMed]
- Tong, C.; Nakamura, K.; Ma, L.; Li, J.Z.; Hiroshi, K. Analyses of arbutin and chlorogenic acid, the major phenolic constituents in oriental pear. J. Agric. Food Chem. 2005, 53, 3882–3887. [Google Scholar]
- Feng, Z.L.; Li, D.; Liu, Q.Y.; Liu, J.X.; Huang, L.; Zhang, Q.W.; Wang, Y.T.; Lin, L.G. Anti-inflammatory abietane diterpenoids from the seeds of Podocarpus nagi. Phytochem. Lett. 2017, 21, 260–263. [Google Scholar] [CrossRef]
- Amugune, B.; Milugo, T.K.; Heydenreich, M.; Omosa, L.K.; Ndunda, B.; Yenesew, A.; Midiwo, J.O. Antimicrobial flavonoids and diterpenoids from Dodonaea angustifolia. S. Afr. J. Bot. 2014, 91, 58–62. [Google Scholar]
- Zhao, D.K.; Shi, X.Q.; Zhang, L.M.; Yang, D.Q.; Guo, H.C.; Chen, Y.P.; Shen, Y. Four new diterpenoid alkaloids with antitumor effect from Aconitum nagarum var. heterotrichum. Chin. Chem. Lett. 2016, 28, 358–361. [Google Scholar] [CrossRef]
- Bajpai, V.K.; Baek, K.H.; Kang, S.C. Antioxidant and free radical scavenging activities of taxoquinone, a diterpenoid isolated from Metasequoia glyptostroboides. S. Afr. J. Bot. 2017, 111, 93–98. [Google Scholar] [CrossRef]
- Sachidanandam, K.; Fagan, S.C.; Ergul, A. Oxidative stress and cardiovascular disease: Antioxidants and unresolved issues. Cardiovasc. Ther. 2005, 23, 115–132. [Google Scholar] [CrossRef]
- Xu, W.Y.; Zhao, S.M.; Zeng, G.Z.; He, W.J.; Xu, H.M.; Tan, N.H. Progress in the study of some important natural bioactive cyclopeptides. Acta Pharmacol. Sin. 2012, 47, 271–279. [Google Scholar]
- Yu, X.B.; Li, J.; Huang, X.Z.; Shen, Y.H. Functional properties and future trends in biosynthesis of longchain polyunsaturated fatty acids. Sci. Seric. 2014, 40, 153–160. [Google Scholar]
- Zhao, Z.D.; Sun, Z. Research progress on natural resources and application of the bioactive substance-squalene. Inst. Chem. Ind. For. Prod. 2004, 24, 107–112. [Google Scholar]
- Cao, H.; Wang, M.W.; Xue, S.Y.; Wei, X.L. The mechanism of triolein and its effects on mucosal necrosis. J. Shenyang Pharm. Univ. 2000, 17, 367–370. [Google Scholar]
- Sun, W. Observe and nurse regeneration and repair of skin coated Jingwanhong ointment. Hebei Med. 2006, 12, 1015–1017. [Google Scholar]
- Li, Y.H.; Li, X.; Feng, J.A.; Wu, Y.X.; Wu, Y. Research on in vitro antimicrobial activity of different extracts from Periplaneta americana L. Pharm. Clin. Chin. Mater. Med. 2014, 5, 27–29. [Google Scholar]
- Wang, Y.; Su, W.; Liang, S. Separation of aqueous extract from Hypericum japonicum Thunb using different types of macroporous resin. Chin. Med. Mat. 2007, 30, 1537–1539. [Google Scholar]
- Yariswamy, M.; Shivaprasad, H.V.; Joshi, V.; Nanjaraj Urs, A.N.; Nataraju, A.; Vishwanath, B.S. Topical application of serine proteases from Wrightia tinctoria R. Br. (Apocyanaceae) latex augments healing of experimentally induced excision wound in mice. J. Ethnopharmacol. 2013, 149, 377–383. [Google Scholar] [PubMed]
- Muthukumar, T.; Anbarasu, K.; Prakash, D.; Sastry, T.P. Effect of growth factors and pro-inflammatory cytokines by the collagen biocomposite dressing material containing Macrotyloma uniflorum plant extract-In vivo wound healing. Colloids Surf. B Biointerfaces 2014, 121, 178–188. [Google Scholar] [CrossRef] [PubMed]
Sample Availability: Samples of the used insect materials are available from the authors. |



| Extract | Yield (%) * | Color of Concentrate | Healing Rate (Mean ± SD)% ** |
|---|---|---|---|
| Fr.A | 0.063 | Red brown | 9.4 ± 1.4 |
| Fr.B | 0.104 | Red brown | 75.4 ± 3.7 |
| Fr.C | 0.864 | Tan | 61.5 ± 5.6 |
| Fr.D | 11.111 | Black brown | 93.6 ± 4.7 |
| Fraction | Color * | Healing Rate (Mean ± SD)% * |
|---|---|---|
| Fr.D | Red | 92.3 ± 2.8 |
| Fr.D1 | Light pink | 99.5 ± 0.8 |
| PC | Light pink | 92.6 ± 2.3 |
| NC | Reddish-brown | 71.3 ± 3.4 |
| No. | Ion Peak | m/z | Compound | M.F. | Structure | Reference |
|---|---|---|---|---|---|---|
| P1 | [M + K]+ | 235.1451 | Cyclo-(l-Val-l-Pro) | C10H16N2O2 | ![]() | [20] |
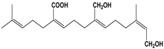
| P2 | [M + H]+ | 337.0458 | 2-(4′-Methyl-3′-pentene)-6-hydroxymethyl-10-methyl-12-hydroxyl-(2,6,10)-triendodecanic acid | C20H32O4 | ![]() | [21] |
| P3 | [M + H]+ | 273.0745 | Arbutin | C12H16O7 | ![]() | [22] |
| P4 | [M + H]+ | 259.0785 | 4-Benzyloxy-3-methoxybenzoic acid | C15H14O4 | ![]() | [23] |
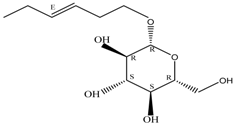
| P5(1) | [M + H]+ | 263.1840 | (E)-3-Hexenyl-β-d-glucopyranoside | C12H22O6 | ![]() | [24] |
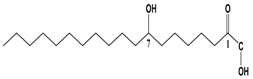
| P6 | [M + K]+ | 339.0539 | 7-Hydroxycotadeca-noic acid | C18H36O3 | ![]() | [25] |
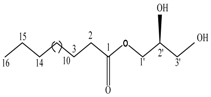
| P7 | [M + Na]+ | 331.1576 | (S)-2,3-Dihydroxypropyl hexadecanoic acid ester | C19H38O4 | ![]() | [7] |
© 2018 by the authors. Licensee MDPI, Basel, Switzerland. This article is an open access article distributed under the terms and conditions of the Creative Commons Attribution (CC BY) license (http://creativecommons.org/licenses/by/4.0/).
Share and Cite
Zhu, J.-J.; Yao, S.; Guo, X.; Yue, B.-S.; Ma, X.-Y.; Li, J. Bioactivity-Guided Screening of Wound-Healing Active Constituents from American Cockroach (Periplaneta americana). Molecules 2018, 23, 101. https://doi.org/10.3390/molecules23010101
Zhu J-J, Yao S, Guo X, Yue B-S, Ma X-Y, Li J. Bioactivity-Guided Screening of Wound-Healing Active Constituents from American Cockroach (Periplaneta americana). Molecules. 2018; 23(1):101. https://doi.org/10.3390/molecules23010101
Chicago/Turabian StyleZhu, Juan-Juan, Shun Yao, Xin Guo, Bi-Song Yue, Xiu-Ying Ma, and Jing Li. 2018. "Bioactivity-Guided Screening of Wound-Healing Active Constituents from American Cockroach (Periplaneta americana)" Molecules 23, no. 1: 101. https://doi.org/10.3390/molecules23010101
APA StyleZhu, J.-J., Yao, S., Guo, X., Yue, B.-S., Ma, X.-Y., & Li, J. (2018). Bioactivity-Guided Screening of Wound-Healing Active Constituents from American Cockroach (Periplaneta americana). Molecules, 23(1), 101. https://doi.org/10.3390/molecules23010101







