Topic Editors

Institute of Urban Agriculture, Chinese Academy of Agricultural Sciences, Chengdu, China
Institute of Urban Agriculture, Chinese Academy of Agricultural Sciences, Chengdu National Agricultural Science and Technology Center, Chengdu 610213, China
Institute of Urban Agriculture, Chinese Academy of Agricultural Sciences, Chengdu National Agricultural Science and Technology Center, Chengdu 610213, China
Prof. Dr. Maozhi Ren
1. Institute of Urban Agriculture, Chinese Academy of Agricultural Sciences, Chengdu National Agricultural Science and Technology Center, Chengdu 610213, China
2. School of Agricultural Science of Zhengzhou University, Zhengzhou 450000, China
Institute of Urban Agriculture, Chinese Academy of Agricultural Sciences, Chengdu, China
National Institute of Education, Nanyang Technological University (NIE/NTU), 1 Nanyang Walk, Singapore 637 616, Singapore

Optimizing Plants and Cultivation System for Controlled Environment Agriculture (CEA)

Abstract submission deadline
closed (31 March 2025)
Manuscript submission deadline
closed (3 July 2025)
Viewed by
81500

Topic Information

Dear Colleagues,

Nowadays, controlled environment agriculture (CEA), such as plant factories and vertical farms, is playing an increasingly important role in supporting human life. It can achieve year-round harvests and higher yields per unit area, and can produce food for humans in adverse conditions (e.g., epidemics and war) and extreme environments (e.g., outer space, polar regions, deep seas). For climate-controlled farms, the growth conditions (i.e., light, temperature, or humidity) are favorable for plants, and pests and diseases are effectively controlled. However, the CEA farming system faces the challenges of limited time and space and high energy cost. The development of CEA, on the one hand, relies on the optimization and upgrading of growing conditions and hardware facilities to provide a suitable growth environment for plants and, on the other hand, depends on the genetic engineering of crops to reduce their resource consumption while increasing their output. Crop varieties with high output (in terms of density, yield, and nutrition) and low consumption (small size, short growth cycle, and high photosynthetic efficiency) are needed. This topic will focus on recent advances in improving plants and cultivating system for CEA. Original research articles, reviews, mini reviews, and short communications are welcome.

Dr. Linxuan Li
Dr. Yongming Liu
Dr. Xiumei Luo
Dr. Maozhi Ren
Dr. Xiulan Xie
Dr. Jie He
Topic Editors

Keywords

  • physiology
  • genetics
  • biochemistry
  • biotechnology
  • breeding
  • cultivation
  • utilization
  • led lighting
  • plant science
  • plant factory
  • intelligent horticultural equipment
  • controlled environment agriculture
  • advanced agricultural concepts

Participating Journals

Journal Name Impact Factor CiteScore Launched Year First Decision (median) APC
Agriculture
agriculture
3.6 6.3 2011 18.8 Days CHF 2600
Agronomy
agronomy
3.4 6.7 2011 17 Days CHF 2600
Horticulturae
horticulturae
3.0 5.1 2015 16.7 Days CHF 2200
Plants
plants
4.1 7.6 2012 16.5 Days CHF 2700

Preprints.org is a multidisciplinary platform offering a preprint service designed to facilitate the early sharing of your research. It supports and empowers your research journey from the very beginning.

MDPI Topics is collaborating with Preprints.org and has established a direct connection between MDPI journals and the platform. Authors are encouraged to take advantage of this opportunity by posting their preprints at Preprints.org prior to publication:

  1. Share your research immediately: disseminate your ideas prior to publication and establish priority for your work.
  2. Safeguard your intellectual contribution: Protect your ideas with a time-stamped preprint that serves as proof of your research timeline.
  3. Boost visibility and impact: Increase the reach and influence of your research by making it accessible to a global audience.
  4. Gain early feedback: Receive valuable input and insights from peers before submitting to a journal.
  5. Ensure broad indexing: Web of Science (Preprint Citation Index), Google Scholar, Crossref, SHARE, PrePubMed, Scilit and Europe PMC.

Published Papers (22 papers)

Order results
Result details
Journals
Select all
Export citation of selected articles as:
21 pages, 6123 KB  
Article
Improving Air Distribution Within Lettuce Plant Canopy by Employing Double-Channel Ventilation Cultivation System: Simulation and Experiment Study
by Yihan Zhang, Can Chen, Hui Fang and Yuxin Tong
Agronomy 2025, 15(10), 2326; https://doi.org/10.3390/agronomy15102326 - 1 Oct 2025
Cited by 2 | Viewed by 1599
Abstract
In greenhouse and plant factory production, improper design of the ventilation system and increasing scales will lead to a stagnant airflow zone, which could inhibit plant growth and induce physiological disease, such as tipburn. To increase the airflow within the plant canopy, simplify [...] Read more.
In greenhouse and plant factory production, improper design of the ventilation system and increasing scales will lead to a stagnant airflow zone, which could inhibit plant growth and induce physiological disease, such as tipburn. To increase the airflow within the plant canopy, simplify the equipment complexity, and improve operation convenience, a cultivation system was designed to provide a constant airflow within the plant canopy by integrating ventilation ducts with cultivation tanks. A three-dimensional computational fluid dynamics (ANSYS Fluent 2021R2) model was developed and validated through simulating the airflow distribution within the plant canopy under different intake air velocities. According to the simulated results, an intake air velocity of 10 m s−1 showed better airflow uniformity, and the proportion of the suitable zone reached the highest value of 83% at an intake air velocity of 20 m s−1. To validate the practical effectiveness of cultivation, a cultivation experiment was conducted. Five different canopy air velocities were set at 0 (CK), 0.35 (T1), 0.5 (T2), 0.65 (T3), and 0.8 (T4) m s−1, respectively. The results showed that the photosynthetic and transpiration rate, as well as the fresh and dry weights of lettuce plants (Lactuca sativa cv. ‘Tiberius’), increased by 17.8%, 21.7%, 29.6%, and 29.9%, respectively, under treatment T4 compared to those under the control, while the canopy air temperature and relative humidity decreased by 1.3 °C and 3.2%, respectively. The above results indicate that the newly designed cultivation system can be considered an effective system for improving lettuce plant growth and its canopy environment. Full article
Show Figures

Figure 1

14 pages, 1393 KB  
Article
Mitigating Water Stress and Enhancing Aesthetic Quality in Off-Season Potted Curcuma cv. ‘Jasmine Pink’ via Potassium Silicate Under Deficit Irrigation
by Vannak Sour, Anoma Dongsansuk, Supat Isarangkool Na Ayutthaya, Soraya Ruamrungsri and Panupon Hongpakdee
Horticulturae 2025, 11(7), 856; https://doi.org/10.3390/horticulturae11070856 - 20 Jul 2025
Cited by 1 | Viewed by 1639
Abstract
Curcuma spp. is a popular ornamental crop valued for its vibrant appearance and suitability for both regular and off-season production. As global emphasis on freshwater conservation increases and with a demand for compact potted plants, reducing water use while maintaining high aesthetic quality [...] Read more.
Curcuma spp. is a popular ornamental crop valued for its vibrant appearance and suitability for both regular and off-season production. As global emphasis on freshwater conservation increases and with a demand for compact potted plants, reducing water use while maintaining high aesthetic quality presents a key challenge for horticulturists. Potassium silicate (PS) has been proposed as a foliar spray to alleviate plant water stress. This study aimed to evaluate the effects of PS on growth, ornamental traits, and photosynthetic parameters of off-season potted Curcuma cv. ‘Jasmine Pink’ under deficit irrigation (DI). Plants were subjected to three treatments in a completely randomized design: 100% crop evapotranspiration (ETc), 50% ETc, and 50% ETc with 1000 ppm PS (weekly sprayed on leaves for 11 weeks). Both DI treatments (50% ETc and 50% ETc + PS) reduced plant height by 7.39% and 9.17%, leaf number by 16.99% and 7.03%, and total biomass by 21.13% and 20.58%, respectively, compared to 100% ETc. Notably, under DI, PS-treated plants maintained several parameters equivalent to the 100% ETc treatment, including flower bud emergence, blooming period, green bract number, effective quantum yield of PSII (ΔF/Fm′), and electron transport rate (ETR). In addition, PS application increased leaf area by 8.11% and compactness index by 9.80% relative to untreated plants. Photosynthetic rate, ΔF/Fm′, and ETR increased by 31.52%, 13.63%, and 9.93%, while non-photochemical quenching decreased by 16.51% under water-limited conditions. These findings demonstrate that integrating deficit irrigation with PS foliar application can enhance water use efficiency and maintain ornamental quality in off-season potted Curcuma, promoting sustainable water management in horticulture. Full article
Show Figures

Figure 1

20 pages, 1779 KB  
Article
Chloride as a Partial Nitrate Substitute in Hydroponics: Effects on Purslane Yield and Quality
by George P. Spyrou, Ioannis Karavidas, Theodora Ntanasi, Sofia Marka, Evangelos Giannothanasis, Gholamreza Gohari, Enrica Allevato, Leo Sabatino, Dimitrios Savvas and Georgia Ntatsi
Plants 2025, 14(14), 2160; https://doi.org/10.3390/plants14142160 - 13 Jul 2025
Cited by 4 | Viewed by 1672
Abstract
This study examined the effects of both nitrogen (N) rate and form on the growth, nutrient uptake, and quality parameters of hydroponically grown purslane (Portulaca oleracea L.) during a spring cultivation cycle. Purslane was cultivated in a floating hydroponic system under either [...] Read more.
This study examined the effects of both nitrogen (N) rate and form on the growth, nutrient uptake, and quality parameters of hydroponically grown purslane (Portulaca oleracea L.) during a spring cultivation cycle. Purslane was cultivated in a floating hydroponic system under either adequate or limiting N conditions. More specifically, under adequate N conditions, plants were supplied with NS where ammonium nitrogen (NH4-N) accounted for either 7% (Nr7) or 14% (Nr14) of the total-N. The limiting N conditions were achieved through the application of either an NS where 30% of N inputs were compensated with Cl (N30), or an NS where 50% of N inputs were balanced by elevating Cl and S by 30% and 20%, respectively (N50). The results demonstrated that mild N stress enhanced the quality characteristics of purslane without significant yield losses. However, further and more severe N restrictions in the NS resulted in significant yield losses without improving product quality. The highest yield reduction (20%) occurred under high NH4-N supply (Nr14), compared to Nr7-treated plants, which was strongly associated with impaired N assimilation and reduced biomass production. Both N-limiting treatments (N30 and N50) effectively reduced nitrate accumulation in edible tissues by 10% compared to plants grown under adequate N supply (Nr7 and Nr14); however, nitrate levels remained relatively high across all treatments, even though the environmental conditions of the experiment favored nitrate reduction. All applied N regimes and compensation strategies improved the antioxidant and flavonoid content, with the highest antioxidant activity observed in plants grown under high NH4-N application, indirectly revealing the susceptibility of purslane to NH4-N-rich conditions. Overall, the form and rate of N supply significantly influenced both plant performance and biochemical quality. Partial replacement of N with Cl (N30) emerged as the most promising strategy, benefiting quality traits and effectively reducing nitrate content without significantly compromising yield. Full article
Show Figures

Figure 1

13 pages, 634 KB  
Article
Identification of Cost-Relevant Factors in the Production of a Triterpenoid Saponin in Hydroponically Grown Soapwort: A Case Study
by Sandro T. Stoffel, René de Vaumas, Ruben Postel, Stefan Schillberg, Matthias Schwenkglenks and Helga Schinkel
Horticulturae 2025, 11(4), 353; https://doi.org/10.3390/horticulturae11040353 - 25 Mar 2025
Viewed by 1854
Abstract
The economically efficient, reproducible cultivation of plants containing valuable ingredients for pharmaceutical or cosmetic purposes is a challenge today. Although greenhouse cultivation is much more expensive than field cultivation, this may be justified by the high level of control over environmental conditions. However, [...] Read more.
The economically efficient, reproducible cultivation of plants containing valuable ingredients for pharmaceutical or cosmetic purposes is a challenge today. Although greenhouse cultivation is much more expensive than field cultivation, this may be justified by the high level of control over environmental conditions. However, a careful analysis of costs and the investigation of potential cost-reducing measures are essential. Here, soapwort (Saponaria officinalis) was grown in a greenhouse to identify factors influencing the production costs of the pharmaceutically relevant saponin SO1861 in the roots. The plants were grown hydroponically to facilitate harvesting. Three factors were identified as having a significant impact on production costs: the genotype of the plants, the method of propagation, and the type of lighting used in the greenhouse. Commercially available soapwort seeds do not have a defined genetic background. Cost simulations suggest that the cost of producing SO1861 can be significantly reduced by pre-testing plants for SO1861 production capacity, propagating plants from cuttings rather than seeds, and using light-emitting diodes instead of the more traditional high-pressure sodium lamps. The impact of these factors on the total production costs was calculated and discussed. A simplified version of the cost model, which can be used as a blueprint for estimating the costs of any other greenhouse crop, was also included in the supporting data. Full article
Show Figures

Graphical abstract

19 pages, 2849 KB  
Article
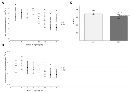
A Rotational Cultivation System for Indoor-Grown Lettuce: Feasibility in Terms of Yields, Resource Efficiency, Quality, and Postharvest Storage Capacity
by Cédric Dresch, Véronique Vidal, Séverine Suchail, Olivier Chevallier, Huguette Sallanon, Vincent Truffault and Florence Charles
Agronomy 2025, 15(3), 744; https://doi.org/10.3390/agronomy15030744 - 19 Mar 2025
Cited by 1 | Viewed by 2276
Abstract
Indoor farming in plant factories with artificial lighting (PFAL) offers optimized growing conditions and higher water, light, and land surface use efficiencies compared to greenhouses or open field agriculture but faces challenges related to energy consumption. The objective of this work is to [...] Read more.
Indoor farming in plant factories with artificial lighting (PFAL) offers optimized growing conditions and higher water, light, and land surface use efficiencies compared to greenhouses or open field agriculture but faces challenges related to energy consumption. The objective of this work is to evaluate the feasibility of using a rotational cultivation system for indoor-grown lettuce production. We compare a rotational cultivation system to a horizontal control cultivation system in terms of yields, resource efficiency, quality at harvest, and postharvest storage capacity. No significant differences were observed in yields, water use efficiency, light use efficiency, or postharvest storage capacity between the systems. Energy and land surface use efficiencies were higher in the rotational cultivation system compared to the control and consistent with the literature. However, a slight trend toward lower fresh and dry weights throughout the cultivation period in the rotational system was noted, correlating with reduced net photosynthesis during the first two hours and at the end of the lighting period. This effect was attributed to decreased stomatal conductance and photosystem II efficiency. Furthermore, the rotational cultivation system modified the quality by modifying the global polyphenol profile of the lettuce compared to the control. Based on yields and efficiencies, we show the feasibility of using a rotational cultivation system for indoor lettuce production. Full article
Show Figures

Figure 1

13 pages, 1430 KB  
Article
Study on Phenotypic Variation in Wild Populations of Prunella vulgaris
by Xiaoyu Wu, Shasha Wang, Fangming Liu, Xinhua Zhou, Hui Huang, Qiupeng Yuan, Chao Miao, Yi Yang, Wenwen Zhong, Zuwei Hu, Chen Chen, Yaokun Zhou and Zhi Li
Horticulturae 2024, 10(12), 1344; https://doi.org/10.3390/horticulturae10121344 - 14 Dec 2024
Viewed by 1811
Abstract
Objective: This study aimed to clarify the variation law of phenotypic traits such as the stem, leaf, flower, main branch ear and seed of Prunella vulgaris Linnaeus. (P. vulgaris), providing provide basic data support for protecting its wild germplasm resources. The phenotypic [...] Read more.
Objective: This study aimed to clarify the variation law of phenotypic traits such as the stem, leaf, flower, main branch ear and seed of Prunella vulgaris Linnaeus. (P. vulgaris), providing provide basic data support for protecting its wild germplasm resources. The phenotypic traits of stems, leaves, flowers, main branch ears and seeds of different wild populations of P. vulgaris were measured to reveal the phenotypic variation among and within populations of P. vulgaris, and to provide a scientific basis for the protection, utilization and collection of wild P. vulgaris germplasm resources. Methods: Variance analysis, coefficient of variation analysis, multiple comparison analysis, cluster analysis and principal component analysis were used to study the phenotypic traits of nine wild P. vulgaris populations in different regions of China. Results: The average phenotypic differentiation coefficient of nine traits was 52.04%. Inter-population variation was the main source of phenotypic variation of P. vulgaris. The average variation coefficient of each trait in the population was 21.25%, and the variation range was 15.02–28.94%. Pearson correlation analysis showed that there was a strong autocorrelation between phenotypic traits of wild P. vulgaris, and spikes and stems were greatly affected by environmental factors. According to the diameter of the stem and ear, nine wild P. vulgaris from different geographical populations could be divided into three groups. Group III (AHHS, JXFY) had the best phenotypic traits, and the traits of stem height, stem diameter, leaf length, leaf width and main branch ear length were the largest. The contribution rate of the three principal components screened by principal component analysis was 85.78%. Conclusions: We believe that the phenotypic differentiation among wild populations of P. vulgaris is at a medium level, and the variation within the population is smaller than that between populations, which may be an important reason for the sharp decline in the wild resources of P. vulgaris. Full article
Show Figures

Figure 1

21 pages, 4345 KB  
Article
Effect of Different Intensities of Leaf Removal on Tomato Development and Yield
by Vanesa Raya, Margarita Parra, María del Carmen Cid, Belarmino Santos and Domingo Ríos
Horticulturae 2024, 10(11), 1136; https://doi.org/10.3390/horticulturae10111136 - 25 Oct 2024
Cited by 3 | Viewed by 4031
Abstract
Defoliation (leaf removal or pruning) is a common practice in tomato production that makes crops more manageable, prevents conditions conducive to fungal attack and increases the exposure of the fruit to light, especially in winter conditions. The intensity and frequency of leaf removal [...] Read more.
Defoliation (leaf removal or pruning) is a common practice in tomato production that makes crops more manageable, prevents conditions conducive to fungal attack and increases the exposure of the fruit to light, especially in winter conditions. The intensity and frequency of leaf removal on commercial farms often vary according to workforce availability criteria, which makes it difficult to determine their effect on tomato crop yields. It would be reasonable to think that a reduction in leaf area influences radiation interception and, therefore, the production of assimilates and biomass. However, in intensive production systems with a high leaf area index (LAI), leaf pruning can increase radiation interception, either by reducing competition between productive and vegetative organs or by increasing radiation use efficiency. This study was therefore designed to assess the effect of different intensities and frequencies of basal leaf removal on dry matter production and partitioning between the different organs of the plant, and thus on tomato crop productivity. A series of trials were conducted over three consecutive seasons, with a trial conducted per season: (a) Trial 1: leaf removal control—LRC (with leaves removed from the base to two leaves below the truss close to harvest, T0) was compared with LR1 (leaf removal from the base to two leaves below the truss above T0, i.e., T1) and LR2 (two trusses above T0 (T2)); (b) Trial 2: LRC compared with LR2 and LR4 (four trusses above T0 (T4)), carried out at two frequencies; and (c) Trial 3: LRC compared with an intense leaf removal treatment (LRI) whereby between 10 and 12 leaves were left on each stem. LAI saturation values under our conditions were found to be around 2.0. No significant differences in yield were found between the control and treatments LR1, LR2 and LR4, with a reduction in the number of leaves of up to 35% and LAI values during harvest above 2.0. The intense leaf removal treatment (LRI), which reduced the number of leaves by 47% and the LAI value from 2.8 to 1.5 compared to the control, resulted in a 15% reduction in dry biomass and a 17% decrease in fruit yield. Full article
Show Figures

Figure 1

18 pages, 7226 KB  
Article
Exploring the Interplay of Bud Load and Pruning Type in Shaping ‘Xinomavro’ (Vitis vinifera L.) Vine Growth, Yield, and Berry Composition
by Serafeim Theocharis, Theodoros Gkrimpizis, Christina Karadimou, Kleopatra-Eleni Nikolaou, Stefanos Koundouras and Dimitrios Taskos
Horticulturae 2024, 10(10), 1111; https://doi.org/10.3390/horticulturae10101111 - 18 Oct 2024
Cited by 4 | Viewed by 2320
Abstract
‘Xinomavro’ (V. vinifera L.) is an important native red wine grape variety in Northern Greece, particularly in PDO (protected designation of origin) regions. Despite its significance, there is limited research on the effects of pruning type and severity on ‘Xinomavro’ vine physiology, [...] Read more.
‘Xinomavro’ (V. vinifera L.) is an important native red wine grape variety in Northern Greece, particularly in PDO (protected designation of origin) regions. Despite its significance, there is limited research on the effects of pruning type and severity on ‘Xinomavro’ vine physiology, yield, and berry quality across diverse environmental conditions. This study aimed to address this knowledge gap and provide growers with crucial information for optimizing vineyard management practices. The study was conducted over two consecutive years (2016 and 2017) in a vineyard in Thessaloniki, Northern Greece. Four treatments (B12: 12 buds on 6 spurs, B24: 24 buds on 12 spurs, M12: 12 buds on 2 canes, and M24: 24 buds on 4 canes) combining two bud load levels (12 or 24 count nodes) and two pruning types (short spurs or long canes) were applied to ‘Xinomavro’ vines in a complete block randomized design. The vine water status, gas exchange, canopy characteristics, yield components, and berry composition were measured. Bud load and pruning type significantly influenced vine canopy development, microclimate, and yield components. Short pruning with high bud load (B24) resulted in denser canopies and higher yields, whereas cane pruning (M12 and M24) led to more open canopies and improved berry quality indicators. Treatment effects on berry composition were inconsistent across years but showed a tendency for higher anthocyanin and total phenol content in cane-pruned vines. This study demonstrates that pruning type (short or long fruiting units) may have a greater impact on vine growth, yield, and berry composition than bud load alone in ‘Xinomavro’ vines. Cane pruning appears to be a more effective strategy for achieving vine balance and potentially improving grape quality under given experimental conditions. Full article
Show Figures

Figure 1

18 pages, 12379 KB  
Article
Optimizing Wheat Planting Density by Adjusting Population Structure and Stabilizing Stem Strength to Achieve High and Stable Yields
by Suwei Feng, Chenchen Shi, Peiyu Wang, Sujing Chang, Chaoyang Liu, Chenwei Shen, Shilong Li, Tiezhu Hu and Zhengang Ru
Agronomy 2024, 14(8), 1853; https://doi.org/10.3390/agronomy14081853 - 21 Aug 2024
Cited by 8 | Viewed by 4198
Abstract
Increasing wheat (Triticum aestivum L.) planting density is the most effective production management method for increasing yields; however, excessive crop populations under high planting densities may experience elevated risk of stem lodging. We conducted this study to assess the relationship between reduced [...] Read more.
Increasing wheat (Triticum aestivum L.) planting density is the most effective production management method for increasing yields; however, excessive crop populations under high planting densities may experience elevated risk of stem lodging. We conducted this study to assess the relationship between reduced lodging and increased yield, investigate the effects of planting density on wheat population structure, stem strength, and material transport, and provide a basis for rationale planting densities. The experiments were carried out using a split-plot design with three replicates. The main plots contained two wheat varieties: Bainong 5819 (BN5819) and Bainong 4199 (BN4199), and the sub-plots contained four planting density treatments: 90 × 104 plants/ha (D1), 180 × 104 plants/ha (D2), 270 × 104 plants/ha (D3), and 360 × 104 plants/ha (D4). A two-year field trial was conducted in 2021–2023. The relationships between population structure characteristics, changes in stem strength, activation, and retransport of stem material after anthesis, and achievement of high and stable yields were investigated at the different planting densities. When the planting density of wheat increased from D1 to D4 treatment, the activity of fructan hydrolase was significantly increased. Compared with D1 treatment, the highest activity of fructan hydrolase was increased by 457.47 μg/h/g under D4 treatment. At the same time, the increase of density also increased the contribution rate of dry matter accumulation (CDMA) to grain after anthesis increased, with the highest increase in CDMA at 33.67%, which significantly reduced stem strength. Correlation analysis revealed a significant negative association between CDMA and stem strength. Specifically, CDMA levels were significantly lower with the D3 treatment than the D4 treatment, while stem strength remained higher after anthesis as an adaptive response to mitigate lodging risk. Stem storage compounds can promote grain filling and a weight increase in inferior grains. The number of spikes per unit area increased significantly with increasing planting density, but the number of grains per spike and 1000-grain weight decreased significantly. In two years, the number of spikes in D3 treatment increased by a maximum of 211.67 × 104 ha−1 and 99.17 × 104 ha−1, respectively, compared to D1 and D2 treatments. The number of grains per spike was significantly higher than that of D4 treatment, the highest being 3.68 grains. Therefore, in the North China Plain with suitable water, fertilizer, and temperature, the sowing density of 270 × 104 plants/ha established population structure, significantly reduced CDMA, maintained post-anthesis stem strength, enhanced resilience of stems against post-anthesis lodging, and resulted in high yields by stabilizing the number of grains per spike and increasing the number of wheat spikes. Full article
Show Figures

Figure 1

12 pages, 4270 KB  
Article
High Photosynthetic Photon Flux Density Differentially Improves Edible Biomass Space Use Efficacy in Edamame and Dwarf Tomato
by Qingxin Liu, Xinglin Ke and Eiji Goto
Plants 2024, 13(13), 1858; https://doi.org/10.3390/plants13131858 - 5 Jul 2024
Cited by 1 | Viewed by 2167
Abstract
Improving edible biomass space use efficacy (EBSUE) is important for sustainably producing edamame and dwarf tomatoes in plant factories with artificial light. Photosynthetic photon flux density (PPFD) may increase EBSUE and space use efficacy (SUE). However, no study has quantitatively explained how PPFD [...] Read more.
Improving edible biomass space use efficacy (EBSUE) is important for sustainably producing edamame and dwarf tomatoes in plant factories with artificial light. Photosynthetic photon flux density (PPFD) may increase EBSUE and space use efficacy (SUE). However, no study has quantitatively explained how PPFD affects EBSUE in edamame and dwarf tomatoes. This study aimed to quantitatively validate the effects of PPFD on EBSUE in dwarf tomatoes and edamame and verify whether this effect differs between these crops. The edamame and dwarf tomato cultivars ‘Enrei’ and ‘Micro-Tom’, respectively, were cultivated under treatments with PPFDs of 300, 500, and 700 µmol m−2 s−1. The results showed that the EBSUE and SUE increased with increasing PPFD in both crops. The EBSUE increased depending on the increase in SUE, the dry mass ratio of the edible part to the total plant in the edamame, and the SUE only in the dwarf tomatoes. In conclusion, a high PPFD can improve the EBSUE and SUE of edamame and dwarf tomatoes in different ways at the reproductive growth stage. The findings from this study offer valuable information on optimizing space and resource usage in plant factories with artificial light and vertical farms. Additionally, they shed light on the quantitative impact of PPFD on both EBSUE and SUE. Full article
Show Figures

Figure 1

13 pages, 2481 KB  
Article
Separate and Combined Effects of Supplemental CO2, Gibberellic Acid, and Light on Hop Quality and Yield
by William L. Bauerle
Plants 2024, 13(12), 1670; https://doi.org/10.3390/plants13121670 - 16 Jun 2024
Cited by 3 | Viewed by 2203
Abstract
We investigated the effect of supplemental CO2, gibberellic acid (GA3), and light on the quality and yield of Humulus lupulus L. strobili (cones). When applied separately, CO2 and light increased the yield by 22% and 43%, respectively, and [...] Read more.
We investigated the effect of supplemental CO2, gibberellic acid (GA3), and light on the quality and yield of Humulus lupulus L. strobili (cones). When applied separately, CO2 and light increased the yield by 22% and 43%, respectively, and had a significant effect on the components of cone mass and quality. Exogenous GA3 increased flower set; however, the yield decreased by approximately 33%. Combining CO2, GA3, and light, and any combination thereof, resulted in significant increases in flower set and cone yield enhancement compared to separate applications. A synergistic effect occurred when some factors were combined. For example, the combination of CO2 and light resulted in a yield increase of approximately 122%. The combination of all three resources, CO2, GA3, and light, resulted in an approximate 185% yield increase per plant. Thus, in comparison to the addition of one supplementary resource, a greater increase in yield resulted from the combination of two or more supplemental resources. Flower set stimulation due to GA3 decreased cone alpha- and beta-acid quality attributes, unless combined with CO2 and light as additional carbohydrate-generating resources. Additional research is needed to close the hop yield gap between current hop yields and the achievement of the plant’s genetic potential. Full article
Show Figures

Figure 1

17 pages, 3518 KB  
Article
Light Intensity Affects Growth and Nutrient Value of Hydroponic Barley Fodder
by Jinyu Yang, Jiusheng Sun, Xihe Wang and Bo Zhang
Agronomy 2024, 14(6), 1099; https://doi.org/10.3390/agronomy14061099 - 22 May 2024
Cited by 6 | Viewed by 7536
Abstract
Light intensity significantly influences plant growth in hydroponic green fodder systems, yet research exploring the growth dynamics and nutrient accumulation in hydroponically grown barley under various light conditions has been limited. This study investigated the impact of different light intensities—0, 100, 200, and [...] Read more.
Light intensity significantly influences plant growth in hydroponic green fodder systems, yet research exploring the growth dynamics and nutrient accumulation in hydroponically grown barley under various light conditions has been limited. This study investigated the impact of different light intensities—0, 100, 200, and 300 μmol/m2/s—on the nutritional composition and quality of hydroponic barley fodder. Assessments were made on biomass production, physiological responses including photosynthetic parameters, and nutritional components such as essential amino acids five days post-treatment. The findings indicated that increasing light intensity boosted photosynthetic activity, expanded leaf area, enhanced root length, and promoted biomass accumulation. However, the highest intensity tested, 300 μmol/m2/s, led to significant chlorophyll degradation, increased water loss, and induced oxidative stress, adversely affecting fodder quality and reducing essential amino acids. In contrast, an intensity of 200 μmol/m2/s was identified as optimal for promoting robust barley growth through principal component analysis. This optimal setting supported vigorous growth and ensured the production of nutrient-rich, high-quality fodder, providing a basis for scaling up production efficiently. This research offers crucial insights into optimizing light conditions to maximize both the yield and nutritional quality of hydroponically grown barley fodder, presenting a significant step forward in enhancing hydroponic farming practices. Full article
Show Figures

Figure 1

17 pages, 9191 KB  
Article
Modulating ‘Xinomavro’ (Vitis vinifera L.) Vine Growth and Berry Composition: A Comparative Analysis of Rootstock Effects
by Serafeim Theocharis, Theodoros Gkrimpizis, Christina Karadimou, Anastasios Alatzas, Stefanos Koundouras and Dimitrios Taskos
Horticulturae 2024, 10(5), 490; https://doi.org/10.3390/horticulturae10050490 - 9 May 2024
Cited by 7 | Viewed by 2985
Abstract
Rootstocks serve as a strategic tool for grapevine adaptation to specific biotic and abiotic conditions and for managing vine growth, grape yield, and berry composition in commercial vineyards. This study investigates the influences of four different rootstock varieties (101-14 MGt, 3309 C, 110 [...] Read more.
Rootstocks serve as a strategic tool for grapevine adaptation to specific biotic and abiotic conditions and for managing vine growth, grape yield, and berry composition in commercial vineyards. This study investigates the influences of four different rootstock varieties (101-14 MGt, 3309 C, 110 R, and 140 Ru) on the viticultural performance of ‘Xinomavro’ vines, a prominent Greek red winegrape varietal. By conducting a two-year field experiment using various rootstocks, we assessed parameters related to water status, vegetative growth, yield, and berry composition. Our results revealed that rootstock selection has a significant impact on vine development, especially in terms of berry size and the concentrations of secondary metabolites. Principal component analysis confirmed the complex interaction between rootstock vigor and vine productivity. This study underscores the importance of rootstock variety in manipulating grapevine characteristics, particularly for the ‘Xinomavro’ variety, in response to regional climatic conditions. Full article
Show Figures

Figure 1

11 pages, 4538 KB  
Article
Multilocus Gene Analyses Indicate Tamarix aphylla as Reservoir Host of Diverse Phytoplasmas Associated with Witches’ Broom and Yellowing Symptomatology
by Seyyed Alireza Esmaeilzadeh-Hosseini, Ghobad Babaei, Francesco Pacini and Assunta Bertaccini
Plants 2024, 13(9), 1248; https://doi.org/10.3390/plants13091248 - 30 Apr 2024
Cited by 4 | Viewed by 2085
Abstract
Tamarisk witches’ broom, yellowing, and little leaf symptoms were observed during 2018–2023 surveys of rural deserts in central regions of Iran with the highest disease incidence up to 72% in Chah Afzal (Yazd province). A verification of the presence and identity of phytoplasmas [...] Read more.
Tamarisk witches’ broom, yellowing, and little leaf symptoms were observed during 2018–2023 surveys of rural deserts in central regions of Iran with the highest disease incidence up to 72% in Chah Afzal (Yazd province). A verification of the presence and identity of phytoplasmas associated with these symptoms was then performed. Tamarisk tree branch cuttings obtained from symptomatic plants sprouted up to 90.3% but with 15–25 days’ delay compared to the asymptomatic ones and showed internode shortening and witches’ broom, while the branch cuttings from asymptomatic plants had normal growth and sprouted up to 97.8%. Phytoplasma transmission by dodder bridges to periwinkle did not succeed, while nested polymerase chain reaction on the phytoplasma ribosomal gene followed by RFLP and phylogenetic analyses revealed the presence of ‘Candidatus Phytoplasma asteris’, ‘Ca. P. australasiae=australasiaticum’, and ‘Ca. P. trifolii’ (ribosomal subgroups 16SrI-B, 16SrII-D, and 16SrVI-A, respectively) in the samples from symptomatic plants only. Further amplifications were performed on selected phytoplasma-positive samples on tuf and secA genes, and the produced sequences indicated the presence of mixed phytoplasma infection in some of the samples. In particular, in the tuf gene, a mixed infection of ‘Ca. P. australasiae=australasiaticum’ and ‘Ca. P. trifolii’ was detected, while in the secA gene, the presence of ‘Ca. P. asteris’ or ‘Ca. P. tritici’ strains was identified. The first-time detection of diverse phytoplasma strains in symptomatic T. aphylla suggests that this species represent a relevant source of infection for the agricultural crops and for landscape plants especially when temperature allows insect vector transmission, and therefore, it represents a risk in every environment especially in the frame of climatic changes. Full article
Show Figures

Figure 1

16 pages, 5342 KB  
Article
Optimizing ‘Xinomavro’ (Vitis vinifera L.) Performance by Post-Bloom Basal Leaf Removal Applications
by Serafeim Theocharis, Dimitrios Taskos, Theodoros Gkrimpizis, Kleopatra-Eleni Nikolaou, Dimitrios-Evangelos Miliordos and Stefanos Koundouras
Horticulturae 2024, 10(4), 340; https://doi.org/10.3390/horticulturae10040340 - 29 Mar 2024
Cited by 5 | Viewed by 2090
Abstract
A three-year study was conducted to investigate the effects of two timings—at berry set and at veraison—of post-bloom leaf removal (LR) applications from the basal sections of the shoot on the growth, yield, and berry composition of Vitis vinifera L. cv. Xinomavro, the [...] Read more.
A three-year study was conducted to investigate the effects of two timings—at berry set and at veraison—of post-bloom leaf removal (LR) applications from the basal sections of the shoot on the growth, yield, and berry composition of Vitis vinifera L. cv. Xinomavro, the major red winegrape of North Greece. LR at berry set drastically reduced yield by affecting all its components while increasing the ratio of secondary foliage per total leaf area. LR at veraison had a milder effect on growth and yield. Both treatments increased sugar and phenolic compound levels in berries, while early LR increased the contribution of more stable forms of anthocyanins. Additionally, early LR increased the skin-to-pulp ratio, suggesting that it could be an effective viticultural technique for more concentrated red wines. Overall, both LR timings improved most of the berry attributes compared to the non-treated vines; however, the earlier application can be recommended when aiming at the production of deep-colored and richly flavored wines. Full article
Show Figures

Graphical abstract

18 pages, 2448 KB  
Review
Enhancing Productivity and Improving Nutritional Quality of Subtropical and Temperate Leafy Vegetables in Tropical Greenhouses and Indoor Farming Systems
by Jie He
Horticulturae 2024, 10(3), 306; https://doi.org/10.3390/horticulturae10030306 - 21 Mar 2024
Cited by 12 | Viewed by 4718
Abstract
The total land used for land-based food farms is less than 1% in Singapore. As a result, more than 90% of Singapore’s food needs are imported. To strengthen food security, Singapore has set a target to develop the capability and capacity of the [...] Read more.
The total land used for land-based food farms is less than 1% in Singapore. As a result, more than 90% of Singapore’s food needs are imported. To strengthen food security, Singapore has set a target to develop the capability and capacity of the agri-food industry to locally produce 30% of its nutritional needs by 2030. To achieve this goal, technology is the key to helping farms to “grow more with less”. This review first discusses how aeroponic systems have been adapted for growing all kinds of leafy vegetables in the tropics through the manipulation of root-zone temperature and heat priming to save power energy. Growing vegetable crops indoors and in greenhouses not only allows the growers to achieve high productivity but also enables them to enhance nutritional values. The second part of this paper emphasizes how to achieve substantial yield through deficit irrigation with higher nutritional quality in a cost-effective manner. Growing crops vertically has become increasingly popular, as it increases land use. We establish a commercially viable LED-integrated aeroponic system to grow vegetables vertically. The last part of the paper discusses the impacts of LED spectral quality, quantity, and duration on vegetable production. Full article
Show Figures

Figure 1

16 pages, 1519 KB  
Article
The Energy Requirement for Supplemental Greenhouse Lighting Can Be Reduced by Considering ‘Excess’ Light from the Previous Day
by Theekshana C. Jayalath, Marc W. van Iersel and Rhuanito Soranz Ferrarezi
Plants 2024, 13(5), 652; https://doi.org/10.3390/plants13050652 - 27 Feb 2024
Cited by 8 | Viewed by 4277
Abstract
The sunlight greenhouse crops receive varies and is often insufficient for consistent year-round growth in greenhouses. Supplemental lighting is commonly applied in winter, but this practice has a significant energy cost, accounting for 10–30% of operating expenses and impacting greenhouse profitability. Greenhouse lights [...] Read more.
The sunlight greenhouse crops receive varies and is often insufficient for consistent year-round growth in greenhouses. Supplemental lighting is commonly applied in winter, but this practice has a significant energy cost, accounting for 10–30% of operating expenses and impacting greenhouse profitability. Greenhouse lights are traditionally adjusted based on sunlight intensity to meet crops’ daily light requirements. However, if plants can withstand lower daily light integrals (DLI) after a sunny day without reducing the growth, there is potential to reduce the energy required for supplemental lighting and increase the profit. To determine whether excess light received one day can be ‘carried over’ to the next, we grew oakleaf lettuce (Lactuca sativa ‘Green Salad Bowl’ and ‘Red Salad Bowl’) under six lighting regimes inside a vertical farm. Plants in all treatments received an average DLI of 15 mol·m−2·d−1, but DLIs alternated from day-to-day (15/15, 17.5/12.5, 20/10, 22.5/7.5, 25/5, and 27.5/2.5 mol·m−2·d−1), resulting in DLI fluctuations from 0 to 25 mol·m−2·d−1. Plants had similar leaf area (~800 cm2/plant) and dry weight (~1.8 g/plant) when grown with DLI fluctuations from 0 to 15 mol·m−2·d−1, while higher DLI fluctuation reduced growth. To confirm this DLI “carrying-over” effect on plants grown under sunlight with supplemental light, we conducted a second study in a greenhouse with ‘Green Salad Bowl’ lettuce. In this study, plants were grown with five different DLI fluctuations (15/15, 16.75/13.25, 18.5/11.5, 20.25/9.75, and 22/8 mol·m−2·d−1), ranging from 0 to 14 mol·m−2·d−1, while maintaining an average DLI of 15 mol·m−2·d−1 in all the treatments. We observed similar leaf area (~750 cm2/plant) and dry weight (~1.8 g/plant) in lettuce plants grown with DLI fluctuations from 0 to 10.5 mol·m−2·d−1. Higher DLI fluctuations reduced growth. Hence, carrying excess light from a sunny to an overcast day is possible within limits. Our study concluded that the DLI requirement can be reduced by approximately 5.25 mol·m−2·d−1 on the day following a sunny day. By analyzing historical weather data from five US locations, we quantified the potential annual energy savings from incorporating this ‘carrying-over DLI’ concept. This approach resulted in annual energy savings of approximately 75–190 MWh/ha in greenhouse lettuce production. Such reductions in supplemental lighting energy will enhance the profitability and sustainability of the greenhouse industry. Full article
Show Figures

Figure 1

18 pages, 9961 KB  
Article
Optimized Tomato Production in Chinese Solar Greenhouses: The Impact of an East–West Orientation and Wide Row Spacing
by Yiman Li, Michael Henke, Dalong Zhang, Chuanqing Wang and Min Wei
Agronomy 2024, 14(2), 314; https://doi.org/10.3390/agronomy14020314 - 31 Jan 2024
Cited by 18 | Viewed by 6194
Abstract
Experimental studies were conducted on the cultivation of tomatoes (Solanum lycopersicum L.) at Shandong Agricultural University, China, from 2022 to 2023. Three cultivation patterns were designed as follows: a north–south orientation with a row spacing of 1.40 m (NS-1.4m), a north–south orientation [...] Read more.
Experimental studies were conducted on the cultivation of tomatoes (Solanum lycopersicum L.) at Shandong Agricultural University, China, from 2022 to 2023. Three cultivation patterns were designed as follows: a north–south orientation with a row spacing of 1.40 m (NS-1.4m), a north–south orientation with a row spacing of 1.80 m (NS-1.8m) and an east–west orientation with a row spacing of 1.80 m (EW-1.8m). A functional–structural plant model using the open source interactive modeling platform of GroIMP was constructed for the cultivation of tomatoes. The growth of plants as well as the light distribution and light interception capacity of the crop canopy were simulated and analyzed. The impacts of these cultivation patterns on the growth, photosynthetic characteristics, fruit ripening time, quality and yield of tomato plants were analyzed. The studies revealed that compared with the NS-1.4m treatment, the canopy light interception of tomato plants under the NS-1.8m and EW-1.8m treatments increased by 6.08% and 9.80% in a winter–spring crop and 6.80% and 19.76% in an autumn–winter crop, respectively. Their plant height, leaf area, aboveground dry matter accumulation, leaf net photosynthesis rate as well as the lycopene, vitamin C and sugar–acid ratio of the fruit all exhibited increasing trends, while fruit ripening was accelerated. The yield of the NS-1.8m and EW-1.8m treatments increased by 3.92% and 6.18% in a winter–spring crop and 4.17% and 9.78% in an autumn–winter crop, respectively. Structural equation modeling was used to further analyze the data, confirming that the cultivation of an east–west orientation with wide row spacing is beneficial for tomato cultivation in Chinese solar greenhouses. This cultivation pattern maximizes the canopy’s light interception, thus leading to improved fruit quality and yield. Overall, this study provides valuable insights for optimizing the cultivation pattern of solar greenhouse crops. Full article
Show Figures

Figure 1

14 pages, 1448 KB  
Article
Growth and Development of Leaf Vegetable Crops under Conditions of the Phytotechnical Complex in Antarctica
by Gayane G. Panova, Andrey V. Teplyakov, Anatoliy B. Novak, Margarita A. Levinskikh, Olga R. Udalova, Galina V. Mirskaya, Yuriy V. Khomyakov, Dmitry M. Shved, Evgeniy A. Ilyin, Tatiana E. Kuleshova, Elena V. Kanash and Yuriy V. Chesnokov
Agronomy 2023, 13(12), 3038; https://doi.org/10.3390/agronomy13123038 - 11 Dec 2023
Cited by 6 | Viewed by 2594
Abstract
Ensuring the technical and technological possibility of regularly obtaining fresh, high-quality plant production in Antarctic stations is an urgent task of our time. This work is devoted to studying the growth and development of leaf vegetable crops and the main quality indicators of [...] Read more.
Ensuring the technical and technological possibility of regularly obtaining fresh, high-quality plant production in Antarctic stations is an urgent task of our time. This work is devoted to studying the growth and development of leaf vegetable crops and the main quality indicators of their edible parts when grown in the phytotechnical complex greenhouses at the “Vostok” Antarctic station and at the agrobiopolygon of the Agrophysical Research Institute (AFI). The plants, belonging to 13 varieties of 9 types of leaf vegetable crops (arugula, garden cress, cabbage, mustard, leaf radish, leaf lettuce, amaranth, dill, parsley leaf), were studied during five growing seasons at the “Vostok” station and at the AFI agrobiopolygon under controlled conditions (control). The experimental data obtained demonstrate the high productivity of the phytotechnical complex for most of the investigated crops per unit of useful area, with lower costs of electricity and water consumption per unit of production compared with a number of greenhouses at foreign Antarctic stations and greenhouse complexes with controlled conditions located on other continents. Lettuce crops were the most adapted to the growing conditions at the Antarctic station “Vostok”. They did not differ in their evaluated characteristics from the control. All other investigated crops, while not differing in their development rate and quality, had statistically significant (16–61%) decreases in their yield per 1 m2 per year. This may demonstrate the difference in the “genotype–environment” interaction in plants grown at the Antarctic station and AFI agrobiopolygon, probably due to the different barometric pressure and partial pressure of oxygen at the two locations. The positive psychological effects of the greenhouses were identified along with nutritional and other qualities of the plants. Full article
Show Figures

Figure 1

20 pages, 1187 KB  
Review
Advancements in Lily Viruses Management: Challenges and Solutions in Elimination and Detection
by Huiling Gong, Leonce Dusengemungu, Peng Lv and Clement Igiraneza
Horticulturae 2023, 9(7), 790; https://doi.org/10.3390/horticulturae9070790 - 11 Jul 2023
Cited by 10 | Viewed by 5198
Abstract
Lilies are important crops that are commonly used as cut flowers (Lilium spp.) and edible bulb crops (Lilium davidii var. unicolor). However, virus infections can significantly impact the quantity and quality of lily production. Various methods have been developed to [...] Read more.
Lilies are important crops that are commonly used as cut flowers (Lilium spp.) and edible bulb crops (Lilium davidii var. unicolor). However, virus infections can significantly impact the quantity and quality of lily production. Various methods have been developed to eliminate viruses in lilies, including in vitro culture and virus detection techniques. Meristem culture is the most effective method, which can be combined with other techniques such as thermotherapy and chemotherapy. Nonetheless, virus elimination is affected by several factors, including cultivar, explants used, virus type, and duration of treatments. Efficient diagnostic methods, such as serological and molecular techniques, have been developed to detect viral infections in lilies, including enzyme-linked immunosorbent assay (ELISA) and real-time reverse transcriptase polymerase chain reaction (real-time RT-PCR). However, cross-contamination and multiple-virus contamination can lead to unreliable results, and more sophisticated protocols and systems have been developed to address these issues. The objective of this review is to provide a comprehensive overview of the development of lily virus eradication, detection strategies, challenges, and solutions associated with these procedures, and how more sophisticated approaches such as multiplex RT-PCR, indirect ELISA (ID-ELISA), immunocapture RT-PCR (IC-RT-PCR), and immunochromatographic test strips (ICSs) can alleviate some of these setbacks. Full article
Show Figures

Figure 1

15 pages, 1561 KB  
Article
Comparison of the Growth, Physio-Biochemical Characteristics, and Quality Indices in Soilless-Grown Strawberries under Greenhouse and Open-Field Conditions
by Jalil Rahim Doust, Mohammad Javad Nazarideljou, Mousa Arshad and Antonio Ferrante
Horticulturae 2023, 9(7), 774; https://doi.org/10.3390/horticulturae9070774 - 6 Jul 2023
Cited by 10 | Viewed by 5512
Abstract
Soilless cultivation represents a promising method for the future of the horticulture industry as it offers advantages such as improved quality control over the growth environment and mitigation of uncertainties related to soil, water, and nutrient availability. In this study, we aimed to [...] Read more.
Soilless cultivation represents a promising method for the future of the horticulture industry as it offers advantages such as improved quality control over the growth environment and mitigation of uncertainties related to soil, water, and nutrient availability. In this study, we aimed to investigate the effects of different environments, specifically greenhouse (GH) and open-field (OF), on the growth, phenotypic characteristics, physio-biochemical properties, qualitative parameters, and antioxidant capacity of strawberries cultivated using a soilless system. The aforementioned parameters were measured in both the GH and OF settings. Our findings revealed that the growth, yield, and morphological parameters were significantly higher in the GH environment compared to the OF. However, when considering fruit quality indices such as fruit texture firmness, fruit dry matter percentage, taste index (TSS/TA ratio), and post-harvest shelf-life, the OF cultivation method exhibited significantly superior results. Moreover, various aspects, related to plant physiology and biochemistry, antioxidant enzyme activity, total antioxidant capacity (DPPH), vitamin C content, and secondary metabolites, were found to be significantly higher in the OF environment compared to the GH. Overall, the results of our study suggest that OF soilless cultivation outperforms GH cultivation in terms of fruit quality, antioxidant capacity, and post-harvest shelf-life. Despite the observed decrease in fruit growth and yield, soilless strawberries grown in OF are likely to yield a final product of higher quality and nutritional value compared to those cultivated in a GH environment. These findings highlight the potential of OF soilless cultivation as a viable approach for strawberry production, emphasizing the importance of considering not only yield but also qualitative aspects and the nutritional value. Further exploration and optimization of soilless cultivation techniques in OF settings could contribute to the advancement of sustainable horticultural practices. Full article
Show Figures

Graphical abstract

22 pages, 7188 KB  
Article
Water Productivity Indices of Onion (Allium cepa) under Drip Irrigation and Mulching in a Semi-Arid Tropical Region of Colombia
by César Augusto Terán-Chaves, Luis Montejo-Nuñez, Carina Cordero-Cordero and Sonia Mercedes Polo-Murcia
Horticulturae 2023, 9(6), 632; https://doi.org/10.3390/horticulturae9060632 - 27 May 2023
Cited by 15 | Viewed by 8444
Abstract
Efficient water management is crucial for sustainable agriculture and water resource conservation, particularly in water-scarce regions. This study investigated the effect of different irrigation depths on onion (Allium cepa L.) yield and water use patterns in a semi-arid tropical region of Colombia, [...] Read more.
Efficient water management is crucial for sustainable agriculture and water resource conservation, particularly in water-scarce regions. This study investigated the effect of different irrigation depths on onion (Allium cepa L.) yield and water use patterns in a semi-arid tropical region of Colombia, using a completely randomized design with five treatments. The treatments ranged from 0–100% of total available water (TAW), T1 (100% of TAW), T2 (80% of TAW), T3 (60% of TAW), T4 (40% of TAW), and T5 (20% of TAW). The experiment was conducted in a greenhouse during one growing season (2022–2023). The normalized water productivity (WP *), irrigation water productivity (IWP), consumptive water productivity, blue water footprint (WFblue), marginal water use efficiency (MWUE), and elasticity of water productivity (EWP), as well as some parameters of quality onion, were determined. The soil in the experimental field was classified as sandy loam; the results show that the WP * of onion is 17.42 g m−2, the water production function shows the maximum production will be achieved at a water application depth of approximately 943 mm, and beyond that, the biomass yield will decrease with additional water application, IWP values for onion ranged from 2.18 to 3.42 kg m−3, the highest Wfblue was in T5 (34.10 m3 t−1), and low Wfblue was T1 (20.95 m3 t−1). In terms of quality, treatment T1 had the most favorable effects on bulb weight, polar diameter, and equatorial diameter, while treatment T5 had the least favorable effects. The study highlights the importance of efficient irrigation on sandy loam soils to maximize yield and water use efficiency. It provides valuable data for evaluating the potential yield benefits of precision irrigation in the study area. Optimizing irrigation depth can significantly improve onion yield and water use efficiency in semi-arid regions. Full article
Show Figures

Figure 1

Back to TopTop