Exploring the Interplay of Bud Load and Pruning Type in Shaping ‘Xinomavro’ (Vitis vinifera L.) Vine Growth, Yield, and Berry Composition
Abstract
1. Introduction
2. Materials and Methods
2.1. Experimental Vineyard and Trial Design
2.2. Vine Water Potential and Leaf Gas Exchange
2.3. Leaf Area, Shoot Growth Production, and Grape Yield
2.4. Berry Sampling and Must Analysis
2.5. Phenolic Content and Anthocyanins
2.6. Statistical Analysis
3. Results
3.1. Stem Water Potential and Gas Exchange
3.2. Vine Canopy, Shoot Growth, and Microclimate
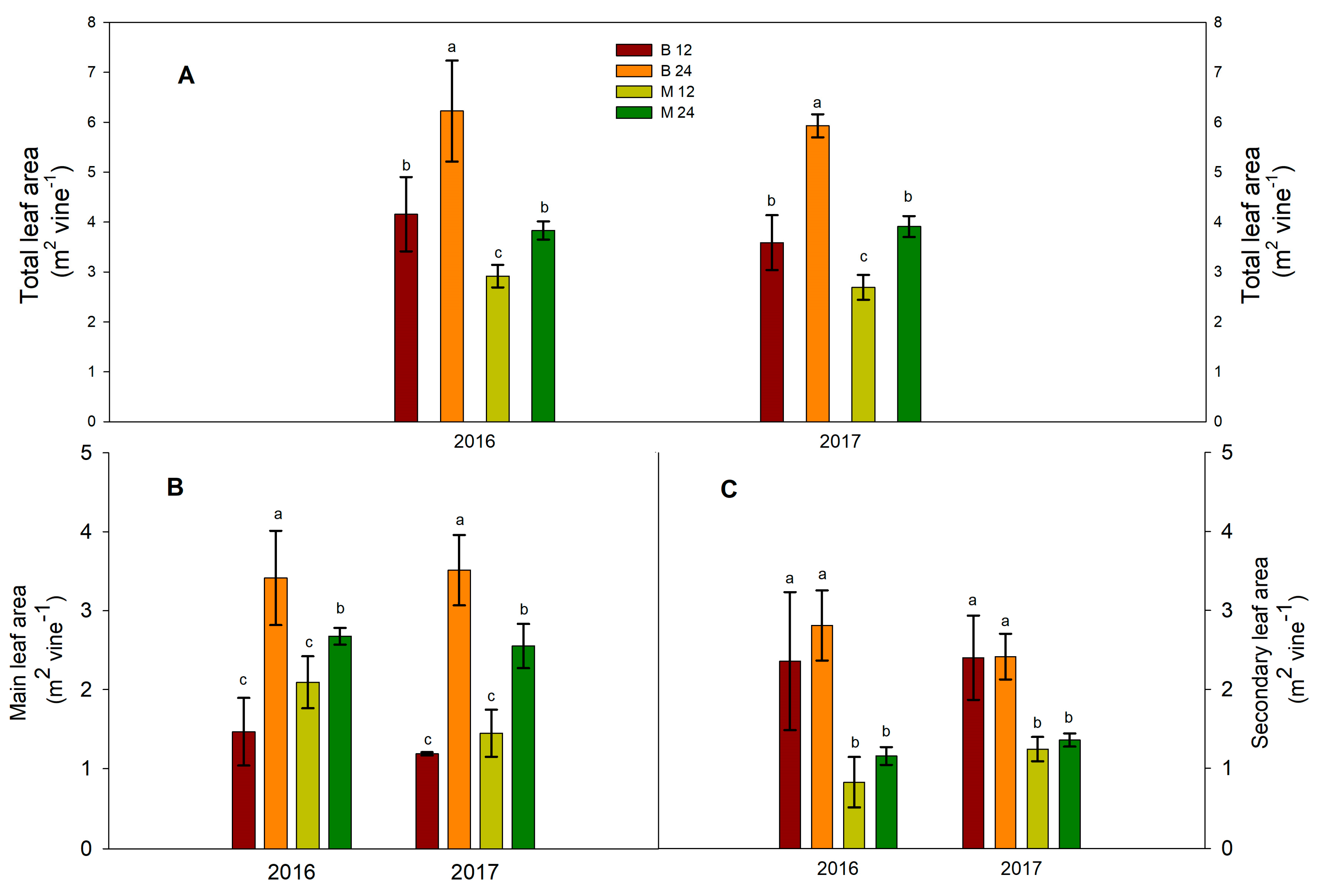
3.2.1. Leaf Area and Shoot Growth
3.2.2. Canopy Density and Cluster Temperature
3.3. Grape Production, Cluster Properties, and Vine Balance
3.4. Berry Composition
3.5. Multivariate Analysis and Data Overview
4. Discussion
4.1. Vine Water Status and Gas Exchange
4.2. Vine Canopy and Microclimate
4.2.1. Leaf Area
4.2.2. Shoot Growth
4.2.3. Canopy Density, Cluster Shading, and Microclimate
4.3. Yield Components
4.4. Berry Composition
5. Conclusions
Supplementary Materials
Author Contributions
Funding
Data Availability Statement
Conflicts of Interest
References
- Gladstones, J.S. Viticulture and Environment: A Study of the Effects of Environment on Grapegrowing and Wine Qualities, with Emphasis on Present and Future Areas for Growing Winegrapes in Australia; Winetitles: Adelaide, SA, Australia, 1992; ISBN 1875130128. [reprint. 2002]. [Google Scholar]
- Howell, G.S. Sustainable Grape Productivity and the Growth-Yield Relationship: A Review. Am. J. Enol. Vitic. 2001, 52, 165–174. [Google Scholar] [CrossRef]
- Ravaz, L.N. L’effeuillage de la vigne. Ann. de L’Ecole Natl. D’agriculture de Montpellie 1911, 11, 216–244. [Google Scholar]
- Poni, S.; Gatti, M.; Palliotti, A.; Dai, Z.; Duchêne, E.; Truong, T.-T.; Ferrara, G.; Matarrese, A.M.S.; Gallotta, A.; Bellincontro, A.; et al. Grapevine quality: A multiple choice issue. Sci. Hortic. 2018, 234, 445–462. [Google Scholar] [CrossRef]
- Heazlewood, J.E.; Wilson, S.; Clark, R.J.; Gracie, A.J. Pruning effects on Pinot noir vines in Tasmania (Australia). Vitis 2006, 45, 165–171. [Google Scholar]
- Archer, E.; Fouche, G.W. Effect of Bud Load and Rootstock Cultivar on the Performance of V. vinifera L. cv. Red Muscadel (Muscat noir). SAJEV 1987, 8, 6–10. [Google Scholar] [CrossRef]
- Greven, M.M.; Bennett, J.S.; Neal, S.M. Influence of retained node number on Sauvignon Blanc grapevine vegetative growth and yield. Aust. J. Grape Wine Res. 2014, 20, 263–271. [Google Scholar] [CrossRef]
- Kurtural, S.K.; Dami, I.E.; Taylor, B.H. Effects of Pruning and Cluster Thinning on Yield and Fruit Composition of ‘Chambourcin’ Grapevines. HortTechnology 2006, 16, 233–240. [Google Scholar] [CrossRef]
- Cameron, W.; Petrie, P.R.; Bonada, M. Effects of Vineyard Management Practices on Winegrape Yield Components. A Review Using Meta-analysis. Am. J. Enol. Vitic. 2024, 75, 0750007. [Google Scholar] [CrossRef]
- Dry, P.R. Canopy management for fruitfulness. Aust. J. Grape Wine Res. 2000, 6, 109–115. [Google Scholar] [CrossRef]
- Dokoozlian, N.K.; Kliewer, W.M. The Light Environment Within Grapevine Canopies. II. Influence of Leaf Area Density on Fruit Zone Light Environment and Some Canopy Assessment Parameters. Am. J. Enol. Vitic. 1995, 46, 219–226. [Google Scholar] [CrossRef]
- Spayd, S.E.; Tarara, J.M.; Mee, D.L.; Ferguson, J.C. Separation of Sunlight and Temperature Effects on the Composition of Vitis vinifera cv. Merlot Berries. Am. J. Enol. Vitic. 2002, 53, 171–182. [Google Scholar] [CrossRef]
- Tarara, J.M.; Lee, J.; Spayd, S.E.; Scagel, C.F. Berry Temperature and Solar Radiation Alter Acylation, Proportion, and Concentration of Anthocyanin in Merlot Grapes. Am. J. Enol. Vitic. 2008, 59, 235–247. [Google Scholar] [CrossRef]
- Reynolds, A.G.; Vanden Heuvel, J.E. Influence of Grapevine Training Systems on Vine Growth and Fruit Composition: A Review. Am. J. Enol. Vitic. 2009, 60, 251–268. [Google Scholar] [CrossRef]
- Greven, M.M.; Neal, S.M.; Hall, A.J.; Bennett, J.S. Influence of retained node number on Sauvignon Blanc grapevine phenology in a cool climate. Aust. J. Grape Wine Res. 2015, 21, 290–301. [Google Scholar] [CrossRef]
- Miele, A.; Rizzon, L.A. Pruning and cluster thinning intensity on the composition of Cabernet Sauvignon grape. Rev. Bras. De Frutic. 2013, 35, 1081–1092. [Google Scholar] [CrossRef]
- Smart, R.E.; Robinson, M.D.; New Zealand Ministry of Agriculture and Fisheries. Sunlight into Wine: A Handbook for Winegrape Canopy Management; Winetitles: Adelaide, SA, Australia, 1991; ISBN 1875130101. [Google Scholar]
- Hunter, J.J.; Harpe, A.C. The effect of rootstock cultivar and bud load on the colour of Vitis vinifera L. cv. Muscat noir (Red Muscadel) grapes. S. Afr. J. Enol. Vitic. 1987, 8, 1–5. [Google Scholar] [CrossRef][Green Version]
- Sabbatini, P.; Wierba, K.; Clearwater, L.; Howell, G.S. Impact of Training System and Pruning Severity on Yield, Fruit Composition, and Vegetative Growth of ‘Niagara’ Grapevines in Michigan. Int. J. Fruit Sci. 2015, 15, 237–250. [Google Scholar] [CrossRef]
- Howell, G.S.; Miller, D.P.; Edson, C.E.; Striegler, R.K. Influence of Training System and Pruning Severity on Yield, Vine Size, and Fruit Composition of Vignoles Grapevines. Am. J. Enol. Vitic. 1991, 42, 191–198. [Google Scholar] [CrossRef]
- Eltom, M.; Winefield, C.S.; Trought, M. Effect of pruning system, cane size and season on inflorescence primordia initiation and inflorescence architecture of Vitis vinifera L. Sauvignon Blanc. Aust. J. Grape Wine Res. 2014, 20, 459–464. [Google Scholar] [CrossRef]
- Wessner, L.F.; Kurtural, S.K. Pruning Systems and Canopy Management Practice Interact on the Yield and Fruit Composition of Syrah. Am. J. Enol. Vitic. 2013, 64, 134–138. [Google Scholar] [CrossRef]
- Peppi, M.C.; Kania, E. Effects of spur or cane pruning on fruit composition of ‘Cabernet Sauvignon’ grapes. In IX International Symposium on Grapevine Physiology and Biotechnology; International Society for Horticultural Science: La Serena, Chile, 2017; pp. 17–20. ISBN 9789462611535. [Google Scholar]
- Kyraleou, M.; Kallithraka, S.; Koundouras, S.; Chira, K.; Haroutounian, S.; Spinthiropoulou, H.; Kotseridis, Y. Effect of vine training system on the phenolic composition of red grapes (Vitis vinifera L. cv. Xinomavro). J. Int. des Sci. de la Vigne et du Vin. 2015, 49, 71–84. [Google Scholar] [CrossRef]
- Theocharis, S.; Gkrimpizis, T.; Karadimou, C.; Alatzas, A.; Koundouras, S.; Taskos, D. Modulating ‘Xinomavro’ (Vitis vinifera L.) Vine Growth and Berry Composition: A Comparative Analysis of Rootstock Effects. Horticulturae 2024, 10, 490. [Google Scholar] [CrossRef]
- Theocharis, S.; Taskos, D.; Gkrimpizis, T.; Nikolaou, K.-E.; Miliordos, D.-E.; Koundouras, S. Optimizing ‘Xinomavro’ (Vitis vinifera L.) Performance by Post-Bloom Basal Leaf Removal Applications. Horticulturae 2024, 10, 340. [Google Scholar] [CrossRef]
- Choné, X. Stem Water Potential is a Sensitive Indicator of Grapevine Water Status. Ann. Bot. 2001, 87, 477–483. [Google Scholar] [CrossRef]
- Lopes, C.; Pinto, P.A. Easy and accurate estimation of grapevine leaf area with simple mathematical models. Vitis 2005, 44, 55–61. Available online: https://ojs.openagrar.de/index.php/VITIS/article/view/4308 (accessed on 21 September 2024).
- Sánchez-de-Miguel, P.; Baeza, P.; Junquera, P.; Lissarrague, J.R. Vegetative Development: Total Leaf Area and Surface Area Indexes. In Methodologies and Results in Grapevine Research; Delrot, S., Medrano, H., Or, E., Bavaresco, L., Grando, S., Eds.; Springer: Dordrecht, The Netherlands, 2010; pp. 31–44. ISBN 978-90-481-9283-0. [Google Scholar]
- Iland, P. Techniques for Chemical Analysis and Quality Monitoring during Winemaking; Patrick Iland Wine Promotions: Campbelltown, SA, Australia, 2000; ISBN 064638435X. [Google Scholar]
- van Leeuwen, C.; Trégoat, O.; Choné, X.; Bois, B.; Pernet, D.; Gaudillère, J.-P. Vine water status is a key factor in grape ripening and vintage quality for red Bordeaux wine. How can it be assessed for vineyard management purposes? J. Int. des Sci. de la Vigne et du Vin 2009, 43, 121–134. [Google Scholar] [CrossRef]
- Medrano, H.; Escalona, J.M.; Cifre, J.; Bota, J.; Flexas, J. A ten-year study on the physiology of two Spanish grapevine cultivars under field conditions: Effects of water availability from leaf photosynthesis to grape yield and quality. Funct. Plant Biol. 2003, 30, 607–619. [Google Scholar] [CrossRef]
- Cifre, J.; Bota, J.; Escalona, J.M.; Medrano, H.; Flexas, J. Physiological tools for irrigation scheduling in grapevine (Vitis vinifera L.). Agric. Ecosyst. Environ. 2005, 106, 159–170. [Google Scholar] [CrossRef]
- Candolfi-Vasconcelos, M.C.; Koblet, W. Yield, fruit quality, bud fertility and starch reserves of the wood as a function of leaf removal in Vitis vinifera-Evidence of compensation and stress recovering. Vitis Geilweilerhof 1990, 29, 199–221. [Google Scholar] [CrossRef]
- Benismail, M.C.; Bennaouar, M.; Elmribti, A. Effect of bud load and canopy management on growth and yield components of grape cv. ‘cardinal’ under mild climatic conditions of agadir area of morocco. In International Workshop on Advances in Grapevine and Wine Research; International Society for Horticultural Science: La Serena, Chile, 2007; pp. 197–204. [Google Scholar]
- Howell, G.S.; Wolpert, J.A. Nodes Per Cane, Primary Bud Phenology, and Spring Freeze Damage to Concord Grapevines. a Preliminary Note. Am. J. Enol. Vitic. 1978, 29, 229–232. [Google Scholar] [CrossRef]
- Kliewer, W.M.; Smart, R.E. Canopy manipulation for optimizing vine microclimate, crop yield and composition of grapes. In Manipulation of Fruiting; Wright, C.J., Ed.; Elsevier: Butterworth, Malaysia; London, UK, 1989; pp. 275–291. [Google Scholar]
- Jones, T.H.; Cullis, B.R.; Clingeleffer, P.R.; Rühl, E.H. Effects of novel hybrid and traditional rootstocks on vigour and yield components of Shiraz grapevines. Aust. J. Grape Wine Res. 2009, 15, 284–292. [Google Scholar] [CrossRef]
- Ivanišević, D.; Kalajdžić, M.; Drenjančević, M.; Puškaš, V.; Korać, N. The impact of cluster thinning and leaf removal timing on the grape quality and concentration of monomeric anthocyanins in Cabernet-Sauvignon and Probus (Vitis vinifera L.) wines. Oeno One 2020, 54, 63–74. [Google Scholar] [CrossRef]
- Mirás-Avalos, J.M.; Buesa, I.; Llacer, E.; Jiménez-Bello, M.A.; Risco, D.; Castel, J.R.; Intrigliolo, D.S. Water Versus Source–Sink Relationships in a Semiarid Tempranillo Vineyard: Vine Performance and Fruit Composition. Am. J. Enol. Vitic. 2017, 68, 11–22. [Google Scholar] [CrossRef]
- van Leeuwen, C.; Destrac-Irvine, A. Modified grape composition under climate change conditions requires adaptations in the vineyard. Oeno One 2017, 51, 147. [Google Scholar] [CrossRef]
- Keller, M.; Mills, L.J.; Wample, R.L.; Spayd, S.E. Crop Load Management in Concord Grapes Using Different Pruning Techniques. Am. J. Enol. Vitic. 2004, 55, 35–50. [Google Scholar] [CrossRef]
- Holt, H.E.; Francis, I.L.; Field, J.; Herderich, M.J.; Iland, P.G. Relationships between berry size, berry phenolic composition and wine quality scores for Cabernet Sauvignon (Vitis vinifera L.) from different pruning treatments and different vintages. Aust. J. Grape Wine Res. 2008, 14, 191–202. [Google Scholar] [CrossRef]
- Baiano, A.; Terracone, C. Effects of bud load on quality of Beogradska besemena and Thompson seedless table grapes and cultivar differentiation based on chemometrics of analytical indices. J. Sci. Food Agric. 2012, 92, 645–653. [Google Scholar] [CrossRef]
- Santesteban, L.G.; Miranda, C.; Royo, J.B. Vegetative Growth, Reproductive Development and Vineyard Balance. In Methodologies and Results in Grapevine Research; Delrot, S., Medrano, H., Or, E., Bavaresco, L., Grando, S., Eds.; Springer: Dordrecht, The Netherlands, 2010; pp. 45–56. ISBN 978-90-481-9283-0. [Google Scholar]
- Kliewer, W.M.; Dokoozlian, N.K. Leaf Area/Crop Weight Ratios of Grapevines: Influence on Fruit Composition and Wine Quality. Am. J. Enol. Vitic. 2005, 56, 170–181. [Google Scholar] [CrossRef]








| Year | Treatments | Cluster Length (cm) | Cluster Width (cm) | Berries per Cluster | Cluster Compactness (Berries · cm−1) | (% Skin Weight) | (% Seed Weight) |
|---|---|---|---|---|---|---|---|
| 2016 | B 12 | 17.4 | 11.0 | 143 a | 8.3 a | 8.58 b | 2.18 b |
| B 24 | 16.4 | 9.6 | 133 ab | 8.1 a | 8.97 b | 1.39 c | |
| M 12 | 15.6 | 9.5 | 109 bc | 6.9 ab | 12.08 a | 3.63 a | |
| M 24 | 15.7 | 9.9 | 98 c | 6.2 b | 10.27 ab | 3.55 a | |
| C × T | ns | ns | ns | ns | ns | ns | |
| 2017 | B 12 | 16.7 b | 10.8 b | 169 b | 10.2 a | 7.91 b | 2.97 ab |
| B 24 | 17.6 a | 13.0 a | 198 a | 11.3 a | 8.40 b | 2.34 b | |
| M 12 | 15.3 c | 9.7 c | 121 c | 7.9 b | 12.67 a | 3.62 a | |
| M 24 | 15.5 c | 9.2 c | 124 c | 8.0 b | 12.70 a | 3.21 ab | |
| C × T | ns | ** | * | ns | ns | ns | |
| L * year | ns | * | * | ns | ns | ns |
| Year | Treatments | Total Soluble Solids (oBrix) | Titratable Acidity (g L−1) | pH | Total Anthocyanins (mg Berry−1) | Total Phenols (au Berry−1) | Total Anthocyanins (mg g Berry−1) | Total Phenols (au g Berry−1) |
|---|---|---|---|---|---|---|---|---|
| 2016 | B 12 | 22.7 a | 6.9 b | 3.1 b | 0.77 b | 2.18 c | 0.47 b | 1.32 b |
| B 24 | 20.5 b | 7.7 a | 3.2 a | 0.62 b | 2.40 b | 0.37 b | 1.45 b | |
| M 12 | 21.6 ab | 7.7 a | 3.3 a | 1.09 a | 2.32 b | 0.69 a | 1.48 b | |
| M 24 | 21.1 b | 8.3 a | 3.3 a | 1.07 a | 3.00 a | 0.74 a | 2.10 a | |
| C × T | * | ns | ns | ns | ns | ns | *** | |
| 2017 | B 12 | 22.2 a | 8.6 | 3.2 a | 0.78 bc | 2.30 b | 0.66 c | 1.93 b |
| B 24 | 19.6 b | 8.8 | 3.0 b | 0.71 c | 2.37 b | 0.88 bc | 2.88 a | |
| M 12 | 22.8 a | 8.6 | 3.1 ab | 1.02 a | 2.72 a | 1.19 a | 3.25 a | |
| M 24 | 22.7 a | 9.2 | 3.1 ab | 0.87 b | 2.33 b | 1.03 ab | 2.77 a | |
| C × T | ** | ns | * | ns | ns | *** | *** | |
| L * year | * | ns | * | * | * | * | * |
Disclaimer/Publisher’s Note: The statements, opinions and data contained in all publications are solely those of the individual author(s) and contributor(s) and not of MDPI and/or the editor(s). MDPI and/or the editor(s) disclaim responsibility for any injury to people or property resulting from any ideas, methods, instructions or products referred to in the content. |
© 2024 by the authors. Licensee MDPI, Basel, Switzerland. This article is an open access article distributed under the terms and conditions of the Creative Commons Attribution (CC BY) license (https://creativecommons.org/licenses/by/4.0/).
Share and Cite
Theocharis, S.; Gkrimpizis, T.; Karadimou, C.; Nikolaou, K.-E.; Koundouras, S.; Taskos, D. Exploring the Interplay of Bud Load and Pruning Type in Shaping ‘Xinomavro’ (Vitis vinifera L.) Vine Growth, Yield, and Berry Composition. Horticulturae 2024, 10, 1111. https://doi.org/10.3390/horticulturae10101111
Theocharis S, Gkrimpizis T, Karadimou C, Nikolaou K-E, Koundouras S, Taskos D. Exploring the Interplay of Bud Load and Pruning Type in Shaping ‘Xinomavro’ (Vitis vinifera L.) Vine Growth, Yield, and Berry Composition. Horticulturae. 2024; 10(10):1111. https://doi.org/10.3390/horticulturae10101111
Chicago/Turabian StyleTheocharis, Serafeim, Theodoros Gkrimpizis, Christina Karadimou, Kleopatra-Eleni Nikolaou, Stefanos Koundouras, and Dimitrios Taskos. 2024. "Exploring the Interplay of Bud Load and Pruning Type in Shaping ‘Xinomavro’ (Vitis vinifera L.) Vine Growth, Yield, and Berry Composition" Horticulturae 10, no. 10: 1111. https://doi.org/10.3390/horticulturae10101111
APA StyleTheocharis, S., Gkrimpizis, T., Karadimou, C., Nikolaou, K.-E., Koundouras, S., & Taskos, D. (2024). Exploring the Interplay of Bud Load and Pruning Type in Shaping ‘Xinomavro’ (Vitis vinifera L.) Vine Growth, Yield, and Berry Composition. Horticulturae, 10(10), 1111. https://doi.org/10.3390/horticulturae10101111

