Sign in to use this feature.

Years

Between: -

Subjects

remove_circle_outline
remove_circle_outline
remove_circle_outline
remove_circle_outline
remove_circle_outline
remove_circle_outline
remove_circle_outline
remove_circle_outline
remove_circle_outline

Journals

Article Types

Countries / Regions

remove_circle_outline
remove_circle_outline
remove_circle_outline

Search Results (304)

Search Parameters:
Keywords = kinetic of combustion process

Order results
Result details
Results per page
Select all
Export citation of selected articles as:
20 pages, 1504 KB  
Article
Feasibility and Characteristics Study on Direct Ignition of High-Temperature Biomass Gasification Syngas with Ambient Air
by Yao Xu, Yejian Qian, Yu Zhang, Taotao Zhou, Juye Wan and Ming Zhai
Processes 2026, 14(3), 474; https://doi.org/10.3390/pr14030474 - 29 Jan 2026
Viewed by 157
Abstract
To advance the engineering application of the fusion decoupling combustion technology previously proposed by our research group, this work focuses on its second stage—the high-temperature syngas combustion stage—and specifically addresses the critical issue of whether high-temperature gasified syngas can achieve direct and stable [...] Read more.
To advance the engineering application of the fusion decoupling combustion technology previously proposed by our research group, this work focuses on its second stage—the high-temperature syngas combustion stage—and specifically addresses the critical issue of whether high-temperature gasified syngas can achieve direct and stable ignition when mixed with ambient air. For this purpose, a high-temperature syngas combustion experimental system was established, utilizing syngas that simulates the composition of biomass gasification products as the research subject. A systematic investigation was carried out to explore the influence patterns of syngas temperature and key components on the ignition limits, which are characterized by the lower and upper limits of the excess air coefficient (λmin and λmax). The results indicate that increasing the syngas temperature significantly broadens the ignition limits: λmin decreased from 0.73 to 0.59, while λmax increased simultaneously, primarily due to accelerated reaction kinetics and the contribution of high-temperature sensible heat. An increase in H2 content significantly expands the ignition range, whereas an increase in CO content narrows the limits, reflecting the opposing roles of these two components in terms of reactivity. Both diluent components, CO2 and N2, increase λmin; however, N2 exhibits a more pronounced inhibitory effect due to its higher volumetric heat capacity and greater thermal inertia. This study confirms the feasibility of direct ignition between high-temperature gasification syngas and ambient air, providing important experimental evidence for the engineering application of the fusion decoupling combustion process. Full article
Show Figures

Figure 1

34 pages, 7114 KB  
Article
CFD Analysis of Equivalence Ratio Effects on Combustion and Emissions in a Methanol–Diesel Dual-Fuel Marine Engine
by Van Chien Pham, Van Vang Le, Jae-Hyuk Choi and Won-Ju Lee
Energies 2026, 19(3), 626; https://doi.org/10.3390/en19030626 - 25 Jan 2026
Viewed by 295
Abstract
Methanol is a promising alternative marine fuel due to its favorable combustion characteristics and potential to reduce exhaust emissions under increasingly stringent International Maritime Organization (IMO) regulations. This study presents a three-dimensional computational fluid dynamics (CFD) analysis of a four-stroke, medium-speed marine engine [...] Read more.
Methanol is a promising alternative marine fuel due to its favorable combustion characteristics and potential to reduce exhaust emissions under increasingly stringent International Maritime Organization (IMO) regulations. This study presents a three-dimensional computational fluid dynamics (CFD) analysis of a four-stroke, medium-speed marine engine operating in methanol–diesel dual-fuel (DF) mode. Simulations were performed using AVL FIRE for a MAN B&W 6H35DF engine, covering the in-cylinder process from intake valve closing to exhaust valve opening. Nine operating cases were investigated, including seven methanol–diesel DF cases with equivalence ratios (Φ) from 0.18 to 0.30, one methane–diesel DF case (Φ = 0.22), and one pure diesel baseline. A power-matched condition (IMEP ≈ 20 bar) enabled consistent comparison among fueling strategies. The results show that methanol–diesel DF operation reduces peak in-cylinder pressure, heat-release rate, turbulent kinetic energy, and wall heat losses compared with diesel operation. At low to moderate Φ, methanol DF combustion significantly suppresses nitric oxide (NO), soot, and carbon monoxide (CO emissions), while carbon dioxide (CO2) emissions increase with Φ and approach diesel levels under power-matched conditions. These results highlight methanol’s potential as a viable low-carbon fuel for marine engines. Full article
(This article belongs to the Section I2: Energy and Combustion Science)
Show Figures

Figure 1

32 pages, 2701 KB  
Review
A Comprehensive Review of Application Techniques for Thermal-Protective Elastomeric Ablative Coatings in Solid Rocket Motor Combustion Chambers
by Mohammed Meiirbekov, Marat Nurguzhin, Marat Ismailov, Marat Janikeyev, Zhannat Kadyrov, Myrzakhan Omarbayev, Assem Kuandyk, Nurmakhan Yesbolov, Meiir Nurzhanov, Sunkar Orazbek and Mukhammed Sadykov
Technologies 2026, 14(2), 77; https://doi.org/10.3390/technologies14020077 - 23 Jan 2026
Viewed by 492
Abstract
Elastomeric ablative coatings are essential for protecting solid rocket motor (SRM) combustion chambers from extreme thermal and erosive environments, and their performance is governed by both material composition and processing strategy. This review examines the main elastomer systems used for SRM insulation, including [...] Read more.
Elastomeric ablative coatings are essential for protecting solid rocket motor (SRM) combustion chambers from extreme thermal and erosive environments, and their performance is governed by both material composition and processing strategy. This review examines the main elastomer systems used for SRM insulation, including ethylene propylene diene monomer (EPDM), nitrile butadiene rubber (NBR), hydroxyl-terminated polybutadiene (HTPB), polyurethane (PU), silicone-based compounds, and related hybrids, and discusses how their rheological behavior, cure kinetics, thermal stability, and ablation mechanisms affect manufacturability and in-service performance. A comprehensive assessment of coating technologies is presented, covering casting, molding, centrifugal forming, spraying, automated deposition, and emerging additive-manufacturing approaches for complex geometries. Emphasis is placed on processing parameters that control adhesion to metallic substrates, layer uniformity, defect formation, and thermomechanical integrity under high-heat-flux exposure. The review integrates current knowledge on how material choice, surface preparation, and application sequence collectively determine insulation efficiency under operational SRM conditions. Practical aspects such as scalability, compatibility with complex chamber architectures, and integration with quality-control tools are highlighted. By comparing the capabilities and limitations of different materials and technologies, the study identifies key development trends and outlines remaining challenges for improving the durability, structural robustness, and ablation resistance of next-generation elastomeric coatings for SRMs. Full article
(This article belongs to the Section Innovations in Materials Science and Materials Processing)
Show Figures

Figure 1

22 pages, 2707 KB  
Article
Substituent and Ring-Number Effects on the Kinetics of PAH + OH Reactions: A QSAR–DOE Approach with Tunneling Corrections
by Cezary Parzych, Maciej Baradyn and Artur Ratkiewicz
Molecules 2026, 31(2), 265; https://doi.org/10.3390/molecules31020265 - 13 Jan 2026
Viewed by 166
Abstract
The reactions of hydrogen transfer by hydroxyl radicals involving polycyclic aromatic hydrocarbons (PAH) are important, because these compounds contribute to environmental pollution and negatively affect human health. Hydroxyl radicals play a key role in atmospheric processes. This study analyzed the influence of the [...] Read more.
The reactions of hydrogen transfer by hydroxyl radicals involving polycyclic aromatic hydrocarbons (PAH) are important, because these compounds contribute to environmental pollution and negatively affect human health. Hydroxyl radicals play a key role in atmospheric processes. This study analyzed the influence of the substituent and the number of aromatic rings in the compound on the kinetics of the hydrogen-transfer reaction. This work proposes for the first time a quantitative structure–activity relationship-based statistical framework combining design of experiments and tunneling corrections to predict PAH + ·OH kinetics. The main objective of this research was to identify which molecular features and substituent effects most strongly govern tunneling and reactivity, thereby enabling the rational prediction of PAH behavior in atmospheric and combustion environments. For this purpose, a quantitative structure–activity relationship model was developed using 22 descriptors, and their relationship with the kinetic parameters of the reaction was determined using statistical tools such as design of experiments and partial least squares. Full article
Show Figures

Figure 1

20 pages, 2336 KB  
Article
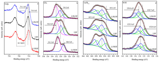
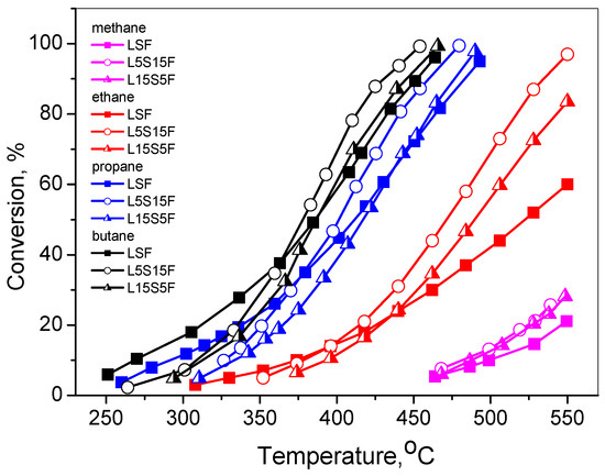
Complete Oxidation of C1–C4 Hydrocarbons on La2−xSrxFeO4 (x = 0.5, 1.0, and 1.5) Catalysts
by Ralitsa Velinova, Tanya Petrova, Nikolay Velinov, Daniela Kovacheva, Ivanka Spassova, Georgi Ivanov, Katerina Tumbalova, Hristo Kolev, Daniela Karashanova and Anton Naydenov
Catalysts 2026, 16(1), 43; https://doi.org/10.3390/catal16010043 - 1 Jan 2026
Viewed by 541
Abstract
Catalysts with a Ruddlesden–Popper structure (LaSrFeO4, La0.5Sr1.5FeO4, and La1.5Sr0.5FeO4) were successfully synthesized and tested for the complete oxidation of C1–C4 hydrocarbons (methane, ethane, propane, and n-butane) [...] Read more.
Catalysts with a Ruddlesden–Popper structure (LaSrFeO4, La0.5Sr1.5FeO4, and La1.5Sr0.5FeO4) were successfully synthesized and tested for the complete oxidation of C1–C4 hydrocarbons (methane, ethane, propane, and n-butane) as representative compounds of volatile organic compounds (VOCs), which are responsible for the global warming process. The samples were characterized by nitrogen physisorption, XRD, TEM, Mössbauer spectroscopy, XPS, O2-TPD, and “depletive oxidation”. The catalyst La0.5Sr1.5FeO4 showed the highest activity in the VOCs oxidation processes. This activity was connected with the enhanced strontium content in the catalyst, leading to high surface Fe4+ concentration and increased Fe4+/Fe3+ ratio, which promoted oxygen mobility and surface oxidation. Kinetic studies, along with physicochemical characterization, indicated that the ethane combustion proceeds via the Mars–van Krevelen mechanism. Full article
(This article belongs to the Special Issue Catalytic Removal of Volatile Organic Compounds (VOCs))
Show Figures

Graphical abstract

14 pages, 3304 KB  
Article
Surface-Engineered Amino-Graphene Oxide Aerogel Functionalized with Cyclodextrin for Desulfurization and Denitrogenation in Oil Refining
by Zunbin Duan, Huiming Zhang, Qiang Tong, Yanfang Li, He Bian and Guanglei Zhang
Gels 2026, 12(1), 33; https://doi.org/10.3390/gels12010033 - 30 Dec 2025
Viewed by 324
Abstract
The selective removal of trace heteroatomic contaminants from fuel remains a critical challenge for clean combustion and refinery upgrading, particularly due to the chemical stability and structural similarity of sulfur- and nitrogen-containing aromatics. Herein, a surface-engineered graphene oxide aerogel functionalized with cyclodextrin ( [...] Read more.
The selective removal of trace heteroatomic contaminants from fuel remains a critical challenge for clean combustion and refinery upgrading, particularly due to the chemical stability and structural similarity of sulfur- and nitrogen-containing aromatics. Herein, a surface-engineered graphene oxide aerogel functionalized with cyclodextrin (β-CD-CONH-GO) is developed via covalent grafting to introduce well-defined host–guest recognition sites within a porous framework. Spectroscopic and microscopic characterizations confirm successful functionalization, preserved aerogel morphology, and accessible hybrid interfaces. The removal process for monocyclic, bicyclic, and tricyclic impurities is governed by synergistic molecular inclusion within the cyclodextrin cavity, interfacial hydrogen bonding, and secondary confinement provided by the aerogel porosity. Thus, the β-CD-CONH-GO exhibits efficient adsorption toward representative bicyclic impurities, and the removal performance follows the order of indole > quinoline > benzothiophene. Kinetic analysis demonstrates pseudo-second-order adsorption behavior, indicating chemisorption dominated by cooperative host–guest recognition and hydrogen bonding. It possesses removal selectivity even in mixed systems containing structurally similar aliphatic and aromatic competitors and maintains > 95% efficiency after five regeneration cycles via ethanol extraction, confirming superb durability. This study demonstrates a feasible pathway to design adsorbents for deep fuel refining and highlights cyclodextrin-based graphene hybrid aerogels as promising candidates for separations. Full article
(This article belongs to the Special Issue Synthesis and Application of Aerogel (2nd Edition))
Show Figures

Figure 1

19 pages, 1887 KB  
Article
The Impact of Intermolecular Interactions in Sustainable Aviation Fuels on Turbine Engine Parameters
by Tomasz Białecki, Bartosz Gawron, Andrzej Kulczycki, Anna Łęgowik and Jerzy Merkisz
Energies 2025, 18(24), 6523; https://doi.org/10.3390/en18246523 - 12 Dec 2025
Viewed by 332
Abstract
This study investigates the effect of the concentration of sustainable jet fuel components on selected physicochemical properties of blends with fossil Jet A-1 fuel, as well as on parameters characterizing the combustion process in aircraft turbine engines. The analyzed physicochemical properties were density, [...] Read more.
This study investigates the effect of the concentration of sustainable jet fuel components on selected physicochemical properties of blends with fossil Jet A-1 fuel, as well as on parameters characterizing the combustion process in aircraft turbine engines. The analyzed physicochemical properties were density, net heat of combustion, and fractional composition (50% recoverey temperature and viscosity at −20 °C) of the fuel blends. The combustion process was examined using test rigs equipped with GTM 140 and DGEN 380 engines operated at different rotational speeds. For each engine speed, the fuel mass flow rate and the combustion chamber temperature were determined. The functions mf = Ae^(−Ea/RT) were derived, corresponding to the kinetic equations of the complete combustion reaction chain. The (Ea/R)mf values obtained using the trend line method for the GTM 140 engine were found to be linearly related to those obtained for the DGEN 380 engine. A deviation from linearity was observed for blends containing 5% of various synthetic components. These findings support a new hypothesis that the same intermolecular interactions between liquid fuel components that account for the non-additivity of physicochemical properties also contribute to the parameters of combustion kinetics in turbine engines. Tests on the turbine engine provided preliminary validation of this hypothesis. Full article
(This article belongs to the Special Issue Performance and Emissions of Vehicles and Internal Combustion Engines)
Show Figures

Figure 1

15 pages, 7643 KB  
Article
Study on Jet Characteristics of Novel Coherent Tuyeres and Injection of Hydrogen-Rich Gas in Blast Furnace
by Yongwen Fan, Yunmeng Wang, Yingshi Xu, Peng Xu, Peng Han and Junhong Zhang
Processes 2025, 13(12), 3944; https://doi.org/10.3390/pr13123944 - 5 Dec 2025
Viewed by 365
Abstract
This study designed a novel coherent tuyere device capable of adjusting the core length of the jet flow. Physical experiments were first conducted to investigate how the number of secondary nozzles in the coherent tuyere affects the gas–solid two-phase flow behavior within the [...] Read more.
This study designed a novel coherent tuyere device capable of adjusting the core length of the jet flow. Physical experiments were first conducted to investigate how the number of secondary nozzles in the coherent tuyere affects the gas–solid two-phase flow behavior within the raceway during the blasting process. Subsequently, the Computational Fluid Dynamics (CFD) method was employed to examine the influence of structural parameters on jet morphology in coherent tuyere. Finally, computational fluid dynamics and discrete phase method (CFD-DPM) was adopted, and the velocity, temperature, and composition distribution patterns within the raceway were analyzed following the injection of hydrogen-rich gas through the coherent tuyere. The results of the physics experiment indicate that increasing the number of secondary nozzles in the coherent tuyere can significantly enlarge the raceway size and broaden the particle kinematic zone, thereby enhancing particle fluidization at the periphery of the raceway. CFD numerical simulation results indicate that increasing the number of secondary nozzles of the tuyere can effectively extend the length of the velocity jet core region. Compared with conventional tuyeres, a six-nozzle coherent tuyere can increase the core length of the blast velocity by about 40%. When the diameter of the secondary nozzles in the coherent tuyere is doubled, the core length of the blast velocity increases by 10%. The results of the CFD-DPM coupled simulation show that unburned carbon particles flow and combust along the periphery of the raceway with the hot air, leading to the formation of a high-temperature region in this area. After the injection of hydrogen-rich gas through the coherent tuyere, the temperature in the raceway decreased significantly. A high-concentration region of H2 appeared at the periphery of the raceway, while the high-concentration CO region increased in concentration and gradually extended toward the upper part of the raceway. This research achievement is of significant importance for optimizing blast furnace blast kinetic energy and hydrogen-rich gas injection. Full article
(This article belongs to the Section Chemical Processes and Systems)
Show Figures

Figure 1

15 pages, 3374 KB  
Article
Reaction Kinetics of the Synthesis of Polymethoxy Butyl Ether from n-Butanol and Trioxane with Acid Cation-Exchange Resin Catalyst
by Xue Wang, Linyu Lu, Qiuxin Ma, Hongyan Shang and Lanyi Sun
Polymers 2025, 17(23), 3137; https://doi.org/10.3390/polym17233137 - 25 Nov 2025
Viewed by 364
Abstract
Polymethoxy butyl ether (BTPOMn), a novel diesel additive developed for suppressing incomplete combustion emissions, was synthesized via an optimized batch slurry method employing n-butanol and trioxane (TOX) over NKC-9 acid cation-exchange resin (90–110 °C). A comprehensive kinetic model elucidated the reaction [...] Read more.
Polymethoxy butyl ether (BTPOMn), a novel diesel additive developed for suppressing incomplete combustion emissions, was synthesized via an optimized batch slurry method employing n-butanol and trioxane (TOX) over NKC-9 acid cation-exchange resin (90–110 °C). A comprehensive kinetic model elucidated the reaction mechanism, addressing competitive pathways governing both main product formation and key side reactions—specifically polyoxymethylene hemiformals (HDn) and polyoxymethylene glycols (MG) generation. As the first detailed kinetic investigation of BTPOMn synthesis, this work provides a fundamental dataset and a robust predictive model that are crucial for process intensification and reactor design. Hybrid optimization integrating genetic algorithms with nonlinear least-squares regression achieved robust parameter estimation, with model predictions showing excellent agreement with experimental data. Thermal effects significantly influenced reaction rates, enhancing decomposition and propagation processes with increasing temperature. Optimal catalyst loading was identified at 3 and 6 wt.%, balancing reaction acceleration and byproduct suppression. Temperature-dependent equilibrium revealed chain length regulation through growth and depolymerization processes. This mechanistic understanding enables predictive reactor design for cleaner fuel additive synthesis. It provides critical insights for developing emission-control technologies in diesel engine systems. Full article
(This article belongs to the Section Polymer Chemistry)
Show Figures

Figure 1

18 pages, 1850 KB  
Article
Study on Pyrolysis Characteristics and Combustibility of Typical Arbor Species Along Different Altitude Gradients in Southwestern Yunnan
by Qiuyang Du, Weike Li, Yingda Wu, Yiqi Wei, Jianati Nuerlan, Mingyu Wang, Lifu Shu, Tongxin Hu, Jibin Ning, Guang Yang and Kai Li
Forests 2025, 16(11), 1727; https://doi.org/10.3390/f16111727 - 14 Nov 2025
Cited by 1 | Viewed by 374
Abstract
This study aimed to systematically characterize the pyrolysis characteristics and combustibility of six typical tree species across different altitude gradients in southwestern Yunnan, providing references for fuel management and selection of potential fire-resistant species in this region. Thermogravimetric analysis (heating rate: 20 °C·min [...] Read more.
This study aimed to systematically characterize the pyrolysis characteristics and combustibility of six typical tree species across different altitude gradients in southwestern Yunnan, providing references for fuel management and selection of potential fire-resistant species in this region. Thermogravimetric analysis (heating rate: 20 °C·min−1, air atmosphere) was employed to obtain TG-DTG curves of bark, branches, and leaves. The Coats–Redfern integral method was applied to calculate kinetic parameters, and principal component analysis was conducted for comprehensive combustibility evaluation. The results demonstrated the following: (1) The pyrolysis process of all species underwent the following four distinct stages: moisture evaporation, holocellulose decomposition, lignin decomposition, and ash formation. Among these, holo-cellulose decomposition constituted the primary mass loss stage. Significant differences in pyrolysis characteristics were observed among different plant parts, with leaves and bark exhibiting lower initial pyrolysis temperatures; (2) The activation energy ranged from 56.05 to 86.41 kJ·mol−1 across different components, with branches requiring the highest energy for pyrolysis; (3) Principal component analysis based on multiple indicators yielded the following comprehensive combustibility ranking: Pinus yunnanensis > Betula alnoides > Lithocarpus henryi > Quercus acutissima > Cunninghamia lanceolata > Myrica rubra; and (4) The combustibility assessment results integrating multiple variables (total mass loss rate, stage-specific mass loss, activation energy, and ash content) showed significant differences from the analysis based solely on activation energy, verifying the necessity of a multi-dimensional comprehensive evaluation. Full article
(This article belongs to the Section Wood Science and Forest Products)
Show Figures

Figure 1

12 pages, 2529 KB  
Article
Reaction Kinetics of Nitrocellulose Denitration: Model Comparison and Mechanistic Insights
by Yang Li, Xinyu Wang, Jiaqiang Zhu, Honglei Fan, Shiying Li, Chunlin Chen and Xiaoqing Wu
Processes 2025, 13(11), 3668; https://doi.org/10.3390/pr13113668 - 13 Nov 2025
Viewed by 654
Abstract
A comprehensive understanding of the denitration kinetics of nitrocellulose-based propellants is crucial for optimizing combustion performance and achieving controllable fabrication. However, most existing studies rely on a single kinetic model, which is restricted by formulation composition and grain geometry, limiting their general applicability. [...] Read more.
A comprehensive understanding of the denitration kinetics of nitrocellulose-based propellants is crucial for optimizing combustion performance and achieving controllable fabrication. However, most existing studies rely on a single kinetic model, which is restricted by formulation composition and grain geometry, limiting their general applicability. In this work, the denitration rate was quantified using the change in explosion heat, introducing an energy-based characterization approach instead of traditional mass-loss measurements. Three kinetic models (the shrinking-core, pseudo-homogeneous, and Avrami models) were employed to identify the rate-controlling step. The shrinking-core model provided the most accurate description of the process. At moderate reagent concentrations (8 wt.% and 12 wt.%) and temperatures (65–75 °C), denitration was primarily reaction-controlled, while at higher temperatures (80 °C), internal diffusion resistance became significant. The apparent activation energy ranged from 69.8 to 73.7 kJ·mol−1, confirming that chemical reaction is the dominant mechanism. This study refines the kinetic understanding of nitrocellulose denitration and provides theoretical guidance for the controlled fabrication of gradient nitrocellulose propellants with tunable progressive-burning behavior. Full article
(This article belongs to the Section Chemical Processes and Systems)
Show Figures

Graphical abstract

18 pages, 3830 KB  
Article
Green CO2 Capture from Flue Gas Using Potassium Carbonate Solutions Promoted with Amino Acid Salts
by Ramona Elena Tataru-Farmus, María Harja, Lucia Tonucci, Francesca Coccia, Michele Ciulla, Liliana Lazar, Gabriela Soreanu and Igor Cretescu
Clean Technol. 2025, 7(4), 99; https://doi.org/10.3390/cleantechnol7040099 - 5 Nov 2025
Cited by 1 | Viewed by 1331
Abstract
CO2 emissions from various anthropogenic activities have led to serious global concerns (climate change and global warming), and, therefore, CO2 capture by sustainable methods is a priority research topic. One of the most widely used and cost-effective technologies for post-combustion CO [...] Read more.
CO2 emissions from various anthropogenic activities have led to serious global concerns (climate change and global warming), and, therefore, CO2 capture by sustainable methods is a priority research topic. One of the most widely used and cost-effective technologies for post-combustion CO2 capture (PCC) is the chemical absorption method, where potassium carbonate solution is proposed as a solvent (with or without the addition of promoters, such as amines). An ecological alternative, presented in this study, is the use of amino acids instead of amines as promoters—alanine (Ala), glycine (Gly) and sarcosine (Sar)—in concentrations of 25% by weight of K2CO3 + 5 or 10% by weight of amino acid salt, thus resulting in the so-called green solvents, which do not show high toxicity and inertness to biodegradability. The studies had as a first objective the characterization of the proposed green solvents, in terms of density and viscosity, and then the comparative testing of their efficiency for CO2 retention from gaseous fluxes containing high CO2 concentrations. The experiments were performed at temperatures of 298 K, 313 K, and 333 K at atmospheric pressure. The best performance was observed with K2CO3 + 5% Sar salt at 313 K, reaching an absorption capacity of 2.58 mol CO2/L solvent, which is a promising improvement over the reference solution based on K2CO3. Increasing the amino acid concentration to 10% generally led to a reduced performance, especially for sarcosine, probably due to an increase in solution viscosity or a possible kinetic inhibition. This study provides valuable experimental data supporting the ecological potential of amino acid-promoted potassium carbonate systems, paving the way for further development of chemisorption processes and their implementation on an industrial scale. Full article
(This article belongs to the Special Issue Green Solvents and Materials for CO2 Capture)
Show Figures

Figure 1

25 pages, 3816 KB  
Review
Unified Phase Diagram and Competition-Coupling Mechanism for Pyrite Thermal Transformation
by Mingrui Liu, Guangyuan Xie and Jie Sha
Minerals 2025, 15(11), 1139; https://doi.org/10.3390/min15111139 - 30 Oct 2025
Viewed by 808
Abstract
The thermal transformation mechanism of pyrite in coal, which governs sulfur emissions and ash deposition, remains highly controversial. There are significant discrepancies in reported activation energies (Ea) (60–310 kJ/mol) and conflicting reaction pathways. To resolve these long-standing controversies, this study proposes [...] Read more.
The thermal transformation mechanism of pyrite in coal, which governs sulfur emissions and ash deposition, remains highly controversial. There are significant discrepancies in reported activation energies (Ea) (60–310 kJ/mol) and conflicting reaction pathways. To resolve these long-standing controversies, this study proposes a competition-coupling mechanism: pyrolysis and oxidation compete under local O2 and temperature gradients, while coupling through microstructural evolution. Specifically, pyrolysis generates a porous Fe1−XS that facilitates oxidation, which in turn can form a passivating oxide/sulfate layer that promotes further pyrolysis. This mechanism reconciles longstanding kinetic controversies by showing that the apparent activation energy is not a fixed value but instead a dynamic parameter, shifting along a continuous curve that bridges pyrolysis and oxidation-dominated regimes. Furthermore, we construct a unified phase diagram by incorporating the competition-coupling mechanism into classical thermodynamic equilibria. This diagram uses the molar ratio FeS2/(FeS2 + O2) and temperature to categorize the transformation process into four distinct regions—pyrolysis-dominated, competition-coupling, oxidation-dominated, and melt-dominated. The key contribution of this work lies in the diagram which offers a practical framework for optimizing combustion and roasting systems, allowing for improved control over sulfur emissions and ash-related issues such as slagging and fouling. Full article
Show Figures

Figure 1

36 pages, 3276 KB  
Review
The Use of Biomass Ash as a Catalyst in the Gasification Process—A Review
by Piotr Soprych and Grzegorz Czerski
Energies 2025, 18(21), 5653; https://doi.org/10.3390/en18215653 - 28 Oct 2025
Cited by 2 | Viewed by 1323
Abstract
Biomass plays an important role in the energy transformation aimed at carbon neutrality, with its potential estimated at 1/3rd of the entire energy mix. One of the main ways of using biomass is combustion or co-combustion, which enables the production of heat and [...] Read more.
Biomass plays an important role in the energy transformation aimed at carbon neutrality, with its potential estimated at 1/3rd of the entire energy mix. One of the main ways of using biomass is combustion or co-combustion, which enables the production of heat and electricity while maintaining low emissions. A promising path to utilize the combustion by-product—ash—is the possibility of using it as a natural and cheap catalyst that can effectively support the process of solid fuel gasification. This paper reviews scientific studies on the properties of biomass ash and its use to support the gasification process. The issues related to the genesis of mineral matter in plants are presented, emphasizing the importance of its transformations during biomass combustion. Particular emphasis is placed on the characterization of biomass ash, which was carried out on the basis of a comprehensive overview of the results regarding its chemical composition. An analysis of the physicochemical and surface properties relevant to the use of biomass ashes as catalysts in the gasification process was performed. In addition, a review of studies on catalytic gasification of solid fuels using biomass ash was conducted, taking into account the impact of biomass ash on the most important parameters characterizing the course of the gasification reaction, i.e., reactivity, quality of the gaseous products, and the kinetics reaction. The summary compares the most important advantages and disadvantages of using biomass ashes in the gasification process along with recommendations for future research. Full article
(This article belongs to the Special Issue Pyrolysis and Gasification of Biomass and Waste, 3rd Edition)
Show Figures

Figure 1

21 pages, 5340 KB  
Article
A Study on the Basic Properties of Oil Shale and Its Oxidative Pyrolysis Kinetic Characteristics in an Air Atmosphere
by Zongyao Qi, Peng Liu, Tong Liu, Xiaokun Zhang, Changfeng Xi, Bojun Wang, Fang Zhao, Chuanju Zhao and Liang Zhang
Processes 2025, 13(11), 3431; https://doi.org/10.3390/pr13113431 - 25 Oct 2025
Viewed by 597
Abstract
The in situ conversion of oil shale with air injection has the advantage of self-generated heat. The fragmentation degree of oil shale affects the oxidative pyrolysis process. In this paper, the basic properties of oil shale were analyzed, and weight loss observation and [...] Read more.
The in situ conversion of oil shale with air injection has the advantage of self-generated heat. The fragmentation degree of oil shale affects the oxidative pyrolysis process. In this paper, the basic properties of oil shale were analyzed, and weight loss observation and high-pressure TGA-DSC (thermogravimetric analysis and differential scanning calorimetry) tests in an air atmosphere were conducted using the cores and particles. The oil shale’s oxidative pyrolysis characteristics and the effect of its particle sizes were evaluated. The results show that the porosity and permeability conditions, TOC (total organic carbon), and inorganic mineral composition of oil shale are highly heterogeneous, with higher permeability and greater TOC along the bedding direction. The derivative of the TGA curve shows a single peak, and the heat flow curve shows a double peak that can be used to determine the oil shale’s oxidation type. The oxidative pyrolysis stage of organic matter can be divided into three temperature ranges, of which the medium temperature range is where the most combustion weight loss and heat release occurs. The activation energy of oxidative pyrolysis, which is affected by factors such as particle size, organic matter content, and pyrolysis temperature, is 46.92–248.11 kJ/mol, indicating the varying degrees of difficulty in initiating the reaction under different conditions. The pre-exponential factor is 3.15 × 102–6.27 × 1011 1/s, and the enthalpy value is 2.575–4.045 kJ/g. The combustion indexes and reaction enthalpy under different particle sizes are more correlated with their own organic matter content. As oil shale particle size decreases, the variation law of the activation energy and pre-exponential factor changes with temperature from an initial continuous increase to a decrease, then increases again with the smallest kinetic parameters in the medium temperature zone. A small particle size, high organic matter content, and high pressure are more conducive to initiating the oxidative pyrolysis reaction to achieve in situ conversion of organic matter. Full article
(This article belongs to the Special Issue Oil Shale Mining and Processing)
Show Figures

Figure 1

Back to TopTop