Reaction Kinetics of the Synthesis of Polymethoxy Butyl Ether from n-Butanol and Trioxane with Acid Cation-Exchange Resin Catalyst
Abstract
1. Introduction
2. Materials and Methods
2.1. Materials
2.2. Apparatus and Experimental Procedure
2.3. Analysis
3. Reactions and Kinetic Model
3.1. Chemical Reactions
3.2. Model Equations
3.3. Parameter Estimation
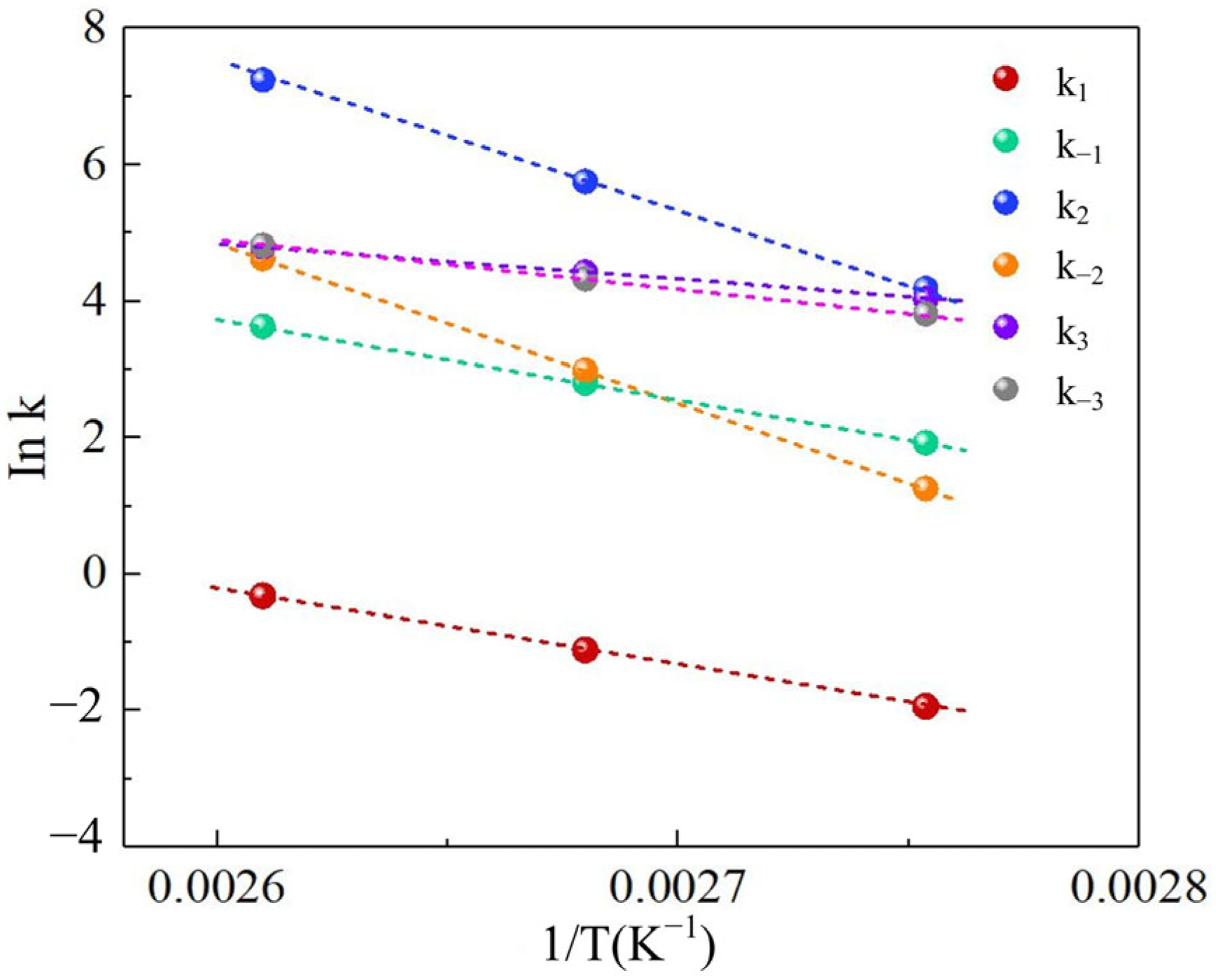
4. Results and Discussion
5. Conclusions
Author Contributions
Funding
Institutional Review Board Statement
Data Availability Statement
Conflicts of Interest
Abbreviations
| BTPOMn | Polymethoxy butyl ether |
| HDn | Hemiformals |
| MGs | Polyoxymethylene glycols |
| PODEn | Polyoxymethylene dimethyl ethers |
References
- Tang, Q.J.; Ren, B.Y.; Wu, J.P.; Hu, J.C.; Fu, J.Q.; Zhang, D.Q. Experimental study on diesel engine performance of tractor under transient conditions. Therm. Sci. Eng. Prog. 2025, 61, 103509. [Google Scholar] [CrossRef]
- Rana, S.; Saxena, M.R.; Maurya, R.K. A review on morphology, nanostructure, chemical composition, and number concentration of diesel particulate emissions. Environ. Sci. Pollut. Res. 2022, 29, 15432–15489. [Google Scholar] [CrossRef] [PubMed]
- Zhang, W.B.; Zhang, Z.Y.; Chen, H.; Ji, Z.H.; Ma, Y.L.; Sun, F.Y. A review on performance, combustion and emission of diesel and alcohols in a dual fuel engine. J. Energy Inst. 2024, 116, 101760. [Google Scholar] [CrossRef]
- Liu, J.L.; Li, Y.Y.; Zhang, C.H.; Liu, Z.T. The effect of high altitude environment on diesel engine performance: Comparison of engine operations in Hangzhou, Kunming and Lhasa cities. Chemosphere 2022, 309, 136621. [Google Scholar] [CrossRef] [PubMed]
- Ceballos, J.J.; Melgar, A.; Tinaut, F.V. Influence of environmental changes due to altitude on performance, fuel consumption and emissions of a naturally aspirated diesel engine. Energies 2021, 14, 5346. [Google Scholar] [CrossRef]
- Rahiman, M.K.; Santhoshkumar, S.; Subramaniam, D.; Avinash, A.; Pugazhendhi, A. Effects of oxygenated fuel pertaining to fuel analysis on diesel engine combustion and emission characteristics. Energy 2022, 239, 122373. [Google Scholar] [CrossRef]
- Xue, Z.Z.; Zhu, X.; Zhang, X.Y.; Ma, N.; Abd-El-Aziz, S.A. A comprehensive review on the production of polyoxymethylene dimethyl ethers as alternative synthetic fuel: From conventional indirect methodologies to sustainable direct routes. J. Environ. Chem. Eng. 2025, 13, 115705. [Google Scholar] [CrossRef]
- Liu, J.H.; Wang, L.J.; Wang, P.; Sun, P.; Liu, H.F.; Meng, Z.W.; Zhang, L.D.; Ma, H.J. An overview of polyoxymethylene dimethyl ethers as alternative fuel for compression ignition engines. Fuel 2022, 318, 123582. [Google Scholar] [CrossRef]
- Wang, X.F.; Li, F.; Gu, X.H.; Jin, P. Research progress in polyoxymethylene dimethyl ethers as component of tailored diesel fuel. Mod. Chem. Ind. 2019, 39, 61–64. [Google Scholar]
- Chen, H.; He, J.; Hua, H. Investigation on combustion and emission performance of a common rail diesel engine fueled with diesel/biodiesel/polyoxymethylene dimethyl ethers blends. Energy Fuels 2017, 31, 11710–11722. [Google Scholar] [CrossRef]
- Li, B.; Yoo, K.H.; Wang, Z.; Boehman, A.L.; Wang, J. Experimental and numerical study on autoignition characteristics of the gasoline/diesel/ethanol and gasoline/diesel/PODE/ethanol fuels. Energy Fuels 2019, 33, 11841–11849. [Google Scholar] [CrossRef]
- Wang, X.C.; Chang, X.L.; Chen, Z.M.; Gao, J.B.; Zhao, Y.W.; Zou, J.; Xiao, H.L. Spray and combustion characteristics of diesel/polyoxymethylene dimethyl ethers (PODEn) Mixtures: Role of CH2O chain length in PODEn. Fuel 2025, 392, 134938. [Google Scholar] [CrossRef]
- Yang, H.; Zhang, Y.Q.; Li, C.; Yu, F.; Li, X.H. Physicochemical characteristics of particulate matter emitted from the oxygenated fuel/diesel blend engine. Aerosol Air Qual. Res. 2021, 21, 210175. [Google Scholar] [CrossRef]
- Kowthaman, C.N.; Rahman, S.M.A.; Fattah, I.M.R. Exploring the potential of lignocellulosic biomass-derived polyoxymethylene dimethyl ether as a sustainable fuel for internal combustion engines. Energies 2023, 16, 4679. [Google Scholar] [CrossRef]
- Lv, M.; Zhao, J.S.; Ning, Z. Evaporation and micro-explosion characteristics of PODE-diesel blended droplets. Trans. Chin. Soc. Agric. Eng. 2025, 41, 85–93. [Google Scholar]
- Rahman, M.M.; Canter, C.; Kumar, A. Well-to-wheel life cycle assessment of transportation fuels derived from different North American conventional crudes. Appl. Energy 2015, 156, 159–173. [Google Scholar] [CrossRef]
- Mahbub, N.; Oyedun, A.O.; Kumar, A.; Oestreich, D.; Arnold, U.; Sauer, J. A life cycle assessment of oxymethylene ether synthesis from biomass-derived syngas as a diesel additive. J. Clean. Prod. 2017, 165, 1249–1262. [Google Scholar] [CrossRef]
- Zhang, J.Q.; Shi, M.H.; Fang, D.Y.; Liu, D.H. Reaction kinetics of the production of polyoxymethylene dimethyl ethers from methanol and formaldehyde with acid cation exchange resin catalyst. React. Kinet. Mech. Catal. 2014, 113, 459–470. [Google Scholar] [CrossRef]
- Zhang, J.Q.; Fang, D.Y.; Liu, D.H. Evaluation of Zr-Alumina in production of polyoxymethylene dimethyl ethers from methanol and formaldehyde: Performance tests and kinetic investigations. Ind. Eng. Chem. Res. 2014, 53, 13589–13597. [Google Scholar] [CrossRef]
- Oestreich, D.; Lautenschütz, L.; Arnold, U.; Sauer, J. Reaction kinetics and equilibrium parameters for the production of oxymethylene dimethyl ethers (OME) from methanol and formaldehyde. Chem. Eng. Sci. 2017, 163, 92–104. [Google Scholar] [CrossRef]
- Liu, Y.; Gao, X.C.; Gao, H.X.; Shi, Z.; Li, P. Kinetics of Synthesis of Polyoxymethylene Dimethyl Ethers. Chem. React. Eng. Technol. 2014, 30, 365–370. [Google Scholar]
- Burger, J.; Ströfer, E.; Hasse, H. Chemical equilibrium and reaction kinetics of the heterogeneously catalyzed formation of poly(oxymethylene) dimethyl ethers from methylal and trioxane. Ind. Eng. Chem. Res. 2012, 51, 12751–12761. [Google Scholar] [CrossRef]
- Zhang, J.Q.; Tang, B.; Xia, C.L.; Liu, X.B.; Liu, X.K.; Fang, D.Y.; Liu, D.H. Kinetics of Polyoxymethylene Dimethyl Ethers Synthesis from Methylal and Trioxymethylene. Chem. React. Eng. Technol. 2015, 31, 69–76. [Google Scholar]
- Zheng, Y.Y.; Tang, Q.; Wang, T.F.; Wang, J.F. Kinetics of synthesis of polyoxymethylene dimethyl ethers from paraformaldehyde and dimethoxymethane catalyzed by ion-exchange resin. Chem. Eng. Sci. 2015, 134, 758–766. [Google Scholar] [CrossRef]
- Song, X.Z.; Jiang, J.; An, G.J.; Wang, Y.X.; Cui, S.N.; Li, B.; Xie, L.F. Design of new liquid component of fuel air explosive and its damage power. J. Propuls. Technol. 2021, 29, 434–443. [Google Scholar]
- Wang, X.; Fan, N.; Sun, L.Y.; Lin, X.F.; Xu, Y.Q.; Shang, H.Y.; Xia, Y.F.; An, G.J. Synthesis and separation of polyoxymethylene dihexyl ether. J. China Univ. Pet. 2024, 48, 61–64. [Google Scholar] [CrossRef]
- GB/T 9009-2011; Formaldehyde solution for industrial use. Standardization Administration of the People's Republic of China: Beijing, China, 2011.
- Deng, X.D.; Cao, Z.B.; Li, X.P.; Han, D.Y.; Zhao, R.X.; Li, Y.G. The synthesis of Polyoxymethylene dimethyl ethers for new diesel blending component. Synth. React. Inorg. Met.-Org. Chem. 2015, 46, 1842–1847. [Google Scholar] [CrossRef]
- Qin, W.; Wang, M.; Hao, Y.; Li, H.S.; Zhao, Y.; Jiao, Q.Z. Synthesis of polyoxymethylene dimethyl ethers catalyzed by Brønsted acid ionic liquids with alkanesulfonic acid groups. Ind. Eng. Chem. Res. 2014, 53, 16254–16260. [Google Scholar] [CrossRef]






| ki(KMG) | T/°C | Arrhenius Parameters | |||
|---|---|---|---|---|---|
| 90 | 100 | 110 | A | Ea(ΔH)/kJ/mol | |
| K1 | 0.14 | 0.33 | 0.72 | 4.30 × 1012 | 93.69 |
| K−1 | 6.86 | 16.47 | 37.78 | 1.07 × 1015 | 98.67 |
| K2 | 2.71 | 15.84 | 84.36 | 1.06 × 1029 | 198.77 |
| K−2 | 6.20 | 34.46 | 175.12 | 3.89 × 1028 | 193.25 |
| K3 | 1.73 | 2.87 | 4.64 | 2.90 × 108 | 57.18 |
| K−3 | 21.94 | 36.68 | 59.71 | 4.69 × 109 | 57.91 |
| K4 | 1.02 | 1.58 | 2.39 | 1.15 × 107 | 49.02 |
| K−4 | 0.17 | 0.29 | 0.50 | 1.79 × 108 | 62.71 |
| K5 | 17.96 | 23.81 | 31.10 | 6.67 × 105 | 31.77 |
| K−5 | 1.24 | 3.31 | 4.94 | 1.46 × 107 | 47.47 |
| KMG | 70.92 | 53.56 | 41.05 | 0.002 | −31.63 |
Disclaimer/Publisher’s Note: The statements, opinions and data contained in all publications are solely those of the individual author(s) and contributor(s) and not of MDPI and/or the editor(s). MDPI and/or the editor(s) disclaim responsibility for any injury to people or property resulting from any ideas, methods, instructions or products referred to in the content. |
© 2025 by the authors. Licensee MDPI, Basel, Switzerland. This article is an open access article distributed under the terms and conditions of the Creative Commons Attribution (CC BY) license (https://creativecommons.org/licenses/by/4.0/).
Share and Cite
Wang, X.; Lu, L.; Ma, Q.; Shang, H.; Sun, L. Reaction Kinetics of the Synthesis of Polymethoxy Butyl Ether from n-Butanol and Trioxane with Acid Cation-Exchange Resin Catalyst. Polymers 2025, 17, 3137. https://doi.org/10.3390/polym17233137
Wang X, Lu L, Ma Q, Shang H, Sun L. Reaction Kinetics of the Synthesis of Polymethoxy Butyl Ether from n-Butanol and Trioxane with Acid Cation-Exchange Resin Catalyst. Polymers. 2025; 17(23):3137. https://doi.org/10.3390/polym17233137
Chicago/Turabian StyleWang, Xue, Linyu Lu, Qiuxin Ma, Hongyan Shang, and Lanyi Sun. 2025. "Reaction Kinetics of the Synthesis of Polymethoxy Butyl Ether from n-Butanol and Trioxane with Acid Cation-Exchange Resin Catalyst" Polymers 17, no. 23: 3137. https://doi.org/10.3390/polym17233137
APA StyleWang, X., Lu, L., Ma, Q., Shang, H., & Sun, L. (2025). Reaction Kinetics of the Synthesis of Polymethoxy Butyl Ether from n-Butanol and Trioxane with Acid Cation-Exchange Resin Catalyst. Polymers, 17(23), 3137. https://doi.org/10.3390/polym17233137
